Effect of a Montmorillonite Modification on the Rheology and Mechanical Properties of a Clay/Natural Rubber Nanocomposite
Abstract
1. Introduction
1.1. Montmorillonite and Its Modification
1.2. Clay/Natural Rubber Nanocomposites
2. Materials and Methods
2.1. Materials
2.2. Methods
2.2.1. Montmorillonite Modification (Sodification and Organophilization)
2.2.2. Nanocomposite
2.2.3. Montmorillonite, Natural Rubber Compounds, and Nanocomposite Characterization
3. Results
3.1. MMT Characterization Results
3.1.1. MMTCa Physical Characterization
3.1.2. MMTCa XRF and XRD
3.1.3. MMTCa FTIR-ATR
3.1.4. MMTCa SEM/EDS
3.1.5. Modified MMTs Physical Characterization
3.1.6. Modified MMTs XRD
3.1.7. Modified MMTs FTIR-ATR
3.1.8. Modified MMTs SEM/EDS
3.2. Clay/NR Nanocomposite Characterization Results
3.2.1. MMTs/NR-SEM
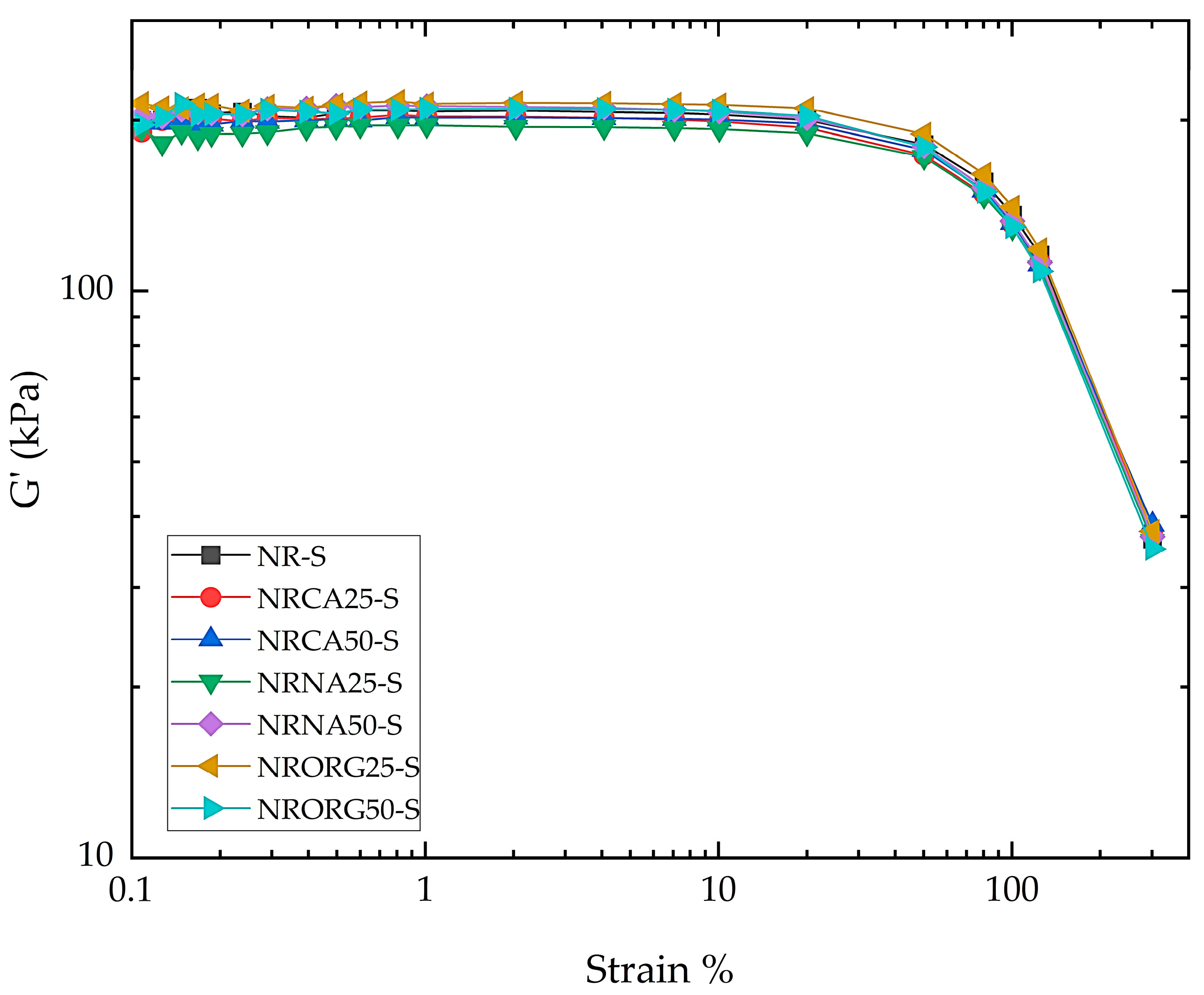
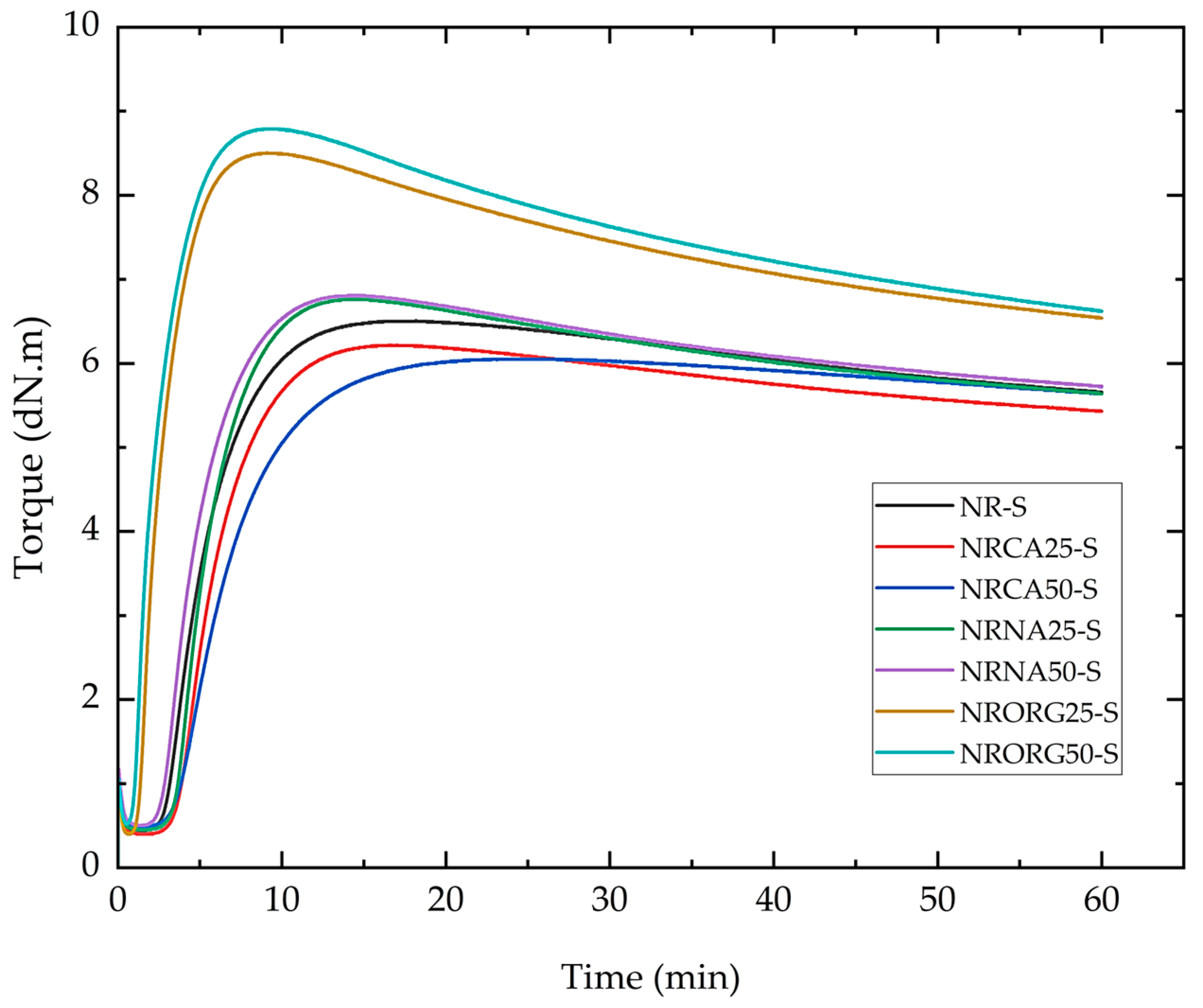
3.2.2. Rheology (RPA and Swelling Test)
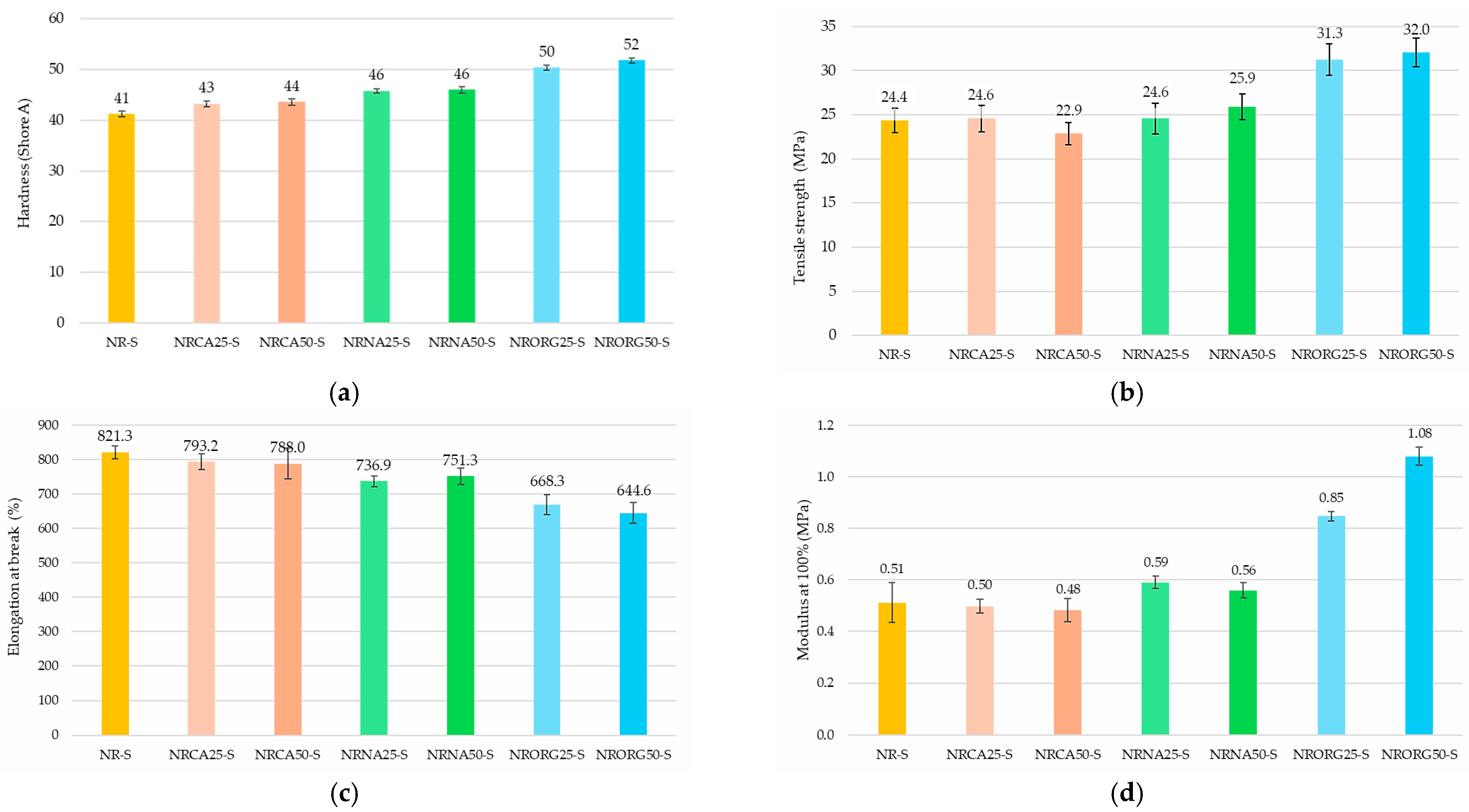
3.2.3. Mechanical Tests
4. Conclusions
Author Contributions
Funding
Data Availability Statement
Acknowledgments
Conflicts of Interest
Abbreviations
| BET | Brunauer–Emmett–Teller |
| CTAC | hexadecyltrimethylammonium chloride |
| EDS | Energy-Dispersive X-ray Spectroscopy |
| FTIR | Fourier-Transform Infrared Spectroscopy |
| MBTS | Dibenzothiazyl disulfide |
| MMT | Montmorillonite |
| MMTCa | Calcium montmorillonite |
| MMTNa | Sodium-modified montmorillonite |
| MMTORG | Organophilized montmorillonite |
| NR | Natural rubber |
| SEM | Scanning Electron Microscopy |
| SSA | Specific Surface Area |
| XRF | X-ray Fluorescence |
| XRD | X-ray Diffraction |
References
- Tazmeen, T.; Mir, F.Q. Sustainability through Materials: A Review of Green Options in Construction. Results Surf. Interfaces 2024, 14, 100206. [Google Scholar] [CrossRef]
- Mutlu, H.; Barner, L. Getting the Terms Right: Green, Sustainable, or Circular Chemistry? Macromol. Chem. Phys. 2022, 223, 2200111. [Google Scholar] [CrossRef]
- Feldman, D. Natural Rubber Nanocomposites. J. Macromol. Sci. Part A Pure Appl. Chem. 2017, 54, 629–634. [Google Scholar] [CrossRef]
- Rippel, M.M.; Bragança, F.D.C. Natural rubber and clay nanocomposites. Quim. Nova 2009, 32, 818–826. [Google Scholar] [CrossRef]
- Davies, B. Natural Rubber—Its Engineering Characteristics. Mater. Des. 1986, 7, 68–74. [Google Scholar] [CrossRef]
- Junkong, P.; Ikeda, Y. Properties of Natural Rubbers from Guayule and Rubber Dandelion. In Chemistry, Manufacture, and Applications of Natural Rubber; Kohjiya, S., Ikeda, Y., Eds.; Elsevier: Amsterdam, The Netherlands, 2021; pp. 177–201. ISBN 9780128188439. [Google Scholar]
- Ong, E.-L.; Eng, A.-H. NATURAL RUBBER. In The Vanderbilt Rubber Handbook; Sheridan, M.F., Ed.; R.T. Vanderbilt Company, Inc.: Norwalk, CT, USA, 2010; pp. 23–56. [Google Scholar]
- Kohjiya, S. Sustainable Development of Natural Rubber in the 21st Century. In Chemistry, Manufacture, and Applications of Natural Rubber; Kohjiya, S., Ikeda, Y., Eds.; Elsevier: Amsterdam, The Netherlands, 2021; pp. 463–479. ISBN 9780128188439. [Google Scholar]
