Next Article in Journal
Gemstones from the Medicean Collection of the Natural History Museum of Florence (Italy): New Insights from Micro-Raman and PIXE-PIGE Analyses
Next Article in Special Issue
Magnetite Texture and Geochemistry in the Takab Ore Deposit (NW Iran): Implications for a Complex Hydrothermal Evolution
Previous Article in Journal
Pyrite Textures, Trace Element Geochemistry and Galena Pb Isotopes of the Yanzhupo Gold Deposit in the Jiangnan Orogen, South China: Implications for Gold Mineralization Genesis
Previous Article in Special Issue
Evolution of the Hydrothermal Fluids Inferred from the Occurrence and Isotope Characteristics of the Carbonate Minerals at the Pogo Gold Deposit, Alaska, USA
 
 
Font Type:
Arial Georgia Verdana
Font Size:
Aa Aa Aa
Line Spacing:
Column Width:
Background:
Article

A Genetic Model for the Biggenden Gold-Bearing Fe Skarn Deposit, Queensland, Australia: Geology, Mineralogy, Isotope Geochemistry, and Fluid Inclusion Studies

1
Sustainable Minerals Institute, The University of Queensland, St Lucia, QLD 4072, Australia
2
Department of Geology, Brandon University, Brandon, MB R7A 6A9, Canada
3
Earth Sciences, University of New England, Armidale, NSW 2351, Australia
*
Author to whom correspondence should be addressed.
Minerals 2025, 15(1), 95; https://doi.org/10.3390/min15010095
Submission received: 23 December 2024 / Revised: 16 January 2025 / Accepted: 17 January 2025 / Published: 20 January 2025
(This article belongs to the Special Issue Geochemistry and Genesis of Hydrothermal Ore Deposits)

Abstract

The Biggenden gold-bearing Fe skarn deposit in southeast Queensland, Australia, is a calcic magnetite skarn that has been mined for Fe and gold (from the upper portion of the deposit). Skarn has replaced volcanic and sedimentary rocks of the Early Permian Gympie Group, which formed in different tectonic settings, including island arc, back arc, and mid-ocean ridge. This group has experienced a hornblende-hornfels grade of contact metamorphism due to the intrusion of the Late Triassic Degilbo Granite. The intrusion is a mildly oxidized I-type monzogranite that has geochemical characteristics intermediate between those of granitoids typically associated with Fe-Cu-Au and Sn-W-Mo skarn deposits. The skarn mineralogy indicates that there was an evolution from prograde to various retrograde assemblages. Prograde garnet (Adr11-99Grs1-78Alm0-8Sps0-11), clinopyroxene (Di30-92Hd7-65Jo0-9), magnetite, and scapolite formed initially. Epidote and Cl-bearing amphibole (mainly ferropargasite) were the early retrograde minerals, followed by chlorite, calcite, actinolite, quartz, and sulfides. Late-stage retrograde reactions are indicated by the development of nontronite, calcite, and quartz. Gold is mainly associated with sulfide minerals in the retrograde sulfide stage. The fluids in equilibrium with the ore-stage calcites had δ13C and δ18O values that indicate deposition from magmatically derived fluids. The calculated δ18O values of the fluids in equilibrium with the skarn magnetite also suggest a magmatic origin. However, the fluids in equilibrium with epidote were a mixture of magmatic and meteoric water, and the fluids that deposited chlorite were at least partly meteoric. δD values for the retrograde amphibole and epidote fall within the common range for magmatic water. Late-stage chlorite was deposited from metasomatic fluids depleted in deuterium (D), implying a meteoric water origin. Sulfur isotopic compositions of the Biggenden sulfides are similar to other skarn deposits worldwide and indicate that sulfur was most probably derived from a magmatic source. Based on the strontium (87Sr/86Sr) and lead (206Pb/204Pb, 207Pb/204Pb and 208Pb/204Pb) isotope ratios, the volcanic and sedimentary rocks of the Gympie Group may have contributed part of the metals to the hydrothermal fluids. Lead isotope data are also consistent with a close age relationship between the mineralization at Biggenden and the crystallization of the Degilbo Granite. Microthermometric analysis indicates that there is an overall decrease in fluid temperature and salinity from the prograde skarn to retrograde alterations. Fluid inclusions in prograde skarn calcite and garnet yield homogenization temperatures of 500 to 600 °C and have salinities up to 45 equivalent wt % NaCl. Fluid inclusions in quartz and calcite from the retrograde sulfide-stage homogenized between 280 and 360 °C and have lower salinities (5–15 equivalent wt % NaCl). In a favored genetic model, hydrothermal fluids originated from the Degilbo Granite at depth and migrated through the shear zone, intrusive contact, and permeable Gympie Group rocks and leached extra Fe and Ca and deposited magnetite upon reaction with the adjacent marble and basalt.

1. Introduction

The Biggenden mine in southeast Queensland, Australia (Figure 1) can be classified as an iron skarn, however, it has geochemical and mineralogical characteristics that overlap with worldwide gold and copper skarn deposits (e.g., [1,2,3,4,5,6]). There are also differences between the Biggenden deposit and other skarn deposits in terms of hydrothermal alteration and geochemical features of the adjacent pluton, Degilbo Granite.
The Biggenden mine was opened in 1888, and it was first operated for Cu, Au, and Bi. Quantities of commodities extracted from the mine are not accurately known, but approximate values provide some indication of the changing focus of mining. Early production of approximately 6000 ounces of gold (1888–1901) was followed by 200 tons of bismuth (1901–1938), with Commercial Minerals commencing open pit mining of magnetite in 1967. An estimated 580,000 tons of magnetite were produced for the Australian coal industry by 1990, during a transition into underground mining. The total measured recoverable reserve at Biggenden was estimated to be 107,000 tons of wet product, from 323,000 tons of ore with an average head grade of 30.7% magnetite [7]. The mine was closed in 1999 due to the exhaustion of economic resources.
The Biggenden skarn has been mentioned in review articles of world skarns [8,9] but has never been described in detail. Despite previous works (e.g., [10,11,12]), its genesis has long remained an enigma. The spectacular skarn exposures at the Biggenden mine resulting from three decades of open pit and underground mining offer an opportunity to study this deposit more closely and to apply new techniques to investigate the genesis of this deposit.
Figure 1. Major tectonic terranes of the Northern New England Orogen and the location of the Biggenden mine in the Gympie Group (also called Gympie Terrane [13]). Location of Figure 2 is shown as white rectangle. Modified after [14].
Figure 1. Major tectonic terranes of the Northern New England Orogen and the location of the Biggenden mine in the Gympie Group (also called Gympie Terrane [13]). Location of Figure 2 is shown as white rectangle. Modified after [14].
Minerals 15 00095 g001

2. Regional Geological Setting

The Biggenden mine is situated in the Gympie Group, which is part of the New England Orogen, eastern Australia (Figure 1). Various origins have been suggested for the Gympie Group, ranging from an accreted arc to an exotic displaced terrane derived perhaps from New Zealand or New Caledonia [15,16,17] or, alternatively, that it represents a foreland basin originating not far from the Australian continental crust [13,18]. The mine area is underlain by the Early Permian rocks of the Gympie Group in the east and the Late Triassic Degilbo Granite in the west (Figure 2). The Gympie Group sequence is steeply dipping and locally faulted, sheared, and folded, and affected by the lowermost greenschist facies metamorphism. To the south, the Triassic Mount Marcella Volcanics overlie the Gympie Group, and in some places, Pleistocene Barambah Basalt overlies all the units, especially [15]. The host rocks for mineralization at the Biggenden mine area comprise intercalated basaltic and andesitic flows, tuffaceous and fragmental rocks of sedimentary/volcanic provenance, siltstone, and limestone (Figure 3). The basalts are partly vesicular with local pillow structures. Dolerite dikes also occur to the northeast of the Biggenden mine. Geochemical studies of the volcanic rocks of the Gympie Group suggest that these rocks formed in different tectonic settings, including island arc, back arc, and mid-ocean ridge settings [17,19,20], and were tectonically juxtaposed in the Triassic.
The Degilbo Granite is a massive, biotite-hornblende monzogranite of I-type affinity, and except for evidence of minor actinolite endoskarn vein development at the Biggenden mine, it is generally unaltered. It has intruded and is in most parts surrounded by the Gympie Group, except in the western contact, where it has intruded the andesitic flows and pyroclastics of the Mount Marcella Volcanics. The age of the pluton has been reported to be 220 Ma (a K-Ar biotite age [21]) and 216 ± 6 Ma (a K-Ar age on contact metamorphic hornblende [15]).
Other prospects and abandoned mines in the area are aligned roughly north-south with the Biggenden deposit and are mainly concentrated along the eastern margin of the Degilbo Granite (Figure 3). To the north of the area, in the vicinity of the Commonwealth mine (Figure 3), there are outcrops of small masses of serpentinite and foliated biotite granite that are associated with an NE-trending fault. This biotite granite is distinguished from the Degilbo Granite based on its mineralogy, texture, and deformation. The biotite granite is interpreted to be older and part of a fault melange [19].

Mine Geology

The Gympie Group in the mine area (~2 km2) consists of five primary rock units:
  • Lava Flows: These amygdaloidal basalts and andesites occur in the eastern part of the open pit and display coherent volcanic flow textures. They feature inter-granular, subophitic, or porphyritic textures, with albitized plagioclase laths and augite in a groundmass of altered plagioclase, ferromagnesian minerals, and accessory titanomagnetite and ilmenite. The amygdales, up to 1 cm, are filled mainly with epidote and chlorite.
  • Volcaniclastic Rocks: These rocks are closely associated with the lava flows but differ in their dominant fragmental texture. The outcrops in the open pit transition from a gradational contact with the volcanic flows to a gradational contact with polymictic rocks.
  • Polymictic Rocks: This unit, found between the granite contact and the volcaniclastic unit, includes a tuffaceous lithic wacke and breccia. These rocks are black to greenish-black, due to the presence of metamorphic hornblende, clinopyroxene, and biotite. The key difference from the volcaniclastic unit is the inclusion of non-volcanic clasts such as chert, siltstone, and limestone. Contact metamorphism has replaced some of these fragments with calc-silicate minerals.
  • Limestone: The mine area features several large and small marble bodies, with a granoblastic polygonal texture. Over 98% of the rock is calcite, with disseminated garnet and other common calc-silicate minerals.
  • Metasiltstone: This unit is an orange-brown, intensely jointed horizon in the open pit area. It has a granoblastic texture and locally contains up to 50% metamorphic biotite near the contact zone.
The Degilbo Granite is medium to coarse-grained with a hypidiomorphic granular texture and is locally porphyritic, containing phenocrysts of pink perthitic K-feldspar and white plagioclase. There is no significant mineralogical variation within the granite, and no notable endoskarn has developed. A few aplite and microgranite porphyry dikes cut through the granite and surrounding rocks, suggesting late-stage offshoots of the main granite body. The pink color of the K-feldspar and characteristic minerals, including hornblende, titanite, allanite, and magnetite, are typical of I-type granites [22,23].
The orebody at Biggenden formed through metasomatic replacement (exoskarn) of various protoliths in the Gympie Group. The orebody is 360 m long, up to 35 m wide, and extends to a depth of approximately 135 m. Magnetite occurs in large, irregular masses, lenses, veins, and disseminated grains. The strata strike N-S to N10° E and dip steeply west, possibly indicating subvertical thrust stacks [15]. A near-vertical shear zone occurs close to the granite contact, extending up to 30 m away. Stronger mineralization is found near shear zones. Contact metamorphic minerals overprint the shear fabric, with mineralization observed in pressure shadow tails and boudinage structures. Aeromagnetic data [24] reveal a northeast-striking linear structure, approximately 5 km long and 200 m wide, which includes the shear zone at the mine. Previous studies by Cranfield (1994) [15] also report a regional shear zone extending northeast of the Biggenden mine.
The prominent hanging wall fault, striking parallel to the western margin of the magnetite orebody (Figure 4A), is barren and filled with clay gouge. The most recent movement on this fault post-dates mineralization and is likely post-granite emplacement, as the gouge is not metamorphosed. Broad zones of brecciation, up to several meters wide, occur in the mine, particularly in association with marble (Figure 4B). Breccia fragments, up to 0.5 m in size, are composed of hornfels, mainly formed from polymictic rocks, which are replaced at the margins by garnet and magnetite. No significant structural displacements of the orebody have been observed that could explain its proximity to the unaltered granite (Figure 5).

