Next Article in Journal
Mycelial_Net: A Bio-Inspired Deep Learning Framework for Mineral Classification in Thin Section Microscopy
Previous Article in Journal
Heavy Metal Adsorption and Desorption Behavior of Raw Sepiolite: A Study on Cd(II), Cu(II), and Ni(II) Ions
 
 
Font Type:
Arial Georgia Verdana
Font Size:
Aa Aa Aa
Line Spacing:
Column Width:
Background:
Article

Study on the Influence Mechanism of Particle Migration on the Stability of Weathering Crust Elution-Deposited Rare Earth Ores

1
School of Resource and Safety Engineering, Wuhan Institute of Technology, Wuhan 430073, China
2
Key Laboratory for Green Chemical Process of Ministry of Education, Wuhan Institute of Technology, Wuhan 430073, China
*
Authors to whom correspondence should be addressed.
Minerals 2025, 15(11), 1111; https://doi.org/10.3390/min15111111
Submission received: 22 September 2025 / Revised: 23 October 2025 / Accepted: 24 October 2025 / Published: 25 October 2025
(This article belongs to the Section Mineral Processing and Extractive Metallurgy)

Abstract

Particle migration can affect the ore bodies stability of weathering crust elution-deposited rare earth ores during leaching. It may trigger geological disasters such as landslides. Therefore, direct shear tests, microstructure characterization tests, and numerical simulation tests were adopted. The mechanical behavior characteristics of ore samples with different burial depths were explored. Simultaneously, the evolution characteristics of their microstructure, mineral composition, and failure modes were also studied. The results showed that after leaching, the cohesion (c) initially rose and then dropped as the proportion of −0.075 mm particles increased. The internal friction angle (φ) initially dropped, then increased, and finally stabilized. When its proportion was greater than 20%, the c of the middle-upper part of the ore sample was greater than that of the upper part. Meanwhile, the φ was smaller than that of the upper part. Especially when its proportion was greater than 30%, the c increased gradually with depth. XRD analysis revealed that illite and kaolinite were the main mineral components for the fine particle migration. Simulation experiment results revealed that in ore samples with 10% fine particles, there was noticeable migration and deposition in the upper part. However, it was the least in the upper middle and lower parts. Contact number and coordination number sharply decreased with depth, then increased, and finally gradually reduced. As deposition increased, the shear zone tilt angle grew larger. More secondary shear zones formed. The cracks became more evenly distributed.

1. Introduction

Weathering crust elution-deposited rare earth ores are rich in medium–heavy rare earth elements, making them highly valuable for development and utilization [1]. The leaching process has evolved from pool and heap leaching to the in situ leaching process being promoted industrially [1]. In situ leaching is a mining method where a chemical solution is injected into the ore body to dissolve and extract valuable minerals by using leaching agents such as magnesium sulfate [2]. However, the in situ leaching process can weaken the stability of the ore body to some extent [1,2]. To ensure safe and efficient mining of weathering crust elution-deposited rare earth ores, understanding the weakening mechanism of orebody stability during leaching is crucial.
Compared to non-rare earth ore slopes, road slopes, and natural slopes, the landslides of weathering crust elution-deposited rare earth ores have unique characteristics. Guo et al. carried out slope numerical simulation experiments and found that the slopes of the weathering crust elution-deposited rare earth ores during leaching were prone to instability [3]. This was attributed to ion exchange reactions between ions in the leaching solution and the particle surface. Such reactions weaken interparticle forces, reducing the shear strength. Additionally, increased pore water pressure offset some effective stress, further reducing shear strength. In particular, when clay minerals absorbed water and then swelled, their original structure was damaged. These factors collectively destabilized slopes and increased landslide risks. Han et al. observed that as the leaching agent solution was continuously injected, the shear strength of the weathered rare earth ores was constantly weakened [4]. The risk of landslides may also continue to increase accordingly. Wang et al. pointed out that ion exchange drove the migration of fine particles from the top to the bottom of the samples [5]. It altered pore structures and pore sizes. Local fine particle loss reduced mineral bonding strength, creating an unstable soil structure that was looser at the top and denser at the bottom. Macroscopically, this manifested as a decrease in the shear strength parameters of rare earth samples. The dissolution, migration, and deposition of fine particles can change the particle size distribution and micro-pore structure of ores [6,7,8,9,10]. Using soil samples from Weijiagou, Beichuan County, Sichuan, Wang et al. monitored pore water pressure, particle migration, and instability sequences [10]. The fine particle migration paths and accumulation were analyzed. Their research results indicated that fine particle migration altered the pore structure, causing pore water pressure distribution fluctuations and uneven fine particle accumulation, thereby impacting slope stability. This indicates that water can not only directly weaken the shear strength but also indirectly affect the overall stability of the ore body by changing the microstructure through fine particle migration. For weathering crust elution-deposited rare earth ores, Liu et al. noted that −0.075 mm particles were the main migration body during leaching [11]. Their migration ability gradually weakened as the content of fine particles increased. Building on this, column leaching and microstructure characterization experiments were performed by Liu et al. [12]. They found that the fine particle migration law varied significantly under different experimental conditions. From a microscopic perspective, the microstructure alteration of the rare earth ores was primarily caused by fine particle migration. Rao et al. analyzed the particle migration and pore change patterns of ores with different fine particle contents during leaching through column leaching and pore structure experiments [13]. Results showed that the change degree of particle size distribution was greatest in the upper layer, followed by the middle, and then the lower layer. Greater depth led to higher soil density and fine particle content, with more pronounced effects. The structural porosity of rare earth ores first increased and then decreased during magnesium sulfate leaching. The higher the fine particle content, the greater the pore ratio. In summary, it can be concluded that the main reason for changes in the mechanical behavior of ore samples during leaching is particle migration. However, the influence law and the mechanism of particle migration on the mechanical behavior of ore samples during leaching are rarely reported. To investigate this under-researched area, computational methods such as Particle Flow Code (PFC) and Computational Fluid Dynamics (CFD) can be utilized to model and analyze the intricate interplay between fine particles and fluids during leaching [14].
Considering this, four types of weathering crust elution-deposited rare earth ores with different particle size distributions were used as research subjects. Using column leaching and direct shear tests, the impact of particle migration on the shear mechanical behavior of rare earth samples was analyzed. In addition, micro-characterization and numerical simulation shear experiments were also employed to explore the influence of the dynamic migration of fine particles during leaching on the microstructure and mechanical properties. It was also adopted to reveal the failure modes of the stability of weathering crust elution-deposited rare earth ores with different migration and sedimentation conditions. The research findings can provide useful theoretical guidance for the safe and efficient extraction of weathering crust elution-deposited rare earth ores in in situ leaching.

