Geology-Topography Constrained Super-Resolution of Geochemical Maps via Enhanced U-Net
Abstract
1. Introduction
2. Geological Settings
3. Methods
3.1. Sampling, Sample Preparation and Analysis Methods
3.2. Constraints and Multiple Data Fusion
3.2.1. Topographic Features
3.2.2. Geological Map Embedding
3.3. Data Division
3.3.1. Spatial Partitioning
3.3.2. Sample Generation
- Input layer: 18 channels comprising ten 1:50,000-scale geochemical maps (As, Sb, Bi, Au, Ag, Cu, Pb, Zn, Sn, Mo), three topographic features (elevation, slope, aspect), and five vectorized geological map embeddings.
- Output layer: Residual maps representing differences between 1:25,000 and 1:50,000 geochemical maps for all ten elements.
3.3.3. Data Augmentation
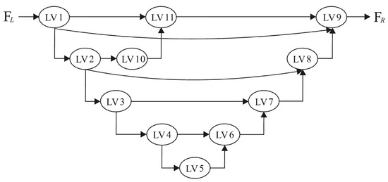
3.4. Multi-Level U-Net
3.4.1. Network Structure
3.4.2. Activation Function
3.4.3. Loss Function
3.4.4. Evaluation Metrics
3.5. Workflow
4. Results and Discussion
4.1. Two Density Geochemical Mapping Datasets
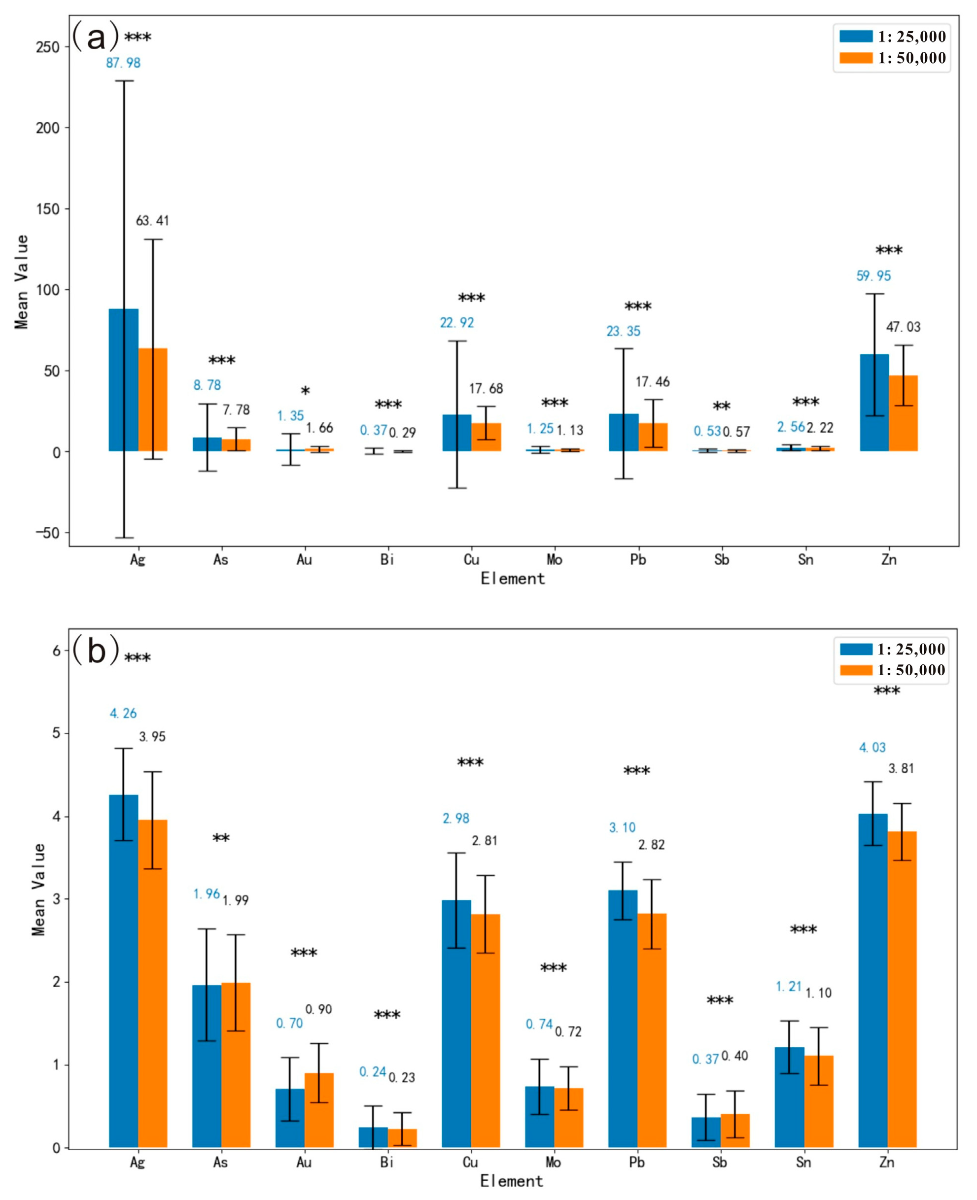
4.2. Geochemical Patterns from Different Sampling Densities
4.3. Geological Map Embedding Results
4.4. Experiments
4.5. Geochemical Map Reconstruction
5. Conclusions
Author Contributions
Funding
Data Availability Statement
Acknowledgments
Conflicts of Interest
References
- Doherty, M.E.; Arndt, K.; Chang, Z.S.; Kelley, K.; Lavin, O. Stream sediment geochemistry in mineral exploration: A review of fine-fraction, clay-fraction, bulk leach gold, heavy mineral concentrate and indicator mineral chemistry. Geochem. Explor. Environ. Anal. 2023, 23, geochem2022-039. [Google Scholar] [CrossRef]
- Liu, B.; Cui, X.; Wang, X. The Delineation of Copper Geochemical Blocks and the Identification of Ore-Related Anomalies Using Singularity Analysis of Stream Sediment Geochemical Data in the Middle and Lower Reaches of the Yangtze River and Its Adjacent Areas, China. Minerals 2023, 13, 1397. [Google Scholar] [CrossRef]
- Zhao, G.X.; He, F.Q.; Dai, X.F.; Zhang, S.R.; Yu, R.G. Ultra-low density geochemical mapping in Zimbabwe. J. Geochem. Explor. 2014, 144, 552–571. [Google Scholar] [CrossRef]
- Liu, D.S.; Wang, X.Q.; Nie, L.S.; Liu, H.L.; Zhang, B.M.; Wang, W. Comparison of geochemical patterns from different sampling density geochemical mapping in Altay, Xinjiang Province, China. J. Geochem. Explor. 2021, 228, 106761. [Google Scholar] [CrossRef]
- Smith, D.B.; Reimann, C. Low-density geochemical mapping and the robustness of geochemical patterns. Geochem. Explor. Environ. Anal. 2008, 8, 219–227. [Google Scholar] [CrossRef]
- Reimann, C.; Ladenberger, A.; Birke, M.; de Caritat, P. Low density geochemical mapping and mineral exploration: Application of the mineral system concept. Geochem. Explor. Environ. Anal. 2016, 16, 48–61. [Google Scholar] [CrossRef]
