Evaluation of Coarse Gold-Bearing Conglomerate Mineralisation at Beatons Creek, Pilbara, Western Australia: Sampling for Resource Development and Grade Control
Abstract
1. Introduction
1.1. Background
1.2. Challenges of Gold Sampling
- Primary gold particle distribution is often erratic (high geological/in situ nugget effect), exacerbated by localised clustering [8];
- Critical grades, such the mineralisation indicator (MIG) and breakeven mining cut-off (BCOG) grades are low (<1 g/t Au), therefore coarse gold particles are rare ‘events’ displaying a Poisson distribution [13];
- Correct sampling procedures with no gold loss or contamination;
- Preparation procedures that recognise the impact of gold particle sizing and reduce the impact of segregation;
- Effective splitting of sub-samples;
- Assay method and sub-samples that provide acceptable accuracy.
1.3. Theory of Sampling
1.3.1. Introduction
1.3.2. FSE-Based Calculations Used in This Study
1.4. Aim of This Paper
- Dominant (25%–50%) > 1 mm coarse gold particles and very coarse gold particles to 8 mm in size;
- In situ gold particle clusters up to 500 mm3 (c. 8 mm cube);
- Low critical grades, e.g., MIG of 0.5 g/t Au, BCOG of 0.8 g/t Au, and run-of-mine (ROM) grade of 1.5 g/t Au.
2. Beatons Creek Gold Project
2.1. Introduction
2.2. Geology and Gold Mineralisation of Beatons Creek
2.3. Mineralogy
2.4. Gold Particle Sizing
2.4.1. Overview
2.4.2. Field Observations of Gold
2.4.3. Metallurgical Testwork
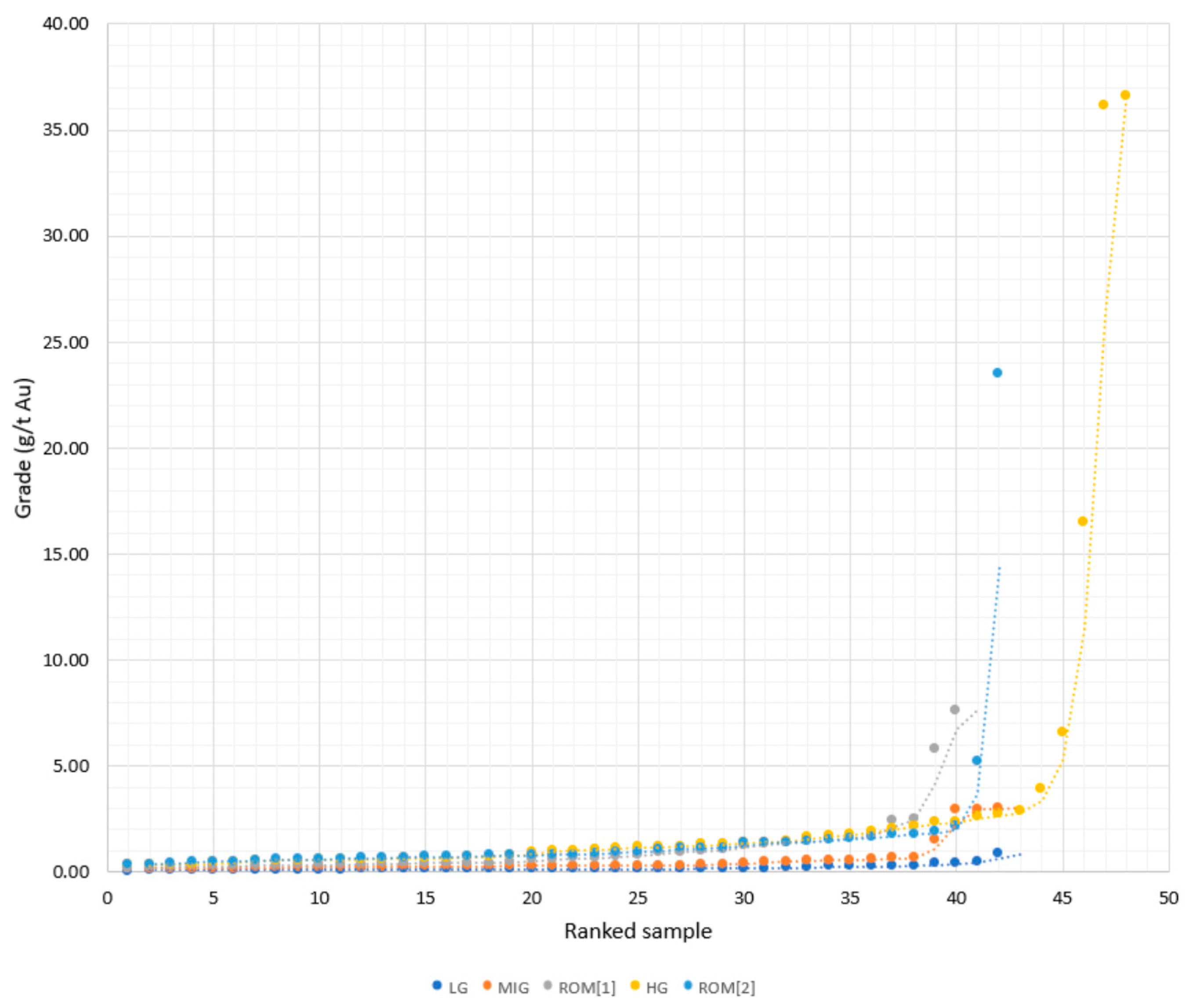
2.5. Heterogeneity Testwork
3. Resource Development and Grade Control Sampling
3.1. RC Sampling Methodology
3.1.1. RC Sampling Methodology Pre-2020
3.1.2. RC Sampling Methodology Post-2020
3.1.3. Application of detectORE™ to RC Composites
- A sample selection list is produced by the geological team based on the anticipated mineralisation positions;