2. Experimental Materials and Methods

2.1. Experimental Materials

The experimental ore was collected from a weathered crust elution-deposited rare earth mine in Fujian Province. Figure 1 shows the particle size distribution and the XRD (X-ray Diffraction) pattern of the raw ore. Four samples with different particle size distributions were prepared. The raw ore was first sieved into −0.075 mm (fine particles) and +0.075~−2 mm (skeletal particles or coarse particles). Then, they were mixed in specific ratios to form the experimental samples: group a (5:5), group b (3:7), group c (2:8), and group d (1:9). It can be seen from Figure 1b that the main mineral phases of the ore are illite, quartz, and kaolinite. Kaolinite is flaky or layered, with a particle size of 0.1~2 μm and general fluidity. Its flaky structure provides physical support for the ore body, enhancing stability, and its strong adsorption capacity facilitates the enrichment of rare earth elements. Illite is flaky or scaly, with a particle size of 1~10 µm. It has a large surface area and is highly reactive. This makes it likely to migrate in fluids and be carried and redeposited. It can also form secondary minerals and alter the pore structure of rocks and soils. Quartz has a particle size ranging from a few micrometers to several millimeters and is regular in shape. Its high content results in a regular and uniform pore structure. Due to its high chemical stability and low reactivity, it is less likely to migrate in fluids and tends to remain stable in ore samples during geological processes. Therefore, mineral phase analysis can assist in studying the relationship between particle migration and ore body stability.

2.2. Experimental Methods

2.2.1. Shear Test Method

The column immersion experiment installation and shear equipment are shown in Figure 2. The column immersion experimental system mainly consists of an acrylic tube with openings on the back cover (several holes at the bottom), reagent bottles, peristaltic pumps, etc.
The indoor shear test process is shown in Figure 2. First, the ore samples were filled into an acrylic tube. The samples were compacted by pressing each layer uniformly to achieve consistent density without overcompaction, aiming to simulate real ore samples. Measures were taken to control sample heterogeneity, such as thoroughly mixing ore samples before loading to ensure a uniform particle size distribution across different depths. Additionally, each layer was pressed with the same number of presses and consistent force to maintain uniformity. These steps helped minimize discrepancies in the experimental results and ensured that the samples were as homogeneous as possible for accurate testing. Then, they were leached with a 0.2 mol/L analytical-grade magnesium sulfate solution [15]. The ore sample height was kept at 180 mm, the injection rate at 2 cm3/min, the injection height at 20 mm, and the column leaching time at 2 days. Then, the ore sample was air-dried until the water content dropped to 15.7%. In the shear test, a ring knife was used to take samples from the upper, middle, lower-middle, and lower layers (each 40 mm thick). The samples were cut into slices that were 61.8 mm by 20 mm in thickness. These slices were put into a shear box. They were sheared at a speed of 0.8 mm/min under different vertical pressures of 50, 100, 150, and 200 kPa by using the direct shear instrument. The shear force and displacement were recorded until the sample failed. The internal friction angle (φ) and cohesion (c) were obtained through the Mohr–Coulomb strength criterion.

