Genesis and Timing of Low-Sulphide Gold–Quartz Mineralization of the Upryamoye Ore Field, Western Chukotka
Abstract
1. Introduction

2. Geological Background
Regional Geology

3. Sampling and Analytical Methods
4. Results
4.1. Features of the Geological Structure of the Upryamoye Ore Field
4.2. Petrographic Composition of the Host Rocks
4.3. Vein Paragenetic Associations
- Quartz veins formed by pressure dissolution and redeposition of material in decompression zones (e.g., quartz vein zones, newly formed quartz in rocks, and quartz replacement veins formed during the late stages of cleavage development). They consist predominantly of milky, fine-grained quartz, with iron hydroxides often developing along microcracks. They are barren;
- Pre-ore chlorite–carbonate–quartz veins. The vein material is coarse-crystalline, milky, white, translucent quartz (70%–80%). Calcite content is variable (5%–20%), and chlorite is present in a finely dispersed state. These veins are unproductive for gold mineralization;
- Carbonate–quartz veins and veinlets. They are composed of 80%–85% milky white coarse- to fine-crystalline quartz and 5%–15% medium- to coarse-crystalline ferruginous, magnesian carbonates, and calcite (Figure 7B). The ferruginous carbonate is cream to brown, with a wedge-shaped habit and optical properties corresponding to ankerite. The large ore-bearing zones of the Upryamoye ore field are associated with these hydrothermal formations;
- Sulphide–carbonate–quartz veins and veinlets. The vein material consists of milky quartz and rock crystal (80%–90% on average, up to 95%). Yellow- and buff-colored carbonates (ankerite occur as small nests, comprising 5%–8%). Sulphide mineralization averages 0.5%–3% and forms nodular, veinlet, and disseminated textures. These are the most productive formations for gold mineralization (Figure 7C).
- Post-ore chlorite–carbonate–quartz veins and veinlets are observed as rare, isolated paragenetic associations that crosscut earlier, productive, and tectonized carbonate–quartz and sulphide–carbonate–quartz veins in mylonite zones (Figure 7D). They are unpromising for gold mineralization.
4.4. Mineralogical Features of Ores
- Pyrite association. Diagenetic pyrite-I forms of cubic and pentagonal dodecahedral metacrystals in siltstones and sandstones, ranging in size from 1 × 1 mm to 5 × 5 mm (Figure 9A). These metacrystals and intergrowths are surrounded by quartz–carbonate rims, characteristic of sulphides in greenschist-facies metamorphic rocks. Rare, small inclusions of sphalerite and chalcopyrite (up to 100 µm) are found within pyrite crystals.
- Chalcopyrite–sphalerite–galena–pyrite association (Figure 9B). Pyrite-II forms granular masses as aggregates, lenses, and interlayers up to 0.3 mm, as well as veins up to 2 cm in siltstones. Chalcopyrite and sphalerite occur as small inclusions in pyrite aggregates. In the intergranular space of boudinaged pyrite-II nests, xenomorphic, vein-like inclusions of chalcopyrite, sphalerite, and galena (up to 100 µm) are observed.