- The A or B split not flagged for laboratory submission is spear-sampled and sieved to <1 mm. The coarse material in the sieve is used for geological logging;
- 500–600 g of screened material is then funnelled into a DO pouch. The pouch is assigned a unique bar code and a ‘widget’ is inserted;
- Samples are dosed with reagent;
- Pouches are loaded and mixed in a bottle roller for 6 h;
- The widget collector device is recovered, dried and analysed with a portable XRF;
- Data is uploaded to a cloud-based database and converted into dU.
3.1.4. Diamond Core Sampling
3.1.5. Trench Channel Sampling
3.1.6. Bulk Sampling Programme
4. Resource Development and Grade Control Sample Preparation and Assaying
4.1. Overview
4.2. RC Sample Preparation and Assay (Pre-2011)
- Crushed to P80 2 mm;
- Split (riffle?) to 1 kg;
- Pulverised to P85 75 µm;
- Split (riffle?) for FA (30 g) or SFA (500 g or 1 kg) or LW (1 kg).
4.3. RC Sample Preparation and Assay (2011–2012)
- ▪
- Crushed to P80 2 mm;
- ▪
- RSD split to 3 kg;
- ▪
- Pulverised (Mixermill) to P85 75 µm;
- ▪
- Riffle split 1 kg for 6 h LW assay, followed by inductively coupled plasma mass spectrometry (ICP-MS) analysis;
- ▪
- Selected LW results over 0.2 g/t Au triggered an FA on the residue to quantify any gold not dissolved during leaching.
4.4. RC and Trench Channel Sample Preparation and Assay (2013–2017)
- ▪
- RC (15 kg) and trench channel (40–65 kg) samples were sorted, dried and weighed;
- ▪
- Crushed (the entire sample) to P80 2 mm with a jaw crusher, followed by a Boyd crusher;
- ▪
- RSD split to 9 kg;
- ▪
- Pulverised (LM5) the 9 kg to P85 75 µm—this was done in three 3 kg batches, due to the limited size of the pulveriser;
- ▪
- The three pulverised splits were re-homogenised to 9 kg of pulp;
- ▪
- Re-split, the 9 kg pulp was re-split into three 3 kg bags;
- ▪
- One 3 kg pulp bag subjected to a 6 h LW assay and ICP-MS analysis;
- ▪
- Selected LW results over 0.2 g/t Au triggered an FA on the LW tails.