3. Materials and Methods

The geochemistry of the intrusive rocks has been investigated in 19 samples, including Degilbo Granite, microgranite, and aplite dikes. Samples were analyzed by XRF at the University of New England (UNE) for major and trace elements. Microanalysis of metamorphic and skarn minerals was carried out at University of New England, Armidale, Australia using a JEOL JSM 5800LV scanning electron microscope equipped with energy dispersive spectrometer (EDS). The acceleration potential, beam current, and analysis time were 20 kv, 20 μA, and 120 s, respectively.
Fluid inclusion samples were mainly collected from the ore and chlorite assemblages. Thermometric analyses were carried out on an SGE heating/freezing stage. Vapor-liquid homogenization temperature (Th), last ice melting (Tm), and the disappearance temperature of salt (Td) were recorded. Heating was carried out twice for each fluid inclusion, and an average was recorded as the homogenization temperature. The precision of the temperature measurements was ± 5 °C. The coexistence of vapor-rich and liquid-rich fluid inclusions in the same analyzed grains is considered to be representative of the boiling of hydrothermal fluid [25], and therefore pressure correction was not applied to the acquired homogenization temperatures.
All mineral separations and sample preparations for isotope analyses of carbonates and sulfides were performed at UNE. Sample preparations for silicates and all stable isotope analyses were carried out at the Centre for Isotope Studies at CSIRO, North Ryde, Australia. For oxygen isotope analysis, oxygen in the silicates and magnetite was extracted by the BrF5 technique according to the method of Clayton and Mayeda (1963) [26]. For hydrogen isotope analyses, water was extracted from the hydrous silicates according to the method of Friedman (1953) [27].
δ34S values of the sulfides were determined on SO2 gas, which was extracted from sulfide minerals by combustion with Cu2O powder at 1100 °C, according to the method of Robinson and Kusakabe (1975) [28]. Carbonates were prepared following the method of McCrea (1950) [29]. The values are reported here in the usual delta notation (δ) in per mil (‰) with δ13C relative to V-PDB and δ18O and δD relative to the V-SMOW standard.
For Sr isotope analysis, pulverized granite and other silicate rock samples were dissolved overnight in a Teflon bomb using HF, HNO3, and HClO4 at 180 °C until digestion was complete. Carbonates were dissolved in CH3COOH and HCl. Separation of Sr was conducted using standard cation exchange chromatography. The dissolved samples were centrifuged in 1 mL of 6 M HCl and then loaded on columns of ion-exchange resin. The separated Sr was loaded on W filaments and analyzed by thermal ionization mass spectrometry.
An accelerator mass spectrometer system called AUSTRALIS [30] was used for lead isotope analysis at CSIRO. The system enables in situ microanalysis of samples, and Pb isotope measurements were performed using a 30-micron microbeam in polished thin sections containing galena.

4. Results and Analysis

4.1. Mineralogy and Mineral Compositions

Major minerals in the Degilbo Granite include quartz, plagioclase, K-feldspar, hornblende, and biotite with accessory apatite, zircon, titanite, allanite, and magnetite. The intrusion of this granite has produced a hornblende hornfels grade of contact metamorphism in the rock units of the Gympie Group, extending up to 1.3 km from the intrusive contact. The lowest grade of contact metamorphism is represented by chlorite, epidote, albite, pale-green actinolite, quartz, and calcite in the mafic rocks consistent with the albite-epidote hornfels facies. As the pluton is approached, at approximately 700 m from the contact, green hornblende appears in the basalts and dolerites, and actinolite is partially replaced by hornblende. The highest-grade contact metamorphic rocks occur in the inner part of the aureole at a distance of up to 150 m from the granite contact. Hornblende generally increases in abundance, and biotite appears in association with hornblende. At the mine, garnet ± clinopyroxene-amphibole bands (reaction skarn) have formed at the contact of hornfels with blocks of marble (Figure 4C).
Skarn mineralogy indicates that there was an evolution from prograde through to various retrograde assemblages (Figure 6), as hydrous retrograde minerals overprinted anhydrous prograde assemblages (Figure 4D). The orebody has been formed by metasomatic replacement of several protolith types, however, no significant endoskarn was developed in the granite. The complex nature of the fluid pathways in the host rocks, diverse protoliths, and contrast in permeability among host rocks prevented the development of clear mineralogical zonation patterns such as those documented in other skarn deposits [3,8]. However, close to the granite contact, clinopyroxene and clinopyroxene-plagioclase-titanite ± scapolite are the dominant high-temperature prograde skarn assemblages. They form veins and lenses, predominantly in the polymictic rocks. Clinopyroxene is paragenetically the earliest mineral, and it is found as inclusions in other prograde skarn minerals, commonly garnet.
Garnet, magnetite, and calcite were mainly deposited within and close to the orebody, where three prograde mineral assemblages are dominant: (1) garnet, (2) garnet-clinopyroxene, and (3) magnetite-garnet-calcite ± scapolite ± clinopyroxene. Scapolite replaces garnet and earlier-formed plagioclase; veinlets of scapolite commonly cut garnet and magnetite. Calcite was partially contemporaneous with magnetite and garnet based on textural evidence. Large euhedral crystals of calcite, up to a few centimeters in size, fill the fractures and matrix in the ore breccia. Late-stage calcite occurs as open-space-filling transparent crystals, up to a few cm in size, associated with clay and quartz.
The main retrograde assemblages include (1) amphibole, (2) amphibole-chlorite, (3) epidote-fibrous amphibole-calcite, (4) epidote-chlorite, (5) chlorite-quartz ± muscovite, with quartz, calcite, sulfides, and minor amounts of hematite, muscovite, apatite, and albite, and (6) montmorillonite-nontronite-calcite. Retrograde assemblages, particularly epidote-chlorite, are more abundant to the east of the ore zone, where the permeability of pyroclastic rocks may have controlled the distribution of these hydrous minerals.
Sulfides occur as disseminated grains, veins, and fracture fillings and are commonly associated with the retrograde assemblages (Figure 6). The average total sulfide content in the orebody is approximately 3 volume% with pyrite, chalcopyrite, and bismuthinite as the most common phases. Molybdenite, arsenopyrite, tetrahedrite, and trace cobaltite are also found locally as disseminated grains. Gold is dispersed erratically in trace amounts through the orebody. It is mainly associated with bismuthinite and trace native bismuth (Figure 7), and like other gold-bearing iron skarn deposits, its presence is related to the abundance of sulfide minerals [31]. In the past, gold was mined from the “actinolite rock”, which is part of the retrograde skarn [10]. A late-stage retrograde clay assemblage locally replaced both the prograde and earlier retrograde skarn minerals and is characterized by the abundance of montmorillonite, nontronite (determined by XRD), and calcite. At shallow depths, supergene oxidation has produced hematite, covellite, malachite, and goethite from the skarn assemblage.
Clinopyroxene is dominated by diopside-hedenbergite solid solution with minor johannsenite (Di30-92Hd7-65Jo0-9) (Table 1). Pyroxene compositions fall within the fields of Fe and Au skarns (Figure 8). However, they are diopside-rich and are comparable to Cu skarns with respect to diopside content. The average Mn/Fe ratio for the Biggenden pyroxene is relatively high (0.12) for an iron skarn. Nakano et al. (1994) [32] have reported pyroxene with a high johannsenite component or Mn/Fe ratios in a few iron skarns in Japan. Matsueda (1981) [33] and Einaudi and Burt (1982) [34] also noted that some Fe skarns have high johannsenite-rich pyroxene. Gold skarn pyroxene can be more Al-rich than pyroxene in other skarn types [35]. The Al content of the Biggenden pyroxene is mainly comparable to Au skarns.
Scapolite is marialite-rich (average 76 mole% marialite) and Cl-bearing (Table 2). The proportions of marialite and Cl contents in Biggenden scapolite are similar to those in other gold and iron skarn deposits, e.g., Nickel Plate in British Columbia (Meionite 30–54 mole% and Cl = 1.7%–2.9% [36,37]).
The composition of plagioclase in the clinopyroxene-plagioclase assemblage is An95-99 mole%. Garnet grains are predominantly andradite-grossular solid solutions, containing commonly less than 10 mole% of other components and ranging in composition from Adr11 to Adr99 (Table 1). The earlier generation of garnet is isotropic and less commonly shows optical zonation. The later generation is anisotropic, grossular-rich, and forms overgrowth rims on isotropic garnets. The composition of Biggenden garnet is similar to the classical examples of iron skarns (Figure 8; e.g., those from western British Columbia [38]). However, the analyzed garnet grains are slightly enriched in Mn and may approach the compositions of garnet in Zn skarns [1,2,32]. Magnetite in the Biggenden skarn is close to stoichiometric Fe3O4, with low Ti.
The Biggenden skarn amphibole belongs to the ferropargasite and hastingsite groups (Table 1) and shows a continuous variation from Fe3+ < AlVI to Fe3+ > AlVI with up to 1.29% Cl. These amphibole grains resemble those in both Au and Fe skarns with regard to Fe, Mg, Mn, Ca, Al, Na, and K contents [2]. Epidote ranges in composition from 19.8 to 29.3 mole% pistacite with low piemontite content (Table 1). Chlorite is dominantly chamosite with ΣFe/Fe + Mg ratio ranging from 0.50 to 0.72 (Table 1). The range of calculated temperature for the retrograde skarn, using the chlorite geothermometer of Cathelineau (1988) [39], is between 252 °C and 375 °C, with an average of 310 °C.

4.2. Geochemistry of the Degilbo Granite

Based on modal mineralogy and using the classification scheme of Le Bas and Streckeisen (1991) [40], the Degilbo Granite is a monzogranite in composition. The whole rock chemical analyses of samples from the Degilbo Granite show a restricted compositional range, and the variations among samples are not related to the distance from the margin of the pluton (Table 2, Figure 9). There is a range of SiO2 content from 68 to 71%, except for samples R76325 and R76440 which may be affected by incipient actinolite endoskarn development and consequently have lower SiO2 values. The granite contains high K2O, K/(K + Na), Rb, Pb, and Th and is a high-K granitoid according to the classification of Peccerillo and Taylor (1976) [41]. It is mildly peraluminous (0%–1.63% normative corundum), and the Alumina Saturation Indices (ASI = molar Al2O3/CaO + Na2O + K2O) in all analyzed samples are less than 1.1, which is considered to be typical in I-type granites [22].

