Next Article in Journal
The Main Controlling Factors of the Cambrian Ultra-Deep Dolomite Reservoir in the Tarim Basin
Previous Article in Journal
Expanded Insights into Martian Mineralogy: Updated Analysis of Gale Crater’s Mineral Composition via CheMin Crystal Chemical Investigations
 
 
Correction published on 24 October 2024, see Minerals 2024, 14(11), 1071.
Font Type:
Arial Georgia Verdana
Font Size:
Aa Aa Aa
Line Spacing:
Column Width:
Background:
Article

Application of Multibody Dynamics and Bonded-Particle GPU Discrete Element Method in Modelling of a Gyratory Crusher

1
School of Resources and Safety Engineering, Central South University, Changsha 410083, China
2
Bradken Resources Pty Ltd., 20 McIntosh Drive, Mayfield West, NSW 2304, Australia
3
School of Intelligent Manufacturing Ecosystem, Xi’an Jiaotong-Liverpool University, Suzhou 215123, China
4
School of Mechanical and Vehicle Engineering, Hunan University, Changsha 410012, China
5
School of Energy Science and Power Engineering, Central South University, Changsha 410083, China
*
Authors to whom correspondence should be addressed.
Minerals 2024, 14(8), 774; https://doi.org/10.3390/min14080774
Submission received: 27 April 2024 / Revised: 27 July 2024 / Accepted: 27 July 2024 / Published: 29 July 2024 / Corrected: 24 October 2024
(This article belongs to the Section Mineral Processing and Extractive Metallurgy)

Abstract

The gyratory crusher is one of the most important mineral processing assets in the comminution circuit, and its production performance directly impacts the circuit throughput. Due to its higher energy utilisation rate for rock breakage than semi-autogenous (SAG/AG) milling, it is a common practice in operations to promote and optimise primary crushing before the downstream capacity can be enhanced. This study aims to develop a discrete element modelling (DEM) and multibody dynamics (MBD) cosimulation framework to optimise the performance of the gyratory crusher. An MBD model was initially established to simulate the gyratory crusher’s drivetrain system. A GPU-based DEM was also developed with a parallel bond model incorporated to simulate the particle breakage behaviour. Coupling of the MBD and GPU-based DEM resulted in a cosimulation framework based on the Function Mock-up Interface. An industrial-scale gyratory crusher was selected to test the developed numerical framework, and results indicated that the developed method was capable of modelling normal and choked working conditions. The outcome of this study enabled more realistic gyratory crusher improvement and optimisation strategies for enhanced production.

1. Introduction

Crushing is an important mineral production process; together with grinding mills, this equipment accounts for more than half of the total capital investment for a typical mining operation [1]. As a key comminution asset, the performance of the primary crusher directly impacts the downstream grinding circuit performance [2,3]. Great variabilities in crusher operating conditions, including ore (composition, hardness, particle size), liner designs and material selections, and operating parameters (power and feed levels) greatly affect its processing capacity [4,5]. Hence, accurate modelling for continuous improvement of the primary crusher’s performance is a key step for the overall comminution circuit optimisation.
In large throughput, open-pit mining operations, gyratory crushers are typically used in the primary crushing stage [6,7]. As shown in Figure 1a, the main shaft is driven by the eccentric gear train, and with a gyrating motion (oscillate in a small circular path) is induced to its lower end. The mantle component gyrates within the crushing chamber, progressively approaching and receding from the outer concave surface [8]. When the material is fed into the crusher chamber, the rock particle size is progressively reduced until fully discharged out of the crusher. When over-sized or harder ores enter the crusher chamber, the mantle could be choked once its power surpasses the drive limit, which occurs on a regular basis if the operation of the crusher is not optimised. Therefore, when improving the performance of the gyratory crusher, it is vital to consider both the rock-structure and the drivetrain’s responses when modelling the gyratory crusher.
Empirical modelling has been used extensively to study the size reduction of a single particle in the crusher chamber, from which optimised designs of concave and mantle profiles were achieved by eliminating potential choke/blockage points and reducing localised wear [9]. As shown in Figure 1b, a series of circles which are tangential to both concave and mantle surfaces at a given level was generated by considering the mantle’s motion and the concave profile [10]. Sufficient displacement of particles towards the discharge position is required to account for the volumetric expansion after crushing [11]. Nevertheless, such a method obviously neglected the non-sphericity, ore hardness, and drivetrain response, which are critical for accurate reflection of the crusher operations [12].
Recent advancement in numerical modelling, such as discrete element modelling (DEM), has enabled direct analysis of rock flow and interactions with the crusher structures [13,14]. Non-spherical particle shapes, such as Superquadrics and polyhedron, have also been further developed to complement the DEM modelling capabilities [15]. Particle breakage models [16,17,18,19,20] were also developed to analyse the size reduction behaviours of rocks, and associated force/torque induced onto the crusher concave and mantle, from which potential choke positions [13], wear on liner surfaces [21], and power output [22] can all be estimated. Nevertheless, particle shape and breakage implementations have significantly decreased computational efficiency in industrial-scale gyratory crusher modelling. To resolve this, Graphics Processing Unit (GPU)-based DEM has rapidly been developed and applied in handling the large number of particles involved in complex granular systems [23,24,25].
Moreover, the transient loading from rocks to the mantle also plays a significant role in the kinematic response of the mantle and the eccentric drive. In DEM-only modelling conditions, the mantle motion was commonly set to a fixed oscillating-rotational type, which considers no contact force feedback from the rock. Hence, particulate motion in the DEM phase requires additional drivetrain information provided by the multibody dynamics (MBD) to ensure both the rock and the machinery operating performance are accounted for [26,27,28,29]. Recent advancement of the functional mock-up interface (FMI)-based [30] cosimulation methodology has also allowed different numerical modelling tools to communicate through interfaces (with internal models binding to each other) during simulation so that both programs can run at close to their best stand-alone speed.
Figure 1. Schematic of the gyratory crusher system; (a) major mechanical component; (b) typical cavity study for optimising the concave and mantle profiles for gyratory crushers [31].
Figure 1. Schematic of the gyratory crusher system; (a) major mechanical component; (b) typical cavity study for optimising the concave and mantle profiles for gyratory crushers [31].
Minerals 14 00774 g001
Based on the aforementioned comments, this study aims to establish a cosimulation framework of multibody dynamics (MBD) and the discrete element method (DEM) to analyse the full performance of a gyratory crusher. An MBD model is to be initially established to simulate the gyratory crusher’s mechanical drive system. A GPU-based DEM method is also to be utilised for modelling the ore stream, and a parallel bond model is also to be included with particle breakage behaviour. Moreover, a Function Mock-up Interface (FMI)-based cosimulation framework of MBD and DEM is to be established under the Modelica standard environment. An industrial-scale gyratory crusher is to be selected for testing the developed numerical framework.

