Abstract
The increasing demand for critical metals has intensified efforts to recover valuable metals from various sources, including secondary waste. Zn-Pb tailings contain both major and trace metals with economic and environmental significance. This study examined the extraction of transition metals from Zn-Pb tailings using inductively coupled plasma mass spectrometry (ICP-MS) at a constant time of 30 min. Metal extraction efficiencies were evaluated using N-Methyl-N,N,N-trioctylammonium chloride (Aliquat 336), methyl salicylate (MS), di(2-ethylhexyl) phosphoric acid (D2EHPA), tributyl phosphate (TBP),2,4,6-tris(allyloxy)-1,3,5-triazine (TAOT), and triethyl phosphate (TEP). Increasing mixing rates improved mass transfer, enhancing recoveries, with Hf4+, Ti4+, and Fe3+ reaching 88, 56, and 50%, respectively, at 1000 rpm (mixing rate; rotation per minute) using D2EHPA. At a mixing rate of 1000 rpm, 10% TEP recovered 25% of Cu2+ and 34% of Mn2+, while 150 g/L extracted 48% of Hf4+ and 46% of V4+. Additionally, 10% TBP extracted 33% of Mn2+ and 35% of V4+, 10% MS recovered 41% of Mn2+ and 39% of V4+, while TAOT extracted 35% of V4+. At room temperature (22.5 °C) and 1400 rpm, 10% of D2EHPA recovered 80% of Hf4+, 73% of Ti4+, and 61% of Fe2+. However, 10% TAOT selectively recovered 50% of V4+, while 10% MS, under the same conditions, recovered 50% of V4+ with co-extraction of Mn2+ and Cu2+ (<10%). A total of 150 g/L Aliquat 336 effectively extracted Hf4+ (66%), Zn2+ (19%), and V4+ (56%). A total of 10% TBP recovered 53% and 47% of Mn2+ and V4+, respectively. A total of 10% TEP recovered Cu2+ (45%), Mn2+ (55%), Zn2+ (29%), V (40%), and 26% of Ni2+. At room temperature (22.5 °C) and 1400 rpm, pH changes significantly affected extraction, with D2EHPA (10%) demonstrating 89% efficiency for Hf4+ at pH 1.3, while other metals showed lower recoveries. TEP (10%) increased Cu2+ and Hf4+ recovery to 52% and 80%, respectively, at pH 1.3, while 150 g/L Aliquat 336 favored Cu2+ (58%), with co-extraction of 16% of Zn2+ at pH 1.3. TBP (10%) extracted 60% and 61% of Cu2+ and Fe, respectively, at pH 1.3, while 10% of MS recovered 55% and 50% of V, respectively. A concentration of 10% D2EHPA favored the recovery of 90% of Hf4+ at pH 1.3, with less than 35% co-extraction of Cu2+, Mn2+, Zn2+, and Fe2+. At 1400 rpm, temperature also influenced extraction, with D2EHPA recovering 84% of Hf4+ at 35 °C, 77% of Ti (55 °C), and 79% of Fe (55 °C) and TBP extracting 73% of Cu2+, 67% of Mn2+, 68% of Zn, 60% of V4+, and 47% of Ni2+ at 55 °C. A concentration of 10% MS extracted 61% of V4+and 54% of Fe2+, while 150 g/L recovered 61% of V4+ at 55 °C. TAOT extracted 46% of Mn and 41% of V4+, while 10% TEP recovered 60% of Mn and 32% of V4+ at 55 °C. These outcomes contribute to an improved understanding of the solvent extraction mechanisms of different ligands.
1. Introduction
About two-thirds of all chemical elements that exist naturally on Earth are metals. As a result of their unique features, they are commonly employed in a variety of industries, including energy, transportation, technology, buildings, etc. [1] (p. 126592). The shift from fossil fuel-based energy to green sources of energy may be hampered by the depletion of the metals required for advances premised on renewable energy. Strategic metals are essential for emergency use, but their availability is unpredictable in terms of quantity, quality, and timing. Ensuring their reliable supply requires careful planning [2] (pp. 455–458). A metal is also considered strategic if it is crucial to a state’s economic development, security, and energy plans. Nonetheless, metal can be considered strategic for a particular corporation or some industries, such as automobile industries, nuclear, renewable energy, and so on. Examples of strategic metals include platinum group metals, transition metals, and rare earth elements (REEs) [3] (p. 112).
Compared to the majority of other non-regenerative resources, metals have the greatest capacity for sustained economic activity. Recycling is a crucial factor in the sustainability of metals. Metals offer superior reuse and recycling as a result of their unique chemical and physical properties. Transition metals are among the most important elements due to their significance, high global recycling rates, and diverse applications [1] (p. 126592). The Zn-Pb mining industry in Poland and other countries generates large amounts of tailings containing important metals [4] (pp. 12–18). These tailings, kept in ponds, constitute an environmental concern if not adequately managed. Minerals that form economically valuable ores are often stable under the geological settings in which they are found. When they are unearthed and exposed to the atmosphere, they lose chemical stability. However, these wastes, which make up 94% of the treated ore, contain critical and strategic metals [4] (pp. 12–18). Further processing of these wastes is viable both in terms of raw material preservation and environmental conservation. The material is already ground, implying that the most energy-intensive procedure is complete, making chemical engineering operations such as dissolution more viable at this step.
Zn-Pb tailings contain high concentrations of Zn and Pb and other valuable metals [5,6] (p. 559, p. 752). The recovery of these metals from the selected materials is important to satisfy industrial needs, decrease the dependency on the primary resources, and enhance the sustainable management of resources. However, most of the trace elements in the materials under study are present in low concentrations, making their direct extraction economically unviable. Nevertheless, their quantities are sufficient for developing hydrometallurgical methods, which could later be scaled up for larger applications where possible.