4.3. Microthermometric Studies

Fluid inclusions of measurable size (>5 microns) are present in garnet, quartz, and calcite from the Biggenden skarn assemblage. They are divided into three main types based on the major phases present. Type I fluid inclusions contain an aqueous liquid phase (L), a vapor phase (V), and one or several daughter crystals (S) and are commonly primary (using the criteria of Roedder, 1984 [26]). They are typically found in calcite grains in ore assemblages. Cubic, isotropic, and colorless crystals of halite are the main solid daughter phase in type I inclusions. The second isotropic daughter phase with a round shape was identified as sylvite based on its lower melting temperature. In some of the type I fluid inclusions, prismatic crystals, which are commonly smaller than halite, are also present. These daughter crystals did not change upon heating and are identified as anhydrites. Two types of opaque solid phases are present in these fluid inclusions; cubic grains possibly entrapped in magnetite and an unknown irregular solid phase attached to halite crystals.
Type II fluid inclusions are the most abundant and are characterized by a high proportion of liquid, with vapor content ranging from 10 to 40 volume% at room temperature. They are both primary and secondary or pseudosecondary, and the vapor homogenizes into a liquid phase upon heating.
Type III inclusions are less common and are characterized by a high proportion of gas ranging from 70 to 100 volume% and homogenize into a gas phase. Some of the inclusions of this type contain gas phase only, which may indicate that the fluids were trapped near the two-phase curve [26].
Fluid inclusions in calcite occur in various sizes and shapes and include all three types, with sizes ranging from less than 10 to 30 μm. Fluid inclusions in quartz are type II (V + L) inclusions, have irregular shapes, and range in size from 10 to 50 μm. Fluid inclusions in garnet are less abundant; they are two-phase (type II), have irregular shapes, and are commonly less than 10 μm in size, although in one sample, larger fluid inclusions up to 30 μm were found. Only a few measurements of Th were obtained from fluid inclusions in garnet, as on heating above 500 °C the host mineral commonly became dark brown and fluid inclusions were obscured. The majority of analyzed fluid inclusions homogenized to a liquid phase. However, a few calcite samples contained scattered vapor-rich, type III inclusions that commonly homogenized into a vapor phase and are interpreted to reflect trapping under boiling conditions. The scarcity of this type of inclusion may imply that boiling occurred only locally or intermittently (cf. [42,43,44]).

4.3.1. Homogenization Temperatures

Two types of primary fluid inclusions are recognized based on homogenization temperature (Figure 10): (1) high-temperature (500–560 °C) fluid inclusions that are found in garnet and calcite from the magnetite ore assemblage, (2) moderate-temperature (280 °C to 360 °C) fluid inclusions in calcite and quartz from the retrograde (mainly chlorite) assemblage. A few inclusions in calcite (outside the ore assemblage) homogenize between 380 °C and 440 °C. Homogenization temperature in the secondary and pseudosecondary fluid inclusions ranges from 200 °C to 280 °C.

4.3.2. Salinities

Salinities of the fluid inclusions were measured from either the last ice melting temperature [45] or the halite dissolution temperature [46]. Halite in type I fluid inclusions was dissolved at temperatures between 240 °C and 386 °C, corresponding to 31 and 43 wt % NaCl equivalent. Type II (L + V) fluid inclusions show a bimodal distribution of salinity; one group between 5 and 15 wt % NaCl equivalent and the other group between 20 and 30 wt % NaCl equivalent (Figure 10). The latter is mainly from fluid inclusions with higher homogenization temperatures.

4.4. Isotope Geochemistry

δ18O and δ13C in carbonates: Samples of various generations of calcite, as well as marble, limestone, and calc-silicate hornfels, were analyzed for oxygen and carbon isotopes (Table 3). Skarn calcite, which occurs interstitially between skarn silicates and magnetite, has δ18O values ranging from 9.6 to 12.2% and δ13C values ranging from −0.7 to −7.1%. Average δ18O and δ13C in marble samples are 20.9% and 4.9%, respectively. Skarn calcite samples have oxygen and carbon isotope values only slightly different from those of fine-grained calcite samples (Figure 11). Although limestone has a eutectic melting temperature of 600–675 °C [47], evidence of limestone melting (e.g., melt inclusions; [48]) was not found in the Biggenden skarn. One calcite sample plot in the igneous field on the δ18O and δ13C diagram (Figure 11), which may be due to the intensive reaction of the limestone with magmatic fluid. Calcite formed in the latest stage of retrograde hydrothermal alteration has δ13C values that reflect the skarn calcite compositions but have heavier δ18O values, which are comparable to those of marine carbonates [49]. In marbles, despite recrystallization, the marine limestone isotopic signature has been retained. The carbon isotopic values for the calc-silicate hornfels are lower than those in the limestones (Table 3).
δ18O in silicates: The δ18O values for magnetite and garnet are in the range of 7.6–10.4% and 2.4–4.4%, respectively (Table 4). The δ18O values of the hydrous retrograde minerals (amphibole, epidote, and chlorite) range from 7.8 to 9.7%, 8 to 8.2%, and 0.2 to 4.1%, respectively. The oxygen isotope composition of the granite sample (9.5%) and the narrow range of granite quartz separates lie well within the range for I-type igneous rocks (e.g., [51]).
Using fractionation factors of Bottinga and Javoy (1973) for coexisting calcite and magnetite, which show equilibrium textures in the magnetite ore assemblage, temperatures of 572 °C and 604 °C were calculated for samples R76335 and R76379, respectively [52]. These temperatures are close to those estimated from the metamorphic assemblages [19] and measured in fluid inclusions.
δD in hydrous silicates: Hydrous silicate minerals from the retrograde skarn assemblage and also biotite separates from the Degilbo Granite were analyzed both for oxygen and hydrogen isotopes (Table 4). For the retrograde skarn minerals, δD values cluster in a narrow range for each mineral; amphibole –117 to –132%, epidote –97 to –100%, chlorite –120 to –128%.
δ34S in sulfides: The δ34S values of all analyzed sulfides (molybdenite, bismuthinite, chalcopyrite, arsenopyrite, and pyrite) fall in the range of –5.6–2.3% and are comparable to the δ34S values of sulfides in other skarn deposits (Table 5, Figure 12). The six pyrite samples have δ34S values ranging from −5 to +2.3% with the maximum δ34S value from pyrite in metamorphosed sedimentary rocks approximately 300 m outside the mine area.
Strontium isotopes: In order to use the Sr data (Table 6) as hydrothermal tracers and compare the results in different rock types, the initial 87Sr/86Sr ratios have been calculated for the age of the Degilbo Granite (215 Ma). A comparison of the Sr isotope values of ore-stage calcite samples to the nearby rocks (Figure 13) shows that the 87Sr/86Sr ratio in calcite has a narrow range and is lower than that in limestone and metasiltstone and higher than that in the Degilbo Granite. One sample from metavolcanic rock with a higher 87Sr/86Sr ratio is from the mine (R76402, Table 6), and its strontium isotope composition may have been modified during fluid/rock interaction. The other sample (R76501, Table 6) collected outside the mine area is a metabasalt.
Lead isotopes: Lead isotope data for two galena samples were measured on polished thin sections by in situ analysis. The analyzed galena grains belong to sulfide-bearing retrograde assemblages that formed at lower temperatures (300–400 °C) than the prograde skarn minerals. The Biggenden galena samples have a narrow range of Pb isotope values and have 206Pb/204Pb, 207Pb/204Pb, and 208Pb/204Pb ratios that are similar to those of other hydrothermal deposits associated with Triassic intrusions in southeast Queensland (Figure 14; Table 7). The measured values are initial ratios because the U/Pb and Th/Pb ratios of galena are so low that isotopic ratios do not change significantly with time [61].

5. Discussion

5.1. Isotope Interpretations

The δ13C and δ18O values are relatively high in Biggenden marbles (Figure 11) and are similar to those of marbles elsewhere (e.g., [63]). Skarn calcite samples isotopically resemble calcite in other skarn deposits [64,65,66] and display a trend towards lighter δ13C and δ18O values compared to those of marble and limestone. Similar depletion trends have been reported for other skarn deposits worldwide [50], with initial limestone in the range of δ18O = 20 to 25% and δ13C = −2 to 5%, and final skarn calcite values near igneous values (Figure 11). This depletion can result either from the evolution of CO2 during decarbonation or from the interaction with infiltrating fluid (e.g., [67]). Metamorphic decarbonation preferentially removes heavy isotopes through the loss of CO2 (e.g., [68]), although the maximum decrease in δ18O by this mechanism in marbles is 2%. A large decrease in δ18O values in marbles and low δ13C values in skarn calcite has been interpreted in other skarns to be the result of water-rock exchange or infiltration metasomatism from multiple fluid sources mainly involving magmatic-hydrothermal fluids (e.g., [69]).
The isotopic composition of late-stage calcite is similar to that in some late-stage open space-filling calcite in other skarn deposits (e.g., [70]). Heavy δ18O values for late-stage calcite may indicate the interaction of magmatic fluids with more 18O-enriched sediments during skarn formation. The δ13C values for the calc-silicate hornfels are lower than those in the limestone samples and likely reflect the involvement of metasomatic fluids.
A good correlation between the δ18O values of calcite from skarns and the whole rock values of the associated plutons has been cited as evidence for the likely magmatic origin of most skarn-forming fluids (e.g., [71]). The δ18O value of Degilbo Granite and the mean value for skarn calcite are aligned with the correlation trend of Nabelek (1991) [71]. Moreover, the calculated δ18O of the metasomatic fluid in equilibrium with the skarn calcite at 500 °C (8.4–11%) (fractionation factors from Friedman and O’Neil, 1977 [72]) is close to that calculated for the fluid in equilibrium with the granite and anhydrous skarn silicates (Table 4).
The oxygen isotope composition of magnetite at Biggenden (2.4–4.4%) is similar to that in other Fe skarn deposits (e.g., Iron Hat skarn [73] and Peña Colorada deposit [74]). The range of oxygen isotope composition (8.1 to 10.4%) in the Biggenden garnet is similar to that in some gold skarns (e.g., Fortitude deposit [8]).
The δ18O values for the fluid in equilibrium with skarn minerals as well as mineral separates from the granite have been calculated for the related temperature ranges (Figure 15). In these calculations, a temperature of 550 °C has been used for prograde garnet and magnetite. This temperature estimate is based on fluid inclusion studies, isotope thermometry, and contact metamorphic assemblages of the hornblende-hornfels facies. A temperature of 650 °C was used in the calculations for the quartz and biotite separates from the Degilbo Granite, assuming that these minerals formed at this temperature during the crystallization of the granitic melt. The 300–400 °C temperature used for amphibole and epidote is based on the paragenetic relationship of these minerals in the retrograde assemblages, which formed earlier than chlorite and probably at slightly higher temperatures. Fluid inclusion studies in quartz associated with chlorite and thermometry based on the chemical composition of chlorite [39] indicate that chlorite formed at average temperatures of 310 °C.
The δ18O values of fluid in equilibrium with garnet and amphibole are slightly heavier than the δ18O of fluids in many skarn deposits associated with felsic magmatic rocks [75]. This could be due to the effect of fluid/rock interaction; granitoid-derived fluids interacted with more 18O-enriched sediments during skarn formation. However, the oxygen isotopic values of the fluid in equilibrium with chlorite in the retrograde assemblage are lower, and meteoric water is a more likely source for this fluid. The range of δ18O values for epidote could also indicate the involvement of meteoric water. The general decreasing trend of the δ18O in fluid from 8.0 to 3.0% has been attributed in other skarn deposits to the mixing of magmatic fluid with meteoric water (e.g., [67]).
Biotite from the Degilbo Granite has δD values (−114 to –133%, Figure 16, Table 4) that suggest equilibrium with magmatic water of δD = −80 to −99% (using the fractionation factors of Suzuoki and Epstein 1976 [58]). The δD values of biotite do not show systematic changes with distance from the igneous contact that could infer the mixing of magmatic waters with the meteoric waters. This is also supported by field and petrological evidence that the Degilbo Granite has not interacted significantly with the hydrothermal fluids. An effect of imposed weathering on the δD values of biotite is unlikely as the analyzed samples are quite fresh. The involvement of meteoric water that would be highly depleted in D, however, could be explained by the geographic position of this part of eastern Australia in Triassic time at a latitude of 50–55° S [76,77].
Amphibole samples have δD values of −133 to −126%, which is consistent with the contribution of meteoric water during the retrograde stage. Similarly, the isotopic composition of water in equilibrium with chlorite samples at 310 °C (fractionation factors from Taylor and O’Neil, 1977 [79]) is lighter and may suggest the presence of meteoric water during the retrograde skarn formation. In contrast, the δD values of water in equilibrium with the amphibole samples at 300–400 °C range between −48 and −81%, which is consistent with δD for magmatic water. Although the δ18O values of fluid in equilibrium with epidote show a slight shift towards the meteoric water composition, δD values for these fluids (−47 to −50% based on fractionation factors from Graham et al., 1980 [53]) are close to magmatic values. It is not clear to what extent the early prograde magmatic fluid was mixed with highly depleted meteoric water during the retrograde alteration, but the chlorite oxygen values show a significant contribution of meteoric water at the retrograde stage.
The sulfur isotope values of Biggenden sulfides are in the range of those for other magnetite-bearing skarn deposits and have been attributed to a magmatic origin (e.g., [2,60,80]). In terms of the Sr isotope values (Figure 12), the intermediate position of the ore-stage calcite between igneous rocks (Degilbo Granite and metabasalt) and sedimentary units (limestone and metasiltstone) may indicate that both the Degilbo Granite and the Gympie Group rocks supplied Sr to the hydrothermal fluid. The low initial 87Rb/86Sr ratios of the Degilbo Granite (0.70387–0.70404) are comparable to those of I-type granites (e.g., [22,23]). The lead isotope ratio suggests a model age of ~225 Ma for mineralization (Figure 14), which is consistent with the age proposed for the Degilbo Granite [15]. The lead isotope data also lie below the Cumming and Richards (1975) [81] growth curve, suggesting a mantle contribution to the ore Pb. Mantle Pb could have been derived from the Degilbo Granite, which is an I-type pluton, or by leaching of Pb from the Gympie Group basalts.