2. Multibody Dynamics Modelling

Multibody dynamics (MBD) has been extensively used in modelling kinematic functions of complex physical systems, including in mechanical, aeronautical, robotics, and structural engineering fields. Both commercial and open source MBD frameworks are available, such as SimulationX [32], ADAMS, and Dymola [33], and open source MBDyn and OpenModelica [34].
In an MBD system, there are two critical components, the degree of freedom (DOF) and conditions of constraint. The DOF is the total number of independent parameters which define the spatial movement possibilities of an object (rigid body or soft body). Generally, an object has six degrees of freedom in a Cartesian coordinate, in which three are in translational motions and the other three are in rotational motions. Conditions of constraint define the motion restrictions applied to one or more objects in an MBD system. In this study, the MBD model was constructed in Modelica standard [35,36], which is a freely available, object-oriented language for modelling large, complex, and heterogeneous physical systems. The MBD model was established in commercial software Dymola.
In a gyratory crusher’s drive system, an eccentric shaft is rotated by a gear and pinion system which produces the oscillating rotational motion of the mantle. The mechanical system of the drive is composed of two major sub-components: a fixed spider frame on the top and a moving mantle and associated drivetrain. The mantle may also be lifted vertically to control the size of the crushed product when excessive liner wear occurs on concave or mantle liners. The drivetrain includes a gear, a pinion, and an electric motor which powers the entire system.
An industrial gyratory crusher (Nordberg Superior MKII 62–75) was selected in this study and its drivetrain was modelled using the Modelica standard. Figure 2a shows the Modelica diagram of the MBD system for the selected crusher. An induction motor supplying the crusher power was initially added with a voltage signal input. The motor was then connected to a set of gear and pinion with the nominated ratio of 3.75 per the manufacturer’s specification [8]. The gear and pinion set was then connected to the eccentric shaft to induce the rotational-oscillatory motion. Within MBD, transient parameters of the drivetrain sub-components were monitored and exported during the simulation. The drivetrain model of the selected crusher modelled in MBD is shown in Figure 2a with the mantle, eccentric shaft, gear, and pinion. Major dimensions of the selected crusher in terms of the feed opening and mantle diameter are shown in Figure 2b. MBD simulation was initially conducted with no particle fed into the system. Under this condition, the rated top speed for the mantle is 600 RPM, which is driven by the pinion with a gear ratio of 3.75 and a rotating speed of 160 RPM. Such standard settings were verified by the established MBD model and results are shown in Figure 3.

3. GPU-Based Discrete Element Modelling

3.1. DEM Governing Equations and GPU Implementation

In DEM, a particle in a granular system has two types of motion: translational and rotational, which are determined by Newton’s second law of motion. Governing equations for the translational and rotational motion of particle i with radius Ri, mass mi, and moment of inertia Ii can be written as
m i d v i d t = j = 1 k c ( f c , i j + f d , i j ) + m i g
and
I i d ω i d t = j = 1 k c ( M t , i j + M r , i j + M n , i j )
where vi and ωi are the translational and angular velocities of the particle, respectively, and kc is the number of particles in interaction. The forces involved are as follows: the gravitational force mig, and interparticle forces between particles, which include elastic force fc,ij, and viscous damping force fd,ij. These interparticle forces can be resolved into normal and tangential components at a contact point. The torque acting on particle i by particle j includes two components: Mt,ij, which is generated by tangential force and causes particle i to rotate, and Mr,ij, which is commonly known as the rolling friction torque. The rolling friction torque is generated by asymmetric normal forces, and slows down the relative rotation between particles. Mn,ij is the torque generated by the non-spherical particles as the contact force between two particles may not go through the centre. A particle may undergo multiple interactions, so the individual interaction forces and torques are summed over the kc particles interacting with particle i.
DEM has been applied to particle systems for many years, and its implementation on CPU has been well documented. Generally, there are four key steps for DEM: particle grid partitioning and sorting, neighbour list generation, force calculation, and particle information updating. When DEM is implemented on the GPU, the framework is similar to the conventional sequential algorithm on the CPU, but the four major steps of DEM are exerted on the GPU. From previous studies, the speed up ratio of a single GPU device to a single CPU could reach as high as 30–1000, depending on the parallelization algorithm and the GPU graphic processor performance [23,24].