The separation method known as solvent extraction, commonly referred to as liquid–liquid extraction, is frequently used to separate and purify metals [7] (pp. 318–326). By applying extractants while taking advantage of an uneven distribution of the metal ions between two immiscible solutions, the solvent extraction technique makes it easier to separate elements from a solution. The extractant is an organic ligand that is intended to coordinate with the target cations in a targeted manner [8] (pp. 12289–12301). This procedure is mostly carried out by vigorously agitating the two immiscible media, enabling the solute(s) to be transported from one phase to the other in a controlled manner [1] (p. 126592). Arguably, the most adaptable method for the selective separation, recovery, and purification of aqueous solution holding cations is solvent extraction [9,10] (pp. 297–304, p. 6860). The process requires less time, has a low cost of operation, and offers great metal selectivity, producing goods with an excellent level of purity [1,10] (p. 126592, p. 6860). From a benchtop to a pilot plant, it is simple to scale up. However, solvent extraction of metals can lead to environmental pollution due to the use of toxic organic solvents. Recent advancements in the solvent extraction of metals focus on improving efficiency, selectivity, and environmental sustainability. Researchers are exploring novel ligands like ionic liquids and Cyanex reagents, which offer better separation and recovery of critical metals [11] (p. 4681). Additionally, studies emphasize optimizing extraction kinetics and mechanisms to enhance performance. Efforts are also directed toward developing eco-friendly methods, reducing the environmental impact of traditional solvents. These innovations are crucial for sustainable metal recovery and addressing the growing demand for critical materials in various industries. Before being extracted into a nonpolar organic phase, metals are typically present in aqueous solutions as hydrated ions.
Three main ligands utilized for metal recovery include acidic or cation exchangers (carboxylic acids or alkyl phosphorus acids), anion exchangers or basic ligands (mostly quaternary ammonium salts or protonated amines), and solvating ligands. Metal extraction using these ligands occurs via different equilibrium-based mechanisms [8,12] (pp. 12289–12301, pp. 195–215). Ligands such as TEP, MS, and TAOT have been used in other applications and have never been explored extensively in the recovery of metals. Therefore, this study investigated the differences in the extraction efficiencies of the selected ligands (common ligands—Aliquat 336 and D2EHPA alongside MS, TAOT, and TEP) in the recovery of the available transition metals in the nitrate solutions of Zn-Pb tailings. This study also examined the use of total reflection X-ray fluorescence spectrometry (TXRF) and ICP-MS techniques to characterize the samples. That was useful in understanding their potential for metal recovery using hydrometallurgical procedures. The mechanisms of the extractants considered in this study have already been presented in one of our related studies [13] (p. 1212). The current study focuses on transition metals, while the recovery of rare earth elements from Zn-Pb tailings (REEs) will be presented in a separate study.
2. Materials and Methods
2.1. Materials
This study focused on Zn-Pb tailings as the research material. Due to the nature of the samples, the companies that supplied the materials for analysis are not disclosed in this study. To enhance the reaction between the leaching agents and the material, the samples were meticulously ground into a fine powder using a pestle and mortar, thereby increasing their surface area [14] (pp. 23–39). The finely ground samples were homogenized to ensure consistency for subsequent analysis [15] (pp. 1393–1402). Employing a sieve with a 75 µm pore diameter, the individual fractions of the samples were manually separated for further analysis. A calibrated Ohaus Pioneer™ analytical balance was utilized to accurately measure the required amount of the sample for analysis.
2.2. Chemicals and Measuring Equipment for Samples
Different chemical reagents were utilized to prepare the organic phase. The organic solvents selected encompassed >97%-purity TBP (Sigma-Aldrich, Poznan, Poland), >98%-purity TAOT (Merck Millipore, Burlington, MA, USA), MS with a 99% minimum purity (Sigma-Aldrich, Poznan, Poland), and pure Aliquat 336 (Molekula Group, Darlington, County Durham, UK). Additionally, a 99.8%-purity TEP (Sigma-Aldrich, Poznan, Poland) was used, alongside D2EHPA with a purity of 97% (Sigma-Aldrich, Poznan, Poland). Kerosene, with a density of 0.85 g/dm3 (Sigma-Aldrich, Poznan, Poland), functioned as a diluent, while 1-octanol was incorporated to facilitate the dissolution of Aliquat 336, which has high viscosity. The pH levels of the pregnant solutions were modified using a solution of NaOH pellets with a purity of 97% (Sigma-Aldrich, Poznan, Poland). Leaching of the samples for different measurements was carried out with nitric acid (HNO3), 65% pure p.a. (POCH, Gliwice, Poland); hydrochloric acid (HCl), 37% pure p.a. (POCH, Gliwice, Poland); L-ascorbic acid, pure p.a. (VWR Chemicals, Radnor, PA, USA); and silicon oil (CarlRoth, Karlsruhe, Germany). For ICP-MS analysis, the solid samples were digested utilizing a Multiwave GO microwave system (Anton Paar, Graz, Austria). The measurement of the total metals was conducted using ELAN DRC II (Perkin Elmer, Waltham, MA, USA) ICP-MS fitted with Ni cones, a Scott double-pass spray chamber, and a cross-flow nebulizer. The S4 T-STAR TXRF spectrometer (Bruker Nano GmbH, Berlin, Germany) was also used to characterize the samples. The system had Mo and W X-ray tubes set at 1000 µA and 50 kV. The device also featured 90-position sample changers and a 60 mm2 XFlash silicon drift detector. Two monochromators for W-excitation were positioned at the high-energetic W-Bremsstrahlung, while the second one was localized at the low-energy W-L line at 8.4 keV. The Mo-K excitation was monochromatized at 17.5 keV to the Mo-K line. Data analysis was performed using Bruker T-ESPRIT Version 1.0.1.482 software. Polyethylene glycol was used as a dispersing agent in TXRF measurements, while a 1 g/L Se mono-element standard solution was applied as an internal standard. The adjustment of the pH of the pregnant solution was achieved by applying a CX-601 pH meter fitted with an EPX-4 electrode (Elmetron, Zabrze, Poland). The organic and aqueous phases were mixed using a thermo-shaker TS-100 paired with SC-24 block (bioSan, Riga, Latvia).