- Alijagic, J.; Sajn, R. Predicting the Spatial Distributions of Elements in Former Military Operation Area Using Linear and Nonlinear Methods Across the Stavnja Valley, Bosnia and Herzegovina. Minerals 2020, 10, 120. [Google Scholar] [CrossRef]
- Sajn, R.; Halamic, J.; Peh, Z.; Galovic, L.; Alijagic, J. Assessment of the natural and anthropogenic sources of chemical elements in alluvial soils from the Drava River using multivariate statistical methods. J. Geochem. Explor. 2011, 110, 278–289. [Google Scholar] [CrossRef]
- Reimann, C.; Garrett, R.G. Geochemical background—Concept and reality. Sci. Total Environ. 2005, 350, 12–27. [Google Scholar] [CrossRef]
- Cheng, Q.M. Multifractality and spatial statistics. Comput. Geosci. 1999, 25, 949–961. [Google Scholar] [CrossRef]
- Cheng, Q.; Xia, Q.; Li, W.; Zhang, S.; Chen, Z.; Zuo, R.; Wang, W. Density/area power-law models for separating multi-scale anomalies of ore and toxic elements in stream sediments in Gejiu mineral district, Yunnan Province, China. Biogeosciences 2010, 7, 3019–3025. [Google Scholar] [CrossRef]
- Shokouh Saljoughi, B.; Hezarkhani, A. Identification of geochemical anomalies associated with Cu mineralization by applying spectrum-area multi-fractal and wavelet neural network methods in Shahr-e-Babak mining area, Kerman, Iran. J. Min. Environ. 2019, 10, 49–73. [Google Scholar] [CrossRef]
- Zuo, R.G.; Wang, J.; Xiong, Y.H.; Wang, Z.Y. The processing methods of geochemical exploration data: Past, present, and future. Appl. Geochem. 2021, 132, 105072. [Google Scholar] [CrossRef]
- Yaisamut, O.; Xie, S.; Charusiri, P.; Dong, J.; Wen, W. Prediction of Au-Associated Minerals in Eastern Thailand Based on Stream Sediment Geochemical Data Analysis by S-A Multifractal Model. Minerals 2023, 13, 1297. [Google Scholar] [CrossRef]
- He, Y.Y.; Zhou, Y.; Wen, T.; Zhang, S.; Huang, F.; Zou, X.Y.; Ma, X.G.; Zhu, Y.Q. A review of machine learning in geochemistry and cosmochemistry: Method improvements and applications. Appl. Geochem. 2022, 140, 105273. [Google Scholar] [CrossRef]
- Huang, J.Y.; Wu, C.F.; Minasny, B.; Roudier, P.; McBratney, A.B. Unravelling scale- and location-specific variations in soil properties using the 2-dimensional empirical mode decomposition. Geoderma 2017, 307, 139–149. [Google Scholar] [CrossRef]
- Yu, X.T.; Xiao, F.; Zhou, Y.Z.; Wang, Y.; Wang, K.Q. Application of hierarchical clustering, singularity mapping, and Kohonen neural network to identify Ag-Au-Pb-Zn polymetallic mineralization associated geochemical anomaly in Pangxidong district. J. Geochem. Explor. 2019, 203, 87–95. [Google Scholar] [CrossRef]
- He, J.X.; Chen, D.B.; Zhan, Y.; Ren, X.Y.; Li, Q.Y. A retrieval model of surface geochemistry composition based on remotely sensed data. Open Geosci. 2023, 15, 20220514. [Google Scholar] [CrossRef]