3.2. DEM Particle Breakage Model

Three different approaches have been developed in past studies to model particle breakage within DEM: the bonded-particle model (BPM) [16], the fast-breakage model (FBM) [20], and the particle replacement model (PRM) [37].
As shown in Figure 4, the bonded-particle model (BPM) was developed to directly mimic the particle breakage behaviours of irregular-shaped granular materials, in which bonds may break when stress exceeds a critical threshold. The BPM conceptual model can, in principle, be explained by several aspects of the mechanical behaviour of the particle. BPM has been widely used to investigate the rock mechanics. This model is capable of describing the breakage of quasi-brittle materials, that is, materials that exhibit subcritical cracking growth prior to catastrophic failure. It has also been used to simulate size reduction processes, including ball mills, wheat mills, and cone crushers. However, setting up an industrial-scale BPM model requires significant computational effort, for which GPU DEM is more suited.
The fast-breakage model (FBM) is a Laguerre–Voronoi tessellation-based [38] particle breakage method developed to simulate fragmentation [39]. A linear hysteresis contact model is typically used to describe the contacts between particles [37]. Additionally, the particle replacement model (PRM), as originally proposed by Cleary [40], consists of instantaneously replacing a particle, which could be shaped either as individual spheres, clumped spheres, or Superquadrics. Readers are directed to the relevant literature for a detailed theoretical background.
In this work, a GPU-based DEM breakage model was developed by coupling with a bonded-particle model. The BPM model (Figure 4) proposed by Potyondy and Cundall was adopted to describe the interparticle bonding forces and torques which are calculated incrementally, given by
F i j b n = k n A δ n
F i j b s = k s A δ s
T i j b n = k s J δ n
T i j b s = k n I δ s
where kn and ks are the bond normal and tangential stiffness. ∆δn, ∆δs, ∆θn, and ∆θs are the incremental displacements and rotation in the normal and tangential directions. For a bond with radius Rb and length Lb, its bonding area is A = π R b 2 , its moment of inertia is I = π R b 2 / 4 , and its polar moment of inertia is J = π R b 2 / 2 . Bonds can break either by tensile or shear stress and the criteria for bond failure are given by
m i n F i j b n A + T i j b n R b I ,   F i j b s A + T i j b s R b J σ b
where σb is the strength of the bonds. Once broken, these bonds can no longer be restored. In this work, the bonding area is set to be proportional to the contact area between particles. Within a group of bonded particles, bonds are generated with the bond stress following a normal distribution as shown in Equation (8).
σ b = S c ( N + 1 )
where
  • σ b is the bonding strength;
  • N is a random number following the standard normal distribution;
  • Sc is the critical bonding strength.
Typically, a bond stress distribution range of 0.4~1.6 was utilised [41].

3.3. Particle Breakage Model Setting

In the DEM breakage model proposed, a BPM approach as reported by Quist and Evertsson [42] was used for simulating rock breakage in various comminution devices. The DEM and bonded-particle model settings are given in Table 1.
The meta-particle generation method is critical in ensuring the modelling is computationally efficient, and the appropriate level of fines tracking after crushing is achieved. To begin with, a nominal range of 50–500 mm for the meta-particle size distribution was selected for the feed to the crusher, and a fractional particle size distribution of 8–45 mm was used. Then, a library of bonded meta-particles was created following the steps below using a static factory approach:
A 3D geometry emulating the meta-particle shape was imported from 3D-scanned rock geometry. A polyhedral particle library was generated based on the scanned rock geometry and the Delaunay Triangulation algorithm, as shown in Figure 5. A size distribution of meta- and fractional particles was predetermined, as shown Figure 5. Particles were created inside the geometry factory with the predefined meta-particle size distribution, as given in Figure 6. Figure 7 shows meta-particles with different sizes.
Based on the BPM concept, bonds can break either by tensile or shear stress according to the bond failure criteria in Equation (7). After critical bonds break, a meta-particle can break into several fragments, as shown in Figure 8. In order to study the breakage mechanism (e.g., fragments numbers and break locations) and to collect the product size distribution, fragments need to be tracked from the meta-particle system. In the literature, the fragment size was estimated by analysing 2D images of the particles using the image processing technique. Other methods, such as looping over all the particles involved in a meta-particle and bonding particles back together, are also used. These methods are rather computationally expansive, and fragments cannot be visualised during simulation.
In order to efficiently identify the fragments and the product size distribution, a “Reduce-Map” algorithm is used. Firstly, with sorted bonding candidate pairs, the particle j in pair i–j (j > i) is reduced to the local root particle i. This step is parallelized with the total number of contact pairs. Then both particles are mapped into the local clump ID. This step is parallelized with the total number of particles in the system. The above two steps are repeated until all local clumps are mapped into the root particle ID. Generally, the fragment identification process needs 4–5 iterations of the “Reduce-Map” computation.

4. Cosimulation Framework

A code developed in-house was utilised in this study [24]. The MBD and DEM models were coupled through the FMI framework. When both MBD and DEM models were ready, Functional Mock-up Units (FMU) files for each model could be generated, and the interactive contacts between particles and mantle surface were exchanged through FMUs, as shown in Figure 9. The force and torque results between the mantle and particles modelled by the DEM phase were generated, and were subsequently transferred to the MBD models. Within MBD, the resulting performance of the drivetrain and the mantle motion were solved using the Cvode solver, and results were transferred to the DEM phase to fullfil the cosimulation cycle. The GPU-based DEM modelling typically takes a number of days to fully solve a couple of seconds of simulation, depending on the hardware specifications. While in MBD, the simulation is much quicker and only lasts a few minutes for the same duration of modelling. Thus, the DEM component undoubtedly determines the overall simulation time span. In order to improve the numerical stability of MBD-DEM data communication, an FMU communication interval of 1000 (5 × 10−4 s time step for MBD and 5 × 10−7 s time step for DEM) was used for the crusher cosimulation [41].

5. Results and Discussion

Based on the numerical framework developed above, gyratory crusher modelling was conducted and the effects of the metal filling method, bond distribution, and bond diameter on the modelling results were investigated. The results are discussed below.

5.1. Rock Flow Pattern and Drivetrain Performance

The rock breakage and flow pattern in the crusher cavity were initially evaluated. A nominal range of 50–500 mm for the meta-particle size distribution was selected for the feed to the crusher, and a fractional particle size distribution of 8–45 mm was used. The following parallel bond parameters were also used:
  • Bond radius of 5 mm
  • 0.4~1.6 times the critical bond stress
Modelling results are shown in Figure 10a for the particle ID distribution and in Figure 10b for the bond force distribution. The corresponding drivetrain performance of the modelling case was also obtained and is shown in Figure 10c,d for the mantle speed and torque.
As the material was continuously fed into the crusher, meta-particles flowed down into the crusher cavity and the crushing mechanism was induced. Once the crushing mechanism was initiated, the mantle speed obtained from the MBD system gradually reduced from the nominal 160 rpm level to around 125 rpm. Conversely, the transient mantle torque increased from zero to approximately 21 kN·m. Once the size of a meta-particle was reduced to a sufficiently small level, it discharged out of the crushing cavity.
In terms of the particle breakage behaviours, Figure 10b shows the variation in the transient bonding force (Fbn) experienced by the meta-particles during crushing. It was observed that higher bonding forces were predominantly induced to the meta-particles when they were in close contact with the concave and mantle surfaces. When the crushing force experienced by the meta-particles was larger than the bonding stress, meta-particles broke into smaller meta-particles for further interactions with the crusher geometry.