2.3. Characterization of the Zn-Pb Tailings
TXRF Spectrometry
The two-way sample treatment involved the following approaches:
- (a)
- The Suspension Method
A total of 20 ± 2 mg of the material was measured and transferred into a test vial. After that, polyethylene glycol (2 mL) was incorporated into the solution to ensure the stability and uniformity of the dried samples on quartz glass carriers. Thereafter, an internal standard was added in the form of a 10 μL Se (1 g/L) suspension, followed by thorough homogenization to ensure uniform distribution of the components. A total of 10 μL of the prepared solution was then drawn and placed on quartz glass sample carriers. Drying of the samples was carried out at 80 °C using a hot plate. To check analytical reproducibility, measurements were taken thrice. The duration for the interaction of the samples and X-rays was 1000 s.
- (b)
- The Extraction Method
The process of metal recovery started with the measurement of 1 g of powdered materials, which was then transferred to the digestion vessels. Thereafter, 9 mL of HNO3 (69%) and 3 mL of 37% HCl were dispensed into the vessels. A volume of 10 μL of Se solution was added to the mixture. The next step involved the transfer of the samples to the microwave-assisted system for sample digestion. The solution was then transferred into centrifuge tubes with a capacity of 50 mL. That was preceded by the incorporation of 30 and 3 mL of ultrapure water and polyvinyl alcohol solution, respectively. This process contributed to sample homogeneity and facilitated the formation of a uniform film on the TXRF carrier. A thin and even film is crucial for minimizing matrix effects, which can interfere with accurate elemental analysis. After the addition of polyvinyl alcohol solution, the resulting solution was mixed, followed by the preparation of 10 μL of the triplicate samples on the quartz disks. Drying of the samples on quartz disks was carried out at 60 °C on a hot plate. The specimen was sent to the TXRF sample chamber and subjected to measurements for 1000 s.
2.4. ICP-MS Analysis During Solvent Extraction
2.4.1. Validation of the ICP-MS Method
Before the measurements, a routine check was made to ensure that the ICP-MS instrument was functioning at its full potential for ions such as Mg+, In+, U+, and Th+. The above was accomplished by calculating the ratios of CeO+/Ce+ and Ba2+/Ba+ to investigate the formation of oxides and double-charged species, respectively. The producer of the ICP-MS system advised that the ratios in question be less than 3%; if not, the system’s settings had to be changed until the necessary ratios were reached. A total of 5 ng/mL of In was chosen as an internal standard. The following parameters were used: 6.25 kV lens voltage, 1050 W radio frequency power, and dual-detector mode. The average flow rates of Ar in the nebulizer, plasma, and auxiliary were 0.92, 13.0, and 1.2 L/min, respectively.
2.4.2. Leaching and Liquid–Liquid Extraction of Transition Metals
The aqueous phase used as the leaching agent was 5 M HNO3, paired with 10% ascorbic acid functioning as the reducing agent. A double-walled glass batch reactor with a 3 L capacity was employed, maintaining a steady temperature of 70 °C for 24 h. Temperature control was achieved through a thermostat linked to a peristaltic pump, which facilitated continuous circulation of silicon oil in a closed loop to the leaching vessel. The reagents were added to the reactor based on a solid-to-liquid (S/L) ratio of 1:7. The basis for choosing such a ratio was meant to ensure sufficient contact between the solids and leaching agents while minimizing unnecessary reagent usage. Consistent stirring ensured uniform suspension mixing. The resultant solution was filtered using nylon membrane filters (0.45 µm pore size, AlfaChem, Poznan, Poland), diluted to 1 M for extraction studies, and stored in labeled containers for subsequent procedures. An aqueous phase of 1 M was prepared for further analysis.
Thereafter, the effects of ligand concentrations of 2, 4, 6, 8, and 10% v/v on metal recovery were investigated at 1400 rpm, 22.5 °C, and a reaction time of 30 min. However, due to the viscous nature of Aliquat 336, concentrations of 30, 60, 90, 120, and 150 g/L were studied under the same settings. The influence of the agitation rate on metal recovery was studied at 250, 600, and 1000 rpm. Such experiments were conducted for 30 min at 22.5 °C using different concentrations of the extractants. Additionally, the impacts of pH changes of the aqueous phase on the recovery of the metals were assessed for 30 min at 0.8, 1.0, 1.1, 1.2, and 1.3 using the selected ligands at 1400 rpm and 22.5 °C. Changing the pH of the mixture was achieved utilizing 5 M NaOH and measured using a pH meter. Finally, the effects of varying temperatures on the extraction process were investigated using the same extractants at 35, 45, and 55 °C for 30 min while maintaining an agitation rate at 1400 rpm.
The organic medium was prepared by diluting the ligand in kerosene to a suitable concentration for the research. Nevertheless, 10% vol octanol and kerosene were applied to dissolve Aliquat 336. Using an Eppendorf pipette, 0.5 mL of the organic and 0.5 mL of the pregnant solution were mixed. This process was conducted in 2 mL plastic tubes, adopting an O/A ratio of 1:1. After fastening the caps securely, the tubes were covered with paraffin film to stop leaks. After that, the prepared specimens were placed inside the thermo-shaker pots and stirred for half an hour. The selected time ensured thorough mixing of the organic and aqueous phases, promoting efficient mass transfer of the target species between the phases [16] (p. 115123).