- Pothina, R.; Ganguli, R. Contextual Representation in NLP to Improve Success in Accident Classification of Mine Safety Narratives. Minerals 2023, 13, 770. [Google Scholar] [CrossRef]
- Cao, L.B. A New Age of AI: Features and Futures. IEEE Intell. Syst. 2022, 37, 25–37. [Google Scholar] [CrossRef]
- Sun, T.; Feng, M.; Pu, W.B.; Liu, Y.; Chen, F.; Zhang, H.W.; Huang, J.Q.; Mao, L.T.; Wang, Z.Q. Fractal-Based Multi-Criteria Feature Selection to Enhance Predictive Capability of AI-Driven Mineral Prospectivity Mapping. Fractal Fract. 2024, 8, 224. [Google Scholar] [CrossRef]
- Sajn, R.; Stafilov, T.; Balabanova, B.; Alijagic, J. Multi-Scale Application of Advanced ANN-MLP Model for Increasing the Large-Scale Improvement of Digital Data Visualisation Due to Anomalous Lithogenic and Anthropogenic Elements Distribution. Minerals 2022, 12, 174. [Google Scholar] [CrossRef]
- Pradhan, B.; Jena, R.; Talukdar, D.; Mohanty, M.; Sahu, B.K.; Raul, A.K.; Maulud, K.N.A. A New Method to Evaluate Gold Mineralisation-Potential Mapping Using Deep Learning and an Explainable Artificial Intelligence (XAI) Model. Remote Sens. 2022, 14, 4486. [Google Scholar] [CrossRef]
- Duan, J.L.; Liu, Y.P.; Zhu, L.X.; Ma, S.M.; Gong, Q.L.; Dolgopolova, A.; Ludwig, S.A. Delineation of Integrated Anomaly with Generative Adversarial Networks and Deep Neural Networks in the Zhaojikou Pb-Zn Ore District, Southeast China. Acta Geol. Sin. 2023, 97, 1252–1267. [Google Scholar] [CrossRef]
- Hoseinzade, Z.; Bazoobandi, M.H. Deep embedded clustering: Delineating multivariate geochemical anomalies in the Feizabad region. Geochemistry 2024, 84, 126208. [Google Scholar] [CrossRef]
- Ronneberger, O.; Fischer, P.; Brox, T. U-Net: Convolutional Networks for Biomedical Image Segmentation. In Medical Image Computing and Computer-Assisted Intervention—MICCAI 2015, 18th International Conference, Munich, Germany, 5–9 October 2015; Springer International Publishing: Cham, Switzerland, 2015; Volume 9351, pp. 234–241. [Google Scholar] [CrossRef]
- Han, N.; Zhou, L.; Xie, Z.M.; Zheng, J.L.; Zhang, L.X. Multi-level U-net network for image super-resolution reconstruction. Displays 2022, 73, 102192. [Google Scholar] [CrossRef]
- Bavandsavadkoohi, M.; Cedou, M.; Blouin, M.; Gloaguen, E.; Tirdad, S.; Giroux, B. High-resolution aeromagnetic map through Adapted-SRGAN: A case study in Québec, Canada. Comput. Geosci. 2023, 176, 105363. [Google Scholar] [CrossRef]
- Farsiu, S.; Robinson, D.; Elad, M.; Milanfar, P. Advances and challenges in Super-Resolution. Int. J. Imaging Syst. Technol. 2004, 14, 47–57. [Google Scholar] [CrossRef]
- Zhang, P.; Zhu, S.; Wang, C.T.; Zhao, Y.P.; Lam, E.Y. Neuromorphic Imaging with Super-Resolution. IEEE Trans. Circuits Syst. Video Technol. 2025, 35, 1715–1727. [Google Scholar] [CrossRef]