5.2. Effect of Meta Filling Methods

The number of fractional particles in a meta-particle directly affects the magnitude of the entire granular system. When the packing of meta-particles is too fine, the GPU global memory is rapidly consumed, and the computational efficiency is greatly reduced. The following bond parameter settings were as follows:
  • Bond radius of 5 mm
  • 0.4~1.6 times the critical bond stress
Based on these settings, a nominal range of 50–500 mm for the meta-particle size distribution was selected for the feed to the crusher, and a fractional particle size distribution of 8–45 mm was used. Based on the aforementioned settings, the total number of fractional particles within a meta-particle may range from 50 to 20,000, as shown in Figure 11a. By increasing the population of the meta-particles, the total number of fractional particles in the simulation could be reduced, but it averaged around 1500, as shown in Figure 11b, which still requires substantial computational efforts. In comparison, if a relatively large and mono-sized fractional particle is selected, the total number of fractional particles in one meta-particle can be greatly reduced. Finer fractional particle size settings may assist in tracking the fines after crushing, but at the cost of the computational efficiency. Therefore, the meta-particle filling method requires careful balancing of the crushing behaviour (fines tracking with wider fractional particle size distribution) and computational efforts (mono-sized fractional particles).
Based on the discussion above, the use of mono-sized fractional particles was also investigated. Three different dMeta/dfractional ratios, 10, 6, and 2, were utilised for comparison purposes, and the corresponding number of fractional particles in a meta-particle was calculated. As shown in Figure 12, when dMeta/dfractional was selected as 10, 6, and 2, the total fractional particles in a meta-particle reduced from 640 to 140, and then 40, which greatly assisted in GPU global memory reduction.
With the three mono-sized fractional particle options discussed, crusher modelling was also conducted, and associated total bonds during the crushing were also tracked. As shown in Figure 13a, the use of the smaller dMeta/dfractional ratio resulted in a significant reduction in the total bonds in the simulation, which would improve the computational efficiency. Comparing the ore flow and crushing behaviours of different dMeta/dfractional ratios shown in Figure 13b–d, a minor difference was observed across three settings. For the purpose of better tracking of fine particle size distribution in the product stream, as well as considering computational efficiency, dMeta/dfractional = 6 was selected for further modelling cases conducted below.

5.3. Effect of Bond Distribution

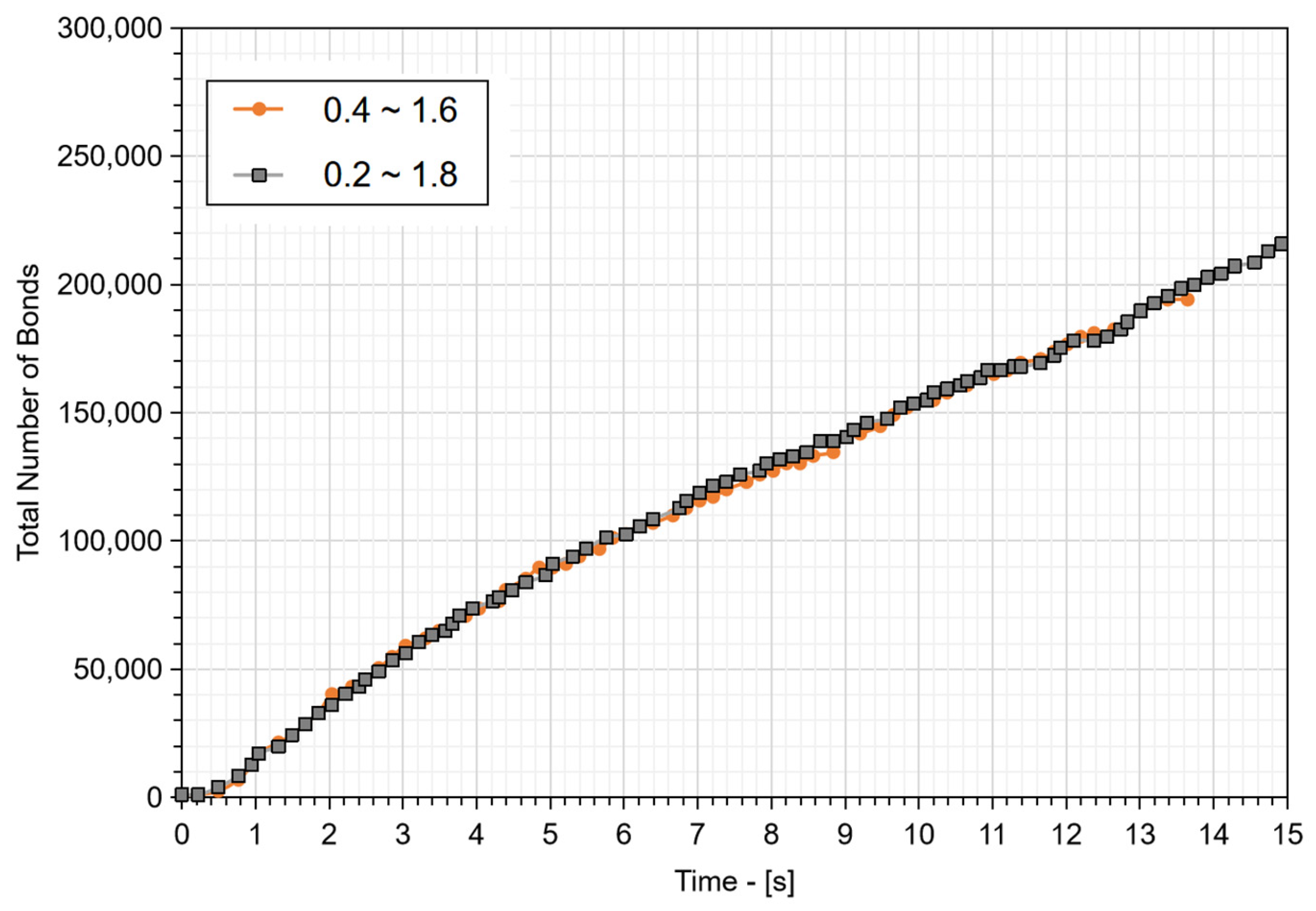
Based on aforementioned settings, the typical bond stress falls in a range of 0.4–1.6 times the critical bond stress. In this section, the effect of the bond stress distribution was studied using the feed size range of 50–500 mm with a mono-sized fractional particle size setting of dMeta/dfractional ratio = 6. An alternative bond stress range of 0.2–1.8 was utilised to compare the total bonds generation in each case and the results are shown in Figure 14. They indicated that the total number of bonds increased marginally when the bond stress range of 0.2–1.8 was selected. No visible difference was observed in the ore flow and crushing performance across the two different bond stress ranges. Therefore, it was suggested that the effect of bond stress range can be neglected, and a nominal range of 0.4–1.6 can be selected.