The phases were then separated by the Eppendorf pipette after being given time to settle. Before and after extraction, the aqueous media were taken out for triple ICP-MS analysis. Appropriate volumes from the stock treatments were poured into 15 mL falcon conical tubes before the analyses. The amount was then diluted to 5 mL using a 2% HNO3 alongside 5 ng/mL of In applied as an internal standard. Variation of the parameters was necessary to help in recovering the specific metal ion(s) from the pregnant solution.
The recovery efficiency (% E) was indicated by the proportion of metal ions in the ligand’s phase relative to the initial concentration of the metal in the aqueous phase. This was computed using the following Equation (1):
The quantity of metal in the pregnant solution/aqueous phase prior to extraction is represented by Maqi, while the quantity of metal in the aqueous media after recovery is indicated by Maqf. The outcomes of this study are reported as 95% confidence intervals, as illustrated in Equation (2):
where C is the concentration of the metal, SD and denote the sample standard deviation and arithmetic mean, n represents the number of replicates (n = 3), and t signifies the critical value from the two-tailed t-distribution at a 95% confidence level with (n − 1) degrees of freedom.
3. Results and Discussion
3.1. Analysis of the Samples Using the TXRF Technique
Table 1 shows the elemental composition of Zn-Pb tailings analyzed using two approaches. The extraction method was more effective for most metals, yielding higher concentrations than the suspension method. There was a significant difference between the outcomes of the two approaches (p < 0.05). The extraction method was particularly efficient in recovering heavy metals such as Ti, V, Sc, Fe, Nd, and Cr, while the suspension approach was effective for metals such as Zn, As, Mn, Cd, La, and Pb. The variation in the results obtained using the two approaches is attributable to differences in matrix effects and sample homogeneity. This influences the sensitivity and accuracy of the analysis of trace elements such as REEs [13,17] (p. 1212, p. 107017).
Table 1.
TXRF results of Zn-Pb tailings when using suspension and extraction methods (mg/L).
3.2. Analysis of the Aqueous Phase Using ICP-MS
Figure 1 displays the outcome for the Zn-Pb tailings’ 1 M HNO3 aqueous phase. The technique showed the presence of Cu2+, V4+, Mn2+, Zn2+, Ni2+, Hf4+, Ti4+, Fe3+, and REEs3+ at different concentrations. The results indicate that ICP-MS is a powerful technique for analyzing trace elements [13] (p. 1212). The significant availability of most transition metals in quantities suitable for recovery using various ligands was notable.
Figure 1.
ICP-MS results for Zn-Pb tailings in the aqueous phase before the extraction process.
3.3. The Impact of Ligand Concentration on Transition Metals
The recovery of metals from nitrate solutions using different extractants at different concentrations was investigated at 1400 rpm for 30 min (Figure 2).
Figure 2.
The impact of changes in extractant concentration while extracting the transition metals. The recoveries were achieved at a constant rpm of 1400 at 22.5 °C under a reaction time of 30 min. (A) Extraction of V using different concentrations of TAOT; (B) recovery of Cu, Mn, and V using different concentrations of MS; (C) recovery of Hf, Zn, and V using different concentrations of Aliquat 336; (D) recovery of Mn and V using different concentrations of TBP; (E) extraction of Cu, Mn, Zn, V, and Ni using different concentrations of TEP; (F) recovery of Hf, Ti, and Fe utilizing different concentrations of TAOT. The metal recovery by each extractant improved with increasing ligand concentration, which is attributable to a higher number of binding sites.
While using TAOT, the extraction efficiency of V4+ was promoted, with an increase in the concentration of the extractant leading to a recovery of 46% at a 10% TAOT concentration, as shown in Figure 2A. The observed trend can be attributed to the availability of active extraction sites; at lower concentrations (2% and 4%), fewer active sites were available, limiting the extraction efficiency. As the concentration increased, more active sites were accessible, leading to higher efficiency. However, at 8%, the system reached saturation, where all active sites were utilized, and further increases in concentration (for instance, 10%) did not enhance efficiency, likely due to excess reagents not contributing to the process. This is why no additional curves are present in Figure 2A for other metals. The same applies to the rest of the results presented in this study, where only the best extraction results for the selected metals using different extractants are shown.
The use of MS revealed that the retrieval of Cu2+, Mn2+, and V4+ improved with the concentration of the extractant, as shown in Figure 2B. V4+ had the highest extraction efficiency of about 50% while using a 10% MS concentration. Similar observations were made while using Aliquat 336, whereby the extraction efficiency of Hf4+, Zn2+, and V4+ improved with the rise in the concentration of the ligand (Figure 2C). Hf4+ had the highest extraction efficiency of about 66% at 150 g/L, while V4+ demonstrated an efficiency of 57% at the same concentration. This improvement suggests that higher concentrations of Aliquat 336 facilitated better complexation and phase transfer of these metal ions, leading to more efficient extraction [18] (pp. 1395–1417). As for TBP, the retrieval of Mn2+ and V4+ increased with increases in TBP amounts and reached 53% for Mn2+ and 47% for V4+ at 10% TBP (Figure 2D). This indicated that TBP coordinated well with these metals, and a higher concentration of TBP further promoted this process [19] (pp. 59–68). Equally, it was observed that TEP recovered Cu2+, Mn2+, Zn2+, V4+, and Ni2+ at different rates. Mn2+ had the highest efficiency of about 52% at 10% TEP (Figure 2E). A similar trend was reported while employing D2EHPA to recover Hf4+, Ti4+, and Fe2+ (Figure 2F). Their recovery efficiencies were enhanced with the increase in concentration of D2EHPA, with 80% of Hf4+, 73% of Ti4+, and 61% of Fe2+ being recovered using 10% D2EHPA. This shows that D2EHPA was capable of extracting these metals, particularly Hf and Ti [20] (pp. 1061–1069). This might be due to the better phase contact and mass transfer due to increased amounts of binding sites for the metal ions [21] (p. 012021).