2.2.2. Numerical Simulation Analysis

The leaching process was simulated in lab experiments to record dynamic changes in particle migration, local coordination number, contact forces, porosity, and the dynamic impact of particle migration on structures at different depths. Shear tests were also conducted to analyze the impact of particle migration on the stability of the samples at the micro-scale.
Jensen et al. found in sand-soil and joint interaction simulations that when the ratio of specimen size L to mean particle size r is around 30 or higher, particle number does not significantly affect numerical results [16]. That is to say, the size effect can be roughly ignored. Also, particle dissolution was not considered in the simulation. The key simulation parameters in this study were calibrated based on the results of shear tests. We ensure that the selection of these parameters is reasonable and consistent with experimental data to guarantee the accuracy and reliability of the simulation outcomes.
In the leaching simulation, to speed up computations, a cylinder with a 2 mm radius and 10 mm height, containing approximately 70,000 particles, was established using the PFC (Particle Flow Code) numerical simulation software. Particles were first generated within the cylinder, followed by compaction. Then, a fluid environment was incorporated. The simulation ran for 50,000 cycles, with vertical cross-sectional snapshots exported every 10,000 cycles. Throughout the process, the coordination number and porosity changes were monitored. Upon completion of the leaching simulation, cross-sectional samples were taken every 2 mm to tally the contact number.
In the shear failure simulation, to facilitate the observation of failure modes, the PFC2D (Particle Flow Code in 2 Dimensions) software was employed. The process commenced with particle generation, followed by pre-compaction, cementation, and confining pressure application, and concluded with shearing. A normal pressure of 200 kPa was applied, and shear displacement nephograms and fracture orientation diagrams were exported every 3 mm of shear during shearing.

3. Results and Discussion

3.1. Influence of Particle Migration on the Mechanical Behavior of Different Samples

Shear strength tests of four kinds of ore samples with different fine particle ratios (a = 50%, b = 30%, c = 20%, d = 10%) before and after leaching were carried out. The stress-displacement curves are shown in Figure 3. After leaching, the curves’ initial stages were generally flatter, especially for the b and c groups, showing looser particle bonds. Additionally, the shear strength was weakened under each proportion of fine particles. Group b had the most significant drop. At the start of the tests, closely packed soil particles with high friction and interlocking caused shear stress to rise quickly. As shear displacement increased, particle movement and reorganization formed a stable sliding surface, slowing the stress rise. After reaching peak strength, particles were still interlocked, bearing some shear force. Residual stress stabilized with minor fluctuations.
To understand these changes, experimental data were linearly fitted. The c and φ of four groups of samples were obtained, as shown in Figure 4. Leaching reduced c in all groups, while the φ stayed similar. This showed that leaching weakened shear strength mainly by reducing c. After leaching, the c initially rose, then dropped as the proportion of −0.075 mm particles increased, while the friction angle first dropped, then rose, and then stabilized. Ratios above 20% showed lower c. In summary, leaching weakened shear strength and c, with fine particle ratios influencing this trend and particle migration during leaching. It may have played a key role in the experimental phenomenon.