- Wang, X.Y.; Hu, Q.; Cheng, Y.S.; Ma, J.Y. Hyperspectral Image Super-Resolution Meets Deep Learning: A Survey and Perspective. IEEE/CAA J. Autom. Sin. 2023, 10, 1668–1691. [Google Scholar] [CrossRef]
- Dong, C.; Loy, C.C.; He, K.M.; Tang, X.O. Image Super-Resolution Using Deep Convolutional Networks. IEEE Trans. Pattern Anal. Mach. Intell. 2016, 38, 295–307. [Google Scholar] [CrossRef]
- Zheng, Y.Z.; Liu, P.; Qian, L.; Qin, S.Q.; Liu, X.Y.; Ma, Y.; Cheng, G.J. Recognition and Depth Estimation of Ships Based on Binocular Stereo Vision. J. Mar. Sci. Eng. 2022, 10, 1153. [Google Scholar] [CrossRef]
- Song, X.G.; Pang, X.C.; Zhang, L.; Lu, X.F.; Hei, X.H. Single image super-resolution with lightweight multi-scale dilated attention network. Appl. Soft Comput. 2025, 169, 112569. [Google Scholar] [CrossRef]
- Zhang, J.; Shao, M.H.; Yu, L.L.; Li, Y.S. Image super-resolution reconstruction based on sparse representation and deep learning. Signal Process. Image Commun. 2020, 87, 115925. [Google Scholar] [CrossRef]
- Zhang, Y.L.; Li, K.P.; Li, K.; Wang, L.C.; Zhong, B.N.; Fu, Y. Image Super-Resolution Using Very Deep Residual Channel Attention Networks. In Proceedings of the European Conference on Computer Vision (ECCV), Munich, Germany, 8–14 September 2018; Volume 11211, pp. 294–310. [Google Scholar] [CrossRef]
- Huang, F.; Li, Y.X.; Ye, X.J.; Wu, J. Infrared Image Super-Resolution Network Utilizing the Enhanced Transformer and U-Net. Sensors 2024, 24, 4686. [Google Scholar] [CrossRef]
- Chen, D.J.; Wei, J.H.; Wang, W.H.; Shi, W.J.; Li, H.; Zhan, X.F. Comparison of Methods for Determining the Thresholds of Geochemical Anomalies and the Prospecting Direction-A Case of Gold Deposits in the Gouli Exploration Area, Qinghai Province. Minerals 2019, 9, 368. [Google Scholar] [CrossRef]
- Dong, J.E.; Wang, P.; Li, H.; Zhang, H.Q.; Zhao, M.F.; Tong, H.K.; Yu, X.L.; Li, J.; Zhang, B.S. Study of the Genesis Process and Deep Prospecting Breakthrough in the Gouli Ore Concentration of the East Kunlun Metallogenic Belt Using Audio Magne-totelluric Data. Minerals 2024, 14, 930. [Google Scholar] [CrossRef]
- Chen, J.J.; Wei, J.H.; Fu, L.B.; Li, H.; Zhou, H.Z.; Zhao, X.; Zhan, X.F.; Tan, J. Multiple sources of the Early Mesozoic Gouli batholith, Eastern Kunlun Orogenic Belt, northern Tibetan Plateau: Linking continental crustal growth with oceanic subduction. Lithos 2017, 292, 161–178. [Google Scholar] [CrossRef]
- Patra, C.; Giri, D.; Nandi, S.; Das, A.K.; Alenazi, M.J.F. Phishing email detection using vector similarity search leveraging transformer-based word embedding. Comput. Electr. Eng. 2025, 124, 110403. [Google Scholar] [CrossRef]
- Wang, J.; Zhao, C.Q.; He, S.M.; Gu, Y.; Alfarraj, O.; Abugabah, A. LogUAD: Log Unsupervised Anomaly Detection Based on Word2Vec. Comput. Syst. Sci. Eng. 2022, 41, 1207–1222. [Google Scholar] [CrossRef]
