Geochemical Anomaly Detection via Supervised Learning: Insights from Interpretable Techniques for a Case Study in Pangxidong Area, South China
Abstract
1. Introduction
2. Methods
2.1. Random Forest
2.2. Partial Dependence Plots
3. Geological Setting and Mineralization of the Study Area
3.1. Geological Setting
3.2. Stream Sediment Geochemical Data
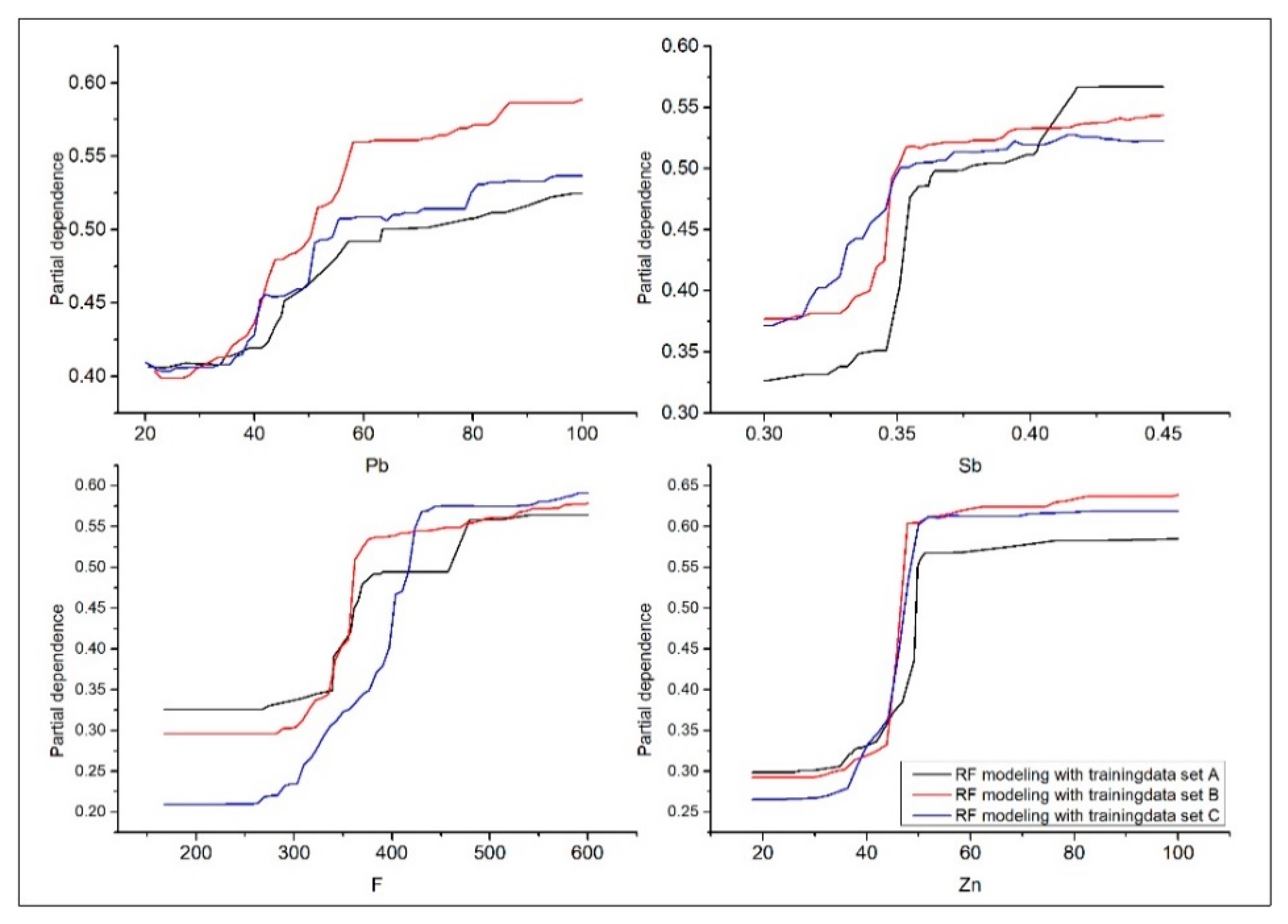
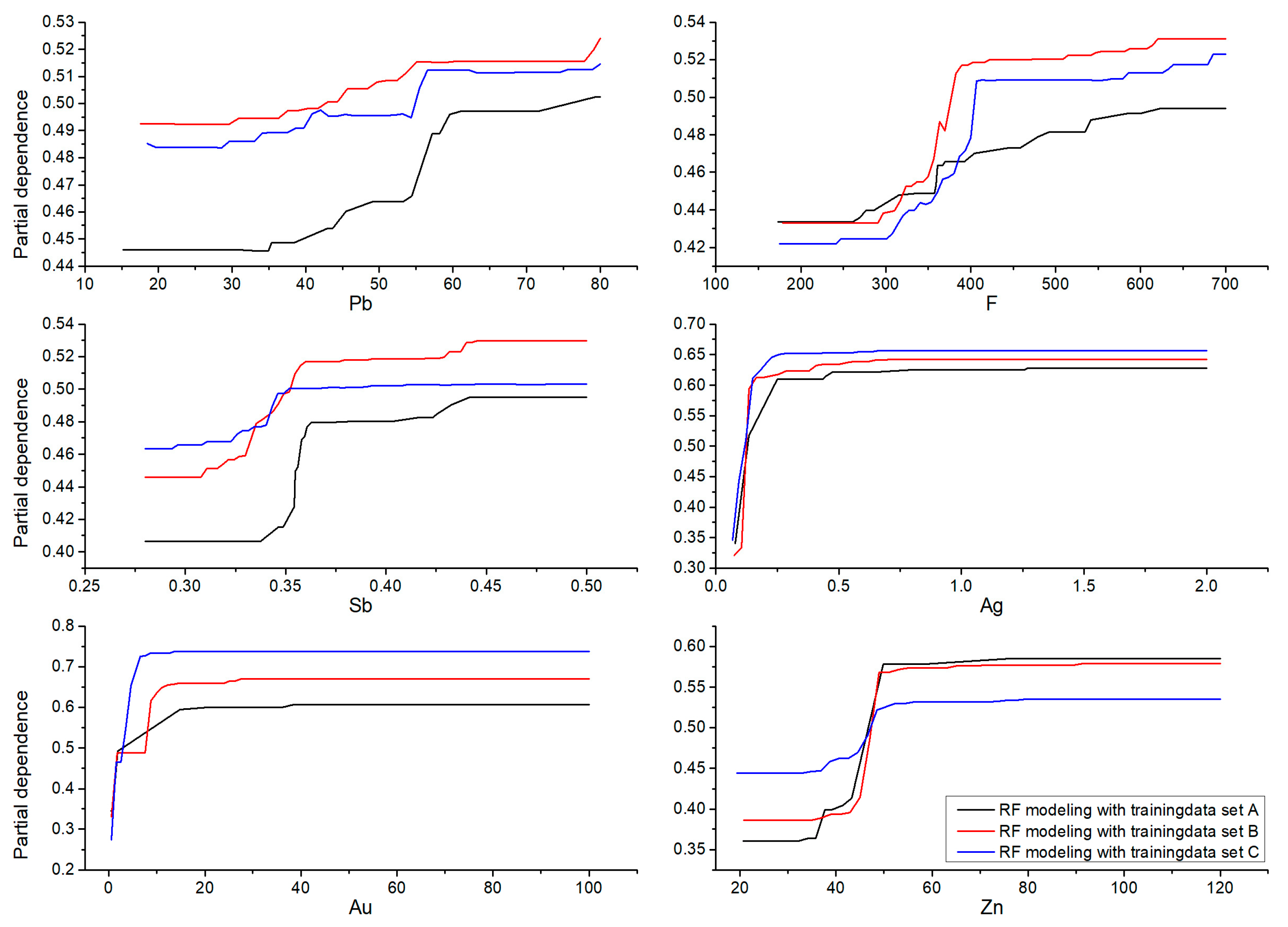
4. Results and Discussion
5. Conclusions
Supplementary Materials
Author Contributions
Funding
Data Availability Statement
Acknowledgments
Conflicts of Interest
References
- Chen, Y.; Lu, L. The Anomaly Detector, Semi-supervised Classifier, and Supervised Classifier Based on K-Nearest Neighbors in Geochemical Anomaly Detection: A Comparative Study. Math. Geosci. 2023, 55, 1011–1033. [Google Scholar] [CrossRef]
- Liu, Y.; Zhou, K.; Cheng, Q. A new method for geochemical anomaly separation based on the distribution patterns of singularity indices. Comput. Geosci. 2017, 105, 139–147. [Google Scholar] [CrossRef]
- Gonbadi, A.M.; Tabatabaei, S.H.; Carranza, E.J.M. Supervised geochemical anomaly detection by pattern recognition. J. Geochem. Explor. 2015, 157, 81−91. [Google Scholar] [CrossRef]
- Chen, Y.; Lu, L.; Li, X. Application of continuous restricted Boltzmann machine to identify multivariate geochemical anomaly. J. Geochem. Explor. 2014, 140, 56−63. [Google Scholar] [CrossRef]
- Xiong, Y.; Zuo, R. Recognition of geochemical anomalies using a deep autoencoder network. Comput. Geosci. 2016, 86, 75−82. [Google Scholar] [CrossRef]
- Zhang, S.; Xiao, K.; Carranza, E.J.M.; Yang, F.; Zhao, Z. Integration of auto-encoder network with density-based spatial clustering for geochemical anomaly detection for mineral exploration. Comput. Geosci. 2019, 130, 43−56. [Google Scholar] [CrossRef]
- Chen, Y.; Shayilan, A. Dictionary learning for multivariate geochemical anomaly detection for mineral exploration targeting. J. Geochem. Explor. 2022, 235, 106958. [Google Scholar] [CrossRef]