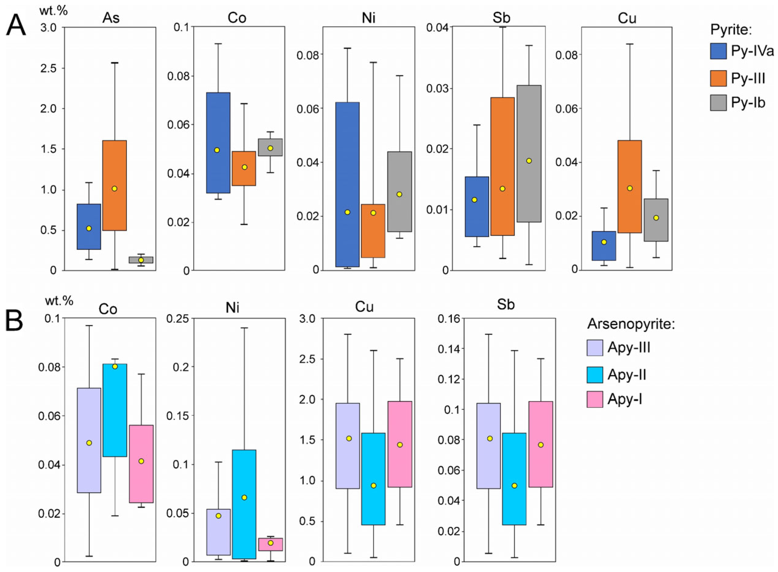
- Gold–pyrite–arsenopyrite association. Pyrite-IIIa forms large cataclastic aggregates up to 0.5 cm, sometimes containing relict arsenopyrite-I crystals up to 250 µm (Figure 9C). Smaller pyrite-IIIb crystals of pentagonal dodecahedral habit are also present, not exceeding 300 µm. Arsenopyrite is non-stoichiometric, a sulphur-rich variety with an As/S ratio of 0.77 to 0.89. It contains Ni (0.01–0.05 wt.%), Co (0.02–0.08 wt.%), Cu (up to 0.05 wt.%), and Sb (0.02–0.25 wt.%) impurities. Pyrite is nearly stoichiometric, containing As (0.56–1.14 wt.%) and Co (up to 0.06 wt.%) impurities, with low concentrations of Cu, Ni, and Sb. Native gold occurs as inclusions (5–25 µm) in both pyrite-III types and in arsenopyrite-I, with a fineness of 876–945‰ (Figure 10A).
- Gold–pyrite association with galena–tetrahedrite–sphalerite–chalcopyrite–arsenopyrite association. Pyrite-IVa forms large subhedral cubic crystals up to 800 µm in size, containing vein-like and droplet-shaped inclusions of native gold up to 150 µm, with a fineness of 776–850‰. This pyrite is stoichiometric, containing up to 1.74 wt.% As and up to 0.99 wt.% Co. Notably, the arsenic-bearing pyrite has an elevated gold content. Highly fractured, wedge-shaped, dipyramidal arsenopyrite-II crystals (200–500 µm) are also observed (Figure 9D). This arsenopyrite is non-stoichiometric and sulphur-rich (As/S = 0.74–0.86), with Ni (0.01–0.73 wt.%), Co (<0.25 wt.%), and Sb (up to 0.26 wt.%). Cu and Zn concentrations are low. Xenomorphic inclusions of chalcopyrite (up to 500 µm), sphalerite, and tetrahedrite (up to 250 µm) are also present.
- Gold–pyrite–arsenopyrite association. Arsenopyrite-III occurs as dipyramidal and short prismatic crystals up to 0.4 mm, and as xenomorphic grains, intergrowths, and veins up to 8 mm thick (Figure 9E). Pyrite-IVa forms subhedral cubic crystals up to 0.2 mm and fine pentagonal dodecahedral inclusions (pyrite-IVb). Native gold occurs as single, finely dispersed segregations, droplet-like inclusions, and metacrystals in arsenopyrite-III, not exceeding 50 µm (Figure 10). Gold fineness is 944–946‰.
- Pyrite–tetrahedrite–chalcopyrite–galena–sphalerite association (Figure 9F). Sphalerite forms large aggregates and nests up to 2 mm, containing emulsion inclusions of chalcopyrite. Galena forms xenomorphic grains up to 500 µm and larger aggregates, veins up to 2 mm. Chalcopyrite forms xenomorphic inclusions up to 250 µm in contact with galena. Tetrahedrite occurs on the periphery of sphalerite aggregates as xenomorphic aggregates up to 200 µm. Pyrite is subordinate, forming xenomorphic grains (50–100 µm, rarely up to 700 µm), often associated with sphalerite. Bournonite is present as relic xenomorphic grains ~300 µm in size.