4.5. Diamond Drill Core Sample Preparation and Assay (2013–2014)
- ▪
- Crushed to P80 2 mm with a Boyd crusher;
- ▪
- Pulverised (LM5) all material to P85 75 µm;
- ▪
- RSD split the pulp to generate two 1 kg bags;
- ▪
- Subjected 1 kg pulp to a 24 h LW assay, followed by ICP-MS analysis. For any sample within the mineralised sequence, two 1 kg pulp samples were assayed;
- ▪
- Selected LW results over 0.2 g/t Au triggered an FA on the LW tails.
4.6. Diamond Drill Core Sample Preparation and Assay (Metallurgical Samples 2018 and 2022)
- ▪
- Dry and weigh;
- ▪
- Crush to P80 1.5 mm with a Boyd crusher;
- ▪
- RSD split approximately 10 kg;
- ▪
- The 10 kg is manually poured into 20× PA jars of 500 g each.
4.7. Diamond Drill Core Sample Preparation and Assay (2018 and 2022)
- ▪
- Dry and weigh;
- ▪
- Crush to P80 3 mm in a Boyd crusher;
- ▪
- A sub-sample of approximately 2.5 kg is split off automatically;
- ▪
- The 2.5 kg is manually poured into five PA jars of 500 g each;
- ▪
- For the 2018 samples, assay was via LW 1 kg.
4.8. RC Sample Preparation and Assay 2020 Onwards
4.8.1. Sample Preparation
4.8.2. PhotonAssay™
4.8.3. Sample Preparation and Assay (October 2020 to August 2021)
- The A or B splits were sorted, dried and weighed;
- Crushed to P85 3 mm in a Boyd smart crusher;
- A sub-sample of approximately 5 kg was split off automatically;
- 5 kg manually poured into ten PA jars of 500 g each.
4.8.4. Sample Preparation and Assay (August 2021 to May 2023)
- The A or B split sample is sorted, dried and weighed;
- Crushed to P85 3 mm in a Orbis smart crusher;
- A sub-sample of approximately 2.5 kg is split off automatically;
- The 2.5 kg is manually poured into five PA jars of 500 g each.
4.9. Quality Assurance/Quality Control
5. Analysis of Errors
5.1. Fundamental Sampling Error Analysis
5.2. Sampling Protocol Duplicate Pair Error Analysis
5.2.1. Introduction
5.2.2. Sampling Protocol Error Analysis—Channel Samples
5.2.3. Sampling Protocol Error Analysis—2013–2017 RC
5.2.4. Sampling Protocol Error Analysis—2020–2021 RC
5.2.5. Sampling Protocol Error Analysis—2021–2023 RC
6. Discussion
6.1. Overview
6.2. Bulk Sampling
6.3. RC Drilling
6.3.1. Introduction
6.3.2. Geological Dilution of Conglomerates by RC Drilling
6.3.3. TOS Errors in RC Drilling
6.3.4. RC Sample Recovery
6.3.5. RC Cyclone Splitting
6.3.6. RC Error Analysis
6.4. Diamond Core Drilling
6.5. Trench Channel Sampling
6.5.1. TOS Errors in Channel Samples
6.5.2. Channel Sampling Bias
6.6. Sample Preparation and Assay Methods
6.7. Nugget Effect
6.8. Representative Mass on a Primary Sample, Composite and Estimation Block Basis
7. Conclusions
- Coarse gold-bearing mineralisation, such as that encountered at Beatons Creek, is challenging to sample effectively. The large gold particle size (>1 mm) and relatively low grades (MIG: 0.5 g/t Au; BCOG: 0.8 g/t Au and ROM: 1.5–2 g/t Au) combine to drive sampling challenges. This is exacerbated by a high geological/in situ nugget effect. Even where the estimation is via geostatistics, with its theoretical and actual advantages, block grades will tend toward the deposit or reef mean grade and estimates will have a high conditional bias [10,11]. As a result, mining to a cut-off grade can be difficult and may result in ore/waste misclassification. In such a case, optimised drilling and sampling protocols are vital but may be impractical. Strong geological control (mapping or dig control) during exploitation is likely to improve the effectiveness of selective mining [10].