5.2. Classification of the Biggenden Skarn Deposit

Based on mineralogy and dominant metals present, the Biggenden deposit is a gold-bearing iron skarn [3,25]. Skarn deposits containing economic concentrations of magnetite are found in post-orogenic terrains similar to Biggenden and are associated with Fe-rich plutons [1]. However, Biggenden is different from typical island arc calcic magnetite skarn deposits, as they are usually associated with relatively primitive plutons and show widespread sodium metasomatism [1,3].
Biggenden has been mined for gold in the past, and it has common features with gold skarns. These common features include the presence of biotite hornfels, garnet-pyroxene alteration, clastic or volcaniclastic-rich protoliths, As and Bi minerals, and association with a shallow-level, silicic, magnetite-bearing pluton. Characteristics such as high ratios of garnet/pyroxene, low total sulfides, high abundance of pyrite, lack of pyrrhotite, minor occurrence of chalcopyrite and galena, and the presence of a pyrite and magnetite assemblage are all consistent with gold skarns, except that garnets are Fe-rich in Biggenden [82].
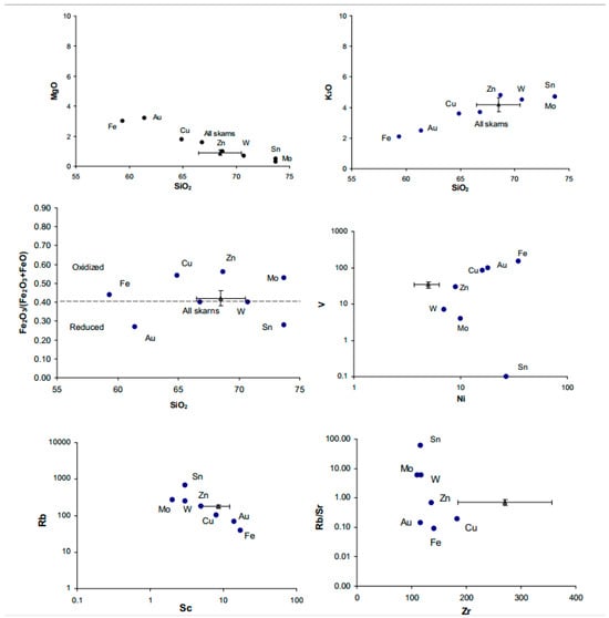
The average composition of the Degilbo Granite is higher in SiO2 (68.5%) and K2O (4.18%) and lower in MgO (0.9%) compared to plutons typically associated with Fe skarns (Figure 9). It is a weakly oxidized pluton and has an average Fe2O3/Fe2O3 + FeO ratio similar to plutons typically associated with Fe skarns (Figure 9). The Degilbo Granite has lower average values of Ni (5 ppm), Cr (9 ppm), V (34 ppm), and Sc (9 ppm) and also contains on average more Zr (270 ppm), Rb (176 ppm), Ba (694 ppm), and Sc (9 ppm) than plutons commonly associated with Fe skarns (Figure 9), which suggests that the Degilbo Granite crystallized from more fractionated magmas. It also has higher Rb/Sr (0.7) ratios than plutons associated with Fe-skarns (Figure 9). The major and trace element content of the Degilbo Granite is intermediate between the Fe-Cu-Au group and the Sn-W-Mo group of skarn-forming granitoids [3,82,83].
Garnet and pyroxene compositions from the Biggenden mine are analogous to those in several gold skarn deposits, particularly Nambija, Ecuador, and McCoy, Nevada [8]. The presence of Cl-rich scapolite in Biggenden is similar to both iron and gold skarn deposits (e.g., [36,84,85,86]).
Distribution of homogenization temperature data in the prograde-high temperature and retrograde-low temperature assemblages is common in iron skarns (e.g., Iron Hat [73]; Vyhne-Klokoc [87]). Moderate to high salinities and high homogenization temperatures in Biggenden are also similar to some gold skarn deposits [8].
In summary, in terms of ore mineralization, Biggenden is a gold-bearing iron skarn deposit. However, the associated granitic body, Degilbo Granite, at the exposed level is more fractionated, felsic, and oxidized than granites associated with common iron deposits. As a result, in terms of associated pluton, this deposit shows some similarities with Au and even the Sn-W-Mo group of skarn-forming granitoids.

5.3. Genetic Models

The spatial association of the Biggenden deposit with the Degilbo Granite may suggest that the ore-bearing fluids were derived directly from the adjacent pluton (model 1, Figure 17). Field evidence such as the scarcity of fracture systems and veins, lack of any significant structures that could act as fluid pathways, lack of greisen, and the general absence of endoskarn replacement in the granite may imply that there has been little infiltration across the contact into the pluton. The geochemical characteristics of the Degilbo Granite are analogous to those in intrusions associated with Fe-Cu-Au skarns as well as those associated with other skarn types. The presence of Cu and Au in the orebody suggests that there may be a genetic link between skarn mineralization and a deep-seated intermediate intrusion (perhaps of porphyry Cu-Au type) that provided some of the ore constituents, including Fe, Cu, and Au (model 2, Figure 17). It is noteworthy that a porphyry Cu system (Coalstoun deposit) is hosted by an early Triassic tonalitic intrusion in the district [88]. The formation of skarns from hidden intrusions has been suggested by other workers (e.g., [89,90,91]). There is, however, no field evidence (such as near-surface dikes) that could imply the presence of another pluton at depth.
Field relations, such as the proximity of ore deposition to a shear zone, numerous faults, and steeply dipping volcanic and sedimentary host rocks, suggest that the hydrothermal fluids responsible for skarn formation have most likely risen from depth along structural zones and sedimentary layer boundaries, rather than passing directly across the intrusive contact.
Geochemical studies of the orebody [19] show that “granitophile” elements Sn, W, Mo, and Bi are enriched. In addition, a genetic link between skarn mineralization and the emplacement of the Degilbo Granite is, to some extent, supported by isotopic evidence. Skarn calcite has δ13C and δ18O values, which indicate deposition from magmatically derived fluids with isotopic compositions similar to that calculated for the fluid in equilibrium with the Degilbo Granite. Moreover, the calculated δ18O values of the fluid in equilibrium with the skarn magnetite and amphibole are in the range of those for biotite and quartz from the Degilbo Granite. Lead and strontium isotope data also support a third genetic model, which involves both the Degilbo Granite and the Gympie Group.
The inconsistencies between the geochemical evidence (which suggests the role of the Degilbo Granite in the ore genesis) and the field evidence (that does not clearly support a direct genetic link between granite and skarn) can be explained by assuming that the Degibo Granite is in fact the source of hydrothermal fluids and metals but not at the current level of exposure. In our preferred model, hydrothermal fluids emanating from the Degilbo Granite at depth may have been channeled by the shear zone, intrusive contact, and through permeable Gympie Group rocks, reacted with adjacent marble and basalt, and deposited magnetite both as replacement bodies and as vein and breccia fillings. High-temperature and high-salinity fluids at Biggenden, similar to other Au-skarns [3,8], can transport significant amounts of gold as chloride complexes. This would allow a long-distance (and large-volume) metasomatic equilibration with low-Si and high-Fe rocks of the Gympie Group, leading to desilication of originally magmatic fluids and their enrichment in Fe and Ca (model 3, Figure 17).

6. Conclusions

  • The Biggenden Gold-Bearing Fe Skarn is a calcic magnetite skarn type that is hosted by the Early Permian volcanic and sedimentary rocks of the Gympie Group due to the intrusion of the Late Triassic Degilbo Granite.
  • The skarn mineralogy varies from the prograde garnet, clinopyroxene, magnetite, and scapolite to retrograde epidote and ferropargasite, followed by chlorite, calcite, actinolite, quartz, sulfides, gold, nontronite, and quartz.
  • The prograde mineralization occurred at a high temperature (500–600 °C) from high salinity (up to 45 equivalent wt % NaCl) hydrothermal fluids. Lower temperatures (280–360 °C) and lower salinity (5–15 equivalent wt % NaCl) solutions precipitated the retrograde sulfide minerals.
  • The δ18O values of the fluids indicate that the prograde minerals were precipitated from magmatic water, whereas the retrograde minerals were mainly deposited from a meteoric fluid. Sulfur was likely derived from a magmatic source.
  • Sr and Pb isotopes suggest that the volcanic and sedimentary rocks of the Gympie Group may have partially provided the metals to the hydrothermal solution.

Author Contributions

M.E. did fieldwork, analysis, and initial interpretation of data. A.K.S. helped in the mineral analysis, mineral calculations, and interpretation. P.M.A. helped with project initiation, methodology, and interpretation. All authors have read and agreed to the published version of the manuscript.

Funding

This work was funded by research scholarship from the University of New England, Australia.

Data Availability Statement

Data are contained within the article.

Acknowledgments

The study has benefited from discussions with Nick Stephenson, Peter Flood, Barrie McKelvey, Warwick Sivell, and Bernd Lottermoser. The authors would like to thank the Centre for Isotope Studies at the CSIRO, especially Anita Andrew, for their help with the isotope analyses. Commercial Minerals and Geoff Weekes are thanked for allowing access to the mine and the drill cores. The manuscript benefitted greatly from critical reviews by anonymous reviewers.

Conflicts of Interest

The authors declare no conflicts of interest.