- Santos, P.D.S. Ciência e Tecnologia de Argilas, Aplicada Às Argilas Brasileiras e Aplicações; v. 1-2.; Edgar Blücher: São Paulo, Brazil, 1975. [Google Scholar]
- Murray, H.H. Clays in. Ullmann’s Encyclopedia of Industrial Chemistry, 6th ed.; Wiley-VCH Verlag GmBH: Weinheim, Germany, 2000. [Google Scholar]
- Mitchell, J.K.; Soga, K. Fundamentals of Soil Behavior, 2nd ed.; John Wiley and Sons: New York, NY, USA, 2005. [Google Scholar]
- Mouri, H. Fillers. In Rubber Technologist’s Handbook; Rapra Technology Limited: Shropshire, UK, 2001; pp. 131–165. [Google Scholar]
- Murray, H.H. Applied Clay Mineralogy: Occurrences, Processing and Application of Kaolins, Bentonites, Palygorskite-Sepiolite, and Common Clays; Elsevier: Amsterdam, The Netherlands, 2007; Volume 2, ISBN 9780444517012. [Google Scholar]
- Hosseini, S.M.S.; Mirzaei, M. Assessment of the Colloidal Montmorillonite Dispersion as a Low-Cost and Eco-Friendly Nanofluid for Improving Thermal Performance of Plate Heat Exchanger. SN Appl. Sci. 2020, 2, 1719. [Google Scholar] [CrossRef]
- Diaz, F.R.V.; Santos, P.D. Studies on the Acid Activation of Brazilian Smectitic Clays. Quim. Nova 2001, 24, 345–353. [Google Scholar]
- Bergaya, F.; Lagaly, G. General Introduction: Clays, Clay Minerals, and Clay Science, 1st ed.; Elsevier Inc.: Amsterdam, The Netherlands, 2013; Volume 5, ISBN 9780080982588. [Google Scholar]
- Bechtner, P. Bentonite. In Industrial Minerals and Rocks; Dolbear, S.H., Bowles, O., Bain, H.F., Ball, S.H., Bradley, W.W., Gillson, J.L., Joslin, G.A., Meagher, E.C., Rockwood, N.C., Smith, H.I., Eds.; American Institute of Mining, Metallurgical and Petroleum Engineers: New York, NY, USA, 1949; Volume 1, pp. 119–126. [Google Scholar]
- Keller, W.D. Scanning Electron Micrographs of Claystone Altering to Flint Clay. Clays Clay Miner. 1982, 30, 150–152. [Google Scholar] [CrossRef]
- Ohrdorf, K.H.; Flachberger, H. Processing of Calcium Montmorillonites for Use in Polymers. In Polymer Nanoclay Composites; Laske, S., Ed.; Elsevier Inc.: Amsterdam, The Netherlands, 2015; pp. 1–25. ISBN 9780323312721. [Google Scholar]
- Magzoub, M.I.; Nasser, M.S.; Hussein, I.A.; Benamor, A.; Onaizi, S.A.; Sultan, A.S.; Mahmoud, M.A. Effects of Sodium Carbonate Addition, Heat and Agitation on Swelling and Rheological Behavior of Ca-Bentonite Colloidal Dispersions. Appl. Clay Sci. 2017, 147, 176–183. [Google Scholar] [CrossRef]
- Bazbouz, M.B.; Russell, S.J. Cellulose Acetate/Sodium-Activated Natural Bentonite Clay Nanofibres Produced by Free Surface Electrospinning. J. Mater. Sci. 2018, 53, 10891–10909. [Google Scholar] [CrossRef]
- Hayakawa, T.; Oya, M.; Minase, M.; Fujita, K. Applied Clay Science Preparation of Sodium-Type Bentonite with Useful Swelling Property by a Mechanochemical Reaction from a Weathered Bentonite. Appl. Clay Sci. 2019, 175, 124–129. [Google Scholar] [CrossRef]
- Silva Filho, E.A.; D’Agostini Vazzoler, F.S.; Vazzoler, H.; Uliana, F.; Valenzuela Diaz, F.R. Organophilic Clays and Their Application in Atrazine Adsorption. Ceramica 2021, 67, 158–163. [Google Scholar] [CrossRef]