- Supergene mineral association, consisting of iron hydroxides, hydroarsenates, covellite, and other minerals that replace primary and secondary sulphides.
4.5. Results of Ore Mineralization Dating
5. Discussion
5.1. The Age and Genesis of Gold–Quartz Mineralization
5.2. Main Mineralization Stages
5.3. Structural Evolution of the Upryamoye Ore Field
- spatial association with a fold structure (the Peristaya anticline);
- structural control by faults (saddle reef veins, shatter zones);
- host rocks that were deformed and subjected to regional greenschist-facies metamorphism, developing schistosity, cleavage, quartz recrystallization, and secondary chlorite and albite;
- emplacement of quartz, carbonate–quartz, and sulphide veins into metamorphosed rocks;
- presence of secondary alterations (sericitization, carbonatization, kaolinitization, sulphidation);
- low ow sulphide mineral content (1%–3%), classifying it as a low-sulphide type;
- extremely uneven distribution of gold within vein zones.
6. Conclusions
Supplementary Materials
Author Contributions
Funding
Data Availability Statement
Acknowledgments
Conflicts of Interest
References
- Sokolov, S.N.; Seredovskikh, B.A. The Structure and Dynamics of the Mineral Resource Potential of the Regions of Asian Russia in 2006–2022. Surgut State Pedagog. Univ. Bull. 2024, 93, 94–104. [Google Scholar] [CrossRef]
- Volkov, A.V.; Galyamov, A.L.; Sidorov, A.A. Prospects of Gold Mining Development in the Chukotka Autonomous District. Arctic Ecol. Econ. 2017, 28, 83–97. [Google Scholar] [CrossRef]
- Goryachev, N.A. Geology of Mesozoic Gold Quartz Vein Belts in Northeastern Asia; Goncharov, V.I., Ed.; NEISRI FEB RAS: Magadan, Russia, 1998; 120p, ISBN 5744210881. [Google Scholar]
- Goryachev, N.A. Gold-Ore-Forming Systems of Orogenic Belts. In Bulletin of the Northeastern Scientific Center of the FEB of the RAS; NSCMB FEB RAS: Vladivostok, Russia, 2006; pp. 2–16. [Google Scholar]
- Volkov, A.V.; Goncharov, V.I.; Sidorov, A.A. Gold and Silver Deposits of Chukotka; Goryachev, N.A., Ed.; IGEM RAS: Moscow, Russia; NEISRI FEB RAS: Magadan, Russia, 2006; 221p, ISBN 5-94729-073-1. [Google Scholar]
- Bondarenko, G.E. Tectonica and Geodynamic Evolution of the Mesozoic of the Norhern Rim of the Pacific Ocean. Ph.D. Thesis, Moscow State University, Moscow, Russia, 2004; 46р. [Google Scholar]
- Sokolov, S.D.; Tuchkova, M.I.; Ganelin, A.V.; Gondarenko, G.E.; Layer, P. Tectonics of the South Anyui Suture, Northeastern Asia. Geotectonics 2015, 49, 3–26. [Google Scholar] [CrossRef]
- Luchitskaya, M.V.; Sokolov, S.D. Stages of Granitoid Magmatism and Continental Crust Formation of Eastern Arctic. Geotectonics 2021, 55, 717–739. [Google Scholar] [CrossRef]