References

  1. Einaudi, M.T.; Meinert, L.D.; Newberry, R.J. Skarn deposits. Econ. Geol. 1981, 75, 317–391. [Google Scholar]
  2. Meinert, L.D. Skarns and skarn deposits. Geosci. Can. 1992, 19, 145–162. [Google Scholar]
  3. Meinert, L.D.; Dipple, G.M.; Nicolescu, S. World Skarn Deposits. In Economic Geology; Hedenquist, J.W., Thompson, J.F.H., Goldfarb, R.J., Richards, J.P., Eds.; Society of Economic Geologists: Littleton, CO, USA, 2005; 100th Anniversary Volume, pp. 299–336. [Google Scholar]
  4. Ren, L.; Huang, J.; Wang, X.; Yang, S.; Yang, C.; Zhao, C.; Wang, L.; Mei, W.; Deng, M.; Zhou, Y. Magmatic control on orebody distribution of porphyry-skarn gold-copper deposit: A case study of Beiya deposit from Sanjiang metallogenic belt in the southwest China. Ore Geol. Rev. 2024, 175, 106350. [Google Scholar] [CrossRef]
  5. Sui, J.X.; Li, J.W.; Wen, G.; Jin, X.Y. The Dewulu reduced Au-Cu skarn deposit in the Xiahe-Hezuo district, West Qinling orogen, China: Implications for an intrusion-related gold system. Ore Geol. Rev. 2017, 80, 1230–1244. [Google Scholar] [CrossRef]
  6. Zhou, H.; Sun, X.; Wu, Z.; Huang, Q. Timing of skarn gold deposition in the giant Beiya polymetallic gold deposit, southwest China: Constraints from in situ monazite SIMS U-Th-Pb geochronology. Ore Geol. Rev. 2019, 106, 226–237. [Google Scholar] [CrossRef]
  7. Weekes, G. Biggenden magnetite mine, assessment of reserves March 1992 and preliminary proposal for final development, Commercial Minerals. 1992; Unpublished report No. 5/92. Brisbane, Queensland, Australia. [Google Scholar]
  8. Meinert, L.D. A review of skarns that contain gold. Mineral. Assoc. Can. Short Course Ser. 1988, 26, 359–414. [Google Scholar]
  9. Seccombe, P.K.; Downes, P.M.; Ashley, P.M.; Brathwaite, R.L.; Green, G.R.; Murray, C.G.; Rubenach, M.J. World Skarn Deposits: Skarns of the Southwest Pacific. In Economic Geology; Hedenquist, J.W., Thompson, J.F.H., Goldfarb, R.J., Richards, J.P., Eds.; Society of Economic Geologists: Littleton, CO, USA, 2005; 100th Anniversary Volume, pp. 299–336. [Google Scholar]
  10. Clarke, D.E. The Geology of the Mount Biggenden Gold and Bismuth Mine and Environs. Unpublished Bachelor’s Thesis, University of Queensland, Brisbane, Australia, 1963; p. 137. [Google Scholar]
  11. Clarke, D.E. Geology of the Mount Biggenden Gold and Bismuth Mine and Environs; Report nr. 32; Geological Survey of Queensland: Brisbane, Australia, 1 January 1969; p. 16. [Google Scholar]
  12. Tellam, L. Geology of the Mt. Biggenden Magnetite Mine Environs, Southeast Queensland, Geochemical and Mineralogical Aspects. Unpublished Bachelor’s Thesis, University of Queensland, Brisbane, Australia, 1980; p. 71. [Google Scholar]
  13. Li, P.; Rosenbaum, G.; Yang, J.; Hoy, D. Australian-derived detrital zircons in the Permian-Triassic Gympie terrane (eastern Australia): Evidence for an autochthonous origin. Tectonics 2015, 34, 858–874. [Google Scholar] [CrossRef]
  14. Holcombe, R.J.; Stephens, C.J.; Fielding, C.R.; Gust, D.; Little, A.; Sliwa, R.; Kassan, J.; McPhie, J.; Ewart, A. Tectonic evolution of the northern New England fold belt: The Permian-Triassic Hunter-Bowen event. In Tectonics and Metallogenesis of the New England Orogen; Ashley, P.M., Flood, P.G., Eds.; Geological Society Special Publication: London, UK, 1997; Volume 19, pp. 52–65. [Google Scholar]
  15. Cranfield, L.C. 1: 250,000 Geological Series-Explanatory Notes, Maryborough; Queensland Sheet SG56-6; Department of Minerals and Energy: Brisbane, Australia, 1994; p. 120. [Google Scholar]
  16. Jell, P.A.; Cranfield, L.C. Gympie Province. In Geology of Queensland; Jell, P.A., Ed.; Geological Survey of Queensland: Brisbane, Australia, 2013; pp. 369–371. [Google Scholar]
  17. Sivell, W.J.; Waterhouse, J.B. Petrogenesis of Gympie Group volcanics; evidence for remnants of an Early Permian volcanic arc in eastern Australia. Lithos 1988, 21, 81–95. [Google Scholar] [CrossRef]
  18. Hoy, D.; Rosenbaum, G. Episodic behavior of Gondwanide deformation in eastern Australia: Insights from the Gympie Terrane. Tectonics 2017, 36, 1497–1520. [Google Scholar] [CrossRef]
  19. Edraki, M. Geochemistry, Mineralogy and Genesis of the Biggenden Au-Bi-Fe Skarn Deposit, Southeast Queensland, Australia. Unpublished Ph.D. Thesis, University of New England, Armidale, Australia, 2000; p. 318. [Google Scholar]
  20. Cranfield, L.C.; Murray, C.G. Geochemistry and tectonic setting of granitic rocks in the Maryborough 1:250 000 sheet area, Southeast Queensland—Caractéristiques géochimiques et tectoniques des roches granitiques sur la feuille au 1:250 000 de Maryborough, SE de Queensland. Queensl. Gov. Min. J. 1989, 90, 408–415. [Google Scholar]
  21. Webb, A.W.; McDougall, I. Isotopic dating evidence on the age of the Upper Permian and Middle Triassic. Earth and Planetary Sci. Lett. 1967, 2, 483–488. [Google Scholar] [CrossRef]
  22. Chappell, B.W.; White, A.J.R. I- and S-type granites in the Lachlan Fold Belt. Trans. R. Soc. Edinb. Earth Sci. 1992, 83, 1–26. [Google Scholar]
  23. Chappell, B.W.; White, A.J.R. Two contrasting granite types: 25 years later. Aust. J. Earth Sci. 2001, 48, 489–499. [Google Scholar] [CrossRef]
  24. Cobine, T.J. The Analytic Signal and Cross-Correlation Applied in Rapid, Detailed Analysis of Aeromagnetic and Radiometric Data. Unpublished Master’s Thesis, University of New England, Armidale, Australia, 1997; p. 75. [Google Scholar]
  25. Roedder, E. Fluid inclusions. Rev. Mineral. 1984, 12, 644. [Google Scholar]
  26. Clayton, R.N.; Mayeda, T.K. The use of bromine pentafluoride in the extraction of oxygen from oxides and silicates for isotopic analysis. Geochem. Cosmochim. Acta 1963, 27, 43–52. [Google Scholar] [CrossRef]
  27. Friedman, I. Deuterium content of natural waters. Geochim. Cosmochim. Acta 1953, 4, 89–103. [Google Scholar] [CrossRef]
  28. Robinson, B.W.; Kusakabe, M. Quantitative preparation of sulfur dioxide for 34S/32S analysis from sulfides by combustion with cuprous oxide. Anal. Chem. 1975, 47, 1179–1181. [Google Scholar] [CrossRef]
  29. McCrea, J.M. The isotope geochemistry of carbonates and a paleotemperature scale. J. Chem. Phys. 1950, 18, 849–857. [Google Scholar] [CrossRef]
  30. Sies, S.H.; Niklaus, T.R.; Sims, D.A.; Bruhn, F.; Suter, G.; Cripps, G. AUSTRALIS: A new tool for the study of isotopic systems and geochronology in mineral systems. Aust. J. Earth Sci. 2002, 49, 601–611. [Google Scholar]
  31. Theodore, T.G.; Orris, G.J.; Hammarstrom, J.M.; Bliss, J.D. Gold-Bearing Skarns, 1930th ed.; U.S. Government Printing Office: Washington, DC, USA, 1991; pp. 1–35. [Google Scholar]
  32. Nakano, T.; Yoshino, T.; Shimazaki, H.; Shimizu, M. Pyroxene composition as an indicator in the classification of skarn deposits. Econ. Geol. 1994, 89, 567–1580. [Google Scholar] [CrossRef]
  33. Matsueda, H. Pyrometasomatic iron-copper ore deposits of the Sampo Mine, Okayama Prefecture; II, The modes of occurrences, mineral paragenesis and chemical compositions of skarn and ore. Min. Geol. 1981, 6, 1–43. [Google Scholar]
  34. Einaudi, M.T.; Burt, D.M. Introduction—Terminology, classification, and composition of skarn deposits. Econ. Geol. 1982, 77, 745–754. [Google Scholar] [CrossRef]
  35. Meinert, L.D. Gold skarn deposits–geology and exploration criteria. Econ. Geol. 1989, 65, 537–552. [Google Scholar]
  36. Pan, Y. Scapolite in skarn deposits; petrogenetic and geochemical significance. Mineral. Assoc. Can. Short Course Handb. 1998, 26, 169–210. [Google Scholar]
  37. Pan, Y.; Fleet, M.E.; Ray, G.E. Scapolite in two Canadian gold deposits: Nickel Plate British Columbia and Hemlo. Ontario Can. Mineral. 1994, 32, 825–837. [Google Scholar]
  38. Meinert, L.D. Mineralogy and petrology of iron skarns in western British Columbia, Canada. Econ. Geol. 1984, 79, 869–882. [Google Scholar] [CrossRef]
  39. Cathelineau, M. The chlorite and illite geothermometers. Chem. Geol. 1988, 70, 182–183. [Google Scholar] [CrossRef]
  40. Le Bas, M.J.; Streckeisen, A.L. The IUGS systematics of igneous rocks. J. Geol. Soc. Lond. 1991, 148, 825–833. [Google Scholar] [CrossRef]
  41. Peccerillo, A.; Taylor, S.R. Geochemistry of Eocene calc-alkaline volcanic rocks from the Castamoun area, northern Turkey. Contrib. Mineral. Petrol. 1976, 58, 63–81. [Google Scholar] [CrossRef]
  42. Kwak, T.A.P. Fluid inclusions in skarns (carbonate replacement deposits). J. Metamorph. Geol. 1986, 4, 363–384. [Google Scholar] [CrossRef]
  43. Kwak, T.A.P.; Tan, T.H. The geochemistry of zoning in skarn minerals at the King Island (Dolphin) Mine. Econ. Geol. 1981, 76, 468–497. [Google Scholar] [CrossRef]
  44. Meinert, L.D. Skarn zonation and fluid evolution in the Groundhog Mine, Central mining district, New Mexico. Econ. Geol. 1987, 82, 523–545. [Google Scholar] [CrossRef]
  45. Potter, R.W.; Clynne, M.A.; Brown, D.L. Freezing point depression of aqueous sodium chloride solutions. Econ. Geol. 1978, 73, 284–285. [Google Scholar] [CrossRef]
  46. Bodnar, R. Revised equation and table for determining the freezing point depression of H2O-Nacl solutions. Geochim. Cosmochim. Acta 1993, 57, 683–684. [Google Scholar] [CrossRef]
  47. Lentz, D.R. Carbonatite genesis: A reexamination of the role of intrusion-related pneumatolytic skarn processes in limestone melting. Geology 1999, 27, 335–338. [Google Scholar] [CrossRef]
  48. Xu, X.; Xu, X.; Szmihelsky, M.; Yan, J.; Xie, Q.; Steele-MacInnis, M. Melt inclusion evidence for limestone assimilation, calc-silicate melts, and “magmatic skarn”. Geology 2023, 51, 491–495. [Google Scholar] [CrossRef]
  49. Ohmoto, H. Stable isotope geochemistry of ore deposits. In Stable Isotopes in High Temperature Geological Processes; Valley, J.W., Taylor, H.P., O’Neil, J.R., Eds.; Mineralogical Society of America: Chantilly, VA, USA, 1986; Volume 16, pp. 491–559. [Google Scholar]
  50. Valley, J.W. Stable isotope geochemistry of metamorphic rocks. Rev. Mineral. 1986, 16, 445–489. [Google Scholar]
  51. Taylor, H.P.; Sheppard, S.M.F. Igneous rocks, I. Processes of isotopic fractionation in isotope systematics. Rev. Mineral. 1986, 16, 227–271. [Google Scholar]
  52. Bottinga, Y.; Javoy, M. Comments on oxygen isotope geothermometry. Earth Planet. Sci. Lett. 1973, 20, 250–265. [Google Scholar] [CrossRef]
  53. Graham, C.M.; Sheppard, S.M.F.; Heaton, T.H.E. Experimental hydrogen isotope studies—I. Systematics of hydrogen isotope fractionation in the systems epidote-H2O, zoisite-H2O and AlO(OH)-H2O. Geochimica Cosmochimica Acta 1980, 44, 353–364. [Google Scholar] [CrossRef]
  54. Bottinga, Y.; Javoy, M. Oxygen isotope partitioning among the minerals in igneous and metamorphic rocks. Rev. Geophys. 1975, 13, 401–418. [Google Scholar] [CrossRef]
  55. Matsushisa, Y.; Goldsmith, N.; Tanaka, T. Oxygen isotope fractionation in the system quartz-albite-anorthite-water. Geochim. Cosmochim. Acta 1979, 43, 1131–1140. [Google Scholar] [CrossRef]
  56. Wenner, D.B.; Taylor, H.P., Jr. Temperatures of serpentinization of ultramafic rocks based on 18O/16O fractionation between coexisting serpentine and magnetite. Contrib. Mineral. Petrol. 1971, 32, 165–185. [Google Scholar] [CrossRef]
  57. Graham, C.M.; Harmon, R.S.; Sheppard, S.M.F. Experimental hydrogen isotope studies, hydrogen isotope exchange between amphibole and water. Am. Mineral. 1984, 69, 128–138. [Google Scholar]
  58. Suzuoki, T.; Epstein, S. Hydrogen isotope fractionation between OH-bearing minerals and water. Geochim. Cosmochim. Acta 1976, 40, 1229–1240. [Google Scholar] [CrossRef]
  59. Kyser, T.K. Equilibrium fractionation factors for stable isotopes. In Stable Isotope Geochemistry of Low Temperature Processes; Mineralogical Association of Canada: Montreal, QC, Canada, 1987; Volume 13, pp. 1–84. [Google Scholar]
  60. Ohmoto, H.; Goldhaber, M.B. Sulfur and carbon isotopes. In Geochemistry of Hydrothermal Ore Deposits, 3rd ed.; Barnes, H.L., Ed.; John Wiley and Sons: New York, NY, USA, 1997; pp. 517–612. [Google Scholar]
  61. Faure, G. Principles of Isotope Geology, 2nd ed.; John Wiley and Sons: New York, NY, USA, 1986; p. 589. [Google Scholar]
  62. Carr, G.R.; Dean, J.A.; Suppel, D.W.; Heithersay, P.S. Precise lead isotope fingerprinting of hydrothermal activity associated with Ordovician to Carboniferous metallogenic events in the Lachlan Fold Belt of New South Wales. Econ. Geol. 1995, 90, 1467–1505. [Google Scholar] [CrossRef]
  63. Cartwright, I.; Weaver, T.R. Fluid-rock interaction between syenites and marbles at Stephen Cross Quarry, Québec, Canada: Petrological and stable isotope data. Contrib. Mineral. Petrol. 1993, 113, 533–544. [Google Scholar] [CrossRef]