3.4. The Effect of pH Changes on Transition Metal Extraction
The findings indicate that pH changes significantly affected the recovery of metals from the aqueous phase, as shown in Figure 3. D2EHPA, as seen in Figure 3A, showed that the extraction efficiency of Hf4+ improved with an increase in pH and nearly reached an extraction efficiency of 89% at a pH of 1.3. In contrast, the extraction efficacy for Cu2+, Mn2+, Zn2+, and Fe2+ remained very low across the entire pH range investigated. This shows that D2EHPA was not as effective for these metals under the same conditions, highlighting its specificity and efficiency for Hf4+ extraction at higher pH levels [22] (pp. 333–339). Similar results were reported in the recovery of Hf4+ using TEP (Figure 3B). The curve rose steeply with increasing pH and reached the level of 80% at pH 1.3. Cu2+ also increased its efficiency, up to 52% at the pH level of 1.3, while that of Fe2+ remained comparatively low. This means that TEP had a better ability to promote the recovery of Hf4+ and Cu2+ at relatively elevated pH levels because of better ionic interaction and coordination with such metal ions.
Figure 3.
Variation in the extraction efficiency of metals as a function of pH nitrate leach solution. (A) Extracting Hf, Cu, Mn, Zn, and Fe at pH values ranging from 0.8 to 1.3 using 10% D2EHPA; (B) recovering Hf, Cu, and Fe with 10% TEP at different pH levels ranging from 0.8 to 1.3; (C) recovering Fe and Cu using 10% TBP at varying pH values ranging from 0.8 to 1.3; (D) recovering V and Cu with 10% MS at different pH levels ranging from 0.8 to 1.3; (E) using 150 g/L Aliquat 336 to recover Zn and Cu at different pH values ranging from 0.8 to 1.3. Each ligand demonstrated distinct extraction efficiencies with pH change.
For TBP (Figure 3C), the recovery efficiencies of Cu2+ and Fe2+ rose with the increase in pH to about 1.3, with efficiencies of 60% and 61%, respectively. On the other hand, the extraction efficiencies for Cu2+ and V4+ in the case of MS (Figure 3D) improved with the rise in pH. Cu2+ showed a very good increase and reached about 55% efficiency at a pH of 1.3, while the efficiency of V4+ improved to about 49%. This shows that MS was reliable at such pH values for the extraction of Cu2+, due to its enhanced reactions with such metal ions. For Aliquat 336 (Figure 3E), the extraction efficiencies for Cu2+ and Zn2+ rose with pH, with that of Cu2+ being approximately 57% and that of Zn2+ being about 16% at pH 1.3. This shows that Aliquat 336 favored the extraction of Cu2+ ions at higher pH values because of increased anionic exchange processes between the extractant and the metal ions [23] (pp. 1–17). Aliquat 336 is a basic extractant, and changing the pH might influence the formation of the anionic complexes that are easily recovered by the ligand [1,24] (p. 126592, pp. 884–898). While Aliquat 336 is primarily known for its anion exchange properties due to its quaternary ammonium functional group, it can participate in adduct formation, especially with metal species that have a strong affinity for neutral or basic ligands [25] (p. 113738). Additionally, complexation with anionic species in solutions can lead to the formation of extractable metal anionic complexes (for instance, metal chlorides) which can then interact with the quaternary ammonium cation of Aliquat 336 via anion exchange. The findings in general show that each of the extractants works differently depending on the pH of the pregnant solution and the type of metal ion.
3.5. Evaluation of the Effect of Temperature on the Extraction of Transition Metals
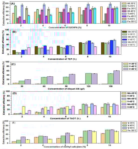
The impact of temperature on the extraction of a range of metals employing various concentrations of extractants at a constant time and mixing rate is shown in Figure 4. In Figure 4A, extracting Hf4+, Ti4+, and Fe2+ employing D2EHPA at 35, 45, and 55 °C was studied. The extraction efficiency of Hf4+ was significantly high for all the studied temperatures, with the highest efficiency of 84% at 35 °C and a 10% D2EHPA concentration. In total, 77% of Ti4+ and 79% of Fe2+ were recovered by D2EHPA at 55 °C. This indicates that increasing the temperature helps in increasing the ionic interaction and reduces the viscosity, which improves the solubility of the formed complexes [26,27] (pp. 123–134, pp. 403–410). In Figure 4B, the recovery efficacy of Mn2+ and V4+ through the application of TEP showed that their extraction increased with the rise in both TEP concentration and temperature. Around 60% and 32% of Mn2+ and V4+, respectively, were recovered at 55 °C and 10% TEP concentrations. Higher temperatures seemed to have promoted the contact between TEP and metal ions, hence improving their recoveries. Figure 4C shows the extraction efficiencies of V4+ with Aliquat 336 at 35, 45, and 55 °C. V4+ recovery was promoted with rising concentration and solution temperature, with about 61% recovered at 55 °C using 150 g/L Aliquat 336. Comparable findings were reported for the extraction efficiencies of V4+ and Mn2+ under similar conditions using TAOT (Figure 4D). In total, 46 and 41% of Mn2+ and V4+, respectively, were recovered at 55 °C and 10% TAOT.