3.2. Mechanical Behavior Characteristics of Samples with Different Burial Depths

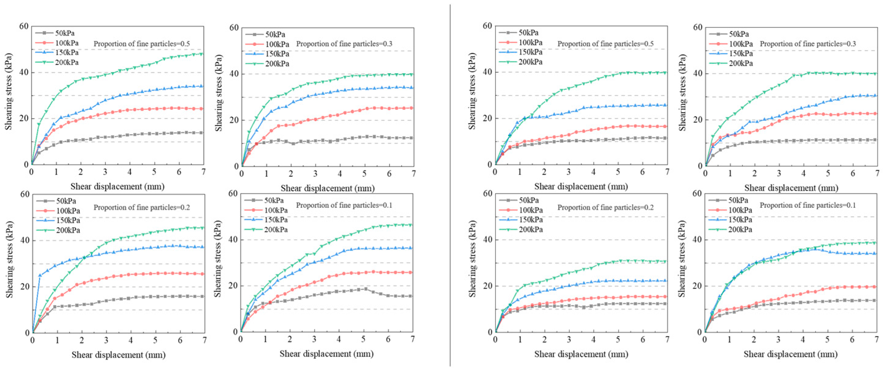
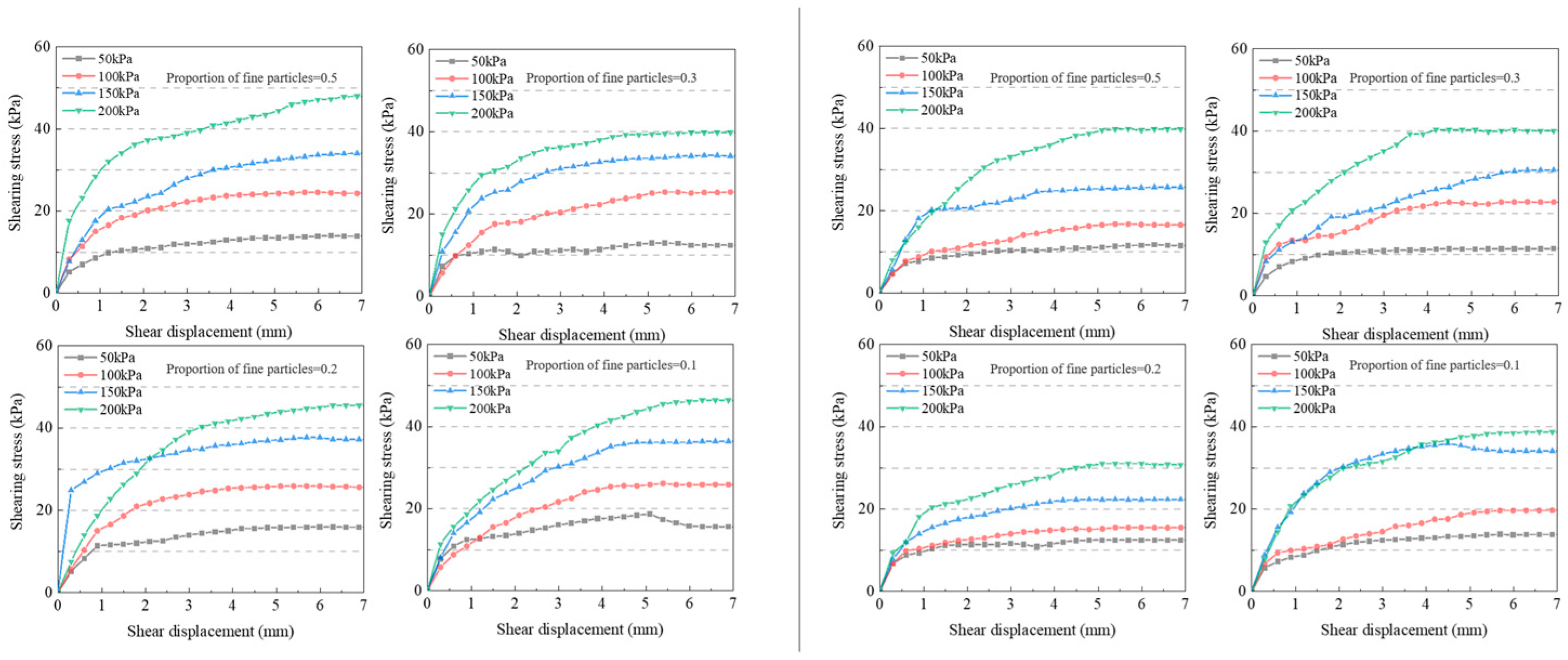
Shear tests were performed on four groups of ore samples with different burial depths after leaching. In this study, upper, upper middle, lower middle, and lower were defined as depths of 20–60 mm, 60–100 mm, 100–140 mm, and 140–180 mm, respectively. The shear stress–displacement curves were obtained, as shown in Figure 5. They indicated that as the proportion of coarse particles increased, the yield point became more pronounced. This showed that samples with a higher proportion of coarse particles had greater stability after leaching, as they required more shear stress to yield. Figure 6 illustrates the shear strength, c, and φ at different depths for each group. As the proportion of coarse particles increased, the position of maximum c shifted upward. The φ was less affected by particle ratio due to factors like particle combination.
For group a, c increased with depth. The φ first decreased and then increased. The lowest φ in the lower middle part. This was attributed to the low proportion of coarse particles and the easy flushing of fine particle blockages. In group b, c was higher overall, and φ fluctuated around 11°. It indicated that enhanced blockage resistance and restricted particle migration as the coarse particle ratio increased. Group c showed significant c fluctuations. The upper middle, lower middle, and lower parts had higher c than the upper part, along with lower φ. Group d displayed trends opposite to groups a and c. The c value steeply decreased and then slightly fluctuated from top to bottom, while φ sharply increased and then stabilized. This was because the fine particle ratio was the lowest, resulting in minimal blockage and greater buoyancy effects. The upper part also experienced compaction from water pressure, leading to maximum c. The reasons for the differences in c and φ were analyzed in combination with SEM (Scanning Electron Microscope) experimental results.
As indicated by the SEM results in Figure 7, the lower part of group a was covered with a significant quantity of fine particles, leading to substantial blockage. The lower part experienced significant pore blockage. The pores were evenly deposited and spread out. These conditions led to high c and φ. Some particles were deposited in the upper middle and lower middle parts, causing pore blockage. In the lower middle part, fewer and larger pores were observed, and these pores were concentrated. During failure, these pores could easily merge. This merging led to a sharp reduction in φ. The upper part had less interparticle deposition and uneven particle distribution. These characteristics made it unfavorable for maintaining c. However, the slender and complex pores between particles helped maintain interparticle interlocking.
The widespread deposition of particles caused the high c of ore sample b (Figure 8). This deposition also hindered particle migration. Each layer was more uniform and compact, enhancing c, with only the lower middle part slightly complex. This complexity improved the interlock, slightly increasing the φ. Additionally, minimal particle loss resulted in higher overall c compared to other groups.
In group c, the upper middle, lower middle, and lower parts had a higher c but a smaller φ than the upper part. The upper part had a complex interlocking pattern of particles, as shown in Figure 9. It also experienced a significant loss of fine particles. These factors resulted in fewer interparticle contacts. In contrast, both upper middle and lower middle parts had small and blocked pores. This indicated severe particle deposition. Fine particles from the upper part were deposited in the upper middle part. Some fine particles from the lower middle part were deposited in the lower part. This caused pore blockage in the lower part. Although the lower part’s pores were complex, their large size and low number made it hard to form interlocking structures. Particle loss mainly occurred in the upper part. Most deposition happened in the upper middle and lower middle parts. This distribution caused the difference in c in this group.
In the SEM images of group d (Figure 10), the upper part had more tiny and dense particles with a uniform pore structure and clogging. The upper middle part had uneven pore distribution, making it hard to maintain c. Its slender particle shape led to complex interlocking and significant differences in the φ. The lower middle part had some clogging and a slender pore structure, resulting in a high φ. The lower part experienced more particle loss than deposition. However, its small and evenly distributed pores helped maintain the φ. The upper and lower middle parts had a lot of framework particles. This caused them to clog easily. Once clogged, it was hard to clean them out. This caused less deposition in the upper middle and lower parts and led to a sharp drop in c.
As the proportion of coarse particles increased, particle deposition moved upward. As coarse particles supported blockages and made deposited particles harder to flush away. Particle deposition significantly affected c and φ. It boosted c by making stress distribution more uniform and splitting large pores into smaller ones. The SEM results revealed that the φ is affected by several factors. These factors encompass particle migration and deposition, as well as the pore shape and distribution created by the coarse particles. After particle loss, if the pores were more dispersed and slender, the meshing ability between particles was stronger. It was more conducive to maintaining the φ.