  64. Baker, T.; Lang, J.R. Reconciling fluid inclusions, fluid processes and fluid source in skarns: An example from the Bismarck skarn deposit, Mexico. Miner. Depos. 2003, 38, 474–495. [Google Scholar] [CrossRef]
  65. Bowman, J.R. Stable-isotope systematics of skarns. Mineral. Assoc. Can. Short Course Ser. 1998, 26, 99–145. [Google Scholar]
  66. Bowman, J.R.; O’Neil, J.R.; Essene, E.J. Contact skarn formation at Elkhorn, Montana. II: Origin and evolution of C-O-H skarn fluids. Am. J. Sci. 1985, 285, 621–660. [Google Scholar]
  67. Vander-Auwera, J.; Andre, L. Trace elements (REE) and isotopes (O, C, Sr) to characterize the metasomatic fluid sources: Evidence from the skarn deposit (Fe, W, Cu) of Traversella (Ivrea, Italy). Contrib. Mineral. Petrol. 1991, 106, 325–339. [Google Scholar] [CrossRef]
  68. Taylor, B.E. Stable isotope geochemistry of ore-forming fluids. Mineral. Assoc. Can. Short Course Handb. 1987, 13, 377–445. [Google Scholar]
  69. Zaw, K.; Singoyi, B. Formation of Magnetite-Scheelite Skarn Mineralization at Kara, Northwestern Tasmania: Evidence from Mineral Chemistry and Stable Isotopes. Econ. Geol. 2000, 95, 1215–1230. [Google Scholar] [CrossRef]
  70. So, C.-S.; Rye, D.M.; Shelton, K.L. Carbon, hydrogen, oxygen, and sulfur isotope and fluid inclusion study of the Weolag tungsten-molybdenum deposit, Republic of Korea; fluid histories of metamorphic and ore-forming events. Econ. Geol. 1983, 78, 1551–1573. [Google Scholar] [CrossRef]
  71. Nabelek, P.I. Stable isotope monitors. In Contact Metamorphism; Kerrick, D.M., Ed.; Reviews in Mineralogy: Chantilly, VA, USA, 1991; Volume 26, pp. 395–435. [Google Scholar]
  72. Friedman, I.; O’Neil, J.R. Compilation of stable isotope fractionation factors of geochemical interest. In Data of Geochemistry; Fleischer, M., Ed.; United States Government Printing Office: Washington, DC, USA, 1977. [Google Scholar]
  73. Hall, D.L.; Cohen, L.H.; Schiffman, P. Hydrothermal alteration associated with Iron Hat skarn deposit, San Bernardino County, California. Econ. Geol. 1988, 83, 568–587. [Google Scholar] [CrossRef]
  74. Zürcher, L.; Ruiz, J.; Barton, M.D. Paragenesis, elemental distribution, and stable isotopes at the Peña Colorada iron skarn, Colima, Mexico. Econ. Geol. 2001, 96, 535–557. [Google Scholar] [CrossRef]
  75. Taylor, H.P. Comparison of hydrothermal systems in layered gabbros and granites and the origin of low 18O magmas. Geochem. Soc. Spec. Publ. 1987, 1, 337–357. [Google Scholar]
  76. Ashley, P.M.; Andrew, A.S. The Mt Ninderry acid sulphate alteration zone and its relation to epithermal mineralization in the North Arm Volcanics, southeast Queensland. Aust. J. Earth Sci. 1992, 39, 79–98. [Google Scholar] [CrossRef]
  77. Sun, S.S.; Eadington, P.J. Oxygen isotope evidence for the mixing of magmatic and meteoric waters during tin mineralization in the Mole Granite, New South Wales, Australia. Econ. Geol. 1987, 82, 45–52. [Google Scholar] [CrossRef]
  78. Taylor, H.P. Oxygen and hydrogen isotope studies of plutonic granite rocks. Earth Planet. Sci. Lett. 1974, 38, 177–210. [Google Scholar] [CrossRef]
  79. Taylor, B.E.; O’Neil, J.R. Stable isotope studies of metasomatic Ca-Fe-Al-Si skarns and associated metamorphic and igneous rocks, Osgood Mountains, Nevada. Contrib. Mineral. Petrol. 1977, 63, 1–49. [Google Scholar] [CrossRef]
  80. Baranov, E.N.; Grinenko, L.N.; Pavlov, G.P. Pyrite sulfur isotope compositions in Ural skarn-magnetite deposits. Geochem. Int. 1986, 23, 81–90. [Google Scholar]
  81. Cumming, G.L.; Richards, J.R. Ore lead isotope ratios in a continuously changing earth. Earth Planet. Sci. Lett. 1975, 28, 155–171. [Google Scholar] [CrossRef]
  82. Meinert, L.D. Compositional variation of igneous rocks associated with skarn deposits—Chemical evidence for a genetic connection between petrogenesis and mineralization. Mineral. Assoc. Can. Short Course 1995, 23, 401–418. [Google Scholar]
  83. Newberry, R.J. The formation of sub-calcic garnet in scheelite-bearing skarns. Can. Mineral. 1983, 21, 529–544. [Google Scholar]
  84. Frietsch, R.; Tuisku, P.; Martinsson, O.; Perdahl, J.-A. Early proterozoic Cu, Au, and Fe ore deposits associated with regional NaCl metasomatism in northern Fennoscandia. Ore Geol. Rev. 1998, 12, 1–34. [Google Scholar] [CrossRef]
  85. Steven, N.M.; Moore, J.M. Pan-African tungsten skarn mineralization at the Otjua Prospect, central Namibia. Econ. Geol. 1994, 89, 1431–1453. [Google Scholar] [CrossRef]
  86. Zhao, Y.; Lin, W.; Bi, C.; Li, D.; Jiang, C. Skarn Deposits of China; Chinese Academy Geological Sciences: Beijing, China, 1994. [Google Scholar]
  87. Kodera, P.; Rankin, A.H.; Lexa, J. Evolution of fluids responsible for iron skarn mineralization: An example from the Vyhne-Klokoc deposit, Western Carpathians, Slovakia. Mineral. Petrol. 1998, 64, 119–147. [Google Scholar] [CrossRef]
  88. Ashley, P.M.; Billington, W.G.; Graham, R.L.; Neale, R.C. Geology of the Coalstoun porphyry copper prospect, southeast Queensland, Australia. Econ. Geol. 1978, 73, 945–965. [Google Scholar] [CrossRef]
  89. Lee, C.H.; Lee, H.K.; Kim, S.J. Geochemistry and mineralization age of magnesian skarn-type iron deposits of the Janggun mine, Republic of Korea. Miner. Depos. 1998, 33, 379–390. [Google Scholar] [CrossRef]
  90. Meinert, L.D. Skarn, manto, and breccia pipe formation in sedimentary rocks of the Cananea mining district, Sonora, Mexico. Econ. Geol. 1982, 77, 919–949. [Google Scholar] [CrossRef]
  91. Mueller, A.G. The Savage Lode magnesian skarn in the Marvel Loch gold-silver mine, Southern Cross greenstone belt, Western Australia, Part 1; Structural setting, petrography, and geochemistry. Can. J. Earth Sci. 1991, 28, 659–685. [Google Scholar] [CrossRef]
Figure 2. Regional geological map of the Biggenden mine area. Location of Figure 3 is shown as white rectangle. Geology modified after [15].
Figure 2. Regional geological map of the Biggenden mine area. Location of Figure 3 is shown as white rectangle. Geology modified after [15].
Minerals 15 00095 g002
Figure 3. Geological map of the open pit area at the Biggenden mine (after [15]).
Figure 3. Geological map of the open pit area at the Biggenden mine (after [15]).
Minerals 15 00095 g003
Figure 4. Photographs showing field features at the Biggenden mine. (A) Part of the open pit shows outcrops of dark-brown-gray lenticular magnetite bodies set in a cement of coarse-grained hydrothermal calcite. Lenses of marble occur behind and to the right of the person in the photograph. The upper part of the photograph shows outcrops of hornfels. (B) Brecciation showing meter-size fragments of breccia set in a cement of coarse calcite. Fragments comprise magnetite, skarn silicates (predominantly garnet), and remnants of the hornfels protoliths. (C) Garnet assemblage formed as reaction skarn at the contact of marble and volcaniclastic rocks. (D) Prograde veining and replacement of the volcaniclastic rocks at the open pit by garnet skarn are followed by the deposition of hornblende at a later retrograde stage.
Figure 4. Photographs showing field features at the Biggenden mine. (A) Part of the open pit shows outcrops of dark-brown-gray lenticular magnetite bodies set in a cement of coarse-grained hydrothermal calcite. Lenses of marble occur behind and to the right of the person in the photograph. The upper part of the photograph shows outcrops of hornfels. (B) Brecciation showing meter-size fragments of breccia set in a cement of coarse calcite. Fragments comprise magnetite, skarn silicates (predominantly garnet), and remnants of the hornfels protoliths. (C) Garnet assemblage formed as reaction skarn at the contact of marble and volcaniclastic rocks. (D) Prograde veining and replacement of the volcaniclastic rocks at the open pit by garnet skarn are followed by the deposition of hornblende at a later retrograde stage.
Minerals 15 00095 g004
Figure 5. Geology of level 5 at the Biggenden mine (A) and cross-section along line 950 mN (B) (after [7]; Edraki, 2000 [15]).
Figure 5. Geology of level 5 at the Biggenden mine (A) and cross-section along line 950 mN (B) (after [7]; Edraki, 2000 [15]).
Minerals 15 00095 g005
Figure 6. Schematic diagram showing paragenetic stages of skarn formation and mineralization at the Biggenden mine. Short dash lines show discontinuous mineralization. Question mark indicates possible mineralization.
Figure 6. Schematic diagram showing paragenetic stages of skarn formation and mineralization at the Biggenden mine. Short dash lines show discontinuous mineralization. Question mark indicates possible mineralization.
Minerals 15 00095 g006
Figure 7. (A) Photomicrograph of gold (G) and bismuthinite (Bis) filling a fracture in magnetite (Mag) and/or replacing magnetite along a grain boundary. (B) Association of gold and magnetite. The linear arrangement of the small grains of gold may indicate that they follow a grain boundary in the magnetite aggregate. (C) Association of magnetite, pyrite (Py), chalcopyrite (Ccp), cobaltite (Co), and covellite (Cv). All are in reflected, plane-polarized light, and the scale bars are 50 μm.
Figure 7. (A) Photomicrograph of gold (G) and bismuthinite (Bis) filling a fracture in magnetite (Mag) and/or replacing magnetite along a grain boundary. (B) Association of gold and magnetite. The linear arrangement of the small grains of gold may indicate that they follow a grain boundary in the magnetite aggregate. (C) Association of magnetite, pyrite (Py), chalcopyrite (Ccp), cobaltite (Co), and covellite (Cv). All are in reflected, plane-polarized light, and the scale bars are 50 μm.
Minerals 15 00095 g007
Figure 8. Ternary plots of Biggenden skarn clinopyroxene (A) and garnet (B) compositions (black circles) compared to Fe, Au, Zn, and Cu skarns [2]. The white circles represent garnets in the ore. Jo = Johannsenite, Hd = Hedenbergite, Di = Diopside, Alm-Sps = Almandine-spessartine, Adr = Andradite, Grs = Grossular.
Figure 8. Ternary plots of Biggenden skarn clinopyroxene (A) and garnet (B) compositions (black circles) compared to Fe, Au, Zn, and Cu skarns [2]. The white circles represent garnets in the ore. Jo = Johannsenite, Hd = Hedenbergite, Di = Diopside, Alm-Sps = Almandine-spessartine, Adr = Andradite, Grs = Grossular.
Minerals 15 00095 g008
Figure 9. Average major and trace element content of plutons associated with different types of skarn deposits (filled circles after [3,8]), compared to the average composition of the Degilbo Granite (triangle, data from Table 2). Bars show the range of compositions of analyzed samples.
Figure 9. Average major and trace element content of plutons associated with different types of skarn deposits (filled circles after [3,8]), compared to the average composition of the Degilbo Granite (triangle, data from Table 2). Bars show the range of compositions of analyzed samples.
Minerals 15 00095 g009
Figure 10. (A) Frequency distribution of the homogenization temperatures of primary fluid inclusions in garnet, calcite, and quartz samples. (B) Frequency distribution of the salinity (wt % equiv NaCl) based on the last ice melting and halite dissolution temperature measurements.
Figure 10. (A) Frequency distribution of the homogenization temperatures of primary fluid inclusions in garnet, calcite, and quartz samples. (B) Frequency distribution of the salinity (wt % equiv NaCl) based on the last ice melting and halite dissolution temperature measurements.
Minerals 15 00095 g010
Figure 11. Carbon versus oxygen isotope diagram showing the isotopic compositions of the marble, limestone, ore calcite associated with magnetite skarn, fine-grained interstitial calcite, calcite from the late-stage retrograde alteration, and calcite from calcsilicate hornfels. The curve defines an inferred evolutionary trend from heavier oxygen and carbon isotope values in limestone and marble to lighter values in skarn, as the result of decarbonation and interaction of the infiltrating fluid. The box represents igneous carbonate (after [50]).
Figure 11. Carbon versus oxygen isotope diagram showing the isotopic compositions of the marble, limestone, ore calcite associated with magnetite skarn, fine-grained interstitial calcite, calcite from the late-stage retrograde alteration, and calcite from calcsilicate hornfels. The curve defines an inferred evolutionary trend from heavier oxygen and carbon isotope values in limestone and marble to lighter values in skarn, as the result of decarbonation and interaction of the infiltrating fluid. The box represents igneous carbonate (after [50]).
Minerals 15 00095 g011
Figure 12. Sulfur isotope composition of the Biggenden sulfides compared to those of other skarn deposits in the world (data from [60]).
Figure 12. Sulfur isotope composition of the Biggenden sulfides compared to those of other skarn deposits in the world (data from [60]).