5.4. Effect of Bond Radius

In the BPM model, the normal and tangential bond force and torque, and the bond failure criteria are all related to the bond area A = π R b 2 , where R b is the bond radius. Therefore, the actual strength of the rock particle is directly correlated to the bond radius setting. Under fixed normal and tangential critical failure stress levels as shown in Table 1, when a smaller bond radius was selected, the resulting normal and tangential stresses were higher, leading to rock particles more easily fragmented under the induced crushing force. Thus, an appropriate level of bond radius is critical to ensure the rock is not too “hard”, nor too “soft”, when interacting with the mantle and concave. In this study, the effect of the bond diameter on the crushing behaviours was investigated. Essentially, the following settings were selected while increasing the bond diameter in the range of Rb = [0.1Rfractional, 0.5Rfractional, Rfractional,]:
  • Meta-particle size distribution: 50–500 mm
  • Fractional particle size distribution: mono-sized with dMeta/dfractional = 6
  • Bond stress range: 0.4–1.6
Figure 15 shows the rock flow behaviours in DEM and MBD systems under the three distinct bond radius settings. When the bond radius was set to be equal to the fractional particle size (Rb = Rfractional), the resulting bond stress was too high, rocks were more difficult to break, and a minimal discharge mass flow rate was observed in Figure 15c. This was further validated by the mantle speed and torque obtained from MBD modelling as shown in Figure 16a–c. When the material was fed into the crusher, the mantle torque increased substantially while the mantle rotational speed dropped to zero rapidly, indicating that the drivetrain was overloaded. In comparison, when an intermediate bond radius (Rb = 0.5Rfractional) was selected, normal crushing and product stream discharge were observed; however, the mantle torque, speed, and the discharge mass flow rate were observed to be reduced compared with the modelling results from the bond radius of Rb = 0.1Rfractional.
The evolution of crushing and drivetrain performance with respect to the bond radius indicated that the developed DEM-MBD cosimulation framework was able to cover a number of different working modes of the gyratory crusher, from high throughput with relatively “soft” ores to choked conditions with “hard” ores. In comparison to the typical crusher performance from the manufacturer, a nominal max throughput of 3720 tph [8] was provided based on a feed particle density of 2750 kg/m3. Such a performance is within the range of the throughput obtained above with Rb = 0.1Rfractional.
Compared with the conventional DEM-only method, the addition of the MBD system enables the drivetrain to react based on the ore properties, which reflects more closely the real gyratory crusher operations. In addition, when attempting to optimise the crusher design with the DEM-MBD framework, once a suitable meta filling method and fractional particle size are selected, it is important to perform rock breakage calibration to ensure the “hardness” of the meta-particles is properly reflected during the crushing process.

6. Conclusions

A comprehensive study on developing a discrete element modelling (DEM) and multibody dynamics (MBD) cosimulation framework for modelling the gyratory crusher was conducted. A GPU-based DEM framework was developed by incorporating a bonded-particle method for modelling particle breakage. A Modelica-based MBD framework was introduced into the DEM to simulate the transient response of the crusher’s drivetrain. The modelling results of a full-scale gyratory crusher suggested that transient rock flow, rock crushing, mantle speed, and mantle torque can be obtained using the DEM-MBD modelling framework. The effect of the meta-particle filling method was studied and a mono-sized fractional particle setting with dMeta/dfractional = 6 was suggested for the GPU-based computational granular system. The effect of the bond stress distribution range was investigated, and the results suggested the bond stress distribution exhibited negligible impact on the bonds generation during simulation. The bond radius exhibited significant impacts on the crusher’s performance, and different modes of crushing performance in terms of mass flow rate, mantle speed, and torque were obtained by tuning the bond radius settings. Consequently, the developed DEM-MBD modelling framework provides a holistic evaluation and optimisation framework for the design and improvement of gyratory crushers.

Author Contributions

Writing—original draft, Y.X.; software, visualization, formal analysis, methodology, J.G.; resources, project administration, W.C.; data curation, T.O.; writing—review and editing, G.Z.; supervision, D.W. All authors have read and agreed to the published version of the manuscript.

Funding

This research was funded by The Science and Technology Innovation Program of Hunan Province, with grant number of 20223RC3237, as well as the Xi’an Jiaotong-Liverpool University Research Development Fund, with grant number of RDF-23-01-092.

Data Availability Statement

Data are available in a publicly accessible repository. The data presented in this study are openly available in Chen, Wei (2024). Crusher DEM-MBD Modelling. figshare. Dataset. https://doi.org/10.6084/m9.figshare.25706478.v1. Accessed on 23 March 2024.

Conflicts of Interest

The authors declare no conflicts of interest.