- Chen, Y.; Wang, S.; Zhao, Q.; Sun, G. Detection of Multivariate Geochemical Anomalies Using the Bat-Optimized Isolation Forest and Bat-Optimized Elliptic Envelope Models. J. Earth Sci. 2021, 32, 415−426. [Google Scholar] [CrossRef]
- Chen, Y.; Zhao, Q.; Lu, L. Combining the outputs of various k-nearest neighbor anomaly detectors to form a robust ensemble model for high-dimensional geochemical anomaly detection. J. Geochem. Explor. 2021, 231, 106875. [Google Scholar] [CrossRef]
- Zhang, C.; Zuo, R.; Xiong, Y. Detection of the multivariate geochemical anomalies associated with mineralization using a deep convolutional neural network and a pixel-pair feature method. Appl. Geochem. 2021, 130, 104994. [Google Scholar] [CrossRef]
- Carreño, A.; Inza, I.; Lozano, J.A. Analyzing rare event, anomaly, novelty and outlier detection terms under the supervised classification framework. Artif. Intell. Rev. 2019, 53, 3575−3594. [Google Scholar] [CrossRef]
- Nazarpour, A.; Paydar, G.R.; Carranza, E.J.M. Stepwise regression for recognition of geochemical anomalies: Case study in Takab area, NW Iran. J. Geochem. Explor. 2016, 168, 150−162. [Google Scholar] [CrossRef]
- Tian, M.; Wang, X.; Nie, L.; Zhang, C. Recognition of geochemical anomalies based on geographically weighted regression: A case study across the boundary areas of China and Mongolia. J. Geochem. Explor. 2018, 190, 381−389. [Google Scholar] [CrossRef]
- Wang, Z.; Dong, Y.; Zuo, R. Mapping geochemical anomalies related to Fe–polymetallic mineralization using the maximum margin metric learning method. Ore Geol. Rev. 2019, 107, 258−265. [Google Scholar] [CrossRef]
- Wang, J.; Zuo, R. Assessing geochemical anomalies using geographically weighted lasso. Appl. Geochem. 2020, 119, 104668. [Google Scholar] [CrossRef]
- Breiman, L. Random forests. Mach. Learn. 2001, 45, 5−32. [Google Scholar] [CrossRef]
- Rodriguez-Galiano, V.; Sanchez-Castillo, M.; Chica-Olmo, M.; Chica-Rivas, M. Machine learning predictive models for mineral prospectivity: An evaluation of neural networks, random forest, regression trees and support vector machines. Ore Geol. Rev. 2015, 71, 804−818. [Google Scholar] [CrossRef]