Minerals 15 00095 g012
Figure 13. Plot of 87Sr/86Sr isotope ratios for different rocks in the Biggenden area compared to those of three ore-stage calcite samples from the Biggenden mine.
Figure 13. Plot of 87Sr/86Sr isotope ratios for different rocks in the Biggenden area compared to those of three ore-stage calcite samples from the Biggenden mine.
Minerals 15 00095 g013
Figure 14. Lead isotope ratios for galena samples from the Biggenden mine and two other deposits (Ban Ban Zn skarn and Mt Mudlo mesothermal Cu-Mo-W vein) related to the Triassic granitoids in southeast Queensland. Fields for Devonian and Carboniferous granites from the Lachlan Fold Belt of eastern Australia are from [62]. New England Orogen granite ellipse from G. Carr (unpublished data).
Figure 14. Lead isotope ratios for galena samples from the Biggenden mine and two other deposits (Ban Ban Zn skarn and Mt Mudlo mesothermal Cu-Mo-W vein) related to the Triassic granitoids in southeast Queensland. Fields for Devonian and Carboniferous granites from the Lachlan Fold Belt of eastern Australia are from [62]. New England Orogen granite ellipse from G. Carr (unpublished data).
Minerals 15 00095 g014
Figure 15. Calculated δ18O values for the fluids in equilibrium with the skarn minerals and mineral separates from the Degilbo Granite (see Table 4). The range for magmatic and meteoric waters is from [68].
Figure 15. Calculated δ18O values for the fluids in equilibrium with the skarn minerals and mineral separates from the Degilbo Granite (see Table 4). The range for magmatic and meteoric waters is from [68].
Minerals 15 00095 g015
Figure 16. Calculated δ18O versus δD diagram for fluids at temperatures in the range of 300–550 °C in equilibrium with skarn minerals and biotite samples from granite (see Table 4). The field for magmatic water and the line for meteoric waters are from [78].
Figure 16. Calculated δ18O versus δD diagram for fluids at temperatures in the range of 300–550 °C in equilibrium with skarn minerals and biotite samples from granite (see Table 4). The field for magmatic water and the line for meteoric waters are from [78].
Minerals 15 00095 g016
Figure 17. Possible genetic models proposed for the formation of magnetite skarn at the Biggenden mine. Metasomatism of SiO2, Ca, and Fe is shown schematically. Numbers refer to the potential sources of metals.
Figure 17. Possible genetic models proposed for the formation of magnetite skarn at the Biggenden mine. Metasomatism of SiO2, Ca, and Fe is shown schematically. Numbers refer to the potential sources of metals.
Minerals 15 00095 g017
Table 1. Range of chemical composition of garnet, amphibole, epidote, chlorite, and scapolite from the Biggenden mine. The number of analyses is in parentheses.
Table 1. Range of chemical composition of garnet, amphibole, epidote, chlorite, and scapolite from the Biggenden mine. The number of analyses is in parentheses.
GarnetClinopyroxene
AssemblageGarnet-Pyroxene
(2)
Magnetite Ore
(2)
Garnet Skarn
(2)
Calc-Silicate
(2)
Garnet-Pyroxene
(4)
Magnetite Ore
(2)
Pyroxene-Plagioclase
(4)
SiO237.46–37.8037.04–37.2636.83–37.4836.9–37.72SiO249.8–51.9551.14–51.8250.88–53.8
TiO21.03–1.790.88–21.590.79–2.120.53–2.07TiO2ND-0.43ND-0.20ND
Al2O38.64–9.239.40–11.155.93–8.779.86–11.73Al2O31.22–1.851.50–2.870.20–0.92
Fe2O3 *16.01–16.2415.71–15.9516.19–22.3711.99–15.76Fe2O3 *0.85–1.92ND-1.88ND-1.30
FeO0.32–0.720.89–2.040.28–0.651.01–6.79FeO *0.14–15.080.81–14.898.94–14.93
MnO0.91–1.741.19–1.190.68–1.070.28–0.31MnOND-1.311.47–1.550.35–1.32
MgONDND-0.96ND-0.31NDMgO9.68–14.848.49–16.189.18–13.08
CaO32.72–33.630.8–33.1532.79–33.2929.21–33.69CaO22.97–25.7722.60–24.2621.84–23.84
Total 98.91–99.3099.21–100.0099.57–10098.49–99.36Total99.15–100.9199.49–100.1799.39–100.09
Number of ions on the basis of 24 O Cations on the basis of 6 O
Si6.02–6.055.94–5.965.99–6.035.94–6.02Si1.87–1.991.90–1.971.96–2.01
Ti0.12–0.220.11–0.190.1–0.260.06–0.25TiND-0.01ND-0.01ND
AlIV1.63–1.750.04–0.060.01–1.151.81–2.21AlIVND-0.070.03–0.10ND-0.04
AlVIND1.71–2.06ND-1.64ND-0.06AlVIND-0.010.02–0.04ND-0.01
Fe3+2.15–2.171.85–2.142.17–2.761.60–2.12Fe3+0.03–0.19ND-0.06ND-0.04
Fe2+0.04–0.100.12–0.310.04–0.090.13–0.92Fe2+0.03–0.480.03–0.480.28–0.49
Mn0.12–0.240.16–0.310.1–0.150.04MnND-0.040.050.01–0.04
MgNDND-0.23ND-0.08NDMg0.55–0.830.49–0.890.53–0.73
Ca5.64–5.775.28–5.695.7–5.795.04–5.76Ca0.93–1.040.93–0.960.91–0.98
Total 16.0116–16.0116–16.0316.00Total 4.003.99–4.003.98–4.00
Pyrope0.000.00–3.820.00–1.280.00Johannsenite0.0–4.54.5–5.01.1–3.9
Almandine0.73–1.621.99–5.230.64–1.462.27–15.24Diopside51.4–77.847.9–87.350.1–71.5
Spessartine2.08–3.972.70–2.711.59–2.440.64–0.70Hedenbergite20.5–47.48.2–47.127.4–45.9
Grossularite36.75–37.1936.79–39.1424.69–34.9329.35–50.34
Andradite57.23–60.4449.11–58.5161.17–71.846.76–54.71
Amphibole Epidote (4) Chlorite (5) Scapolite
Skarn (6)Contact
metamorphic (2)
SiO237.76–48.9245.82–50.18SiO237.46–38.7SiO226.79–31.29SiO254.26–59.73
TiO2ND-0.50NDTiO2ND-0.27Al2O316.5–18.79Al2O325.09–26.34
Al2O34.68–15.177.42–12.89Al2O322.54–24.7FeO *26.79–31.29CaO5.95–9.90
FeO19.30–24.709.13–12.73Fe2O310.44–3.32MnO0.75–1.170Na2O7.56–8.92
MnO0.71–1.03ND-0.57MnOND-0.33MgO6.75–15.01K2O0.21–1.04
MgO4.84–9.4413.74–15.97CaO23.1–24.61Total86.48–89.24ClND-3.43
CaO11.43–12.8110.75–11.69Na2O0.41–0.64 −O=ClND-0.77
Na2O0.33–2.741.57–3.62Total96.34–98.87 Total99.24–100.82
K2O0.28–1.870.22–0.26
ClND-0.72ND-0.22
−O=ClND-0.16ND-0.05
Total97.16–99.2698.33–98.40
Number of ions on the basis of 23 O Numbers of ions on the basis of 25 O Number of ions on the basis of 25 O
Si5.84–7.376.53–7.25Si5.98–6.11Si5.73–5.95Si7.58–8.31
AlIV0.63–2.160.75–1.47TiND-0.03AlIV2.05–2.27Al4.12–4.34
AlVI0.20–0.650.52–0.69Al4.22–4.64AlVI1.97–2.65Ca0.89–1.48
TiND-0.06NDFe3+1.25–1.59Fe2+4.75–6.34Na2.06–2.41
Fe3+ *0.05–0.480.12–0.36MnND-0.04Mn0.14–0.21K0.04–0.18
Fe2+1.97–3.090.56–1.41Ca3.93–4.18Mg2.44–4.74ClND-0.82
Mn0.09–0.13ND-0.07Na0.13–0.20 Total15.65–16.45
Mg1.12–2.122.96–3.39Total 16.06–16.16Total cations19.24–19.71
Ca1.91–2.071.64–1.81
Na0.10–0.830.44–1.00Clinozoisite73.50–80.20
K0.05–0.370.04–0.05Pistacite19.80–26.50
Cl0.00–0.19ND-0.05Piemontite0–0.80
Total cations15.17–16.1215.44–15.68
* Recalculated based on stoichiometry. ND = Not detected.
Table 2. Representative chemical analyses of the Degilbo Granite and related dikes. Oxides and trace elements are in weight% and ppm, respectively.
Table 2. Representative chemical analyses of the Degilbo Granite and related dikes. Oxides and trace elements are in weight% and ppm, respectively.
SampleR76342R76340R76343R76344R76345R76346R76410R76366R76458R76325R76440R76368R76337
GraniteMicrogranite
Dike
Aplite
Dike
Distance
from Contact
600 m500 m200 m150 m100 m80 m60 m50 m3 m1 m20 cm
SiO268.9468.8771.0969.3869.2269.2368.8670.3168.363.963.9270.0677.17
TiO20.410.450.350.540.430.420.40.370.440.690.670.430.09
Al2O315.4415.3714.7314.4915.215.4215.1914.5915.6516.8218.1615.2312.49
Fe2O31.491.191.121.341.301.341.301.131.161.421.250.080.35
FeO1.431.771.412.121.721.661.571.551.722.852.201.780.25
MnO0.060.070.050.070.060.050.050.070.060.110.090.040.03
MgO0.790.950.661.030.850.790.890.790.861.311.250.770.11
CaO2.142.031.741.932.062.001.941.692.333.153.122.240.63
Na2O3.663.633.563.523.733.703.763.663.834.134.923.723.39
K2O4.464.304.504.264.234.244.284.294.353.722.753.644.78
P2O50.150.150.110.170.140.150.130.130.150.240.090.130.01
S0.010.020.010.010.010.010.010.010.010.010.020.140.02
LOI0.730.940.580.740.670.710.770.770.741.001.050.850.56
Total99.6999.7499.999.5899.5899.7199.1399.3499.699.3499.4699.0899.85
Ba73570460773562766974270361081854169180
Rb179170181179187182181195184161138135259
Sr27324821327320525026425121628038124833
Pb17161917191616141720191724
Th17203317221815182316215862
U34434423544617
Zr24024921824030424623323921524454121187
Nb10101310131010911816129
Y32343532433637343428223325
La36433536454137413342462824
Ce65696365837572675572785241
Nd31323031443532322530372518
Sc7777167694131463
V3034243038323334303339295
Cr11761113101151271372
Ni6536566335644
Cu9134592514131381416952
Zn36433736484037365046614338
Ga17161617171817181717191615
Sn<3<39<384<310<3<3<3<3<3
As54454546116935258
Mo211221<163121512
Bi4733425<1<112552
Table 3. Carbon and oxygen isotope data for calcite samples.
Table 3. Carbon and oxygen isotope data for calcite samples.
SampleDescriptionδ13C
(% PDB)
δ18O
(% SMOW)
R76483Limestone3.919.0
R76477Limestone4.218.5
R76477Limestone3.515.1
R76467Limestone4.016.3
R76329Marble4.921.6
R76330Marble5.021.3
R76318Marble4.919.6
R76347Ore assemblage calcite−3.511.1
R76335Ore assemblage calcite−0.812.3
R76436Ore assemblage calcite−7.19.6
R76379Ore assemblage calcite−0.912.0
R76389Ore assemblage calcite−1.811.6
R76377Late-stage alteration calcite−3.918.6
R76363Late-stage alteration calcite−4.220.2
R76441Late-stage alteration calcite−1.920.5
R76364Fine-grained calcite−7.710.9
R76365Fine-grained calcite−6.112.6
R76468Calc-silicate hornfels−8.311.8
R76466Calc-silicate hornfels−5.714.4
R76488Calc-silicate hornfels3.412.0
Table 4. Oxygen and deuterium isotope data in silicates.
Table 4. Oxygen and deuterium isotope data in silicates.
Sample Mineral/Rockδ18O (%)δD (%)T °C 1δ18O H2O (%) 2δDH2O (%)
R76296Amphibole8.6−133300–4009.1 to 9.9−63 to −81
R76331Amphibole7.8−128300–4008.3 to 9.1−58 to −77
R76388Amphibole9.7−126300–40010.2 to 11−56 to −75
R76430Amphibole8.1−130300–4008.6 to 9.4−60 to −79
R76435Amphibole8.7−117300–4009.2 to 10−48 to −66
R76463Epidote8.0−100300–4005.9 to 7.4−50
R76406Epidote8.2−97300–4006.1 to 7.6−47
R76302Epidote8.0−98300–4005.9 to 7.4−48
R76410Biotite6.2−1336508.7−99
R76344Biotite6.3−1286508.8−93
R76342Biotite5.7−1216508.2−87
R76338Biotite6.0−1146508.5−80
R76344Granite9.5----
R76307Chlorite4.1−1203104.2−80
R76447Chlorite0.3−1223100.4−82
R76441Chlorite0.2−1283100.3−88
R76297Garnet9.2-55011.1-
R76335Garnet8.1-55010.0-
R76352Garnet8.2-55010.1-
R76358Garnet7.6-5509.5-
R76444Garnet10.4-55012.3-
R76379Magnetite4.4-55010.3-
R76427Magnetite3.6-5509.5-
R76335Magnetite2.8-5508.7-
R76353Magnetite2.4-5508.3-
R76410Quartz10.6-6508.7-
R76344Quartz10.0-6508.1-
R76342Quartz10.3-6508.4-
R76338Quartz10.4-6508.5-
1 Based on fluid inclusions, mineral paragenesis, and chlorite thermometry. 2 Mineral-water fractionations of oxygen are calculated from Bottinga and Javoy (1973) [52] for amphibole and magnetite; Graham et al. (1980) [53] for epidote; Bottinga and Javoy (1973) [52] for biotite; Bottinga and Javoy (1975) [54] for garnet; Matsushisa et al. (1979) [55] for quartz; Wenner and Taylor (1971) [56] for chlorite. Mineral-water fractionations of hydrogen are calculated from Graham et al. (1984) [57] for amphibole; Graham et al. (1980) [53] for epidote; Suzuoki and Epstein (1976) [58] for biotite; and Kyser (1987 [59]: after Suzuoki and Epstein, 1976 [58]) for chlorite.
Table 5. Sulfur isotope data for sulfides from the Biggenden mine.
Table 5. Sulfur isotope data for sulfides from the Biggenden mine.
SampleMineralδ 34S (% CDT)
R76375Molybdenite−1.6
R76378Bismuthinite−1.1
R76380Bismuthinite−1.1
R76524Chalcopyrite−1.1
R76430Chalcopyrite0.5
R76383 Arsenopyrite−5.6
R76384Arsenopyrite1.4
R76385Pyrite−1.2
R76447Pyrite−5.0
R76376Pyrite−2.6
R76486Pyrite2.3
R76382Pyrite−1.0
R76381Pyrite−1.8
Table 6. Strontium isotope data for rocks from the Biggenden mine.
Table 6. Strontium isotope data for rocks from the Biggenden mine.
SampleDescription87Rb/86Sr87Sr/86Sr87Sr/86Sr initialSr
ppm
Rb
ppm
R76472Metasiltstone1.94830.71280.70684169114
R76402Metavolcanic 0.23520.70620.7054844236
R76501Metavolcanic0.05930.70340.703223417
R76410Granite2.20000.71060.70387256195
R76344Granite2.63460.71210.70404205187
R76483Limestone0.05430.70650.706333196
R76502Ore assemblage calcite0.02450.70470.70463118<1
R76335Ore assemblage calcite0.01620.70460.7046178<1
R76357Ore assemblage calcite0.02220.70480.70473130<1
Table 7. Pb isotope data for Biggenden galena and two other hydrothermal deposits associated with the Triassic granitoids in the area [15].
Table 7. Pb isotope data for Biggenden galena and two other hydrothermal deposits associated with the Triassic granitoids in the area [15].
LocationSample 206Pb/204Pb207Pb/204Pb208Pb/204Pb
BiggendenR7644818.50515.60238.369
R7644118.51415.61338.391
Ban BanBB118.47215.58938.315
BB318.49515.62538.406
Mt MudloMM2218.46615.60238.350
MM44A18.48015.62038.401
Disclaimer/Publisher’s Note: The statements, opinions and data contained in all publications are solely those of the individual author(s) and contributor(s) and not of MDPI and/or the editor(s). MDPI and/or the editor(s) disclaim responsibility for any injury to people or property resulting from any ideas, methods, instructions or products referred to in the content.