- Qian, Y.; Huang, Z.; Zhou, G.; Chen, C.; Sang, Y.; Yu, Z.; Jiang, L.; Mei, Y.; Wei, Y. Preparation and Properties of Organically Modified Na-Montmorillonite. Materials 2023, 16, 3184. [Google Scholar] [CrossRef] [PubMed]
- de Paiva, L.B.; Morales, A.R.; Valenzuela Díaz, F.R. Organoclays: Properties, Preparation and Applications. Appl. Clay Sci. 2008, 42, 8–24. [Google Scholar] [CrossRef]
- Silva, A.R.V.; Ferreira, H.C. Esmectitas Organofílicas: Conceitos, Estruturas, Propriedades, Síntese, Usos Industriais e Produtores/Fornecedores Nacionais. Rev. Eletrônica Mater. Process. 2008, 3.3, 1–11. [Google Scholar]
- Pereira, K.A.B.; Aguiar, K.L.N.P.; Oliveira, P.F.; Vicente, B.M.; Pedroni, L.G.; Mansur, C.R.E. Synthesis of Hydrogel Nanocomposites Based on Partially Hydrolyzed Polyacrylamide, Polyethyleneimine, and Modified Clay. ACS Omega 2020, 5, 4759–4769. [Google Scholar] [CrossRef]
- Molina, C.B.; Sanz-Santos, E.; Boukhemkhem, A.; Bedia, J.; Belver, C.; Rodriguez, J.J. Removal of Emerging Pollutants in Aqueous Phase by Heterogeneous Fenton and Photo-Fenton with Fe2O3-TiO2-Clay Heterostructures. Environ. Sci. Pollut. Res. 2020, 27, 38434–38445. [Google Scholar] [CrossRef]
- Resende, R.F.; Silva, T.F.B.; Santos, N.A.D.V.; Papini, R.M.; Magriotis, Z.M. Anionic Collector Adsorption onto Bentonites and Potential Applications in the Treatment of Mining Wastewater. Colloids Surfaces A Physicochem. Eng. Asp. 2021, 629, 127401. [Google Scholar] [CrossRef]
- de Souza, F.M.; dos Santos, O.A.A. Assessment of Fixed Bed Adsorption of 2,4-D Herbicide onto Modified Bentonite Clay. Water. Air. Soil Pollut. 2022, 233, 158. [Google Scholar] [CrossRef]
- Oliveira, L.H.; de Lima, I.S.; Enedina, E.R.; de Lima, S.G.; Trigueiro, P.; Osajima, J.A.; da Silva-Filho, E.C.; Jaber, M.; Fonseca, M.G. Essential Oil in Bentonite: Effect of Organofunctionalization on Antibacterial Activities. Appl. Clay Sci. 2023, 245, 107158. [Google Scholar] [CrossRef]
- Taibi, Z.; Bentaleb, K.; Bouberka, Z.; Pierlot, C.; Vandewalle, M.; Volkringer, C.; Supiot, P.; Maschke, U. Adsorption of Orange G Dye on Hydrophobic Activated Bentonite from Aqueous Solution. Crystals 2023, 13, 211. [Google Scholar] [CrossRef]
- Aguiar, K.L.N.P.; Pereira, K.A.B.; Mendes, M.S.L.; Pedroni, L.G.; Oliveira, P.F.; Mansur, C.R.E. Study of the Modification of Bentonite for the Formation of Nanocomposite Hydrogels with Potential Applicability in Conformance Control. J. Pet. Sci. Eng. 2020, 195, 107600. [Google Scholar] [CrossRef]
- França, D.B.; Trigueiro, P.; Silva Filho, E.C.; Fonseca, M.G.; Jaber, M. Monitoring Diclofenac Adsorption by Organophilic Alkylpyridinium Bentonites. Chemosphere 2020, 242, 125109. [Google Scholar] [CrossRef] [PubMed]
- Capelezzo, A.P.; Celuppi, L.C.M.; Macuvele, D.L.P.; Zeferino, R.C.F.; Zanetti, M.; Bender, J.P.; de Mello, J.M.M.; Fiori, M.A.; Riella, H.G. Obtaining and Characterization of Bentonite Organophilic Incorporated with Geranyl Acetate and Its Application as Mycotoxins’ Binder in Simulated Gastrointestinal Fluids. Appl. Clay Sci. 2023, 237, 106915. [Google Scholar] [CrossRef]