- Rodriguez-Galiano, V.; Chica-Olmo, M.; Chica-Rivas, M. Predictive modelling of gold potential with the integration of multisource information based on random forest: A case study on the Rodalquilar area, Southern Spain. Int. J. Geogr. Inf. Sci. 2014, 28, 1336−1354. [Google Scholar] [CrossRef]
- Carranza, E.J.M.; Laborte, A.G. Random forest predictive modeling of mineral prospectivity with small number of prospects and data with missing values in Abra (Philippines). Comput. Geosci. 2015, 74, 60−70. [Google Scholar] [CrossRef]
- Breiman, L.; Friedman, J.; Olshen, R.A.; Stone, C.J. Classification and Regression Trees; Chapman and Hall/CRC: New York, NY, USA, 1984. [Google Scholar] [CrossRef]
- Cutler, D.R.; Edwards, T.C., Jr.; Beard, K.H.; Cutler, A.; Hess, K.T.; Gibson, J.; Lawler, J.J. Random forests for classification in ecology. Ecology 2007, 88, 2783−2792. [Google Scholar] [CrossRef]
- Sun, T.; Li, H.; Wu, K.; Chen, F.; Zhu, Z.; Hu, Z. Data-Driven Predictive Modelling of Mineral Prospectivity Using Machine Learning and Deep Learning Methods: A Case Study from Southern Jiangxi Province, China. Minerals 2020, 10, 102. [Google Scholar] [CrossRef]
- Molnar, C. Interpretable Machine Learning; Lulu Press: Morrisville, NC, USA, 2019. [Google Scholar]
- Gilder, S.A.; Gill, J.; Coe, R.S.; Zhao, X.; Liu, Z.; Wang, G.; Yuan, K.; Liu, W.; Kuang, G.; Wu, H. Isotopic and paleomagnetic constraints on the Mesozoic tectonic evolution of south China. J. Geophys. Res. 1996, 101, 16137–16154. [Google Scholar] [CrossRef]
- Mao, J.W.; Chen, M.H.; Yuan, S.D.; Guo, C.L. Geological characteristics of the Qinhang (or Shihang) metallogenic belt in south China and spatial-temporal distribution regularity of mineral deposits. Acta Geol. Sin. 2011, 85, 635–658, (In Chinese with English abstract). [Google Scholar]
- Zhou, Y.Z.; Li, X.Y.; Zheng, Y.; Shen, W.J.; He, J.G.; Yu, P.P.; Niu, J.; Zeng, C.Y. Geological settings and metallogenesis of Qinzhou Bay—Hangzhou Bay orogenicjuncture belt, south China. Acta Petrol. Sin. 2017, 33, 667–681, (In Chinese with English abstract). [Google Scholar]