Figure 4.
The extraction efficiencies of metals at various temperatures of the nitrate solution. (A) Extraction of Hf, Ti, and Fe using 2 to 10% D2EHPA at 35, 45, and 55 °C; (B) recovery of Mn and V using 2 to 10% TEP at 35, 45, and 55 °C; (C) extracting V utilizing 30 to 150 g/L Aliquat 336 at 35, 45, and 55 °C; (D) extraction of Mn and V using 2 to 10% TAOT at 35, 45, and 55 °C; (E) extraction of Fe and V using 2 to 10% MS at 35, 45, and 55 °C; (F) recovering Ni, V, Mn, Cu, and Zn using 2 to 10% TBP at 35, 45, and 55 °C. The ligands exhibited varying extraction efficiencies for different metal ions, with recovery rates generally improving at higher solution temperatures.
As for the effects of MS concentration and temperature, V4+ showed relatively good extraction efficiencies with an increase in both factors (Figure 4E). It reached approximately 61% efficiency at 55 °C and a 10% MS concentration with co-extraction of 54% of Fe2+. The chelation and solubility of MS with metal ions were possibly promoted under such conditions. Figure 4F displays the extraction efficiencies of Mn2+, V4+, Cu2+, and Ni2+ at 35, 45, and 55 °C using TBP. Cu2+, Mn2+, Zn2+, V4+, and Ni2+ had recoveries of 73, 67, 67, 58, and 47%, respectively, at 55 °C and 10% TBP. These results indicate that the efficiency of each ligand is dependent on both the temperature and the specific metal ions present in the solution, with higher temperatures generally enhancing the extraction process.
3.6. The Analysis of the Recoveries of Transition Metals at Different Mixing Rates
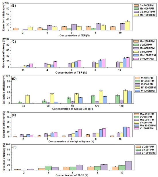
This study focused on the impacts of mixing rates on the recovery of various metals by changing the concentration of the extractants (Figure 5). The results indicate that Hf4+ achieved the highest extraction efficiency, reaching 88% at 1000 rpm while using a 10% D2EHPA concentration (Figure 5A). Ti4+ and Fe2+ also showed increased efficiencies of 56% and 50%, respectively, at the same mixing rate. These findings suggest that higher mixing rates enhance recovery efficiency due to improved contact and mass transfer between D2EHPA and the metal ion [26,28] (pp. 123–134, pp. 1–5). Figure 5B shows the recovery efficiencies of Cu2+ and Mn2+ when using TEP. Cu2+ and Mn2+ proved to have higher extraction efficiencies as the TEP concentration and mixing rate increased. This resulted in the recovery of about 34% of Mn2+ and 25% of Cu2+ at 1000 rpm and a 10% TEP concentration.

Figure 5.
The effects of increasing the rate of mixing the solution on the recovery of the metal ions. (A) Extraction of Hf, Ti, and Fe using 2 to 10% D2EHPA at mixing rates of 250, 600, and 1000 rpm; (B) recovery of Cu and Mn with 2 to 10% of TEP at mixing rates of 250, 600, and 1000 rpm; (C) extracting Mn and V using 2 to 10% TBP at mixing rates of 250, 600, and 1000 rpm; (D) extracting V and Hf with 30 to 150 g/L Aliquat 336 at mixing rates of 250, 600, and 1000 rpm; (E) extracting Mn and V using 2 to 10% MS at mixing rates of 250, 600, and 1000 rpm; (F) extracting V with 2 to 10% TAOT at mixing rates of 250, 600, and 1000 rpm. The ligands showed varying extraction efficiencies for different metal ions, with higher mixing rates resulting in improved recoveries.
For TBP, the retrieval of Mn2+ and V4+ was also noted to improve with the increase in the concentration of TBP and the rate of mixing (Figure 5C). Specifically, 33% of Mn2+ was extracted at 1000 rpm and a 10% TBP concentration, while V4+ recorded 35% recovery. In the case of Aliquat 336 (Figure 5D), the recoveries of Hf4+ and V4+ were higher with increased concentrations of Aliquat 336 and higher mixing rates. The overall efficiency was about 46% for V4+ and 48% for Hf4+ at 1000 rpm when utilizing 150 g/L Aliquat 336. This is because basic extractants (ammonium salts) are known to be effective at increased agitation rates [21,29] (p. 012021, pp. 515–519). Similar findings were also reported for Mn2+ (40%) and V4+ (39%) while using 10% MS at 1000 rpm (Figure 5E). Equally, the utilization of TAOT at different stirring rates enhanced the extraction of V4+ (Figure 5F). About 35% of V4+ was recovered at 1000 rpm in contrast to low recoveries at 250 rpm. The findings of this study show that the extraction efficiencies of most of the metals increased with increasing mixing rates.