- Nag, A.; Hayakawa, T.; Minase, M.; Ogawa, M. Organophilic Clay with Useful Whiteness. Langmuir 2022, 38, 2979–2985. [Google Scholar] [CrossRef]
- Guo, H.; Jing, X.; Zhang, L.; Wang, J. Preparation of Inorganic-Organic Pillared Montmorillonite Using Ultrasonic Treatment. J. Mater. Sci. 2007, 42, 6951–6955. [Google Scholar] [CrossRef]
- Nafees, M.; Waseem, A.; Khan, A.R. Comparative Study of Laterite and Bentonite Based Organoclays: Implications of Hydrophobic Compounds Remediation from Aqueous Solutions. Sci. World J. 2013, 2013, 681769. [Google Scholar] [CrossRef]
- Kumar Sharma, A.; Bhandari, R.; Sharma, C.; Krishna Dhakad, S.; Pinca-Bretotean, C. Polymer Matrix Composites: A State of Art Review. Mater. Today Proc. 2022, 57, 2330–2333. [Google Scholar] [CrossRef]
- Sethulekshmi, A.S.; Saritha, A.; Joseph, K. A Comprehensive Review on the Recent Advancements in Natural Rubber Nanocomposites. Int. J. Biol. Macromol. 2022, 194, 819–842. [Google Scholar] [CrossRef]
- Giannelis, E.P. Polymer-Layered Silicate Nanocomposites: Synthesis, Properties and Applications. Appl. Organomet. Chem. 1998, 12, 675–680. [Google Scholar] [CrossRef]
- Dick, J.S. How to Improve Rubber Compounds. In How to Improve Rubber Compounds; Carl Hanser Verlag GmbH & Co. KG: München, Germany, 2014; pp. I–XIII. ISBN 9781569905333. [Google Scholar]
- Vaia, R.A.; Wagner, H.D. Framework for Nanocomposites. Mater. Today 2004, 7, 32–37. [Google Scholar] [CrossRef]
- Witschnigg, A. Characterization of Polymer Nanocomposites Based on Layered Silicates. In Polymer Nanoclay Composites; Laske, S., Ed.; Elsevier Inc.: Amsterdam, The Netherlands, 2015; pp. 93–126. ISBN 9780323312721. [Google Scholar]
- Krishnamoorti, R.; Yurekli, K. Rheology of Polymer Layered Silicate Nanocomposites. Curr. Opin. Colloid Interface Sci. 2001, 6, 464–470. [Google Scholar] [CrossRef]
- Galimberti, M.; Cipolletti, V.R.; Coombs, M. Applications of Clay–Polymer Nanocomposites. In Developments in Clay Science; Bergaya, F., Lagaly, G., Eds.; Elsevier Ltd.: Amsterdam, The Netherlands, 2013; Volume 5, pp. 539–586. ISBN 9780080982595. [Google Scholar]
- Kohjiya, S.; Kato, A.; Ikeda, Y. Rubbery Materials and Soft Nanocomposites. In Reinforcement of Rubber: Visualization of Nanofiller and the Reinforcing Mechanism; Kohjiya, S., Kato, A., Ikeda, Y., Eds.; Springer: Berlin/Heidelberg, Germany, 2020; pp. 3–12. ISBN 9789811537899. [Google Scholar]
- López-Manchado, M.A.; Arroyo, M.; Herrero, B.; Biagiotti, J. Vulcanization Kinetics of Natural Rubber-Organoclay Nanocomposites. J. Appl. Polym. Sci. 2003, 89, 1–15. [Google Scholar] [CrossRef]
- Arroyo, M.; López-Manchado, M.A.; Herrero, B. Organo-Montmorillonite as Substitute of Carbon Black in Natural Rubber Compounds. Polymer 2003, 44, 2447–2453. [Google Scholar] [CrossRef]
- Masa, A.; Iimori, S.; Saito, R.; Saito, H.; Sakai, T.; Kaesaman, A.; Lopattananon, N. Strain-induced Crystallization Behavior of Phenolic Resin Crosslinked Natural Rubber/Clay Nanocomposites. J. Appl. Polym. Sci. 2015, 132, 42580. [Google Scholar] [CrossRef]
