A Multi-Convolutional Autoencoder Approach to Multivariate Geochemical Anomaly Recognition
Abstract
1. Introduction
2. Multi-Convolutional Autoencoder (MCAE) Approach
2.1. Decorrelation of Geochemical Elements
2.2. Determination of the Recognition Domain of the Background Spatial Structure
2.3. Multi-CAE
2.3.1. Convolutional Autoencoders (CAEs)
2.3.2. Anomaly Score Calculation and Anomalies Map Generation
3. Experiment and Evaluation
3.1. Study Area and Data
3.2. Specific Implementation Process
3.2.1. ZCA Whitening
3.2.2. Global Moran’s I
3.2.3. MCAE Structure and Training
- Input: 78 × 88 geochemical element concentration map.
- C1: convolution filter was 25 × 25, the number of convolution kernels was 16, and the nonlinear function was Rectified Linear Unit (ReLU).
- P1: max pooling filter was 2 × 2.
- Un-P1: the size of un-pooling area was 2 × 2.
- De-C1: the de-convolution filter was 25 × 25, the number of convolution kernels was 16, and the nonlinear function was ReLU.
- Output: the geochemical background map had 78 × 88 grids of 2 km * 2 km resolution, and the nonlinear function was Sigmoid.
3.2.4. Anomalies Map Generation
3.3. Performance Evaluation
3.3.1. Receiver Operating Characteristic Curve
3.3.2. Weights-of-Evidence and Student’s t-Value
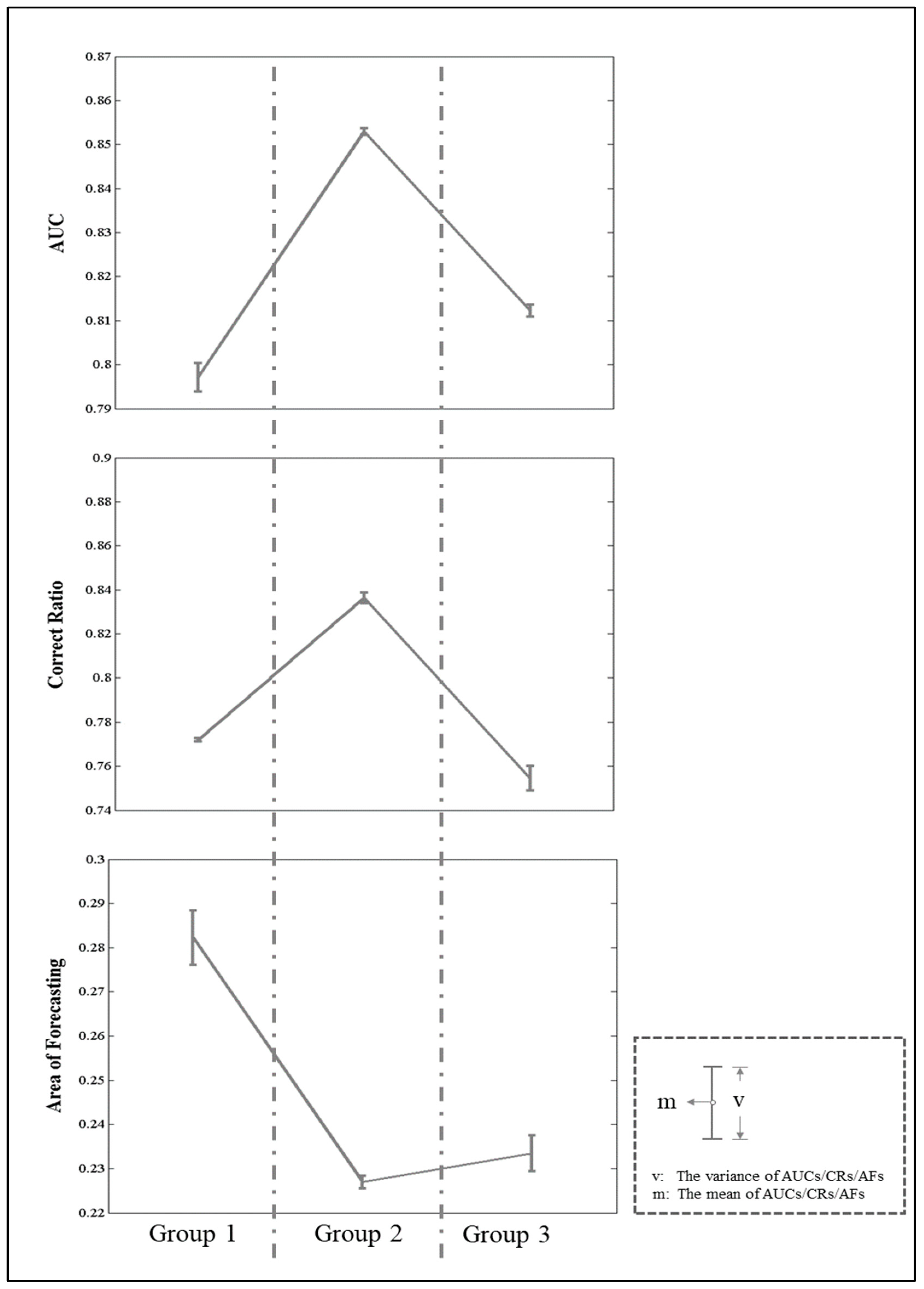
4. Discussion
5. Conclusions
Author Contributions
Funding
Acknowledgments
Conflicts of Interest
References
- Hawkes, H.E.; Webb, J.S. Geochemistry in Mineral Exploration. Soil Sci. 1963, 95, 283. [Google Scholar] [CrossRef]
- Zuo, R. Machine Learning of Mineralization-Related Geochemical Anomalies: A Review of Potential Methods. Nonrenew. Resour. 2017, 26, 457–464. [Google Scholar] [CrossRef]
- Zaremotlagh, S.; Hezarkhani, A. The use of decision tree induction and artificial neural networks for recognizing the geochemical distribution patterns of LREE in the Choghart deposit, Central Iran. J. Afr. Earth Sci. 2017, 128, 37–46. [Google Scholar] [CrossRef]
- Wang, X.Q. Exploration geochemistry: Past achievements and future challenges. Earth Sci. Front. 2003, 10, 239–248. [Google Scholar]
- Liu, Y.; Zhou, K.; Cheng, Q. A new method for geochemical anomaly separation based on the distribution patterns of singularity indices. Comput. Geosci. 2017, 105, 139–147. [Google Scholar] [CrossRef]
- Zuo, R.; Xiong, Y. Big data analytics of identifying geochemical anomalies supported by machine learning methods. Nat. Resour. Res. 2018, 27, 5–13. [Google Scholar] [CrossRef]
- Danielsson, A.; Cato, I.; Carman, R.; Rahm, L. Spatial clustering of metals in sediments of Skagerrak/Kattegat. Appl. Geochem. 2009, 14, 489–706. [Google Scholar] [CrossRef]