- A “best of breed” drilling, sampling and assaying programme to optimise grade and geological definition would be a costly exercise. The resource development programme would include RC drilling at <20 m by 20 m, likely 15 m by 15 m and whole 0.5 m composite assaying via either PA (c. 34× jars) or laboratory-scale gravity processing and tails assay. For grade control, the RC drill spacing would be c. 7.5 m by 7.5 m, with full PA assay or laboratory-scale processing. Close-spaced drilling benefits both grade and geological continuity resolution. RC cuttings should be carefully logged for all programmes. The DO method would be used to screen the samples prior to assay and reduce the load to the laboratory. Diamond core drilling would be integrated into the resource development stage, at a spacing of c. 45 m by 45 m, to provide geological information and material for bulk density determination. The drill spacings will only achieve Indicated Mineral Resources, with the resulting grade control model more local and better suited to selective mining. The inherent geological and grade variability in high-nugget coarse gold deposits precludes the definition of Measured Mineral Resources, even at a close drill spacing [10,57]. On-going geological mapping and control during mining would be critical. The best of breed approach is impractical from cost, time and operational management perspectives and highlights the challenges of evaluating coarse gold-bearing mineralisation. This flags the importance of the Competent Person(s)/Qualified Person(s) in managing project expectations and risk at the resource development and operational stages [10].
- With appropriate data, a theoretical representative primary sample mass can be calculated using a Poisson statistic-based methodology. This incorporates dℓ values associated with a series of critical grades (e.g., MIG, BCOG and ROM), with an output precision of ±20% at 68% reliability (or as deemed appropriate by the practitioner). At Beatons Creek, a value of 2 t was supported by limited field duplicates collected during the bulk-sampling programme.
- Based on duplicate pair analysis, sample precision values range from ±65% (channel, 3 kg LW), ±62% (RC, 3 kg LW), ±52% (RC, 2.5 kg PA), ±38% (RC, 5 kg PA) and ±22% (bulk, pilot plant). The best precision obtained was via bulk samples processed through a pilot plant. Channel sampling was prone to poor precision and high bias due to the over-collection of high-grade conglomerate matrix. The 2020–2021 protocol used the whole 0.5 m composite to form a 5 kg PA sub-sample; however, this was reduced to a 50% rig split and 2.5 kg PA sub-sample to provide cost and time savings. Sensitivity work in a 10 m by 10 m drilled area indicates that this change had a small impact on the block model (within 5% globally).
- A high-quality RC sample provides >30 kg/m. Large splits (>3–5 kg) at the rig are required, potentially taking the entire 17 kg primary sample. The rig split error will generally dominate the total sampling error, though in the case of the 2021–2023 programme, the laboratory split error was dominant (Table 7). The practitioner must consider the relative pros and cons and design an appropriate “rig to assay” protocol, considering the key CSE and ISE. Even when the sample composite is 0.5 m, there is an inherent risk of dilution within a narrow mineralised zone. All efforts must be made to log chippings and undertake mapping to support geological interpretation.
- Whole diamond core sampling, followed by a full or large-sample assay via PA (or SFA or LW or Pulverise-and-Leach), is a valid approach. It effectively yields zero to very low FSE. Arguments against whole core sampling revolve around having no core remaining for reference, although, with modern digital photography, geochemical and spectral sensors and detailed logging this should not be an issue (e.g., the application of Minalyze CS). The PA assay technique is non-destructive; therefore, all (crushed) material can be retained, with the possibility for post-assay metallurgical or geoenvironmental testwork.
- Large mass assays (e.g., >1 kg, LW and PA) are important for coarse gold grade determination. An alternative is to process samples in their entirety via a laboratory-scale unit, though this approach is time-consuming and costly, particularly when large numbers of samples are involved. Such an approach proves more rigorous in the presence of coarse gold, particularly that dominated by >1 mm particles, reducing sampling errors and potentially providing metallurgical data [19,20].
- Heterogeneity tests are well-documented as problematic in the presence of coarse gold, resulting in potentially unreliable results. Multiple PA assays provide a possible source of calibration of unscreened or screened material. This provides at least order-of-magnitude values for the HIL. No α value is calculated, unless a DSA approach is applied [21]. Given certain assumptions, the dℓ values can be back-estimated.
- There are instances where impractical or economically prohibitive protocols will be required to achieve correct sampling. In this case, the sampling strategy should consider the cost–benefit of protocols and work backwards to achieve an outcome that is both reasonable and cost-effective. It is inherent in coarse gold deposits that highly confident levels of resource classification (e.g., Measured and/or Indicated Mineral Resource categories) may not be achievable, even with close-spaced drilling (<10 m) and large-sample processing [57].