- Akinin, V.V.; Polzunenkov, G.O.; Gottlieb, E.S.; Miller, E.L. Cretaceous Monzonite-Granite-Migmatite Velitkenay Complex: Petrology, Geochemistry of Rocks and Zircons (U-Pb, Hf, O) as Applied to Reconstructing the Evolution of Magmatism and Continental Crust in Artic Alaska–Chukotka Block. Petrology 2022, 30, 227–257. [Google Scholar] [CrossRef]
- Tikhomirov, P.L.; Luchitskaya, M.V.; Prokofiev, V.Y.; Akinin, V.V.; Miller, E.L.; Isaeva, E.P.; Palechek, T.N.; Starikova, E.V.; Boldyreva, A.I.; Wiegand, B. Evolution of Aptian and Albian Magmatism of Western and Northern Chukotka (Northeast Russia) Based on Zircon U-Pb Geochronology and Rock Geochemistry. Int. Geol. Rev. 2024, 66, 607–632. [Google Scholar] [CrossRef]
- Chitalin, A.F.; Baksheev, I.A.; Nikolaev, Y.N.; Djedjeya, G.T.; Khabibullina, Y.N.; Müller, D. Porphyry Cu–Au ± Mo Mineralization Hosted by Potassic Igneous Rocks: Implications from the Giant Peschanka Porphyry Deposit, Baimka Trend (North East Siberia, Russia). Geol. Soc. Lond. Spec. Publ. 2022, 513, 323–349. [Google Scholar] [CrossRef]
- Bortnikov, N.S.; Volkov, A.V.; Savva, N.E.; Prokofiev, V.Y.; Kolova, E.E.; Dolomanova-Topol’, A.A.; Galyamov, A.L.; Murashov, K.Y. Epithermal Au–Ag–Se–Te Deposits of the Chukchi Peninsula (Arctic Zone of Russia): Metallogeny, Mineral Assemblages, and Fluid Regime. Russ. Geol. Geophys. 2022, 63, 435–457. [Google Scholar] [CrossRef]
- Thomson, B.; Téllez, C.C.; Dietrich, A.; Oliver, N.H.S.; Akinin, V.; Blenkinsop, T.G.; Guskov, A.; Benowitz, J.; Layer, P.W.; Polzunenkov, G. The Dvoinoye and September Northeast High-Grade Epithermal Au–Ag Veins, Vodorazdelnaya District, Chukotka Region, Russia. Min. Depos. 2022, 57, 353–376. [Google Scholar] [CrossRef]
- Thomson, B.; Pratt, W.T.; Rhys, D.A.; Oliver, N.H.S.; Halley, S.W.; Fischl, P.; Akinin, V.V.; Dotzov, D. The Kupol Epithermal Au-Ag Vein District, Chukotka, Far Eastern Russia. Econ. Geol. 2023, 118, 93–122. [Google Scholar] [CrossRef]
- Maksarov, R.; Prokopiev, I.; Doroshkevich, A.; Redin, Y.; Malyutina, A. New Data on the Mineralogy of the Gold-Sulfide Ore Type of the Karalveem Deposit, Chukotka. Ores Met. 2022, 1, 24–43. [Google Scholar] [CrossRef]
- Ladny, O.S. Geological-Structural Position and Genesis of the Sovinoe Gold Ore Deposit in Chukotka. Otechestvennaya Geol. 2024, 2, 38–54. [Google Scholar] [CrossRef]
- Nagornaya, E.V.; Baksheev, I.A.; Selby, D.; Tikhomirov, P.L. The Latest Aptian/Earliest Albian Age of the Kekura Gold Deposit, Western Chukotka, Russia: Implications for Mineralization Associated with Post-Collisional Magmatism. Min. Depos. 2020, 55, 1255–1262. [Google Scholar] [CrossRef]
- Baranov, M.A.; Zhuravlev, G.F.; Kazmin, S.S.; Malakhov, V.A.; Shebesta, Y.A. The State Geological Map of the Russian Federation, Scale 1:200,000; Anyuisko-Chaunskaya Series; Sheet R-59-XXXI, XXXIII; Explanatory Note; Bychkov, Y.M., Ed.; Ministry of Natural Resources Russian Federation: Moscow, Russia; VSEGEI: Saint Petersburg, Russia; Chukotprirodresursy, Chaunskoye GGP CJSC: Moscow, Russia, 2000; 102p. [Google Scholar]
