Investigation of Copper Recovery from a New Copper Ore Deposit (Nussir) in Northern Norway: Dithiophosphates and Xanthate-Dithiophosphate Blend as Collectors
Abstract
1. Introduction
2. Materials and Methods
2.1. Zeiss Mineralogical Mining Method
2.2. Zeta Potential Measurements
2.3. Adsorption Measurements
2.4. FTIR Measurements
2.5. Hallimond Tube Flotation Experiments
2.6. Bench Scale Flotation Tests
3. Results
3.1. Mineralogy
3.2. Zeta Potential Studies
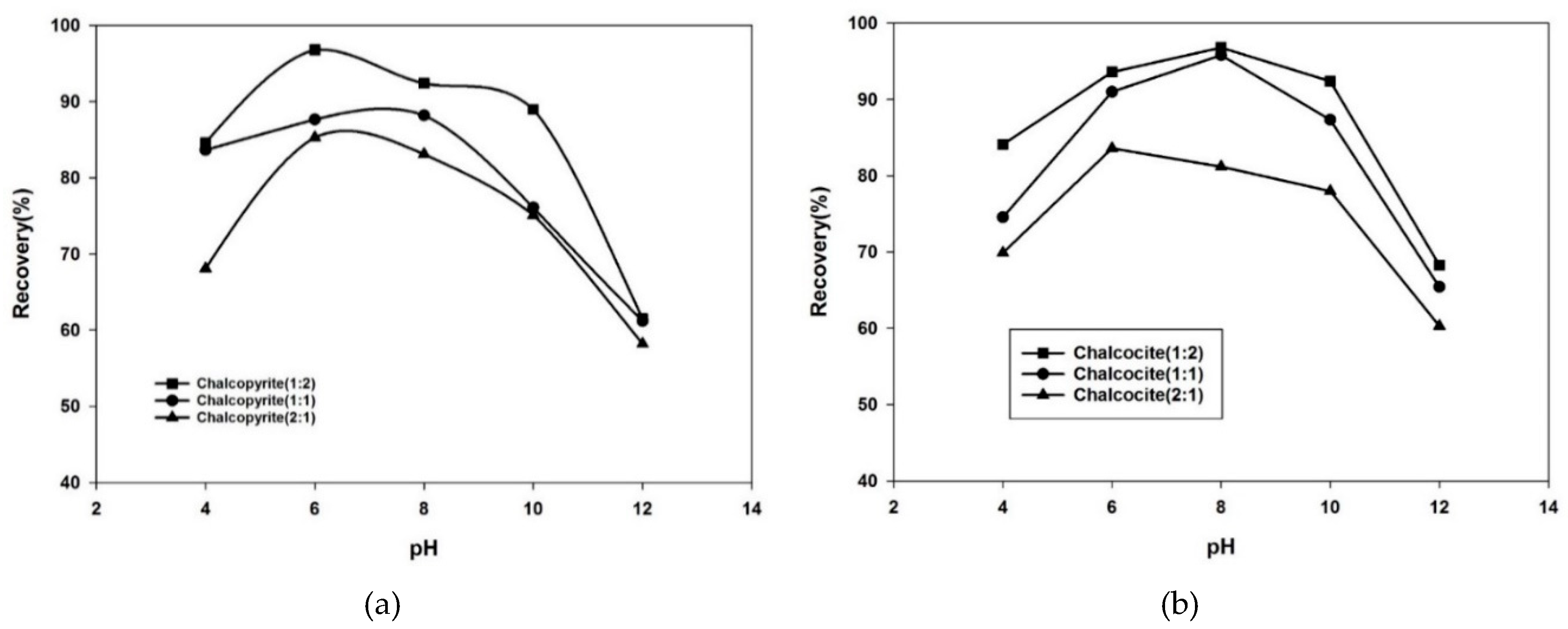
3.3. Hallimond Flotation Studies
3.4. Adsorption Studies
3.5. FTIR Studies
3.6. Correlation among the Pure Mineral Studies with Respect to Collector Concentration
3.7. Bench Scale Flotation
4. Conclusions
Author Contributions
Funding
Acknowledgments
Conflicts of Interest
References
- Moen, K. Geological and Mineralogical Investigation of The Western Part of The Nussir Copper Deposit—With Focus on the Geological Relationship between the Upper- and the Lower Mineralized Horizons. Master’s Thesis, Norwegian University of Science and Technology, Trondheim, Norway, 2014. [Google Scholar]
- Dhar, P.; Hassan, B.; Aasly, K.; Thornhill, M.; Kota, H.R. Flotation flowsheet development for the new Nussir ASA copper ore deposit in northern Norway. In Proceedings of the XXIX International Mineral Processing Congress, Moscow, Russia, 15–21 September 2018. [Google Scholar]
- Buckley, A.N.; Woods, R. Underpotential deposition of dithiophosphate on chalcocite. J. Electroanal. Chem. 1993, 357, 387–405. [Google Scholar] [CrossRef]
- Chander, S.; Fuerstenau, D.W. The effect of potassium diethyl dithiophosphate on the electrochemical properties of platinum, copper and copper sulphide in aqueous solution. J. Electroanal. Chem. Interfac. Chem. 1974, 56, 217–247. [Google Scholar] [CrossRef]
- Güler, T.; Hicyilmaz, C.; Gokagac, G.; Emekci, Z. Adsorption of dithiophosphate and dithiophosphinate on chalcopyrite. Miner. Eng. 2006, 19, 62–71. [Google Scholar] [CrossRef]
- Leja, J. Surface Chemistry of Froth Flotation; Plenum: New York, NY, USA, 1982; ISBN 0306405881. [Google Scholar]
- Woods, R. Electrochemistry of sulphide flotation. In Flotation: A.M. Gaudin Memorial Volume; Fuerstenau, M.C., Ed.; American Institute of Mining, Metallurgical and Petroleum Engineers: New York, NY, USA, 1976; pp. 298–333. [Google Scholar]
- Zhong, H.; Huang, Z.; Zhao, G.; Wang, S.; Liu, G.; Cao, Z. The collecting performance and interaction mechanism of sodium diisobutyl dithiophosphinate in sulfide minerals flotation. J. Mater. Res. Technol. 2015, 4, 151–161. [Google Scholar] [CrossRef]