- Sattayanurak, S.; Sahakaro, K.; Kaewsakul, W.; Dierkes, W.K.; Reuvekamp, L.A.E.M.; Blume, A.; Noordermeer, J.W.M. Elucidating the Role of Clay-Modifier on the Properties of Silica-and Silica/Nanoclay-Reinforced Natural Rubber Tire Compounds. Express Polym. Lett. 2021, 15, 666–684. [Google Scholar] [CrossRef]
- Kausar, A.; Ahmad, I.; Maaza, M.; Eisa, M.H. State-of-the-Art Nanoclay Reinforcement in Green Polymeric Nanocomposite: From Design to New Opportunities. Minerals 2022, 12, 1495. [Google Scholar] [CrossRef]
- Archibong, F.N.; Orakwe, L.C.; Ogah, O.A.; Mbam, S.O.; Ajah, S.A.; Okechukwu, M.E.; Igberi, C.O.; Okafor, K.J.; Chima, M.O.; Ikelle, I.I. Emerging Progress in Montmorillonite Rubber/Polymer Nanocomposites: A Review. J. Mater. Sci. 2023, 58, 2396–2429. [Google Scholar] [CrossRef]
- Sasikumar, S.; Kishore Sivaram, S.; Yadav, P.K.; Murugesan, S. Review on the Development of Natural Rubber/Nanoclay Nanocomposites; INC: New York, NY, USA, 2024; ISBN 9780443133909. [Google Scholar]
- Valenzuela-Diaz, F.R.; de Abreu, L.D.V.; Santos, P.D.S. Hot Sodium Cation Exchange in Light-Green Smectitic Clay from Campina Grande, Paraiba. Ceramica 1997, 42, 290–293. [Google Scholar]
- Valenzuela-Díaz, F.R. Preparation of Organophilic Clays from a Brazilian Smectitic Clay. Key Eng. Mater. 2001, 189–191, 203–207. [Google Scholar] [CrossRef]
- ASTM D2084; Standard Test Method for Rubber Property—Vulcanization Using Oscillating Disk Cure Meter. ASTM International: West Conshohocken, PA, USA, 2019.
- ASTM D8059; Standard Test Method for Rubber Compounds—Measurement of Unvulcanized Dynamic Strain Sof-Tening (Payne Effect) Using Sealed Cavity Rotorless Shear Rheometers. ASTM International: West Conshohocken, PA, USA, 2022.
- ASTM D2765; Standard Test Methods for Determination of Gel Content and Swell Ratio of Crosslinked Ethylene Plastics. ASTM International: West Conshohocken, PA, USA, 2024.
- Flory, P.J.; Rehner, J. Statistical Mechanics of Cross-Linked Polymer Networks II. Swelling. J. Chem. Phys. 1943, 11, 521–526. [Google Scholar] [CrossRef]
- ASTM D412-06; Standard Test Methods for Vulcanized Rubber and Thermoplastic Elastomers-Tension. ASTM International: West Conshohocken, PA, USA, 2017.
- ASTM D2240-15; Standard Test Method for Rubber Property—Durometer Hardness. ASTM International: West Conshohocken, PA, USA, 2017.
- Souza Santos, P. Ciência e Tecnologia de Argilas, 2nd ed.; Edgard Blücher: São Paulo, Brazil, 1989; Volume 1. [Google Scholar]
- Yaghmaeiyan, N.; Mirzaei, M.; Delghavi, R. Montmorillonite Clay: Introduction and Evaluation of Its Applications in Different Organic Syntheses as Catalyst: A Review. Results Chem. 2022, 4, 100549. [Google Scholar] [CrossRef]
- Delbem, M.F.; Valera, T.S.; Valenzuela-Diaz, F.R.; Demarquette, N.R. Modification of a Brazilian Smectite Clay with Different Quaternary Ammonium Salts. Quim. Nova 2010, 33, 309–315. [Google Scholar] [CrossRef]