- Zuo, R.; Carranza, E.J.M.; Wang, J. Spatial analysis and visualization of exploration geochemical data. Earth-Sci. Rev. 2016, 158, 9–18. [Google Scholar] [CrossRef]
- Cheng, Q. Multifractality and spatial statistics. Comput. Geosci. 1999, 25, 949–961. [Google Scholar] [CrossRef]
- Cheng, Q.; Bonham-Carter, G.F.; Hall, G.E.M.; Bajc, A. Statistical study of trace elements in the soluble organic and amorphous Fe-Mn phases of surficial sediments, Sudbury Basin. 1. Multivariate and spatial analysis. J. Geochem. Explor. 1997, 59, 27–46. [Google Scholar] [CrossRef]
- Cheng, Q.; Agterberg, F.; Ballantyne, S. The separation of geochemical anomalies from background by fractal methods. J. Geochem. Explor. 1994, 51, 109–130. [Google Scholar] [CrossRef]
- Cheng, Q.; Agterberg, F.; Bonham-Carter, G. A spatial analysis method for geochemical anomaly separation. J. Geochem. Explor. 1996, 56, 183–195. [Google Scholar] [CrossRef]
- Grunsky, E.C.; Agterberg, F.P. Spatial and multivariate analysis of geochemical data from metavolcanic rocks in the Ben Nevis area, Ontario. Math. Geosci. 1988, 20, 825–861. [Google Scholar] [CrossRef]
- Haas, T.C. Multivariate Geostatistics: An Introduction With Applications. Int. J. Rock Mech. Min. Sci. Geomech. Abstr. 2003, 33, 363A. [Google Scholar] [CrossRef]
- Krige, D.G. Lognormal-de Wijsian Geostatistics for Ore Evaluation; South African Institute of Mining and Metallurgy: Johannesburg, South Africa, 1981. [Google Scholar]
- Swart, P.; Wortmann, U.; Mitterer, R.; Malone, M.; Smart, P.; Feary, D.; Hine, A. Hydrogen sulfide–hydrates and saline fluids in the continental margin of South Australia. Geology 2000, 28, 1039–1042. [Google Scholar] [CrossRef]
- Hinton, G.E.; Osindero, S.; Teh, Y.-W. A Fast Learning Algorithm for Deep Belief Nets. Neural Comput. 2006, 18, 1527–1554. [Google Scholar] [CrossRef]
- Deng, L. Automatic Speech Recognition: A Deep Learning Approach; Springer: Berlin, Germany, 2014. [Google Scholar]
- Liu, C.; Cao, Y.; Luo, Y.; Chen, G.; Vokkarane, V.; Ma, Y. DeepFood: Deep Learning-Based Food Image Recognition for Computer-Aided Dietary Assessment. In Advances in Nonlinear Speech Processing; Springer Nature: Basingstoke, UK, 2016; pp. 37–48. [Google Scholar]
- Lam, A.N.; Nguyen, A.T.; Nguyen, H.A.; Nguyen, T.N. Combining Deep Learning with Information Retrieval to Localize Buggy Files for Bug Reports (N). In Proceedings of the IEEE/ACM International Conference on Automated Software Engineering, Lincoln, NE, USA, 9–13 November 2015; pp. 476–481. [Google Scholar]
- Beucher, A.; Österholm, P.; Martinkauppi, A.; Eden, P.; Fröjdö, S. Artificial neural network for acid sulfate soil mapping: Application to the Sirppujoki River catchment area, south-western Finland. J. Geochem. Explor. 2013, 125, 46–55. [Google Scholar] [CrossRef]