- PhotonAssay™ is a significant development in the field of gold analysis [42,43]. It provides fast, automated and non-destructive measurements on large samples. The method is agnostic to material composition and granulometry. No chemicals are used and no waste produced. The sample material does not require pulverising and can be assayed in a crushed form. This provides distinct advantages in terms of time and cost and allows for multiple jars to be determined to achieve a large assay lot.
- Practitioners should not accept so-called “standard” or “best practice” protocols and methodologies for the sampling, preparation and assay of coarse gold mineralisation. The optimisation of a sampling protocol comes from understanding the mineralisation and desired programme outputs. It is not a mathematical process, but a process taking advantage of orebody knowledge and an application of TOS.
- Conduct systematic QC programmes to measure the reliability of each of the sampling, preparation and assaying steps and then optimise the process. QC cannot be divorced from the TOS and is a mandatory step in representative fit-for-purpose sampling. Proper documentation, regular staff training and peer review are required.
- Identification and resolution of individual relative errors across the complete sampling, preparation and analysis stages (total measurement error) can be gained from duplicate sample pairs. The application of the modified FSE equation is a useful tool to investigate the effectiveness of a sampling protocol. It may not represent exact reality, but it provides a focus for the practitioner to review protocol stages and make changes accordingly. Monitoring of the nugget effect provides an ultimate measure of sampling performance, albeit inclusive of geological/in situ effects.
Author Contributions
Funding
Data Availability Statement
Acknowledgments
Conflicts of Interest
Abbreviations
| AE | Analytical error |
| BCOG | Mining breakeven cut-off grade |
| CH | Constitution Heterogeneity |
| CIM | Canadian Institute of Mining, Metallurgy and Petroleum, relating to “the CIM Standard 2014” |
| CSE | Correct sampling errors (FSE + GSE) |
| DE | (Increment) Delimitation error |
| dℓ or dℓclus | Liberation diameter for sampling purposes |
| dℓmax | Maximum observed gold particle size |
| DO | detectORE™ |
| dU | detectORE™ units |
| EE | (Increment) Extraction error |
| FA | Fire assay |
| FSE | Fundamental sampling error |
| GSE | Grouping and segregation error |
| IHL | Intrinsic heterogeneity |
| ICP-MS | Inductively coupled plasma mass spectrometry |
| ISE | Incorrect sampling errors (DE + EE + PE + WE) |
| JORC | Joint Ore Reserves Committee, relating to “the JORC Code 2012” |
| LM5 | Laboratory pulveriser unit (capacity to 3.5 kg) |
| LW | LeachWELL™ assay |
| MIG | Mineralisation indicator grade |
| MRE | Mineral Resource estimate |
| NI 43-101 | National Instrument 43-101 of Canadian Law |
| P80 or P90 | Percent passing (e.g., P90: 90% passing a given screen size) |
| PA | PhotonAssay™ |
| PE | (Increment) Preparation error |
| ROM | Run-of-mine grade |
| RSD | Rotary sample divider (splitter) |
| RSV | Relative sampling variability |
| SFA | Screen fire assay |
| TOS | Theory of Sampling |
| QAQC | Quality assurance/quality control |
| WE | (Increment) Weighting error |
| XRF | X-ray fluorescence |
References
- Gy, P.M. Sampling of Particulate Materials: Theory and Practice; Elsevier: Amsterdam, The Netherlands, 1982; p. 431. [Google Scholar]
- Gy, P.M. Sampling of Heterogeneous and Dynamic Material Systems: Theories of Heterogeneity, Sampling and Homogenizing; Elsevier: Amsterdam, The Netherlands, 1992; p. 653. [Google Scholar]
- Dominy, S.C. Importance of good sampling practice throughout the gold mine value chain. Min. Technol. 2016, 125, 129–141. [Google Scholar] [CrossRef]
- Minnitt, R.C.A. Sampling: The impact on costs and decision making. J. South. Afr. Inst. Min. Metall. 2007, 107, 451–462. Available online: https://journals.co.za/doi/pdf/10.10520/AJA0038223X_3284 (accessed on 9 February 2024).