Share and Cite

MDPI and ACS Style

Edraki, M.; Somarin, A.K.; Ashley, P.M. A Genetic Model for the Biggenden Gold-Bearing Fe Skarn Deposit, Queensland, Australia: Geology, Mineralogy, Isotope Geochemistry, and Fluid Inclusion Studies. Minerals 2025, 15, 95. https://doi.org/10.3390/min15010095

AMA Style

Edraki M, Somarin AK, Ashley PM. A Genetic Model for the Biggenden Gold-Bearing Fe Skarn Deposit, Queensland, Australia: Geology, Mineralogy, Isotope Geochemistry, and Fluid Inclusion Studies. Minerals. 2025; 15(1):95. https://doi.org/10.3390/min15010095

Chicago/Turabian Style

Edraki, Mansour, Alireza K. Somarin, and Paul M. Ashley. 2025. "A Genetic Model for the Biggenden Gold-Bearing Fe Skarn Deposit, Queensland, Australia: Geology, Mineralogy, Isotope Geochemistry, and Fluid Inclusion Studies" Minerals 15, no. 1: 95. https://doi.org/10.3390/min15010095

APA Style

Edraki, M., Somarin, A. K., & Ashley, P. M. (2025). A Genetic Model for the Biggenden Gold-Bearing Fe Skarn Deposit, Queensland, Australia: Geology, Mineralogy, Isotope Geochemistry, and Fluid Inclusion Studies. Minerals, 15(1), 95. https://doi.org/10.3390/min15010095

Note that from the first issue of 2016, this journal uses article numbers instead of page numbers. See further details here.

Article Metrics

Back to TopTop