- Glembotskii, A.A. The combined action of collectors during flotation. Tsvetnye Met. 1958, 4, 6–14. (In Russian) [Google Scholar]
- Bradshaw, D.J.; O’ Connor, C.T. The flotation of pyrite using mixtures of dithiocarbamates and other thiol collectors. Miner. Eng. 1994, 7, 681–690. [Google Scholar] [CrossRef]
- Bradshaw, D.J.; Harris, P.J.; O’Connor, C.T. Synergistic interactions between reagents in sulphide flotation. J. S. Afr. Inst. Min. Metall. 1998, 98, 189–194. [Google Scholar]
- Lotter, N.O.; Bradshaw, D.J. The formulation and use of mixed collectors in sulphide flotation. Miner. Eng. 2010, 23, 945–951. [Google Scholar] [CrossRef]
- Wakamatsu, T.; Numata, Y.; Park, C.H. Fundamental study of the flotation of minerals using two kinds of collectors. In Fine Particles Processing, Proceedings of the International Symposium on Fine Particles Processing, Las Vegas, NV, USA, 24–28 February; Somasundaran, P., Ed.; AIME: New York, NY, USA, 1980; Volume 1, pp. 787–801. [Google Scholar]
- Corin, K.C.; Bezuidenhout, J.C.; O’Connor, C.T. The role of dithiophosphate as a co-collector in the flotation of a platinum group mineral ore. Miner. Eng. 2012, 36–38, 100–104. [Google Scholar] [CrossRef]
- McFadzean, B.; Castelyn, D.G.; O’Connor, C.T. The effect of mixed thiol collectors on the flotation of galena. Miner. Eng. 2012, 36–38, 211–218. [Google Scholar] [CrossRef]
- McFadzean, B.; Mhlanga, S.S.; O’Connor, C.T. The effect of thiol collector mixtures on the flotation of pyrite and galena. Miner. Eng. 2013, 50–51, 121–129. [Google Scholar] [CrossRef]
- Bagci, E.; Ekmekci, Z.; Bradshaw, D.J. Adsorption behaviour of xanthate and dithiophosphinate from their mixtures on chalcopyrite. Miner. Eng. 2007, 20, 1047–1053. [Google Scholar] [CrossRef]
- Critchley, J.K.; Riaz, M. Study of synergism between xanthate and dithiocarbamate collectors in flotation of heazlewoodite. Trans. Inst. Min. Metall. 1991, 100, C55–C57. [Google Scholar]
- Bouzahzah, H.; Benzaazoua, M.; Mermillod-Blondin, R.; Pirard, E. A novel procedure for polished section preparation for automated mineralogy avoiding internal particle settlement. In Proceedings of the 12th International Congress for Applied Mineralogy (ICAM), Istanbul, Turkey, 10–12 August 2015. [Google Scholar]
- Dhar, P.; Thornhill, M.; Rao, K.H. Investigation of copper recovery from a new copper deposit (Nussir) in northern-Norway: Xanthates as collectors. Miner. Process. Metall. Rev. 2018. submitted. [Google Scholar]