- Shafiq, M.; Gu, Z.Q. Deep Residual Learning for Image Recognition: A Survey. Appl. Sci. 2022, 12, 8972. [Google Scholar] [CrossRef]
- Pan, T.Y.; Yang, G.Y.; Zhao, J.L.; Ding, J.Y. Smoothing Piecewise Linear Activation Functions Based on Mollified Square Root Functions. Math. Found. Comput. 2024, 7, 578–601. [Google Scholar] [CrossRef]
- Chahkoutahi, F.; Khashei, M.; Molaverdi, N. Loss functions in classification: An comprehensive overview and comparative study. Appl. Soft Comput. 2025, 184, 113778. [Google Scholar] [CrossRef]
- Xu, K.P.; Zhang, Y.Y.; Yu, W.X.; Zhang, Z.Q.; Lu, J.W.; Fan, Y.B.; He, G.; Yang, Z. Segmentation of Building Footprints with Xception and Iouloss. In Proceedings of the 2019 IEEE International Conference on Multimedia & Expo Workshops (ICMEW), Shanghai, China, 8–12 July 2019; pp. 420–425. [Google Scholar] [CrossRef]
- Korhonen, J.; You, J.Y. Peak Signal-to-Noise Ratio Revisited: Is Simple Beautiful? In Proceedings of the 2012 Fourth International Workshop on Quality of Multimedia Experience, Melbourne, VIC, Australia, 5–7 July 2012; pp. 37–38. [Google Scholar]
- Li, Y.C.; Zhang, Y.; Jia, D.Y.; Gao, S.; Zhang, M.Q. Noise Impact Analysis in Computer-Generated Holography Based on Dual Metrics Evaluation via Peak Signal-to-Noise Ratio and Structural Similarity Index Measure. Appl. Sci. 2025, 15, 6047. [Google Scholar] [CrossRef]
- Abdel-Latif, H.M.R.; Khalil, R.H.; Soliman, A.A.; Gewaily, M.S.; Amer, A.A.; Dawood, M.; Chaklader, M.R. Enhanced growth, antioxidant responses and resilience to induced by supplementation in Liza ramada. Aquaculture 2026, 612, 743163. [Google Scholar] [CrossRef]
- Xie, X.; Cheng, H. The suitability of floodplain sediment as a global sampling medium: Evidence from China. J. Geochem. Explor. 1997, 58, 51–62. [Google Scholar] [CrossRef]
- Cao, J.F.; Li, W.Y.; Isokov, M.; Movlanov, J.; Mirkhamdamov, M.; Ma, Z.P.; Weng, K.; Cao, K.; Meng, G.L. Distribution, enrichment characteristics and prospecting potential of lithium in Uzbekistan: Insights from 1:1 million geochemical mapping. J. Geochem. Explor. 2025, 268, 107606. [Google Scholar] [CrossRef]
- Birke, M.; Rauch, U.; Stummeyer, J. How robust are geochemical patterns? A comparison of low and high sample density geochemical mapping in Germany. J. Geochem. Explor. 2015, 154, 105–128. [Google Scholar] [CrossRef]
- Trivedi, A.; Sivanesan, S. Leveraging cosine similarity for stock trend prediction with options chain data and piecewise linear encoding. Comput. Electr. Eng. 2025, 127, 110565. [Google Scholar] [CrossRef]
- Kim, J.; Lee, J.K.; Lee, K.M. Accurate image super-resolution using very deep convolutional networks. In Proceedings of the IEEE Conference on Computer Vision and Pattern Recognition, Las Vegas, NV, USA, 27–30 June 2016; pp. 1646–1654. [Google Scholar] [CrossRef]




