- Sokolov, S.D.; Bondarenko, G.E.; Morozov, O.L.; Grigoryev, V.N. The Asian Continent—Northwestern Pacific Transition Zone in the Late Jurassic-Early Cretaceous Period. In Theoretical and Regional Problems of Geodynamics; Gavrilov, Y.O., Kurenkov, S.A., Eds.; Nauka: Moscow, Russia, 1999; Volume 515, pp. 30–82. [Google Scholar]
- Tikhomirov, P.L.; Prokof’ev, V.Y.; Kal’ko, I.A.; Apletalin, A.V.; Nikolaev, Y.N.; Kobayashi, K.; Nakamura, E. Post-Collisional Magmatism of Western Chukotka and Early Cretaceous Tectonic Rearrangement in Northeastern Asia. Geotectonics 2017, 51, 131–151. [Google Scholar] [CrossRef]
- Pilitsyn, A.G.; Volkov, A.V.; Savva, N.E.; Grigorieva, A.V.; Pilitsyna, T.A.; Sidorova, N.V. Epithermal Ag–Au Mineralization in the Kyplatap Volcanic Field, Central Chukotka. J. Volcanol. Seismol. 2022, 16, 397–408. [Google Scholar] [CrossRef]
- Khanchuk, A.I.; Rodionov, S.M.; Goryachev, N.A.; Popov, V.K.; Golozubov, V.V.; Naumova, V.V. Geodynamics, Magmatism and Metallogeny of the Russian East. In 2 Books; Khanchuk, A.I., Mun, N.S., Eds.; Dalnauka: Vladivostok, Russia, 2006; 526p. [Google Scholar]
- Vatrushkina, E.V.; Tuchkova, M.I. Lithology of the Upper Jurassic-Lower Cretaceous Deposits of the Eastern Part of the Myrgovaam and Rauchua Depressions, Western Chukotka. Vestn. St. Petersburg Uni. Earth Sci. 2020, 65, 717–739. [Google Scholar] [CrossRef]
- Canhimbue, L.S.; Vatrushkina, E.V.; Luchitskaya, M.V.; Novikova, M.A. Granitoids of the Netpneyveem Tin-Tungsten-Gold Ore District, Western Chukotka. Russ. J. Pac. Geol. 2025, 19, 474–490. [Google Scholar] [CrossRef]
- Varlamova, V.A.; Malysheva, G.M.; Vyatkin, B.V. Information Report on Unfinished Works for the Object “The Way to Generate Complex of Digital Geological 1:500,000 Maps for Chukotka Autonomous District”; Georegion: Anadyr, Russia, 2004; 331p. [Google Scholar]
- Birck, J.L.; Roy Barman, M.; Capmas, F. Re-Os Isotopic Measurements at the Femtomole Level in Natural Samples. Geostand. Newsl. 1997, 21, 19–27. [Google Scholar] [CrossRef]
- Yakubovich, O.V.; Gedz, A.M.; Vikentyev, I.V.; Kotov, A.B.; Gorokhovskii, B.M. Migration of Radiogenic Helium in the Crystal Structure of Sulfides and Prospects of Their Isotopic Dating. Petrology 2019, 27, 59–78. [Google Scholar] [CrossRef]
- Yakubovich, O.; Vikentyev, I.; Ivanova, E.; Podolskaya, M.; Sobolev, I.; Tyukova, E.; Kotov, A. U-Th-He Geochronology of Pyrite from Alteration of the Au-Fe-Skarn Novogodnee-Monto Deposit (Polar Urals, Russia)—The Next Step in the Development of a New Approach for Direct Dating of Ore-Forming Processes. Geosciences 2021, 11, 408. [Google Scholar] [CrossRef]
- Vermeesch, P. IsoplotR: A Free and Open Toolbox for Geochronology. Geosci. Front. 2018, 9, 1479–1493. [Google Scholar] [CrossRef]