- Zhao, K.L.; Gu, G.H.; Wang, X.; Wang, C.L.; Wang, X.H.; Luo, G.H. Influence of depressant foenum-graecum on the flotation of a sulphide ore which contains hydrophobic gangue. Int. J. Miner. Process. 2015, 141, 68–76. [Google Scholar] [CrossRef]
- Kelebek, S.; Smith, G.W. Electro-kinetic properties of a galena and chalcopyrite with a collectorless flotation behaviour. Colloids Surf. 1989, 40, 137. [Google Scholar] [CrossRef]
- Fullston, D.; Fornasiero, D.; Ralston, J. Zeta potential study of the oxidation of copper sulphide minerals. Colloids Surf. A Physicochem. Eng. Asp. 1999, 146, 113–121. [Google Scholar] [CrossRef]
- Somasundaran, P. (Ed.) Advances in Mineral Processing; SME: Littleton, CO, USA, 1986; pp. 154–170. [Google Scholar]
- Grano, S.R.; Cnossen, H.; Skinner, W.; Prestidge, C.A.; Ralston, J. Surface modifications in the chalcopyrite-sulphite ion system, II. Dithiophosphate collector adsorption study. Int. J. Miner. Process. 1997, 50, 27–45. [Google Scholar] [CrossRef]
- Raju, G.B.; Forsling, W. Adsorption of Thiol Collectors on Chalcopyrite. J. Surf. Sci. Technol. 1997, 13, 25–37. [Google Scholar]
- Matsuoka, I.; Ichikoku, T. Study on collection of galena by dithiophosphates. J. Min. Metall. Inst. Jpn. 1982, 98, 423–428. [Google Scholar]
- Petrus, H.T.B.M.; Hirajima, T.; Sasaki, K.; Okamoto, H. Study of diethyl dithiophosphate adsorption on chalcopyrite and tennantite at varied pHs. J. Min. Sci. 2011, 47, 695. [Google Scholar] [CrossRef]
- Ackerman, P.K.; Harris, G.H.; Klimpel, R.R.; Aplan, F.F. Evaluation of flotation collectors for copper sulphides and pyrite, I. Common sulfhydryl collectors. Int. J. Miner. Proc. 1987, 21, 105–140. [Google Scholar] [CrossRef]
- Nagaraj, M.E.; Lewellyn, S.S.; Wang, P.A.; Scanlon, M.J. New sulfide and precious metals collector: for acid, neutral and mildly alkaline circuits. In Proceedings of the International Mineral Processing Congress, Stockholm, Sweden, 5–10 June 1988. [Google Scholar]
- Leppinen, J. FTIR and Flotation Investigations of Adsorption of Diethyldithiophosphate on Sulphide Minerals; Report No. 726; Technical Research Centre of Finland: Espoo, Finland, 1991. [Google Scholar]
- Colthup, N.B.; Daly, L.H.; Wiberley, S.E. Introduction to Infrared and Raman Spectroscopy, 3rd ed.; Academic Press: San Diego, CA, USA, 1990. [Google Scholar]
- Güler, T.; Hiçyılmaz, C.; Gökağaç, G.; Ekmekçi, Z. Electrochemical behaviour of chalcopyrite in the absence and presence of dithiophosphate. Int. J. Miner. Process. 2005, 75, 217–228. [Google Scholar] [CrossRef]