| Unit Level | Conv Layer | Filter | Stride | Output Size | |
|---|---|---|---|---|---|
| Input | Batchnorm | 32 × 32 × 18 | |||
| Downsampling module | Level 1 | Conv 1 | 3 × 3/64 | 1 | 32 × 32 × 64 |
| Conv 2 | 3 × 3/64 | 1 | 32 × 32 × 64 | ||
| Conv 3 | 1 × 1/64 | 1 | 32 × 32 × 64 | ||
| Level 2 | Conv 1 | 1 × 1/128 | 2 | 16 × 16 × 128 | |
| Conv 2 | 3 × 3/128 | 1 | 16 × 16 × 128 | ||
| Conv 3 | 1 × 1/128 | 2 | 16 × 16 × 128 | ||
| Level 3 | Conv 1 | 1 × 1/256 | 2 | 8 × 8 × 256 | |
| Conv 2 | 3 × 3/256 | 1 | 8 × 8 × 256 | ||
| Conv 3 | 1 × 1/256 | 2 | 8 × 8 × 256 | ||
| Level 4 | Conv 1 | 1 × 1/512 | 2 | 4 × 4 × 512 | |
| Conv 2 | 3 × 3/512 | 1 | 4 × 4 × 512 | ||
| Conv 3 | 1 × 1/512 | 2 | 4 × 4 × 512 | ||
| Bottleneck module | Level 5 | Conv 1 | 1 × 1/1024 | 2 | 2 × 2 × 1024 |
| Conv 2 | 3 × 3/1024 | 1 | 2 × 2 × 1024 | ||
| De-Conv 1 | 2 × 2/512 | 2 | 4 × 4 × 512 | ||
| Conv 3 | 1 × 1/512 | 1 | 4 × 4 × 512 | ||
| Upsampling module | Level 6 | Conv 1 | 3 × 3/512 | 1 | 4 × 4 × 512 |
| Conv 2 | 3 × 3/512 | 1 | 4 × 4 × 512 | ||
| De-Conv 1 | 2 × 2/256 | 2 | 8 × 8 × 256 | ||
| De-Conv 2 | 1 × 1/256 | 2 | 8 × 8 × 256 | ||
| Level 7 | Conv 1 | 3 × 3/256 | 1 | 8 × 8 × 256 | |
| Conv 2 | 3 × 3/256 | 1 | 8 × 8 × 256 | ||
| De-Conv 1 | 2 × 2/128 | 2 | 16 × 16 × 128 | ||
| De-Conv 2 | 1 × 1/128 | 2 | 16 × 16 × 128 | ||
| Level 8 | Conv 1 | 3 × 3/128 | 1 | 16 × 16 × 128 | |
| Conv 2 | 3 × 3/128 | 1 | 16 × 16 × 128 | ||
| De-Conv 1 | 2 × 2/64 | 2 | 32 × 32 × 64 | ||
| De-Conv 2 | 1 × 1/64 | 2 | 32 × 32 × 64 | ||
| Level 9 | Conv 1 | 3 × 3/64 | 1 | 32 × 32 × 64 | |
| Conv 2 | 3 × 3/64 | 1 | 32 × 32 × 64 | ||
| Branch Upsampling module | Level 10 | De-Conv 1 | 2 × 2/64 | 2 | 32 × 32 × 64 |
| Conv 1 | 1 × 1/64 | 1 | 32 × 32 × 64 | ||
| De-Conv 2 | 1 × 1/64 | 2 | 32 × 32 × 64 | ||
| Level 11 | De-Conv 1 | 2 × 2/32 | 1 | 32 × 32 × 32 | |
| Conv 1 | 3 × 3/32 | 1 | 32 × 32 × 32 | ||
| De-Conv 2 | 1 × 1/32 | 1 | 32 × 32 × 32 | ||
| Output | Conv 1 | 3 × 3 | 1 | 32 × 32 × 10 |
| Lithological Unit | Core Area (1:25,000) | Core Area (1:50,000) | Entire Area (1:50,000) | |||
|---|---|---|---|---|---|---|
| Number | % | Number | % | Number | % | |
| Cenozoic sediments | 808 | 3.58% | 438 | 7.29% | 1058 | 8.31% |
| Triassic Elashan Formation | * | * | * | * | 266 | 2.09% |
| Triassic Hongshuichuan Formation | * | * | * | * | 120 | 0.94% |
| Carboniferous Haotelowa Formation | * | * | * | * | 51 | 0.40% |
| Carboniferous Halagole Formation | * | * | * | * | 173 | 1.36% |
| Xiaomiao Formation in Changcheng System | 737 | 3.27% | 230 | 3.83% | 1016 | 7.98% |
| Paleoproterozoic Jinshuikou Group | 6083 | 26.99% | 1565 | 26.04% | 3050 | 23.95% |
| Triassic granite | 2095 | 9.29% | 620 | 10.31% | 1385 | 10.88% |
| Triassic granodiorite | 7935 | 35.20% | 1949 | 32.42% | 3675 | 28.86% |