3.3. Influence of Particle Migration on the Mineral of Samples at Different Depths

To explore the influence of particle migration on the mineral samples at different depths, ore samples of group a were selected as research objects by using XRD equipment, as shown in Figure 11. The c value is influenced by illite and kaolinite, while quartz content affects φ. The main migration ability sequence of the three minerals is illite (mainly migrating three layers) > kaolinite (mainly migrating two layers) > quartz (partly migrating one layer). Illite is predominantly deposited in the lower part, kaolinite mainly settles in the lower middle part, and quartz is primarily found in the upper middle part. It is known from Figure 7 that the deposition increases with burial depth. This makes quartz more abundant in the upper and upper middle parts than in the lower middle and lower parts. Some quartz moves from the upper to the upper middle part and from the lower middle to the lower part. Kaolinite and illite have the highest relative contents in the lower middle and lower parts, respectively. This indicates that kaolinite and illite are lost from the upper and upper middle parts, and they mainly deposit in the lower middle and lower parts. This makes the lower part have the highest c. Meanwhile, some quartz moves from the lower middle to the lower part, making the lower middle part have the lowest φ. Combined with shear test results, it is concluded that increasing kaolinite and illite contents enhances c, while higher quartz content increases φ.

3.4. Dynamic Analysis of Particle Migration at Different Depths

In this simulation, spherical particles and a bonded particle model were used to effectively simulate interparticle forces. Figure 12 shows particle distribution in a vertical section with a fine particle proportion of 10% at different leaching stages to illustrate the influence mechanism of particle migration and deposition on the stability of the ore samples from the perspective of microscopic particle contact parameters. As leaching proceeded, noticeable particle deposition and clogging occurred in the upper and lower middle sections, while the upper middle and lower sections had minimal deposition and no clogging. Compared with the results of the shear experiment, it can be concluded that this clogging enhances particles’ c.
During the leaching process, the changes in contact number, coordination number, and porosity of the orebody are linked to its stability. The contact number distribution shows the closeness and diversity of connections between particles, while the coordination number directly reflects the packing density of orebody particles. Analyzing these two aspects can reveal whether the orebody has a loose or dense internal structure. The orebody’s strength largely depends on the interparticle connections. Areas with high contact and coordination numbers have strong interparticle support and greater strength, whereas areas with low values are more prone to failure. Variations in contact number and coordination number can alter the pore structure, affecting local stability. Porosity changes indicate particle deposition amounts. Lower porosity means higher deposition.
As shown in Figure 13, after the leaching process, the contact number distribution across different parts of the ore sample exhibited a distinct pattern. The upper part of the sample demonstrated the highest contact number, indicating a denser network of particle interactions. This was followed by the middle and lower parts, which showed progressively fewer contacts. It is consistent with shear test results and indicates that the c increases with contact number. Initially, the coordination number experienced a slight decline across all areas due to fluid-induced particle dispersion. As the process of particle migration began to unfold, the coordination number in the upper and lower middle parts displayed a steady upward trend. This increase suggests that these regions were undergoing active deposition. On the other hand, the upper middle part exhibited minimal change in coordination number, indicating that deposition in this area was relatively limited. In the lower part, the coordination number initially increased, which could be attributed to the initial stages of particle deposition. However, it then decreased, possibly due to the clearance of blockages caused by the deposited particles. Finally, it stabilized, implying that a balance had been achieved between deposition and blockage clearance.
Due to the limitations of the sampling process, the initial porosity showed slight variations across different areas. Despite these initial variations, porosity decreased consistently in all regions as a result of particle aggregation. It is important to note that the simulation did not take into account the potential effects of particle dissolution. The upper part experienced the most significant reduction in porosity, followed by the middle and lower parts. This trend in porosity reduction is indicative of an increase in c, as the closer packing of particles resulting from reduced porosity generally leads to enhanced cohesive forces within the soil or mineral matrix.
An increase in contact number and coordination number both resulted in greater c, whereas a rise in porosity led to a decrease in c. Understanding these relationships can help optimize leaching parameters and enhance mining safety.