- Zhao, J.; Chen, S.; Zuo, R. Identifying geochemical anomalies associated with Au–Cu mineralization using multifractal and artificial neural network models in the Ningqiang district, Shaanxi, China. J. Geochem. Explor. 2016, 164, 54–64. [Google Scholar] [CrossRef]
- Xiong, Y.; Zuo, R. Recognition of geochemical anomalies using a deep autoencoder network. Comput. Geosci. 2016, 86, 75–82. [Google Scholar] [CrossRef]
- Chen, Y.; Lu, L.; Li, X. Application of continuous restricted Boltzmann machine to identify multivariate geochemical anomaly. J. Geochem. Explor. 2014, 140, 56–63. [Google Scholar] [CrossRef]
- Sahiner, B.; Chan, H.P.; Petrick, N.; Wei, D.; Helvie, M.A.; Adler, D.D.; Goodsitt, M.M. Classification of mass and normal breast tissue: A convolution neural network classifier with spatial domain and texture images. IEEE Trans. Med. Imaging 1996, 15, 598–610. [Google Scholar] [CrossRef] [PubMed]
- Hinton, G.; Mohamed, A.-R.; Jaitly, N.; Vanhoucke, V.; Kingsbury, B.; Deng, L.; Yu, D.; Dahl, G.; Senior, A.; Nguyen, P.; et al. Deep Neural Networks for Acoustic Modeling in Speech Recognition: The Shared Views of Four Research Groups. IEEE Signal Process. Mag. 2012, 29, 82–97. [Google Scholar] [CrossRef]
- Chen, Y.-H.; Emer, J.; Sze, V. Eyeriss: A Spatial Architecture for Energy-Efficient Dataflow for Convolutional Neural Networks. In Proceedings of the 2016 ACM/IEEE 43rd Annual International Symposium on Computer Architecture (ISCA), Seoul, South Korea, 18–22 June 2016; 2016; Volume 44, pp. 367–379. [Google Scholar] [CrossRef]
- Krizhevsky, A.; Sutskever, I.; Hinton, G.E. Imagenet classification with deep convolutional neural networks. In Proceedings of the International Conference on Neural Information Processing Systems, Stateline, NV, USA, 3–8 December 2012; pp. 1097–1105. [Google Scholar]
- Xie, J.; Chen, W. The research of face recognition based on convolutional neural network. Softw. Guide 2018, 312–315. [Google Scholar]
- Zeiler, M.D.; Fergus, R. Visualizing and Understanding Convolutional Networks; Springer: Berlin, Germany, 2014; pp. 818–833. [Google Scholar]
- Nam, H.; Sugiyama, M. Direct Density Ratio Estimation with Convolutional Neural Networks with Application in Outlier Detection. Ieice Trans. Inf. Syst. 2015, 98, 1073–1079. [Google Scholar] [CrossRef]
- Wei, L.; Huang, Q.; Ceylan, D.; Vouga, E.; Li, H. Dense Human Body Correspondences Using Convolutional Networks. 2016. Available online: https://openaccess.thecvf.com/content_cvpr_2016/papers/Wei_Dense_Human_Body_CVPR_2016_paper.pdf (accessed on 28 April 2019).