4. Conclusions
This study provides a comprehensive evaluation of transition metal recovery from Zn-Pb tailings, emphasizing the impact of extraction parameters such as mixing rate, pH, temperature, and ligand concentration. Increasing the mixing rate improved metal recovery, with D2EHPA at 1000 rpm extracting Hf4+ (88%), Ti4+ (56%), and Fe3+ (50%), while TEP and TBP extracted Cu2+ (25%), Mn2+ (34%), and V4+ (35%). At 1400 rpm, recoveries further improved, with D2EHPA (10%) extracting Hf4+ (80%), Ti4+ (73%), and Fe2+ (61%), while Aliquat 336 (150 g/L) recovered Hf4+ (66%), Zn2+ (19%), and V4+ (56%). pH adjustments significantly influenced selectivity, with D2EHPA (10%) at pH 1.3 achieving 90% Hf4+ recovery while minimizing Cu2+, Mn2+, Zn2+, and Fe2+ co-extraction (<35%). TEP (10%) at pH 1.3 enhanced Cu2+ (52%) and Hf4+ (80%) recovery, whereas Aliquat 336 favored Cu2+ (58%), with minor Zn2+ co-extraction (16%). Temperature also played a critical role, with D2EHPA (10%) at 55 °C extracting Ti4+ (77%) and Fe2+ (79%), while TBP (10%) at 55 °C efficiently recovered Cu2+ (73%), Mn2+ (67%), Zn2+ (68%), V4+ (60%), and Ni2+ (47%). MS (10%) at 55 °C extracted V4+ (61%) and Fe2+ (54%), while TAOT selectively recovered Mn2+ (46%) and V4+ (41%). These findings provide crucial insights into solvent extraction mechanisms, demonstrating how process optimization can enhance recovery efficiencies. Future studies should focus on refining extraction conditions to improve separation efficiency and minimize unwanted co-extractions for further applications.
Author Contributions
Conceptualization, N.K.R., M.R., I.H.-K., T.S. and A.G.C.; methodology N.K.R., I.H.-K. and H.S., software, N.K.R.; validation, N.K.R., M.R., T.S., I.H.-K. and A.G.C.; formal analysis, N.K.R., I.H.-K., T.S., M.R., H.S. and A.G.C.; investigation, N.K.R.; resources, A.G.C.; data curation, N.K.R.; writing—original draft preparation, N.K.R.; writing—review and editing, N.K.R.; I.H.-K., M.R., T.S. and H.S.; visualization, N.K.R.; funding acquisition, A.G.C., supervision, A.G.C.; project administration, A.G.C. All authors have read and agreed to the published version of the manuscript.
Funding
This study was sponsored through RER1023 project at the Institute of Nuclear Chemistry and Technology, Warsaw, Poland.
Data Availability Statement
The data underlying this research will be provided by the authors upon request.
Conflicts of Interest
Hagen Stosnach is employee of Bruker Nano GmbH. The paper reflects the views of the scientists and not the company.
References
- Alvial-Hein, G.; Mahandra, H.; Ghahreman, A. Separation and recovery of cobalt and nickel from end-of-life products via solvent extraction technique: A review. J. Clean. Prod. 2021, 297, 126592. [Google Scholar] [CrossRef]
- Chakhmouradian, A.R.; Smith, M.P.; Kynicky, J. From “strategic” tungsten to “green” neodymium: A century of critical metals at a glance. Ore Geol. Rev. 2015, 64, 455–458. [Google Scholar] [CrossRef]
- Kiprono, N.R.; Smolinski, T.R.; Rogowski, M.; Chmielewski, A.G. The State of Critical and Strategic Metals Recovery and the Role of Nuclear Techniques in the Separation Technologies Development: Review. Separations 2023, 10, 112. [Google Scholar] [CrossRef]
- Chmielewski, A.G.; Wawszczak, D.; Brykała, M. Possibility of uranium and rare metal recovery in the Polish copper mining industry. Hydrometallurgy 2016, 159, 12–18. [Google Scholar] [CrossRef]
- Tarnawczyk, M.; Uzarowicz, Ł.; Perkowska-Pióro, K.; Pędziwiatr, A.; Kwasowski, W. Effect of land reclamation on soil properties, mineralogy and trace-element distribution and availability: The example of technosols developed on the tailing disposal site of an abandoned zn and pb mine. Minerals 2021, 11, 559. [Google Scholar] [CrossRef]
- Duczmal-Czernikiewicz, A.; Baibatsha, A.; Bekbotayeva, A.; Omarova, G.; Baisalova, A. Ore minerals and metal distribution in tailings of sediment-hosted stratiform copper deposits from poland and kazakhstan. Minerals 2021, 11, 752. [Google Scholar] [CrossRef]
- Li, Z.; Li, X.; Raiguel, S.; Binnemans, K. Separation of transition metals from rare earths by non-aqueous solvent extraction from ethylene glycol solutions using Aliquat 336. Sep. Purif. Technol. 2018, 201, 318–326. [Google Scholar] [CrossRef]
- Lommelen, R.; Vander Hoogerstraete, T.; Onghena, B.; Billard, I.; Binnemans, K. Model for Metal Extraction from Chloride Media with Basic Extractants: A Coordination Chemistry Approach. Inorg. Chem. 2019, 58, 12289–12301. [Google Scholar] [CrossRef]
- Facon, S.; Adekola, F.; Cote, G. Stripping of copper from CYANEX® 301 extract with thiourea-hydrazine-sodium hydroxide solution. Hydrometallurgy 2007, 89, 297–304. [Google Scholar] [CrossRef]
- Lee, L.Y.; Morad, N.; Ismail, N.; Talebi, A.; Rafatullah, M. Optimization for liquid-liquid extraction of Cd (II) over Cu (II) ions from aqueous solutions using ionic liquid Aliquat 336 with tributyl phosphate. Int. J. Mol. Sci. 2020, 21, 6860. [Google Scholar] [CrossRef]