- Xiao, F.; Wang, K.; Hou, W.; Erten, O. Identifying geochemical anomaly through spatially anisotropic singularity mapping: A case study from silver-gold deposit in Pangxidong district, SE China. J. Geochem. Explor. 2020, 210, 106453. [Google Scholar] [CrossRef]
- Wang, Z.W.; Zhou, Y.Z. Geological characteristics and genesis of the Pangxidong-Jinshan Ag-Au deposit in Yunkai terrain, south China. Geotecton. Metallog. 2002, 26, 193–197, (In Chinese with English abstract). [Google Scholar]
- Lin, Z.W.; Zhou, Y.Z.; Qin, Y.; Zheng, Y.; Liang, Z.P.; Zou, H.P.; Niu, J. Ore-controllingstructure analysis of Panxidong-Jinshan silver-gold orefield, southern Qin-Hang belt: Implications for furthern exploration. Mineral Deposits 2017, 36, 866–878, (In Chinese with English abstract). [Google Scholar]
- Chen, M.; Zheng, Y.; Chen, X.; Yu, P.; Zhang, G.; Wu, Y.; Huang, Y.; Wang, X.; Shu, L.; Lin, Z. High-Cd sphalerite in the Pangxidong Pb-Zn-Ag deposit (Yunkai Domian, South China): Insight for physicochemical condition of orogenic-type deposit. Ore Geol. Rev. 2024, 167, 105974. [Google Scholar] [CrossRef]
- Sokolova, M.; Lapalme, G. A systematic analysis of performance measures for classification tasks. Inf. Process. Manag. 2009, 45, 427–437. [Google Scholar] [CrossRef]
- Aitchison, J. The statistical analysis of compositional data. J. R. Stat. Soc. Ser. B Methodol. 1982, 44, 139–160. [Google Scholar] [CrossRef]
- Zhao, B.; Wu, J.; Yang, F.; Pilz, J.; Zhang, D. A novel approach for extraction of Gaoshanhe-Group outcrops using Landsat Operational Land Imager (OLI) data in the heavily loess-covered Baoji District, Western China. Ore Geol. Rev. 2019, 108, 88–100. [Google Scholar] [CrossRef]
- Prasetiyowati, M.I.; Maulidevi, N.U.; Surendro, K. Determining threshold value on information gain feature selection to increase speed and prediction accuracy of random forest. J. Big Data 2020, 8, 84. [Google Scholar] [CrossRef]
- Zhang, S.; Carranza, E.J.M.; Fu, C.; Zhang, W.; Qin, X. Interpretable Machine Learning for Geochemical Anomaly Delineation in the Yuanbo Nang District, Gansu Province, China. Minerals 2024, 14, 500. [Google Scholar] [CrossRef]