- Li, Z.; Fan, Y.; Wang, F. Convolutional autoencoder-based color image classification using chroma subsampling in YCbCr space. In Proceedings of the International Congress on Image & Signal Processing, Shenyang, China, 14–16 October 2015; pp. 351–355. [Google Scholar]
- Geng, J.; Fan, J.; Wang, H.; Ma, X.; Li, B.; Chen, F. High-Resolution SAR Image Classification via Deep Convolutional Autoencoders. IEEE Geosci. Sens. Lett. 2015, 12, 1–5. [Google Scholar] [CrossRef]
- Badrinarayanan, V.; Handa, A.; Cipolla, R. SegNet: A Deep Convolutional Encoder-Decoder Architecture for Robust Semantic Pixel-Wise Labelling. arXiv 2015. Available online: https://arxiv.org/pdf/1511.00561.pdf (accessed on 28 April 2018).
- Chen, K.; Seuret, M.; Liwicki, M.; Hennebert, J.; Ingold, R. Page segmentation of historical document images with convolutional autoencoders. In Proceedings of the 13th International Conference on Document Analysis and Recognition (ICDAR), Tunis, Tunisia, 26–30 September 2015; pp. 1011–1015. [Google Scholar]
- Baccouche, M.; Mamalet, F.; Wolf, C.; Garcia, C.; Baskurt, A. Spatio-Temporal Convolutional Sparse Auto-Encoder for Sequence Classification. Available online: https://pdfs.semanticscholar.org/7b4e/2c4d196735119fe788c01b8010d44e3328e4.pdf (accessed on 28 April 2018).
- Chen, M.; Shi, X.; Zhang, Y.; Wu, D.; Guizani, M. Deep Features Learning for Medical Image Analysis with Convolutional Autoencoder Neural Network. IEEE Trans. Big Data 2017, 1. Available online: https://www.researchgate.net/publication/317702765_Deep_Features_Learning_for_Medical_Image_Analysis_with_Convolutional_Autoencoder_Neural_Network (accessed on 28 April 2018).
- Idris, A.M. Combining multivariate analysis and geochemical approaches for assessing heavy metal level in sediments from Sudanese harbors along the Red Sea coast. Microchem. J. 2008, 90, 159–163. [Google Scholar] [CrossRef]
- Reimann, C.; Garrett, R.G. Geochemical background—Concept and reality. Sci. Total. Environ. 2005, 350, 12–27. [Google Scholar] [CrossRef]
- Mclennan, S.M. Geochemical Classification of the Elements; Springer: Berlin, Germany, 1998; pp. 282–292. [Google Scholar]
- Szegedy, C.; Vanhoucke, V.; Ioffe, S.; Shlens, J.; Wojna, Z. Rethinking the Inception Architecture for Computer Vision. In Proceedings of the Computer Vision & Pattern Recognition, Las Vegas, NV, USA, 26 June–1 July 2016; pp. 2818–2826. [Google Scholar]
- Thompson, E.S.; Saveyn, P.; Declercq, M.; Meert, J.; Guida, V.; Eads, C.D.; Robles, E.S.; Britton, M.M. Characterisation of heterogeneity and spatial autocorrelation in phase separating mixtures using Moran’s I. J. Colloid Interf Sci. 2018, 513, 180–187. [Google Scholar] [CrossRef]
- Kessy, A.; Lewin, A.; Strimmer, K. Optimal Whitening and Decorrelation. Available online: https://arxiv.org/pdf/1512.00809.pdf (accessed on 28 April 2019).
- Mei, Y.; Androutsos, D. PCA-whitening CSS shape descriptor for affine invariant image retrieval. In Proceedings of the Canadian Conference on Electrical and Computer Engineering, St. John’s, NL, Canada, 3–6 May 2009; pp. 235–238. [Google Scholar]
- Hossain, M. Whitening and Coloring Transforms for Multivariate Gaussian Random Variables. 2016. Available online: https://www.projectrhea.org/rhea/images/1/15/Slecture_ECE662_Whitening_and_Coloring_Transforms_S14_MH.pdf (accessed on 28 April 2019).