References

  1. Wills, B.A.; Finch, J. Wills’ Mineral Processing Technology: An Introduction to the Practical Aspects of Ore Treatment and Mineral Recovery; Butterworth-Heinemann: Oxford, UK, 2015. [Google Scholar]
  2. Asbjörnsson, G.; Tavares, L.M.; Mainza, A.; Yahyaei, M. Different Perspectives of Dynamics in Comminution Processes. Miner. Eng. 2022, 176, 107326. [Google Scholar] [CrossRef]
  3. Koh, E.J.; Amini, E.; McLachlan, G.J.; Beaton, N. Utilising a Deep Neural Network as a Surrogate Model to Approximate Phenomenological Models of a Comminution Circuit for Faster Simulations. Miner. Eng. 2021, 170, 107026. [Google Scholar] [CrossRef]
  4. Pamparana, G.; Kracht, W.; Haas, J.; Ortiz, J.M.; Nowak, W.; Palma-Behnke, R. Studying the Integration of Solar Energy into the Operation of a Semi-Autogenous Grinding Mill. Part II: Effect of Ore Hardness Variability, Geometallurgical Modeling and Demand Side Management. Miner. Eng. 2019, 137, 53–67. [Google Scholar] [CrossRef]
  5. Faramarzi, F.; Jokovic, V.; Morrison, R.; Kanchibotla, S.S. Quantifying Variability of Ore Breakage by Impact–Implications for SAG Mill Performance. Miner. Eng. 2018, 127, 81–89. [Google Scholar] [CrossRef]
  6. Rosario, P.P. Optimization of Primary Gyratory Crushing at Highland Valley Copper. PhD Thesis, University of British Columbia, Vancouver, BC, Canada, 2003. [Google Scholar]
  7. Bearman, R.; Munro, S.; Evertsson, C.M. Crushers—An Essential Part of Energy Efficient Comminution Circuits. In Proceedings of the Metallurgical Plant Design and Operating Strategies 2011, Perth, Australia, 8–9 August 2011; pp. 67–68. [Google Scholar]
  8. Metso, Primary SUPERIOR® Gyratory Crushers Wear Parts Application Guide, 2012. Available online: https://www.911metallurgist.com/wp-content/uploads/2017/04/Wear_parts_SUPERIOR_gyratory.pdf (accessed on 15 May 2024).
  9. Lichter, J.; Lim, K.; Potapov, A.; Kaja, D. New Developments in Cone Crusher Performance Optimization. Miner. Eng. 2009, 22, 613–617. [Google Scholar] [CrossRef]
  10. Gang, D.; Xiumin, F.; Dongming, H. Analysis and Optimization of Cone Crusher Performance. Miner. Eng. 2009, 22, 1091–1093. [Google Scholar] [CrossRef]
  11. Dandotiya, R.; Lundberg, J.; Wijaya, A. Evaluation of Abrasive Wear Measurement Devices of Mill Liners. Int. J. COMADEM 2011, 14, 3–17. [Google Scholar]
  12. Rosario, P.P.; Hall, R.A.; Maijer, D.M. Liner Wear and Performance Investigation of Primary Gyratory Crushers. Miner. Eng. 2004, 17, 1241–1254. [Google Scholar] [CrossRef]
  13. Chen, Z.; Wang, G.; Xue, D.; Bi, Q. Simulation and Optimization of Gyratory Crusher Performance Based on the Discrete Element Method. Powder Technol. 2020, 376, 93–103. [Google Scholar] [CrossRef]
  14. Chen, Z.; Wang, G.; Xue, D.; Cui, D. Simulation and Optimization of Crushing Chamber of Gyratory Crusher Based on the DEM and GA. Powder Technol. 2021, 384, 36–50. [Google Scholar] [CrossRef]
  15. Cleary, P.W.; Sinnott, M.D. Simulation of Particle Flows and Breakage in Crushers Using DEM: Part 1–Compression Crushers. Miner. Eng. 2015, 74, 178–197. [Google Scholar] [CrossRef]
  16. Cleary, P.W. Recent Advances in DEM Modelling of Tumbling Mills. Miner. Eng. 2001, 14, 1295–1319. [Google Scholar] [CrossRef]
  17. Potyondy, D.O.; Cundall, P. A Bonded-Particle Model for Rock. Int. J. Rock Mech. Min. Sci. 2004, 41, 1329–1364. [Google Scholar] [CrossRef]
  18. Barrios, G.K.; Jiménez-Herrera, N.; Tavares, L.M. Simulation of Particle Bed Breakage by Slow Compression and Impact Using a DEM Particle Replacement Model. Adv. Powder Technol. 2020, 31, 2749–2758. [Google Scholar] [CrossRef]
  19. Liu, S.; Zhang, Z. Modeling Rock Fragmentation by Coupling Voronoi Diagram and Discretized Virtual Internal Bond. Theor. Appl. Mech. Lett. 2020, 10, 321–326. [Google Scholar] [CrossRef]
  20. Vogel, L.; Peukert, W. From Single Particle Impact Behaviour to Modelling of Impact Mills. Chem. Eng. Sci. 2005, 60, 5164–5176. [Google Scholar] [CrossRef]
  21. Quist, J.; Evertsson, C.M.; Franke, J. The Effect of Liner Wear on Gyratory Crushing—A DEM Case Study. In Proceedings of the 3rd International Computational Modelling, Cornwall, UK, 21 June 2011. [Google Scholar]
  22. Moncada, M.; Toledo, P.; Betancourt, F.; Rodríguez, C.G. Torque Analysis of a Gyratory Crusher with the Discrete Element Method. Minerals 2021, 11, 878. [Google Scholar] [CrossRef]
  23. Gan, J.; Evans, T.; Yu, A. Application of GPU-DEM Simulation on Large-Scale Granular Handling and Processing in Ironmaking Related Industries. Powder Technol. 2020, 361, 258–273. [Google Scholar] [CrossRef]
  24. Gan, J.Q.; Zhou, Z.Y.; Yu, A.B. A GPU-Based DEM Approach for Modelling of Particulate Systems. Powder Technol. 2016, 301, 1172–1182. [Google Scholar] [CrossRef]
  25. Govender, N.; Wilke, D.N.; Kok, S. Blaze-DEMGPU: Modular High Performance DEM Framework for the GPU Architecture. SoftwareX 2016, 5, 62–66. [Google Scholar] [CrossRef]
  26. Chen, W.; van Etten, M.; Donohue, T.; Williams, K. Application of the Coupled Discrete Element Modelling and Modelica Based Multi-Body Dynamics in System-Level Modelling. In Proceedings of the 7th International Conference on Discrete Element Methods, Dalian, China, 1–4 August 2016; Springer: Singapore, 2016; pp. 571–578. [Google Scholar]
  27. Matthias, B.; Burger, M.; Dauwel, T.; Ekevid, T.; Steidel, S.; Weber, D. Coupling DEM Particles to MBS Wheel Loader via Co-Simulation. In Proceedings of the 4th International Commercial Vehicle Technology Symposium, Prague, Czech Republic, 19–22 June 2017; Shaker Verlag: Aachen, Germany, 2016. [Google Scholar]
  28. Richter, C.; Roessler, T.; Otto, H.; Katterfeld, A. Coupled Discrete Element and Multibody Simulation, Part I: Implementation, Verification and Validation. Powder Technol. 2021, 379, 494–504. [Google Scholar] [CrossRef]
  29. Katterfeld, A.; Otto, H.; Richter, C.; Rossiter, E.; Szczelina, P. Coupled Discrete Element and System Simulation for the Determination of Load Assumptions for Heavy Duty Drives on the Example of Primary Crushers. In Proceedings of the CFDEM® Project User Meeting & Workshop, Linz, Austria, 14–16 March 2016. [Google Scholar]
  30. Widl, E.; Müller, W.; Elsheikh, A.; Hörtenhuber, M.; Palensky, P. The FMI++ Library: A High-Level Utility Package for FMI for Model Exchange. In Proceedings of the 2013 Workshop on Modeling and Simulation of Cyber-Physical Energy Systems (MSCPES), Berkeley, CA, USA, 20 May 2013; IEEE: Piscataway, NJ, USA, 2013; pp. 1–6. [Google Scholar]
  31. Ou, T.; Chen, W. Modelling of Gyratory Crusher Liner Wear Using a Digital Wireless Sensor. Sensors 2023, 23, 8818. [Google Scholar] [CrossRef]
  32. Chengbin, W.; Long, Q. Study on Simulation and Experiment of Hydraulic Excavator’s Work Device Based on Simulation X. In Proceedings of the 2011 International Conference on Electric Information and Control Engineering, Wuhan, China, 15–17 April 2011; IEEE: Piscataway, NJ, USA, 2011; pp. 1742–1745. [Google Scholar]
  33. Dempsey, M. Dymola for Multi-Engineering Modelling and Simulation. In Proceedings of the 2006 IEEE Vehicle Power and Propulsion Conference, Windsor, UK, 6–8 September 2006; IEEE: Piscataway, NJ, USA, 2006; pp. 1–6. [Google Scholar]
  34. Fritzson, P.; Pop, A.; Abdelhak, K.; Asghar, A.; Bachmann, B.; Braun, W.; Bouskela, D.; Braun, R.; Buffoni, L.; Casella, F. The OpenModelica Integrated Environment for Modeling, Simulation, and Model-Based Development. Model. Identif. Control 2020, 41, 241–295. [Google Scholar] [CrossRef]
  35. Mattsson, S.E.; Elmqvist, H.; Otter, M. Physical System Modeling with Modelica. Control Eng. Pract. 1998, 6, 501–510. [Google Scholar] [CrossRef]