- Tarasenko, A.A. Interference Folding of the Gremuchinskaya Area and Its Role in the Formation of Ore-Bearing Zones of the Upryamoye Gold Field. In Proceedings of the XIV International Scientific and Practical Conference “Geology, Forecasting, Prospecting and Evaluation of Deposits of Diamonds, Precious and Non-Ferrous Metals”, Moscow, Russia, 15 April 2025; FSBI “TsNIGRI”: Moscow, Russia, 2025; pp. 405–407. [Google Scholar]
- Shutov, V.D.; Kossovskaya, A.G.; Muravyev, V.I.; Yurkova, R.M.; Sokolova, T.N. Greywackes; Peive, A.V., Menner, V.V., Pavlova, T.G., Eds.; Nauka: Moscow, Russia, 1972; Volume 238, 374p. [Google Scholar]
- Parakecov, K.V.; Parakecova, G.I. Stratigraphy and Fauna of the Upper Jurassic and Lower Cretaceous Deposits of the North-East of the USSR; Dobrovolskaya, R.V., Ed.; Nedra: Moscow, Russia, 1989; 210p, ISBN 524702043X. [Google Scholar]
- Goldfarb, R.J.; Groves, D.I.; Gardoll, S. Orogenic Gold and Geologic Time: A Global Synthesis. Ore Geol. Rev. 2001, 18, 1–75. [Google Scholar] [CrossRef]
- Goryachev, N.A.; Pruss, Y.V. Mineralization of the Golden Ridge (Eastern Chukotka). Bull. North-East Sci. Cent. 2023, 1, 3–15. [Google Scholar] [CrossRef]
- Groves, D.I.; Goldfarb, R.J.; Gebre-Mariam, M.; Hagemann, S.G.; Robert, F. Orogenic Gold Deposits: A Proposed Classification in the Context of Their Crustal Distribution and Relationship to Other Gold Deposit Types. Ore Geol. Rev. 1998, 13, 7–27. [Google Scholar] [CrossRef]
- Savchuk, Y.S.; Volkov, A.V. Large and Super-Large Orogenic Golden Deposits: Geodynamics, Structure, Genetic Consequences. Lithosphere 2020, 19, 813–833. [Google Scholar] [CrossRef]
- Meisel, T.; Walker, R.J.; Morgan, J.W. The Osmium Isotopic Composition of the Earth’s Primitive Upper Mantle. Nature 1996, 383, 517–520. [Google Scholar] [CrossRef]
- Esser, B.K.; Turekian, K.K. The Osmium Isotopic Composition of the Continental Crust. Geochim. Cosmochim. Acta 1993, 57, 3093–3104. [Google Scholar] [CrossRef]
- Bajwah, Z.U.; Seccombe, P.K.; Offler, R. Trace element distribution, Co:Ni ratios and genesis of the Big Cadia iron-copper deposit, New South Wales, Australia. Min. Depos. 1987, 22, 292–303. [Google Scholar] [CrossRef]
- Yan, Y.T.; Li, S.R.; Jia, B.J.; Zhang, N.; Jiang, L.; Yan, L.N. Composition typomorphic characteristics of pyrite in various genetic type gold deposits. Adv. Mater. Res. 2012, 463, 25–29. [Google Scholar] [CrossRef]
- Golionko, B.G.; Vatrushkina, E.V.; Verzhbitskii, V.E.; Sokolov, S.D.; Tuchkova, M.I. Deformations and Structural Evolution of Mesozoic Complexes in Western Chukotka. Geotectonics 2018, 52, 56–72. [Google Scholar] [CrossRef]
- Sokolov, S.D.; Ledneva, G.V.; Tuchkova, M.I.; Luchitskaya, M.V.; Ganelin, A.V.; Verzhbitsky, V.E. Chukchi Arctic continental margins: Tectonic evolution, link to the opening of the Amerasia Basin. In ICAM VI: Proceedings of the International Conference on Arctic Margins VI; AP Karpinsky Russian Geological Research Institute (VSEGEI): St. Petersburg, Russia, 2014; pp. 97–114. [Google Scholar]