- Brigatti, M.F.; Galán, E.; Theng, B.K.G. Structure and Mineralogy of Clay Minerals. In Developments in Clay Science; Bergaya, F., Lagaly, G., Eds.; Elsevier: Amsterdam, The Netherlands, 2013; Volume 5, pp. 21–81. ISBN 9780080982588. [Google Scholar]
- Brindley, G.W.; Brown, G. Crystal Structures of Clay Minerals and Their X-Ray Identification. In Mineralogical Society Monograph No. 5; Mineralogical Society of Great Britain and Ireland: London, UK, 1980; pp. 305–360. [Google Scholar]
- Sun, Y.; Luo, Y.; Jia, D. Preparation and Properties of Natural Rubber Nanocomposites with Solid-state Organomodified Montmorillonite. J. Appl. Polym. Sci. 2008, 107, 2786–2792. [Google Scholar] [CrossRef]
- Farmer, V.C.; Palmieri, F. The Characterization of Adsorption Bonds in Clays by Infrared Spectroscopy. In Soil Science; Gieseking, J., Ed.; Springer: Berlin/Heidelberg, Germany, 1975; pp. 573–670. [Google Scholar]
- Yu, Y.; Chen, Z.; Zhang, Q.; Jiang, M.; Zhong, Z.; Chen, T.; Jiang, J. Modified Montmorillonite Combined with Intumescent Flame Retardants on the Flame Retardancy and Thermal Stability Properties of Unsaturated Polyester Resins. Polym. Adv. Technol. 2019, 30, 998–1009. [Google Scholar] [CrossRef]
- Bergaya, F.; Lagaly, G. Introduction to Clay Science. In Developments in Clay Science; Elsevier Ltd.: Amsterdam, The Netherlands, 2013; Volume 5, pp. 1–7. ISBN 9780080982595. [Google Scholar]
- Hrachová, J.; Komadel, P.; Chodák, I. Natural Rubber Nanocomposites with Organo-Modified Bentonite. Clays Clay Miner. 2009, 57, 444–451. [Google Scholar] [CrossRef]
- Michot, L.J.; Villiéras, F. Surface Area and Porosity. In Handbook of Clay Science; Bergaya, F., Lagaly, G., Eds.; Elsevier Inc.: Amsterdam, The Netherlands, 2013; pp. 319–332. [Google Scholar]
- Chakraborty, S.; Kar, S.; Dasgupta, S.; Mukhopadhyay, R.; Bandyopadhyay, S.; Joshi, M.; Ameta, S.C. Study of the Properties of In-Situ Sodium Activated and Organomodified Bentonite Clay—SBR Rubber Nanocomposites—Part I: Characterization and Rheometric Properties. Polym. Test. 2010, 29, 181–187. [Google Scholar] [CrossRef]
- De Paiva, L.B.; Morales, A.R.; Díaz, F.R.V. Organophilic Clays: Characteristics, Preparation Methods, Intercalation Compounds and Characterization Techniques. Ceramica 2008, 54, 213–226. [Google Scholar] [CrossRef]
- Nakamoto, K. Infrared and Raman Spectra of Inorganic and Coordination Compounds—Part B, 6th ed.; John Wiley & Sons, Inc.: Hoboken, NJ, USA, 2009; ISBN 9780470405888. [Google Scholar]
- Hrachová, J.; Komadel, P.; Jochec-Mošková, D.; Krajči, J.; Janigová, I.; Šlouf, M.; Chodák, I. Properties of Organo-Clay/Natural Rubber Nanocomposites: Effects of Organophilic Modifiers. J. Appl. Polym. Sci. 2013, 127, 3447–3455. [Google Scholar] [CrossRef]
- George, S.C.; Rajan, R.; Aprem, A.S.; Thomas, S.; Kim, S.S. The Fabrication and Properties of Natural Rubber-Clay Nanocomposites. Polym. Test. 2016, 51, 165–173. [Google Scholar] [CrossRef]
- Avalos, F.; Ortiz, J.C.; Zitzumbo, R.; López-Manchado, M.A.; Verdejo, R.; Arroyo, M. Effect of Montmorillonite Intercalant Structure on the Cure Parameters of Natural Rubber. Eur. Polym. J. 2008, 44, 3108–3115. [Google Scholar] [CrossRef]