  36. Sanz, V.; Urquia, A. Cyber–Physical System Modeling with Modelica Using Message Passing Communication. Simul. Model. Pract. Theory 2022, 117, 102501. [Google Scholar] [CrossRef]
  37. Wang, X.; Zhang, Q.; Huang, Y.; Ji, J. An Efficient Method for Determining DEM Parameters of a Loose Cohesive Soil Modelled Using Hysteretic Spring and Linear Cohesion Contact Models. Biosyst. Eng. 2022, 215, 283–294. [Google Scholar] [CrossRef]
  38. Cui, C.; Cao, G.; Liu, J.; Cao, Y.; Zhang, C.; Liu, Z. Rapid Visualization of Microstructural Evolution during Hot Strip Rolling Using Phenomenological Models and the Laguerre–Voronoi Diagram. Steel Res. Int. 2023, 94, 2200572. [Google Scholar] [CrossRef]
  39. Jiménez-Herrera, N.; Barrios, G.K.; Tavares, L.M. Comparison of Breakage Models in DEM in Simulating Impact on Particle Beds. Adv. Powder Technol. 2018, 29, 692–706. [Google Scholar] [CrossRef]
  40. Cleary, P.W.; Delaney, G.W.; Sinnott, M.D.; Cummins, S.J.; Morrison, R.D. Advanced Comminution Modelling: Part 1–Crushers. Appl. Math. Model. 2020, 88, 238–265. [Google Scholar] [CrossRef]
  41. Lommen, S.; Lodewijks, G.; Schott, D.L. Co-Simulation Framework of Discrete Element Method and Multibody Dynamics Models. Eng. Comput. 2018, 35, 1481–1499. [Google Scholar] [CrossRef]
  42. Quist, J.; Evertsson, C.M. Cone Crusher Modelling and Simulation Using DEM. Miner. Eng. 2016, 85, 92–105. [Google Scholar] [CrossRef]
Figure 2. (a) Multibody system diagram for the selected gyratory crusher; (b) mechanical and drivetrain system for the selected gyratory crusher.
Figure 2. (a) Multibody system diagram for the selected gyratory crusher; (b) mechanical and drivetrain system for the selected gyratory crusher.
Minerals 14 00774 g002
Figure 3. Crusher rotational speed for main shaft and pinion (motor nominal power 450 kW, maximum pinion rotation speed 600 rpm, gear ratio = 3.75, eccentric distance = 21.7 mm, simulation time step = 0.001 s).
Figure 3. Crusher rotational speed for main shaft and pinion (motor nominal power 450 kW, maximum pinion rotation speed 600 rpm, gear ratio = 3.75, eccentric distance = 21.7 mm, simulation time step = 0.001 s).
Minerals 14 00774 g003
Figure 4. Modelling principle of the bonded-particle model; (a) Stresses formed by bonds between two particles; (b) Force and bonding behaviours of bonded particles [17].
Figure 4. Modelling principle of the bonded-particle model; (a) Stresses formed by bonds between two particles; (b) Force and bonding behaviours of bonded particles [17].
Minerals 14 00774 g004
Figure 5. Meta-particle sample meshes generated in this study.
Figure 5. Meta-particle sample meshes generated in this study.
Minerals 14 00774 g005
Figure 6. (a) Initial meta- and fractional particle size distribution used in the modelling; (b) Fractional particle factory used in constituting the meta-particles.
Figure 6. (a) Initial meta- and fractional particle size distribution used in the modelling; (b) Fractional particle factory used in constituting the meta-particles.
Minerals 14 00774 g006
Figure 7. Sample meta-particles generated with different sizes using the method above.
Figure 7. Sample meta-particles generated with different sizes using the method above.
Minerals 14 00774 g007
Figure 8. (a) Meta-particle failure process and (b) Reduce-map step to identify fragments.
Figure 8. (a) Meta-particle failure process and (b) Reduce-map step to identify fragments.
Minerals 14 00774 g008
Figure 9. FMI cosimulation diagram of the selected gyratory crusher model in Dymola.
Figure 9. FMI cosimulation diagram of the selected gyratory crusher model in Dymola.
Minerals 14 00774 g009
Figure 10. Results of particle breakage in crusher represented by (a) Meta Id and (b) normal bond force Fbn; (c) Transient mantle speed from the MBD system; (d) Transient mantle torque from the MBD system.
Figure 10. Results of particle breakage in crusher represented by (a) Meta Id and (b) normal bond force Fbn; (c) Transient mantle speed from the MBD system; (d) Transient mantle torque from the MBD system.
Minerals 14 00774 g010
Figure 11. (a) Average number of fractional particles inside a meta-particle (when fractional particles inside have a size distribution between 8 and 45 mm); (b) Reduction of fractional particles when increasing the population of meta particles.
Figure 11. (a) Average number of fractional particles inside a meta-particle (when fractional particles inside have a size distribution between 8 and 45 mm); (b) Reduction of fractional particles when increasing the population of meta particles.
Minerals 14 00774 g011
Figure 12. Average number of fractional particles inside a meta-particle when fractional particles inside are mono-sized with dMeta/dfractional of (a) 6–10 and (b) 2–6.
Figure 12. Average number of fractional particles inside a meta-particle when fractional particles inside are mono-sized with dMeta/dfractional of (a) 6–10 and (b) 2–6.
Minerals 14 00774 g012
Figure 13. (a) Comparison of the total number of bonds for meta-particles filled with mono-sized fractional particles with dMeta/dfractional of 10, 6, and 2; (b) Crusher performance of dMeta/dfractional of 2; (c) Crusher performance of dMeta/dfractional of 6; (d) Crusher performance of dMeta/dfractional of 10.
Figure 13. (a) Comparison of the total number of bonds for meta-particles filled with mono-sized fractional particles with dMeta/dfractional of 10, 6, and 2; (b) Crusher performance of dMeta/dfractional of 2; (c) Crusher performance of dMeta/dfractional of 6; (d) Crusher performance of dMeta/dfractional of 10.
Minerals 14 00774 g013
Figure 14. Comparison between the total number of bonds generated in the simulation for different bond stress distribution ranges selected.
Figure 14. Comparison between the total number of bonds generated in the simulation for different bond stress distribution ranges selected.
Minerals 14 00774 g014
Figure 15. Crushing behaviours of the rock particles with increasing bond radius settings; (a) Rb = 0.1Rfractional; (b) Rb = 0.5Rfractional; (c) Rb = Rfractional.
Figure 15. Crushing behaviours of the rock particles with increasing bond radius settings; (a) Rb = 0.1Rfractional; (b) Rb = 0.5Rfractional; (c) Rb = Rfractional.
Minerals 14 00774 g015
Figure 16. (a) Mantle speed, (b) Mantle torque, and (c) Mass flow rate results obtained from the numerical framework when different bond radius settings were utilised.
Figure 16. (a) Mantle speed, (b) Mantle torque, and (c) Mass flow rate results obtained from the numerical framework when different bond radius settings were utilised.
Minerals 14 00774 g016
Table 1. DEM and BPM setting for the gyratory crusher.
Table 1. DEM and BPM setting for the gyratory crusher.
ParameterValueUnits
DEM Material PropertiesRockSteel
Solid Density26007800kg/m3
Shear Stiffness5.57 × 1087.0 × 1010Pa
Poisson’s Ratio0.35
Rock-rock
0.3
Rock-steel
Coefficient of Static Friction0.50.7
Coefficient of Restitution0.20.25
Coefficient of Rolling Friction0.0010.001
Feed
Feed Fate3500 t/h
BPM Parameters
Normal Stiffness1670 N/m
Shear Stiffness667 N/m
Normal Critical Stress36 MPa
Shear Critical Stress24 MPa
Drivetrain
Eccentric Throw21.7 mm
Eccentric Speed160 rpm
Close Side Setting120 mm
Liner Geometry3D model
GPUGPU V100
Time step3 × 10−7 s
Disclaimer/Publisher’s Note: The statements, opinions and data contained in all publications are solely those of the individual author(s) and contributor(s) and not of MDPI and/or the editor(s). MDPI and/or the editor(s) disclaim responsibility for any injury to people or property resulting from any ideas, methods, instructions or products referred to in the content.