- Bellamy, L. The Infra-Red Spectra of Complex Molecules; John Wiley & Sons: London, UK, 1975; ISBN 94-011-6520-3. [Google Scholar]
- Buckley, A.N.; Hope, G.A.; Parker, G.K.; Steyn, J.; Woods, R. Mechanism of mixed dithiophosphate and mercaptobenzothiazole collectors for Cu sulfide ore minerals. Miner. Eng. 2017, 109, 80–97. [Google Scholar] [CrossRef]























| Spectrum Name | Bands (cm−1) | Significance | References |
|---|---|---|---|
| Dithiophosphate (DBD) | 531 | vs (P–S) | [32,33] |
| 614 | vs (P=S) | [32,33] | |
| 735 | vs (P–O–C) | [28,32] | |
| 787 | vs (P–O–C) | [32,33] | |
| 828 | vs (P–O–C) | [28,32] | |
| 860 | vs (P–O–C) | [32] | |
| 907 | vas (P–O–C) | [32] | |
| 984 | vas (P–O–C) | [32] | |
| 1036 | vas (P–O–C) | [32] | |
| Cu-dithiophosphate | 523 | vs (P–S) | [32,33] |
| 642 | vs (P=S) | [32] | |
| 746 | vs (P–O–C) | [33] | |
| 833 | vs (P–O–C) | [32,33] | |
| 970 | vas (P–O–C) | [32,33] | |
| 1168, 1255 | vas (P–O–C) | [32] | |
| Xanthate (SIBX) | 1047 | vs (C=S) | [34] |
| 1065 | vs (C=S) | [32,34] | |
| 1086 | vs (C=S) | [32,33] | |
| 1169 | vas (C–O–C) | [32,33] | |
| 1254 | v(C–N) | [32,34] | |
| 1508 | v(C–N) | [34] | |
| Chalcopyrite + DBD | 530 | vs (P–S) | [32,33] |
| 571 | vs (P–S) | [32] | |
| 692 | vs (P–O–C) | [32,34] | |
| 777 | vs (P–O–C) | [32,33] | |
| 964 | vas (P–O–C) | [32,33] | |
| Bornite + DBD | 486 | vs (P–S) | [32,33] |
| 623 | vs (P=S) | [32,34] | |
| 635 | vs (P=S) | [32,33,34] | |
| 814 | vs (P–O–C) | [32,33] | |
| 949 | vas (P–O–C) | [32,33] | |
| Chalcocite + DBD | 625 | vs (P=S) | [32] |
| 683 | vs (P–O–C) | ||
| 773 | vs (P–O–C) | [32,33] | |
| 953 | vas (P–O–C) | [32,33] | |
| 1024 | vas (P–O–C) | [32,33] | |
| Chalcopyrite + DBD + SIBX | 584 | vs (P–S) | [32] |
| 883 | vs (P–O–C) | [32,33,34] | |
| 985 | vas (P–O–C) | ||
| 1065 | vas (C–O–C) | ||
| Bornite + DBD + SIBX | 589 | vs (P–S) | [32,33,34] |
| 663 | vs (P–O–C) | [32] | |
| 1208 | v(C–N) | [33] | |
| 1351 | v(C–N) | [34] | |
| 1428 | v(C–N) | [32,33] | |
| Chalcocite + DBD + SIBX | 717 | vs (P–O–C) | [32,33] |
| 848 | vs (P–O–C) | [32,33] | |
| 935 | vas (P–O–C) | [32,33] | |
| 1186 | vas (C–O–C) | [32,33,34] |
| Samples Conc/Tail | pH | Copper Grade (%) | Copper Recovery |
|---|---|---|---|
| Conc_1 | 4 | 34 | 86.7 |
| Conc_2 | 1.3 | 3.3 | |
| Tail | 0.2 | 9.4 | |
| Head Bal. | 17.4 | 90.0 | |
| Total Mass Bal. | 99.4 | ||