- Rajab-Qurchi, M.; Toiserkani, H. Fabrication and Evaluation of Organoclay-Reinforced Epoxidized Natural Rubber Nanocomposites: A Comprehensive Study. Polymer 2024, 299, 126976. [Google Scholar] [CrossRef]
- Heideman, G.; Noordermeer, J.W.M.; Datta, R.N.; van Baarle, B. Zinc Loaded Clay as Activator in Sulfur Vulcanization: A New Route for Zinc Oxide Reduction in Rubber Compounds. Rubber Chem. Technol. 2004, 77, 336–355. [Google Scholar] [CrossRef]
- Weiss, Z.; Klika, Z.; Čapková, P.; Janeba, D.; Kozubová, S. Sodium-Cadmium and Sodium-Zinc Exchangeability in Montmorillonite. Phys. Chem. Miner. 1998, 25, 534–540. [Google Scholar] [CrossRef]
- Galimberti, M.; Cipolletti, V.; Kumar, V. CHAPTER 2. Nanofillers in Natural Rubber. In Natural Rubber Materials, Volume 2: Composites and Nanocomposites; Thomas, S., Maria, H.J., Joy, J., Chan, C.H., Pothen, L.A., Eds.; Royal Society of Chemistry: London, UK, 2013; Volume 2, pp. 34–72. ISBN 9781849737654. [Google Scholar]
- Varghese, S.; Karger-Kocsis, J. Melt-compounded Natural Rubber Nanocomposites with Pristine and Organophilic Layered Silicates of Natural and Synthetic Origin. J. Appl. Polym. Sci. 2004, 91, 813–819. [Google Scholar] [CrossRef]
- Payne, A.R. Strainwork Dependence of Filler-loaded Vulcanizates. J. Appl. Polym. Sci. 1964, 8, 2661–2686. [Google Scholar] [CrossRef]
- Payne, A.R. A Note on the Conductivity and Modulus of Carbon Black-loaded Rubbers. J. Appl. Polym. Sci. 1965, 9, 1073–1082. [Google Scholar] [CrossRef]
- Payne, A.R.; Whittaker, R.E. Low Strain Dynamic Properties of Filled Rubbers. Rubber Chem. Technol. 1971, 44, 440–478. [Google Scholar] [CrossRef]
- Vita, S.; Ricotti, R.; Dodero, A.; Vicini, S.; Borchardt, P.; Pinori, E.; Castellano, M. Rheological, Mechanical and Morphological Characterization of Fillers in the Nautical Field: The Role of Dispersing Agents on Composite Materials. Polymers 2020, 12, 1339. [Google Scholar] [CrossRef]
- Shi, X.; Sun, S.; Zhao, A.; Zhang, H.; Zuo, M.; Song, Y.; Zheng, Q. Influence of Carbon Black on the Payne Effect of Filled Natural Rubber Compounds. Compos. Sci. Technol. 2021, 203, 108586. [Google Scholar] [CrossRef]
- Mathew, N.M. Natural Rubber. In Rubber Technologist’s Handbook; De, S.K., White, J.R., Eds.; iSmithers Rapra Publishing: Shropshire, UK, 2001; pp. 11–45. ISBN 978-1859572627. [Google Scholar]
- Yang, X.; Song, G.; Li, P.; Gu, Z.; Wang, L.; Sun, L.; Gao, L. The Structure, Properties and Application of NR/BR/OMMT Nanocomposites. High Perform. Polym. 2010, 22, 649–665. [Google Scholar] [CrossRef]













| Nomenclature | NR phr | MMT | Chemicals | ||||
|---|---|---|---|---|---|---|---|
| Type | phr | Sulfur * | Stearic Acid * | Zinc Oxide * | MBTS ** | ||
| NR-S | 100 | -- | -- | 2 | 2 | 5 | 1 |
| NRCA25-S | 100 | MMTCa | 2.5 | 2 | 2 | 5 | 1 |
| NRCA50-S | 100 | 5.0 | 2 | 2 | 5 | 1 | |
| NRNA25-S | 100 | MMTNa | 2.5 | 2 | 2 | 5 | 1 |
| NRNA50-S | 100 | 5.0 | 2 | 2 | 5 | 1 | |
| NRORG25-S | 100 | MMTORG | 2.5 | 2 | 2 | 5 | 1 |
| NRORG50-S | 100 | 5.0 | 2 | 2 | 5 | 1 | |
| Tests | Results |
|---|---|