| Permian quartz diorite | 176 | 0.78% | 34 | 0.57% | 92 | 0.72% |
| Carboniferous granodiorite | 1813 | 8.04% | 446 | 7.42% | 733 | 5.76% |
| Silurian granodiorite | 283 | 1.26% | 78 | 1.30% | 200 | 1.57% |
| Ordovician tonalite | 2612 | 11.59% | 651 | 10.83% | 914 | 7.18% |
| Total | 22,542 | 100.00% | 6011 | 100.00% | 12,734 | 100.00% |
| Element | Min | Max | X | Md | QP | EK | ||||||||
|---|---|---|---|---|---|---|---|---|---|---|---|---|---|---|
| CR | ER | CR | ER | CR | ER | CR | ER | |||||||
| 1:25,000 | 1:50,000 | 1:50,000 | 1:25,000 | 1:50,000 | 1:50,000 | 1:25,000 | 1:50,000 | 1:50,000 | 1:25,000 | 1:50,000 | 1:50,000 | - | - | |
| As | 0.01 | 0.04 | 0.04 | 806.45 | 292.10 | 379.78 | 8.78 | 7.78 | 9.44 | 6.08 | 6.11 | 6.54 | 13.6 | 12.3 |
| Sb | 0.01 | 0.01 | 0.01 | 40.12 | 21.70 | 44.10 | 0.53 | 0.57 | 0.71 | 0.36 | 0.39 | 0.45 | 0.93 | 0.96 |
| Bi | 0.01 | 0.01 | 0.01 | 100 | 21.79 | 28.49 | 0.37 | 0.29 | 0.31 | 0.20 | 0.20 | 0.20 | 0.29 | 0.33 |
| Au * | 0.03 | 0.50 | 0.50 | 1212.5 | 149.30 | 390.79 | 1.35 | 1.66 | 1.30 | 0.89 | 1.30 | 1.81 | 1.35 | 1.61 |
| Ag * | 10.00 | 5.20 | 5.20 | 5000 | 1681.00 | 5000 | 87.98 | 63.41 | 68.10 | 65.00 | 49.00 | 46.80 | 65.0 | 51.0 |
| Cu | 0.50 | 1.32 | 1.32 | 3000 | 608.00 | 947.27 | 22.92 | 17.68 | 19.84 | 18.60 | 15.54 | 16.30 | 19.9 | 20.2 |
| Pb | 0.36 | 2.63 | 2.63 | 3411.82 | 664.00 | 1250 | 23.35 | 17.46 | 20.81 | 20.90 | 15.60 | 16.65 | 19.97 | 18.7 |
| Zn | 1.18 | 14.83 | 14.83 | 2638.82 | 460.00 | 779.66 | 59.95 | 47.03 | 52.21 | 55.30 | 44.10 | 46.73 | 57.5 | 58.3 |
| Sn | 0.10 | 0.37 | 0.37 | 100 | 32.35 | 41.12 | 2.56 | 2.22 | 2.20 | 2.27 | 2.00 | 1.70 | 2.61 | 2.36 |
| Mo | 0.01 | 0.07 | 0.07 | 237.10 | 39.61 | 39.61 | 1.25 | 1.13 | 1.21 | 0.98 | 0.96 | 1.02 | 0.64 | 0.80 |
| Geological Entities | Word Vector Dimensions | ||||
|---|---|---|---|---|---|
| 1 | 2 | 3 | 4 | 5 | |
| Cenozoic sediments | 1.3197 | 0.9635 | 2.9743 | −1.2355 | −0.1188 |
| Triassic Elashan Formation | 0.0934 | −0.1082 | 3.3596 | −0.9471 | −1.0408 |
| Triassic Hongshuichuan Formation | 1.3764 | 0.2599 | 2.8317 | −0.9789 | −1.6656 |
| Carboniferous Haotelowa Formation | 1.2579 | 0.5388 | 3.1968 | −1.3147 | −1.3434 |
| Carboniferous Halagole Formation | 0.8648 | 0.1356 | 3.2156 | −1.1133 | −1.0306 |
| Xiaomiao Formation in Changcheng System | 0.8192 | 0.3687 | 2.3485 | −0.8228 | −0.5159 |
| Paleoproterozoic Jinshuikou Group | 0.6219 | 0.3079 | 3.6535 | −1.3698 | −1.3064 |
| Triassic granite | −0.0008 | 0.0892 | 2.5573 | −0.7160 | −1.3924 |
| Triassic granodiorite | 0.2546 | 0.4263 | 3.4675 | −1.3776 | −1.1784 |
| Permian quartz diorite | 0.3586 | −0.2829 | 2.5137 | −0.3464 | −1.8281 |
| Carboniferous granodiorite | 0.6695 | 0.0571 | 2.3866 | −0.5355 | −1.9742 |