- Koivunen, A.C.; Kostinski, A.B. The Feasibility of Data Whitening to Improve Performance of Weather Radar. J. Appl. Meteorol. 2010, 38, 741–749. [Google Scholar] [CrossRef]
- Matheron, G. Principles of geostatistics. Econ. Geol. 1963, 58, 1246–1266. [Google Scholar] [CrossRef]
- Cheng, Q. Spatial and scaling modeling for geochemical anomaly separation. J. Geochem. Explor. 1999, 65, 175–194. [Google Scholar] [CrossRef]
- Bellehumeur, C.; Marcotte, D.; Jébrak, M. Multi-element relationships and spatial structures of regional geochemical data from stream sediments, southwestern Quebec, Canada. J. Geochem. Explor. 1994, 51, 11–35. [Google Scholar] [CrossRef]
- Bin, J.I.; Zhou, T.; Yuan, F.; Zhang, D.; Liu, L.; Liu, G. A method for identifying geochemical anomalies based on spatial autocorrelation. Sci. Surv. Mapp. 2017, 42, 24–27. [Google Scholar]
- Liu, Q.; Xie, W.-J.; Xia, J.-B. Using Semivariogram and Moran’s I Techniques to Evaluate Spatial Distribution of Soil Micronutrients. Commun. Soil Sci. Plan. 2013, 44, 1182–1192. [Google Scholar] [CrossRef]
- McKinley, J.M.; Ofterdinger, U.; Young, M.; Barsby, A.; Gavin, A. Investigating local relationships between trace elements in soils and cancer data. Spat. Stat. 2013, 5, 25–41. [Google Scholar] [CrossRef]
- Moran, P.A.P. Notes on Continuous Stochastic Phenomena. Biometrika 1950, 37, 17. [Google Scholar] [CrossRef] [PubMed]
- Anselin, L. Spatial Processes, Models and Applications. Econ. Geogr. 1983, 59, 4. [Google Scholar] [CrossRef]
- LeCun, Y.; Bengio, Y.; Hinton, G. Deep learning. Nature 2015, 521, 436. [Google Scholar] [CrossRef]
- Zeiler, M.D.; Krishnan, D.; Taylor, G.W.; Fergus, R. Deconvolutional Networks. 2010. Available online: https://www.matthewzeiler.com/mattzeiler/deconvolutionalnetworks.pdf (accessed on 28 April 2019).
- Xie, X.; Mu, X.; Ren, T. Geochemical mapping in China. J. Geochem. Explor. 1997, 60, 99–113. [Google Scholar] [CrossRef]
- Zuo, R.G.; Xia, Q.L.; Zhang, D.J. Geological Process-Based Mineral Resource Quantitative Prediction and Assessment for Makeng Type Iron Polymetallic Deposits in Fujian. Earth Sci. 2012, 37, 1183–1190. [Google Scholar]
- China Geological Survey. Regional Geological Map of Fujian Province (1: 200,000); Geological Press: Fuzhou, China, 2010.
- Wang, H.; Cheng, Q.; Zuo, R. Spatial characteristics of geochemical patterns related to Fe mineralization in the southwestern Fujian province (China). J. Geochem. Explor. 2015, 148, 259–269. [Google Scholar] [CrossRef]
- Zuo, R. Selection of an elemental association related to mineralization using spatial analysis. J. Geochem. Explor. 2018, 184, 150–157. [Google Scholar] [CrossRef]
- Govett, G.J.S.; Goodfellow, W.D.; Chapman, R.P.; Chork, C.Y. Exploration geochemistry—Distribution of elements and recognition of anomalies. Math. Geosci. 1975, 7, 415–446. [Google Scholar] [CrossRef]
- Yan, C. A study of the spatial structural features of the regional ceochemical data. Comput. Tech. Geophys. Geochem. Explor. 1991, 4, 289–294. [Google Scholar]
- Zou, K.H.; O’Malley, A.J.; Mauri, L.; O’Malley, A.J. Receiver-Operating Characteristic Analysis for Evaluating Diagnostic Tests and Predictive Models. Circulation 2007, 115, 654–657. [Google Scholar] [CrossRef] [PubMed]
- Fawcett, T. An introduction to ROC analysis. Pattern Recognit. Lett. 2005, 27, 861–874. [Google Scholar] [CrossRef]
- Chen, Y.; Lu, L.; Li, X. Kernel Mahalanobis distance for multivariate geochemical anomaly recognition. J. Jilin Univ. Earth Sci. Ed. 2014, 44, 396–408. [Google Scholar]
- Zuo, R.; Xia, Q.; Zhang, D. A comparison study of the C–A and S–A models with singularity analysis to identify geochemical anomalies in covered areas. Appl. Geochem. 2013, 33, 165–172. [Google Scholar] [CrossRef]
- Agterberg, F.P.; Bonham-Carter, G.F.; Cheng, Q.; Wright, D.F. Weights of Evidence Modeling and Weighted Logistic Regression for Mineral Potential Mapping. Available online: http://www.ige.unicamp.br/sdm/doc/documentation/wlr.pdf (accessed on 28 April 2019).