| SSA (BET) (m2/g) | 77 |
| Moisture content (%) | 13 ± 0.2 |
| Density (powder) (g/cm3) | 0.79 ± 0.02 |
| Foster swelling (distilled water) (mL/2 g) | 5 (no agitation)/5 (after agitation) |
| Oxides | SiO2 | Al2O3 | Fe2O3 | MgO | CaO | K2O | TiO2 | LOI * |
|---|---|---|---|---|---|---|---|---|
| % | 50.6 | 21.4 | 9.7 | 2.5 | 0.6 | 1.3 | 1.2 | 12.7 |
| Oxides | wt.% |
|---|---|
| SiO2 | 58.85 |
| Al2O3 | 21.37 |
| Fe2O3 | 12.61 |
| MgO | 3.61 |
| CaO | 0.65 |
| K2O | 1.19 |
| TiO2 | 1.72 |
| Total | 100 |
| Clay Sample | Tests | ||||
|---|---|---|---|---|---|
| Density (Powder) (g/cm3) | Moisture Content (%) | SSA (BET) (m2/g) | Foster Swelling (mL/2 g) (Ethylic Alcohol) | ||
| (No Agitation) | (After Agitation) | ||||
| MMTCa | 0.79 ± 0.02 | 13 ± 0.2 | 77 | 1.8 | 1.8 |
| MMTNa | 0.58 ± 0.01 | 5 ± 0.4 | 39 | 3.1 | 3.5 |
| MMTORG | 0.60 ± 0.02 | 3 ± 0.5 | 10 | 4.1 | 5.0 |
| Oxides | wt.% |
|---|---|
| SiO2 | 58.50 |
| Al2O3 | 21.12 |
| Fe2O3 | 8.72 |
| MgO | 3.20 |
| Na2O | 5.76 |
| K2O | 1.09 |
| TiO2 | 1.61 |
| Total | 100 |
| Oxides | wt.% |
|---|---|
| SiO2 | 57.69 |
| Al2O3 | 25.27 |
| Fe2O3 | 10.15 |
| MgO | 3.04 |
| K2O | 1.45 |
| Cl2O3 | 0.50 |
| TiO2 | 1.90 |
| Total | 100 |
Disclaimer/Publisher’s Note: The statements, opinions and data contained in all publications are solely those of the individual author(s) and contributor(s) and not of MDPI and/or the editor(s). MDPI and/or the editor(s) disclaim responsibility for any injury to people or property resulting from any ideas, methods, instructions or products referred to in the content. |
© 2025 by the authors. Licensee MDPI, Basel, Switzerland. This article is an open access article distributed under the terms and conditions of the Creative Commons Attribution (CC BY) license (https://creativecommons.org/licenses/by/4.0/).
Share and Cite
Bastos Andrade, C.G.; Santos, G.A.M.d.; Camargo, M.C.; Gonzaga Neto, A.C.; Valera, T.S.; Toffoli, S.M. Effect of a Montmorillonite Modification on the Rheology and Mechanical Properties of a Clay/Natural Rubber Nanocomposite. Minerals 2025, 15, 1151. https://doi.org/10.3390/min15111151
Bastos Andrade CG, Santos GAMd, Camargo MC, Gonzaga Neto AC, Valera TS, Toffoli SM. Effect of a Montmorillonite Modification on the Rheology and Mechanical Properties of a Clay/Natural Rubber Nanocomposite. Minerals. 2025; 15(11):1151. https://doi.org/10.3390/min15111151
Chicago/Turabian StyleBastos Andrade, Christiano Gianesi, Gabriel Akio Mori dos Santos, Michael Cezar Camargo, Abel Cardoso Gonzaga Neto, Ticiane Sanches Valera, and Samuel Marcio Toffoli. 2025. "Effect of a Montmorillonite Modification on the Rheology and Mechanical Properties of a Clay/Natural Rubber Nanocomposite" Minerals 15, no. 11: 1151. https://doi.org/10.3390/min15111151
APA StyleBastos Andrade, C. G., Santos, G. A. M. d., Camargo, M. C., Gonzaga Neto, A. C., Valera, T. S., & Toffoli, S. M. (2025). Effect of a Montmorillonite Modification on the Rheology and Mechanical Properties of a Clay/Natural Rubber Nanocomposite. Minerals, 15(11), 1151. https://doi.org/10.3390/min15111151