- Yousefi, M.; Carranza, E.J.M. Fuzzification of continuous-value spatial evidence for mineral prospectivity mapping. Comput. Geosci. 2015, 74, 97–109. [Google Scholar] [CrossRef]
- Hintze, J.L.; Nelson, R.D. Violin plots: A box plot-density trace synergism. Am. Stat. 1998, 52, 181–184. [Google Scholar] [CrossRef]
- Strobl, C.; Boulesteix, A.L.; Zeileis, A.; Hothorn, T. Bias in random forest variable importance measures: Illustrations, sources and a solution. BMC Bioinform. 2007, 8, 25. [Google Scholar] [CrossRef]











| Training Datasets | Sample Counts | Train/Test Splits | Interpolated or Not |
|---|---|---|---|
| A | 90 | 20% | Interpolated |
| B | 250 | 20% | Interpolated |
| C | 486 | 20% | Interpolated |
| R | 40 | 20% | Not interpolated |
| Dataset A | Dataset B | Dataset C | Dataset R | |||||
|---|---|---|---|---|---|---|---|---|
| Mean | Stddev | Mean | Stddev | Mean | Stddev | Mean | Stddev | |
| Accuracy | 0.987 | 0.023 | 0.996 | 0.009 | 0.995 | 0.009 | 0.881 | 0.089 |
| Precision | 0.999 | 0.01 | 0.999 | 0.007 | 0.999 | 0.003 | 0.937 | 0.109 |
| Recall | 0.976 | 0.046 | 0.992 | 0.016 | 0.994 | 0.012 | 0.835 | 0.156 |
| F1_Score | 0.987 | 0.025 | 0.996 | 0.009 | 0.997 | 0.006 | 0.871 | 0.101 |
| Element | Au | B | Sn | Cu | Ag | Ba | Mn | Pb | Zn | As | Sb | Bi | Hg | Mo | W | F |
|---|---|---|---|---|---|---|---|---|---|---|---|---|---|---|---|---|
| Au | 1.00 | −0.01 | −0.02 | 0.28 | 0.28 | −0.01 | 0.03 | 0.32 | 0.33 | −0.01 | 0.01 | 0.04 | 0.00 | 0.07 | −0.01 | 0.06 |
| B | 1.00 | 0.12 | −0.08 | −0.01 | −0.12 | 0.14 | −0.07 | −0.05 | 0.14 | 0.06 | 0.00 | −0.01 | −0.06 | 0.10 | 0.26 | |
| Sn | 1.00 | 0.32 | 0.00 | −0.07 | −0.05 | 0.12 | 0.02 | 0.14 | 0.09 | 0.41 | 0.07 | 0.22 | 0.28 | 0.41 | ||
| Cu | 1.00 | 0.23 | −0.02 | 0.07 | 0.36 | 0.71 | 0.01 | 0.04 | 0.38 | 0.07 | 0.20 | 0.19 | −0.03 | |||
| Ag | 1.00 | 0.00 | 0.01 | 0.45 | 0.42 | 0.00 | 0.02 | 0.04 | 0.07 | 0.12 | 0.01 | 0.06 | ||||
| Ba | 1.00 | 0.13 | 0.22 | 0.05 | −0.03 | −0.02 | −0.06 | −0.04 | −0.17 | −0.08 | 0.06 | |||||