Share and Cite

MDPI and ACS Style

Xiong, Y.; Gan, J.; Chen, W.; Ou, T.; Zhao, G.; Wu, D. Application of Multibody Dynamics and Bonded-Particle GPU Discrete Element Method in Modelling of a Gyratory Crusher. Minerals 2024, 14, 774. https://doi.org/10.3390/min14080774

AMA Style

Xiong Y, Gan J, Chen W, Ou T, Zhao G, Wu D. Application of Multibody Dynamics and Bonded-Particle GPU Discrete Element Method in Modelling of a Gyratory Crusher. Minerals. 2024; 14(8):774. https://doi.org/10.3390/min14080774

Chicago/Turabian Style

Xiong, Youwei, Jieqing Gan, Wei Chen, Tao Ou, Guoyan Zhao, and Dongling Wu. 2024. "Application of Multibody Dynamics and Bonded-Particle GPU Discrete Element Method in Modelling of a Gyratory Crusher" Minerals 14, no. 8: 774. https://doi.org/10.3390/min14080774

APA Style

Xiong, Y., Gan, J., Chen, W., Ou, T., Zhao, G., & Wu, D. (2024). Application of Multibody Dynamics and Bonded-Particle GPU Discrete Element Method in Modelling of a Gyratory Crusher. Minerals, 14(8), 774. https://doi.org/10.3390/min14080774

Note that from the first issue of 2016, this journal uses article numbers instead of page numbers. See further details here.

Article Metrics

Back to TopTop