- Bonhamcarter, G. Geographic information systems for geoscientists: Modelling with GIS. Comput. Methods Geosci. Pergamon 1994, 4, 1–2. [Google Scholar]
- Zhang, D.; Cheng, Q. A Comparison of Two Different Unit Division Methods in Weights of Evidence. J. Jilin Univ. 2013, 43, 1040–1051. [Google Scholar]
- Wang, J.; Zuo, R.; Caers, J. Discovering geochemical patterns by factor-based cluster analysis. J. Geochem. Explor. 2017, 181, 106–115. [Google Scholar] [CrossRef]
- Baydin, A.G.; Pearlmutter, B.A.; Siskind, J.M. Tricks from Deep Learning. 2016. Available online: https://arxiv.org/pdf/1611.03777.pdf (accessed on 28 April 2019).















| Element | Cu | Mn | Pb | Zn | Fe2O3 |
|---|---|---|---|---|---|
| Cu | 1 | ||||
| Mn | −0.01 ** | 1 | |||
| Pb | −0.65 ** | 0.01 ** | 1 | ||
| Zn | −0.53 ** | −0.54 ** | −0.03 ** | 1 | |
| Fe2O3 | −0.41 ** | −0.21 ** | −0.05 ** | 0.19 ** | 1 |
| Element | Cu | Mn | Pb | Zn | Fe2O3 |
|---|---|---|---|---|---|
| Cu | 1 | ||||
| Mn | −0.21 ** | 1 | |||
| Pb | −0.33 ** | −0.28 ** | 1 | ||
| Zn | −0.29 ** | −0.26 ** | −0.32 ** | 1 | |
| Fe2O3 | −0.13 ** | −0.12 ** | −0.18 ** | −0.16 ** | 1 |
| Model | t-Value | AUC | Area of Forecasting | Correct Ratio |
|---|---|---|---|---|
| MAHAL | 3.044 | 0.800 | 0.117 | 0.632 |
| SA | 3.668 | 0.816 | 0.211 | 0.790 |
| DBN | 3.519 | 0.776 | 0.309 | 0.737 |
| MCAE | 4.949 | 0.894 | 0.174 | 0.895 |
| Model | t-Value | AUC | Area of Forecasting | Correct Ratio |
|---|---|---|---|---|
| 25-2-2-25 | 4.949 | 0.894 | 0.174 | 0.895 |
| 25-2-13-2-2-13-2-25 | 3.670 | 0.841 | 0.217 | 0.794 |
| 25-2-13-2-7-2-2-7-2-13-2-25 | 3.666 | 0.831 | 0.243 | 0.768 |
© 2019 by the authors. Licensee MDPI, Basel, Switzerland. This article is an open access article distributed under the terms and conditions of the Creative Commons Attribution (CC BY) license (http://creativecommons.org/licenses/by/4.0/).
Share and Cite
Chen, L.; Guan, Q.; Feng, B.; Yue, H.; Wang, J.; Zhang, F. A Multi-Convolutional Autoencoder Approach to Multivariate Geochemical Anomaly Recognition. Minerals 2019, 9, 270. https://doi.org/10.3390/min9050270
Chen L, Guan Q, Feng B, Yue H, Wang J, Zhang F. A Multi-Convolutional Autoencoder Approach to Multivariate Geochemical Anomaly Recognition. Minerals. 2019; 9(5):270. https://doi.org/10.3390/min9050270
Chicago/Turabian StyleChen, Lirong, Qingfeng Guan, Bin Feng, Hanqiu Yue, Junyi Wang, and Fan Zhang. 2019. "A Multi-Convolutional Autoencoder Approach to Multivariate Geochemical Anomaly Recognition" Minerals 9, no. 5: 270. https://doi.org/10.3390/min9050270
APA StyleChen, L., Guan, Q., Feng, B., Yue, H., Wang, J., & Zhang, F. (2019). A Multi-Convolutional Autoencoder Approach to Multivariate Geochemical Anomaly Recognition. Minerals, 9(5), 270. https://doi.org/10.3390/min9050270