| Mn | 1.00 | 0.18 | 0.05 | 0.17 | 0.20 | 0.10 | −0.05 | −0.11 | −0.01 | −0.08 | ||||||
| Pb | 1.00 | 0.51 | 0.01 | 0.05 | 0.21 | 0.09 | 0.23 | 0.08 | 0.21 | |||||||
| Zn | 1.00 | 0.01 | 0.03 | 0.08 | 0.08 | 0.11 | 0.01 | 0.08 | ||||||||
| As | 1.00 | 0.89 | 0.03 | 0.00 | 0.03 | 0.05 | 0.08 | |||||||||
| Sb | 1.00 | 0.03 | 0.04 | 0.03 | 0.02 | 0.03 | ||||||||||
| Bi | 1.00 | 0.03 | 0.33 | 0.57 | 0.08 | |||||||||||
| Hg | 1.00 | 0.07 | 0.04 | 0.09 | ||||||||||||
| Mo | 1.00 | 0.29 | 0.21 | |||||||||||||
| W | 1.00 | 0.22 | ||||||||||||||
| F | 1.00 |
Disclaimer/Publisher’s Note: The statements, opinions and data contained in all publications are solely those of the individual author(s) and contributor(s) and not of MDPI and/or the editor(s). MDPI and/or the editor(s) disclaim responsibility for any injury to people or property resulting from any ideas, methods, instructions or products referred to in the content. |
© 2025 by the authors. Licensee MDPI, Basel, Switzerland. This article is an open access article distributed under the terms and conditions of the Creative Commons Attribution (CC BY) license.
Share and Cite
Chen, Q.; Zhang, S.; Zhou, Y. Geochemical Anomaly Detection via Supervised Learning: Insights from Interpretable Techniques for a Case Study in Pangxidong Area, South China. Minerals 2026, 16, 49. https://doi.org/10.3390/min16010049
Chen Q, Zhang S, Zhou Y. Geochemical Anomaly Detection via Supervised Learning: Insights from Interpretable Techniques for a Case Study in Pangxidong Area, South China. Minerals. 2026; 16(1):49. https://doi.org/10.3390/min16010049
Chicago/Turabian StyleChen, Qing, Shuai Zhang, and Yongzhang Zhou. 2026. "Geochemical Anomaly Detection via Supervised Learning: Insights from Interpretable Techniques for a Case Study in Pangxidong Area, South China" Minerals 16, no. 1: 49. https://doi.org/10.3390/min16010049
APA StyleChen, Q., Zhang, S., & Zhou, Y. (2026). Geochemical Anomaly Detection via Supervised Learning: Insights from Interpretable Techniques for a Case Study in Pangxidong Area, South China. Minerals, 16(1), 49. https://doi.org/10.3390/min16010049