- MacKenzie, D.; Blakemore, H.; Craw, D. Paragenesis of orogenic mineralization in the Reefton goldfield, West Coast region. Australas. Inst. Min. Metall. Monogr. 2016, 31, 125–132. [Google Scholar]
- Rattenbury, M.S.; Stewart, M. Structural setting of the Globe-Progress and Blackwater gold mines, Reefton goldfield, New Zealand. N. Z. J. Geol. Geophys. 2000, 43, 435–445. [Google Scholar] [CrossRef]













| ID | He, 1010 at | 1σ | U, 1010 at | 1σ | Th, 1010 at | 1σ | Th/U | U-Th/He, Ma | ±(2σ) |
|---|---|---|---|---|---|---|---|---|---|
| pyr 1495 | 51.9 | 1.1 | 129.5 | 3.0 | 832.8 | 14.3 | 6.43 | 125 | 6 |
| pyr 1499 | 28.3 | 0.5 | 116.1 | 3.5 | 273.4 | 6.8 | 2.35 | 122 | 6 |
| pyr 1565 | 38.8 | 0.9 | 139.1 | 5.0 | 432.5 | 26.7 | 3.11 | 125 | 8 |
| Sample No. | Re, ppb | Os, ppb | 187Re/188Os | 187Os/188Os | Rho |
|---|---|---|---|---|---|
| K4-593.4 | 8.06 | 0.05 | 1229.09 | 4.97 | 0.01 |
| K4-805 | 2.82 | 0.04 | 601.90 | 4.77 | 0.01 |
| K8-233 | 4.97 | 0.09 | 339.57 | 2.41 | 0.004 |
| C20-117.4 | 5.16 | 0.07 | 458.98 | 2.27 | 0.003 |
| C22-74.5 | 2.87 | 0.06 | 299.88 | 2.58 | 0.002 |
Disclaimer/Publisher’s Note: The statements, opinions and data contained in all publications are solely those of the individual author(s) and contributor(s) and not of MDPI and/or the editor(s). MDPI and/or the editor(s) disclaim responsibility for any injury to people or property resulting from any ideas, methods, instructions or products referred to in the content. |
© 2025 by the authors. Licensee MDPI, Basel, Switzerland. This article is an open access article distributed under the terms and conditions of the Creative Commons Attribution (CC BY) license (https://creativecommons.org/licenses/by/4.0/).
Share and Cite
Canhimbue, L.S.; Tarasenko, A.; Vatrushkina, E.; Latysheva, I.; Telnov, A. Genesis and Timing of Low-Sulphide Gold–Quartz Mineralization of the Upryamoye Ore Field, Western Chukotka. Minerals 2025, 15, 1130. https://doi.org/10.3390/min15111130
Canhimbue LS, Tarasenko A, Vatrushkina E, Latysheva I, Telnov A. Genesis and Timing of Low-Sulphide Gold–Quartz Mineralization of the Upryamoye Ore Field, Western Chukotka. Minerals. 2025; 15(11):1130. https://doi.org/10.3390/min15111130
Chicago/Turabian StyleCanhimbue, Ludmila Salete, Andrey Tarasenko, Elena Vatrushkina, Irina Latysheva, and Afanasii Telnov. 2025. "Genesis and Timing of Low-Sulphide Gold–Quartz Mineralization of the Upryamoye Ore Field, Western Chukotka" Minerals 15, no. 11: 1130. https://doi.org/10.3390/min15111130
APA StyleCanhimbue, L. S., Tarasenko, A., Vatrushkina, E., Latysheva, I., & Telnov, A. (2025). Genesis and Timing of Low-Sulphide Gold–Quartz Mineralization of the Upryamoye Ore Field, Western Chukotka. Minerals, 15(11), 1130. https://doi.org/10.3390/min15111130