3.5. Effect of Particle Migration on Shear Failure Behavior

Given the above conclusions, it is concluded that the reason for particle migration was the difference in fine particles at different depths. Therefore, in the skeleton particles without fines, fine particles of 5% and 10% of the skeleton particle mass were generated to investigate their shear failure behavior. In addition to the effect of fine particle proportion, the φ was largely influenced by particle assemblage. So spherical particles were used to rule out the impact of particle shape, aiming to probe into the effect of sediment amount on φ. To more comprehensively and intuitively show the processes of contact damage and crack development, a 2D simulation was adopted.
Figure 14 shows the shear failure modes of samples with different fine particle deposits. It could be seen that as the amount of deposited particles increased, large-scale fractures reduced significantly, and the overall structure became more cohesive. This indicated that particle deposition enhanced c. Additionally, when the fine particle ratio was 10%, the shear failure plane formed a distinct angle with the horizontal plane. This demonstrated that particle deposition increased the φ. Furthermore, a detailed analysis was carried out in conjunction with the simulated shear displacement nephogram and fracture orientation diagram, as shown in Figure 15 and Figure 16.
Figure 15 presents the displacement clouds during the shear process of ore samples with different fine particle deposits. As the deposited particles increased, both the c and φ values increased. Compared to ore samples without deposition, more deposited particles led to less relative particle displacement, showing stronger c. This was because fine particles filled in and strengthened the overall ore body connection. Additionally, in the 10% deposition sample, a distinct shear-band angle formed early in shearing, and a secondary shear-band emerged later, indicating that more deposited particles increased the φ.
In the 0% deposition sample, failure happened quickly in the early shearing stage, showing weak c. The shear-band path fluctuated up and down along the shearing direction without forming a certain angle, reflecting a small φ. This was due to the lack of fine-particle filling and cementation, which caused insufficient particle bonding and loose interlocking.
In the 5% deposition sample, after 3 mm of shear displacement, the left end of the shear band tilted downward and failed, and the sample had better integrity, indicating increased c and φ. The fine-particle deposition increased the contact points and friction between particles, thus improving the material’s shear resistance.
When the deposition was 10%, after 3 mm of shear displacement, the relative displacement in the sample was even smaller. The shear band tilted upward and maintained its angle for a longer length, showing that c and φ kept increasing. After 9 mm of shear displacement, a secondary shear band appeared in the lower-left corner, confirming the larger φ.
Figure 16 displays the rose diagrams of crack dip angles after shearing samples with different fine particle deposits. It was evident that increased deposition significantly boosted c. The fine particles filled interparticle pores, creating more potential crack initiation sites and thus increasing crack numbers. Compared to samples without deposition, samples with higher deposition exhibited a wider and more uniform crack distribution, which further proved that increased deposition strengthened c.
In the ore sample with 0 deposition, there were few fractures, and their dip angles were concentrated at around 45°, indicating a low c. This was due to the absence of fine particles, causing uneven particle contact and failure focused in the direction of the weakest c.
In the sample with 5% deposition, fracture dip angles ranged from 20° to 60°, with more and more evenly distributed fractures. The increase in fine particles split large fractures into smaller ones and strengthened particle bonding, resulting in a greater c.
In the 10% deposition sample, fracture numbers rose further and their distribution was even wider, indicating the highest c among the three groups.

4. Conclusions

(1) The strength of ore samples was determined by the proportion of large-sized particles. Particle migration and deposition significantly affected the c and φ of the ore samples. Deposition enhanced c, enabling ore samples to bear forces more uniformly. Simultaneously, it dispersed large pores into smaller ones, complicated the interlocking of particles, and increased the φ value. This was influenced by various factors. In addition to particle migration and deposition, it was also affected by the characteristic parameters of the ore particles, such as their shape and distribution. These factors can help improve slope stability in on-site mining operations.
(2) The c and φ of the ore samples at different burial depths during leaching were also closely related to the changes in particle contact number, coordination number, and porosity.
(3) Particle deposition caused ore samples to exhibit enhanced integrity during shear failure, accompanied by a larger shear zone dip angle and a higher likelihood of secondary shear zones. It also resulted in cracks being more evenly distributed across different directions. Particle deposition effectively strengthened the bonds between particles within ore samples and increased their shear resistance. Promoting particle deposition in specific areas can increase shear resistance and stabilize mining slopes. Enhanced monitoring in particle loss regions is crucial for landslide early warning.

Author Contributions

Conceptualization, D.L.; methodology, D.L. and K.X.; software, K.X.; investigation, K.X.; resources, D.L.; writing—original draft preparation, K.X.; writing—review and editing, D.L.; supervision, Z.Z., W.G., Z.C. and R.C. All authors have read and agreed to the published version of the manuscript.