| Silurian granodiorite | 0.1830 | 0.3001 | 2.3072 | −0.7561 | −0.6536 |
| Ordovician tonalite | 0.4988 | 0.1736 | 1.8549 | −0.4664 | −0.8848 |
| Hyperparameters | Value |
|---|---|
| Batch size | 32 |
| Initial learning rate | 0.001 |
| Learning rate adjustment strategy | With a 50% reduction applied every 40 iterations |
| Epochs | 1000 |
| Optimizer | Adam |
| Low resolution image size | 32 × 32 |
| High resolution image size | 32 × 32 |
| Network Structure | Geochemical Maps | Topographic Feature Maps | Embedded Geological Maps | PSNR | SSIM | ||
|---|---|---|---|---|---|---|---|
| Maximum | Average | Maximum | Average | ||||
| SRCNN | Yes | Yes | Yes | 27.493 | 13.401 | 0.769 | 0.273 |
| Yes | Yes | No | 26.791 | 13.004 | 0.781 | 0.239 | |
| Yes | No | No | 25.874 | 13.058 | 0.741 | 0.235 | |
| VDSR | Yes | Yes | Yes | 35.199 | 20.678 | 0.933 | 0.623 |
| Yes | Yes | No | 30.017 | 16.518 | 0.849 | 0.419 | |
| Yes | No | No | 30.081 | 16.167 | 0.831 | 0.407 | |
| U-net | Yes | Yes | Yes | 36.070 | 22.043 | 0.945 | 0.714 |
| Yes | Yes | No | 36.967 | 22.759 | 0.946 | 0.708 | |
| Yes | No | No | 36.333 | 20.101 | 0.919 | 0.642 | |
| The proposed method | Yes | Yes | Yes | 38.486 | 25.334 | 0.968 | 0.817 |
| Yes | Yes | No | 37.336 | 22.136 | 0.946 | 0.722 | |
| Yes | No | No | 36.455 | 23.147 | 0.945 | 0.713 | |
Disclaimer/Publisher’s Note: The statements, opinions and data contained in all publications are solely those of the individual author(s) and contributor(s) and not of MDPI and/or the editor(s). MDPI and/or the editor(s) disclaim responsibility for any injury to people or property resulting from any ideas, methods, instructions or products referred to in the content. |
© 2025 by the authors. Licensee MDPI, Basel, Switzerland. This article is an open access article distributed under the terms and conditions of the Creative Commons Attribution (CC BY) license (https://creativecommons.org/licenses/by/4.0/).
Share and Cite
Pei, Y.; Wang, Y.; Li, X.; Gao, T.; Wang, S.; Zhou, X. Geology-Topography Constrained Super-Resolution of Geochemical Maps via Enhanced U-Net. Minerals 2025, 15, 1088. https://doi.org/10.3390/min15101088
Pei Y, Wang Y, Li X, Gao T, Wang S, Zhou X. Geology-Topography Constrained Super-Resolution of Geochemical Maps via Enhanced U-Net. Minerals. 2025; 15(10):1088. https://doi.org/10.3390/min15101088
Chicago/Turabian StylePei, Yao, Yuanfang Wang, Xiaolong Li, Tie Gao, Shengfa Wang, and Xiaoshan Zhou. 2025. "Geology-Topography Constrained Super-Resolution of Geochemical Maps via Enhanced U-Net" Minerals 15, no. 10: 1088. https://doi.org/10.3390/min15101088
APA StylePei, Y., Wang, Y., Li, X., Gao, T., Wang, S., & Zhou, X. (2025). Geology-Topography Constrained Super-Resolution of Geochemical Maps via Enhanced U-Net. Minerals, 15(10), 1088. https://doi.org/10.3390/min15101088