| Conc_1 | 6 | 42.6 | 93.3 |
| Conc_2 | 1.1 | 2.0 | |
| Tail | 0.1 | 4.5 | |
| Head Bal. | 19.4 | 95.3 | |
| Total Mass Bal. | 99.8 | ||
| Conc_1 | 8 | 32.2 | 92.8 |
| Conc_2 | 0.9 | 1.8 | |
| Tail | 0.1 | 4.72 | |
| Head Bal. | 19.4 | 94.6 | |
| Total Mass Bal. | 99.3 | ||
| Conc_1 | 12 | 46 | 83.1 |
| Conc_2 | 1.1 | 7.3 | |
| Tail | 0.1 | 8.6 | |
| Head Bal. | 10.7 | 90.4 | |
| Total Mass Bal. | 99.0 |
| Samples Conc/Tail | Collector Conc. | Copper Grade (%) | Copper Recovery |
|---|---|---|---|
| Conc_1 | 2 × 10−5 M(D) 1 × 10−5 M(S) | 42.8 | 93.4 |
| Conc_2 | 1.05 | 2.41 | |
| Tail | 0.1 | 3.3 | |
| Head Bal. | 21.4 | 95.8 | |
| Total Mass Bal. | 99.2 | ||
| Conc_1 | 1 × 10−5 M(D) 2 × 10−5 M(S) | 30.1 | 90.4 |
| Conc_2 | 2.21 | 3.95 | |
| Tail | 0.1 | 4.7 | |
| Head Bal. | 19.6 | 94.4 | |
| Total Mass Bal. | 99.1 | ||
| Conc_1 | 2.25 × 10−5 M(D) 0.75 × 10−5 M(S) | 47.3 | 93.5 |
| Conc_2 | 1.5 | 3.01 | |
| Tail | 0.07 | 3.01 | |
| Head Bal. | 24.7 | 96.3 | |
| Total Mass Bal. | 99.4 | ||
| Conc_1 | 0.75 × 10−5 M(D) 2.25 × 10−5 M(S) | 27.9 | 94.8 |
| Conc_2 | 2.1 | 1.91 | |
| Tail | 0.1 | 4.42 | |
| Head Bal. | 22.3 | 96.6 | |
| Total Mass Bal. | 99.3 |
© 2019 by the authors. Licensee MDPI, Basel, Switzerland. This article is an open access article distributed under the terms and conditions of the Creative Commons Attribution (CC BY) license (http://creativecommons.org/licenses/by/4.0/).
Share and Cite
Dhar, P.; Thornhill, M.; Kota, H.R. Investigation of Copper Recovery from a New Copper Ore Deposit (Nussir) in Northern Norway: Dithiophosphates and Xanthate-Dithiophosphate Blend as Collectors. Minerals 2019, 9, 146. https://doi.org/10.3390/min9030146
Dhar P, Thornhill M, Kota HR. Investigation of Copper Recovery from a New Copper Ore Deposit (Nussir) in Northern Norway: Dithiophosphates and Xanthate-Dithiophosphate Blend as Collectors. Minerals. 2019; 9(3):146. https://doi.org/10.3390/min9030146
Chicago/Turabian StyleDhar, Priyanka, Maria Thornhill, and Hanumantha Rao Kota. 2019. "Investigation of Copper Recovery from a New Copper Ore Deposit (Nussir) in Northern Norway: Dithiophosphates and Xanthate-Dithiophosphate Blend as Collectors" Minerals 9, no. 3: 146. https://doi.org/10.3390/min9030146
APA StyleDhar, P., Thornhill, M., & Kota, H. R. (2019). Investigation of Copper Recovery from a New Copper Ore Deposit (Nussir) in Northern Norway: Dithiophosphates and Xanthate-Dithiophosphate Blend as Collectors. Minerals, 9(3), 146. https://doi.org/10.3390/min9030146