Funding

This research was funded by the National Natural Science Foundation of China, grant numbers 92475206, 52174258, 52222405, 92162109 and U24A2096.

Data Availability Statement

Data will be made available upon request.

Conflicts of Interest

The authors declare no conflicts of interest.

References

  1. Zhang, Z.Y.; He, Z.Y.; Yu, J.X.; Xu, Z.G.; Chi, R.A. Novel solution injection technology for in-situ leaching of weathered crust elution-deposited rare earth ores. Hydrometallurgy 2016, 164, 248–256. [Google Scholar] [CrossRef]
  2. Chen, Z.; Zhang, Z.Y.; Liu, D.F.; Zhou, F.; Zhong, C.B.; Sun, N.J.; Chi, R.A. Swelling of clay minerals during the leaching process of weathered crust elution-deposited rare earth ores by magnesium salts. Powder Technol. 2020, 367, 889–900. [Google Scholar] [CrossRef]
  3. Guo, Z.Q.; Liu, Y.S.; Liu, Q.Q.; Zhong, M.; Liu, Q. Model test and numerical analysis of landslides in layered ion-type rare earth ore under rainfall and mineral leaching conditions. Water 2025, 17, 1469. [Google Scholar] [CrossRef]
  4. Han, M.; Rao, Y.Z.; Nie, W.; Wang, D.; Wu, F.Y.; Shi, L. An early warning system for landslide risks in ion-adsorption rare earth mines: Based on real-time monitoring of water level changes in slopes. Minerals 2023, 13, 265. [Google Scholar] [CrossRef]
  5. Wang, H.; Wang, X.J.; Li, G.; Ye, H.C.; Zhang, C.; Zhou, L.B. Weakening of mechanical parameters of ion-absorbed rare-earth ores subjected to leaching. Geomech. Geophys. Geo-Energy Geo-Resour. 2023, 9, 124. [Google Scholar] [CrossRef]
  6. Deng, Y.C.; Wan, Y.H.; Yu, H.D.; Kang, S.J.; Deng, Y.; Yang, J. Changes in microfine particle migration of ionic rare earth ores during leaching. Sustainability 2023, 15, 3867. [Google Scholar] [CrossRef]
  7. Xiao, Y.F.; Gao, G.H.; Huang, L.; Feng, Z.Y.; Lai, F.G.; Long, Z.Q. A discussion on the leaching process of the ion-adsorption type rare earth ore with the electrical double layer model. Miner. Eng. 2018, 120, 35–43. [Google Scholar] [CrossRef]
  8. Luo, X.P.; Zhang, Y.B.; Zhou, H.P.; He, K.Z.; Zhang, B.Y.; Zhang, D.M.; Xiao, W.J. Pore structure characterization and seepage analysis of ionic RE orebodies based on computed tomography images. Int. J. Min. Sci. Technol. 2022, 2, 411–421. [Google Scholar] [CrossRef]
  9. Yin, S.H.; Wang, L.M.; Chen, X.; Wu, A.X. Effect of ore size and heap porosity on capillary process inside leaching heap. Trans. Nonferr. Met. Soc. China 2016, 26, 835–841. [Google Scholar] [CrossRef]
  10. Wang, B.L.; Wang, Q.W.; Li, Y.; Yao, Z.G.; Wang, H.F. Flume experiments to study fine-grain migration and its impact on slope stability. J. Mt. Sci. 2024, 21, 3552–3566. [Google Scholar] [CrossRef]
  11. Liu, D.F.; Zhang, Z.Y.; Chi, R.A. Seepage mechanism during in-situ leaching process of weathered crust elution-deposited rare earth ores with magnesium salt. Physicochem. Probl. Miner. Process. 2020, 56, 350–362. [Google Scholar] [CrossRef]
  12. Liu, D.F.; Zhang, S.J.; Zhang, Z.Y.; Guo, W.D.; Chi, R.A. Migration law of micro-fine particles and enhancement of leaching process in weathered crust elution-deposited rare earth ores. Miner. Eng. 2025, 229, 109388. [Google Scholar] [CrossRef]
  13. Rao, Y.Z.; Wan, J.Z.; Tan, S.J.; Yang, Z.H.; Rao, G.Z.; Huang, Q.; Xie, Y.J.; Lai, Q.D. Effect of leaching on particle migration and pore structure of ionic rare earth ores with different fine particle contents. Metals 2025, 15, 396. [Google Scholar] [CrossRef]
  14. Li, Y.Q.; Xu, L.C.; Ma, Z.Y.; Ma, B.B.; Zhang, J.H. Numerical simulation of the critical hydraulic gradient of granular soils at seepage failure by discrete element method and computational fluid dynamics. J. Hydro-Environ. Res. 2024, 53, 1–14. [Google Scholar] [CrossRef]
  15. Chen, Z.; Zhang, Z.Y.; He, Z.Y.; Chi, R.A. Mass transfer process of leaching weathered crust elution-deposited rare earth ore with magnesium salts. Physicochem. Probl. Miner. Process. 2018, 54, 1004–1013. [Google Scholar] [CrossRef]
  16. Jensen, R.P.; Bosscher, P.J.; Plesha, M.E.; Edil, T.B. DEM simulation of granular media-structure interface: Effects of surface roughness and particle shape. Int. J. Numer. Numer. Anal. Methods Geomech. 1999, 23, 531–547. [Google Scholar] [CrossRef]
Figure 1. Gradation characteristic curve of raw ore sample (a) and XRD diffraction pattern (b).
Figure 1. Gradation characteristic curve of raw ore sample (a) and XRD diffraction pattern (b).
Minerals 15 01111 g001
Figure 2. Schematic diagram of experimental method.
Figure 2. Schematic diagram of experimental method.
Minerals 15 01111 g002
Figure 3. Shear stress-displacement curves of samples before (left) and after (right) leaching.
Figure 3. Shear stress-displacement curves of samples before (left) and after (right) leaching.
Minerals 15 01111 g003
Figure 4. Shear strength, the c and φ of samples with different fine particle ratios before and after leaching.
Figure 4. Shear strength, the c and φ of samples with different fine particle ratios before and after leaching.
Minerals 15 01111 g004
Figure 5. Shear stress–displacement curves of samples at different depths after leaching. (a) group a; (b) group b; (c) group c; (d) group d.
Figure 5. Shear stress–displacement curves of samples at different depths after leaching. (a) group a; (b) group b; (c) group c; (d) group d.
Minerals 15 01111 g005
Figure 6. Shear strength, c and φ of ore samples at different depths. (a) group a; (b) group b; (c) group c; (d) group d.
Figure 6. Shear strength, c and φ of ore samples at different depths. (a) group a; (b) group b; (c) group c; (d) group d.
Minerals 15 01111 g006
Figure 7. Microstructural changes in ore sample a with different burial depths.
Figure 7. Microstructural changes in ore sample a with different burial depths.
Minerals 15 01111 g007
Figure 8. Microstructural changes in ore sample b with different burial depths.
Figure 8. Microstructural changes in ore sample b with different burial depths.
Minerals 15 01111 g008
Figure 9. Microstructural changes in ore sample c with different burial depths.
Figure 9. Microstructural changes in ore sample c with different burial depths.
Minerals 15 01111 g009
Figure 10. Microstructural changes in ore sample d with different burial depths.
Figure 10. Microstructural changes in ore sample d with different burial depths.
Minerals 15 01111 g010
Figure 11. XRD (left) and composition change characteristic with depth (right).
Figure 11. XRD (left) and composition change characteristic with depth (right).
Minerals 15 01111 g011
Figure 12. Characteristics of particle migration during leaching.
Figure 12. Characteristics of particle migration during leaching.
Minerals 15 01111 g012
Figure 13. Contact number, coordination number, and porosity at different depths during leaching.
Figure 13. Contact number, coordination number, and porosity at different depths during leaching.
Minerals 15 01111 g013
Figure 14. Shear patterns of ore samples with different deposition amounts.
Figure 14. Shear patterns of ore samples with different deposition amounts.
Minerals 15 01111 g014
Figure 15. Shear displacement nephogram (m).
Figure 15. Shear displacement nephogram (m).
Minerals 15 01111 g015
Figure 16. Fracture orientation diagram.
Figure 16. Fracture orientation diagram.
Minerals 15 01111 g016
Disclaimer/Publisher’s Note: The statements, opinions and data contained in all publications are solely those of the individual author(s) and contributor(s) and not of MDPI and/or the editor(s). MDPI and/or the editor(s) disclaim responsibility for any injury to people or property resulting from any ideas, methods, instructions or products referred to in the content.