- Pianowska, K.; Leszczyńska-Sejda, K.; Kluczka, J.; Benke, G.; Goc, K.; Malarz, J.; Ochmanski, M.; Leszczyńska-Sejda, K. Solvent Extraction as a Method of Recovery and Separation of Platinum Group Metals. Materials 2023, 16, 4681. [Google Scholar] [CrossRef] [PubMed]
- El-Nadi, Y.A. Solvent Extraction and Its Applications on Ore Processing and Recovery of Metals: Classical Approach. Sep. Purif. Rev. 2016, 46, 195–215. [Google Scholar] [CrossRef]
- Rotich, N.K.; Herdzik-Koniecko., I.; Smolinski, T.; Kalbarczyk, P.; Sudlitz, M.; Rogowski, M.; Stosnach, H.; Chmielewski, A.G. Recovery of Metals from Titanium Ore Using Solvent Extraction Process: Part 1—Transition Metals. Minerals 2024, 14, 1212. [Google Scholar] [CrossRef]
- Kanungo, S.B.; Jena, P.K. Studies on the dissolution of metal values in manganese nodules of Indian Ocean origin in dilute hydrochloric acid. Hydrometallurgy 1988, 21, 23–39. [Google Scholar] [CrossRef]
- Anju, M.; Banerjee, D.K. Comparison of two sequential extraction procedures for heavy metal partitioning in mine tailings. Chemosphere 2010, 78, 1393–1402. [Google Scholar] [CrossRef]
- Gorzin, H.; Ghaemi, A.; Hemmati, A.; Maleki, A. Studies on effective interaction parameters in extraction of Pr and Nd using Aliquat 336 from NdFeB magnet-leaching solution: Multiple response optimizations by desirability function. J. Mol. Liq. 2021, 324, 115123. [Google Scholar] [CrossRef]
- Cinosi, A.; Siviero, G.; McCaffrey, Z. Elemental analysis of valuable byproducts by TXRF spectrometry: Coal fly ash and activated carbon. Spectrochim. Acta Part B At. Spectrosc. 2024, 220, 107017. [Google Scholar] [CrossRef]
- Lerum, H.V.; Andersen, N.H.; Eriksen, D.Ø.; Hansen, E.W.; Petersen, D.; Wibetoe, G.; Omtvedt, J.P. Study of Cadmium Extraction with Aliquat 336 from Highly Saline Solutions. J. Solut. Chem. 2018, 47, 1395–1417. [Google Scholar] [CrossRef]
- Zhou, X.; Shen, Y.; Peng, J.; Liu, Q. Separation of Fe(III) and Al via Tributyl Phosphate and 2-Octanol in the Comprehensive Recovery Process of Metals from Hydrochloric Acid Leaching Solution of Fly Ash. Solvent Extr. Res. Dev. Jpn. 2021, 28, 59–68. [Google Scholar] [CrossRef]
- Zhang, L.; Zhang, T.; Lv, G.; Zhang, W.; Sui, Q. Extraction Separation of Ti (IV) and Fe(II) Using D2EHPA from the Raffinate Obtained After Extraction of Scandium from Titanium Dioxide Waste Acid. JOM 2022, 74, 1061–1069. [Google Scholar] [CrossRef]
- Fedorova, M.I.; Levina, A.V. Application of ionic liquid based on Aliquat 336 and D2EHPA in the extraction of transition metals. IOP Conf. Ser. Mater. Sci. Eng. 2022, 1212, 012021. [Google Scholar] [CrossRef]
- Zhao, J.; Yang, T.; Zhang, H.; Sun, G.; Cui, Y. Preferential extraction of hafnium over zirconium with D2EHPA through selective complexation of organic acids. J. Radioanal. Nucl. Chem. 2019, 321, 333–339. [Google Scholar] [CrossRef]
- Nguyen, V.N.H.; Lee, M.S. Improvement of metal separation process from synthetic hydrochloric acid leaching solution of spent lithium ion batteries by solvent extraction and ion exchange. Physicochem. Probl. Miner. Process. 2021, 57, 1–17. [Google Scholar] [CrossRef]
- Swain, N.; Mishra, S. A review on the recovery and separation of rare earths and transition metals from secondary resources. J. Clean. Prod. 2019, 220, 884–898. [Google Scholar] [CrossRef]
- Nguyen, T.T.N.; Nguyen, V.N.H.; Liu, Y.; Lee, M.S. Analysis of the interaction in the mixture of organophosphorus acids and Aliquat 336 through the measurement of dielectric constant and viscosity. J. Mol. Liq. 2020, 315, 113738. [Google Scholar] [CrossRef]
- Wilson, A.M.; Bailey, P.J.; Tasker, P.A.; Turkington, J.R.; Grant, R.A.; Love, J.B. Solvent extraction: The coordination chemistry behind extractive metallurgy. Chem. Soc. Rev. 2013, 43, 123–134. [Google Scholar] [CrossRef]
- Chen, Z.; Zhang, S. Extraction of Heavy Metal Ions Using Ionic Liquids. In Encyclopedia of Ionic Liquids; Springer: Berlin/Heidelberg, Germany, 2022; pp. 403–410. [Google Scholar] [CrossRef]
- Soeezi, A. Solvent Extraction of Ni and Cu from Synthetic Solution Containing Ni, Cu, Fe and Zn by Using D2EHPA. Mater. Sci. Metall. Eng. 2019, 6, 1–5. [Google Scholar]
- Shulin, S.S.; Galieva, G.N.; Chighevskaya, S.V.; Pletuhina, J.V.; Saveliev, N.S. Extraction Separation of Rare Earth Elements of the Medium Group with Isomolar Mixtures of Aliquat®336–TBP and Cyanex®572–TBP from Nitric Solutions. Inorg. Mater. 2018, 54, 515–519. [Google Scholar] [CrossRef]
Disclaimer/Publisher’s Note: The statements, opinions and data contained in all publications are solely those of the individual author(s) and contributor(s) and not of MDPI and/or the editor(s). MDPI and/or the editor(s) disclaim responsibility for any injury to people or property resulting from any ideas, methods, instructions or products referred to in the content. |
© 2025 by the authors. Licensee MDPI, Basel, Switzerland. This article is an open access article distributed under the terms and conditions of the Creative Commons Attribution (CC BY) license (https://creativecommons.org/licenses/by/4.0/).