Share and Cite

MDPI and ACS Style

Xiao, K.; Zhang, Z.; Liu, D.; Guo, W.; Chen, Z.; Chi, R. Study on the Influence Mechanism of Particle Migration on the Stability of Weathering Crust Elution-Deposited Rare Earth Ores. Minerals 2025, 15, 1111. https://doi.org/10.3390/min15111111

AMA Style

Xiao K, Zhang Z, Liu D, Guo W, Chen Z, Chi R. Study on the Influence Mechanism of Particle Migration on the Stability of Weathering Crust Elution-Deposited Rare Earth Ores. Minerals. 2025; 15(11):1111. https://doi.org/10.3390/min15111111

Chicago/Turabian Style

Xiao, Ke, Zhenyue Zhang, Defeng Liu, Wenda Guo, Zhuo Chen, and Ruan Chi. 2025. "Study on the Influence Mechanism of Particle Migration on the Stability of Weathering Crust Elution-Deposited Rare Earth Ores" Minerals 15, no. 11: 1111. https://doi.org/10.3390/min15111111

APA Style

Xiao, K., Zhang, Z., Liu, D., Guo, W., Chen, Z., & Chi, R. (2025). Study on the Influence Mechanism of Particle Migration on the Stability of Weathering Crust Elution-Deposited Rare Earth Ores. Minerals, 15(11), 1111. https://doi.org/10.3390/min15111111

Note that from the first issue of 2016, this journal uses article numbers instead of page numbers. See further details here.

Article Metrics

Back to TopTop