- Pitard, F.F. Theory of Sampling and Sampling Practice; CRC Press: Boca Raton, FL, USA, 2019; p. 694. [Google Scholar]
- Esbensen, K.H. Introduction to the Theory and Practice of Sampling; IM Publications: Chichester, UK, 2020; p. 328. [Google Scholar]
- JORC. Australasian Code for Reporting of Exploration Results, Mineral Resources and Ore Reserves—The JORC Code; Joint Ore Reserves Committee of the Australasian Institute of Mining and Metallurgy, Australian Institute of Geoscientists and Minerals Council of Australia: Melbourne, Australia, 2012; p. 44. Available online: https://www.jorc.org/docs/JORC_code_2012.pdf (accessed on 9 February 2024).
- Dominy, S.C.; Platten, I.M. Clustering of gold particles and implications for sampling. Appl. Earth Sci. 2007, 116, 130–142. [Google Scholar] [CrossRef]
- Dominy, S.C.; Xie, Y.; Platten, I.M. Gold particle characteristics in vein deposits: Implications for evaluation and metallurgy. In Proceedings of the Narrow Vein Mining Conference, Ballarat, Australia, 14–15 October 2008; Australasian Institute of Mining and Metallurgy: Melbourne, Australia, 2008; pp. 91–104. [Google Scholar]
- Dominy, S.C. Predicting the unpredictable—Evaluating high-nugget effect gold deposits. In Mineral Resource and Mineralization Reserve Estimation—The AusIMM Guide to Good Practice, Monograph 23; Australasian Institute of Mining and Metallurgy: Melbourne, Australia, 2014; pp. 659–678. [Google Scholar]
- François-Bongarçon, D.M. Theory of sampling and geostatistics: An intimate link. Chemom. Intell. Lab. Syst. 2004, 74, 143–148. [Google Scholar] [CrossRef]
- Pitard, F.F. The in-situ nugget effect: A major component of the random term of a variogram. In Proceedings of the World Conference on Sampling and Blending, Brisbane, Australia, 23–25 October 2007; Fundacao Luis Englert: Porto Alegre, Brazil, 2007; pp. 91–110. [Google Scholar]
- Pitard, F.F.; Lyman, G.F. Single and multi-stage Poisson processes: A case study for gold exploration. In Proceedings of the World Conference on Sampling and Blending, Lima, Peru, 19–22 November 2013; Gecamin: Santiago, Chile, 2013; pp. 371–385. [Google Scholar]
- Dominy, S.C.; Petersen, J.S. Sampling coarse gold-bearing mineralization—Developing effective protocols and a case study from the Nalunaq mine, southern Greenland. In Proceedings of the Second World Conference on Sampling and Blending, Sunshine Coast, Australia, 10–12 May 2005; Australasian Institute of Mining and Metallurgy: Melbourne, Australia, 2005; pp. 151–165. [Google Scholar]
- Dominy, S.C. Sampling coarse gold-bearing mineralization—Developing effective protocols and a case study from Ballarat, Australia. In Proceedings of the Eighth World Conference on Sampling and Blending, Perth, Australia, 9–11 May 2017; Australasian Institute of Mining and Metallurgy: Melbourne, Australia, 2017; pp. 71–84. [Google Scholar]
- Minnitt, R.C.A. The Grouping and Segregation error in the rice experiment. Minerals 2022, 12, 335. [Google Scholar] [CrossRef]
- Minnitt, R.C.A.; Dominy, S.C.; Esbensen, K.H. Mixing is a double-edged sword: The grouping and segregation error on the assayer’s bench. Spectrosc. Eur. 2022, 34, 30–39. Available online: https://www.spectroscopyeurope.com/system/files/pdf/Sampling-34-1-w.pdf (accessed on 9 February 2024). [CrossRef]
- Cintra, E.C.; Scabora, J.A.; Viegas, E.P.; Barata, R.; Maia, G.F. Coarse gold sampling at Sao Francisco Mine, Brazil. In Proceedings of the World Conference on Sampling and Blending, Brisbane, Australia, 23–25 October 2007; Fundacao Luis Englert: Porto Alegre, Brazil, 2007; pp. 187–197. [Google Scholar]
- Dominy, S.C.; O’Connor, L.; Glass, H.J.; Xie, Y. Geometallurgical study of a gravity recoverable gold orebody. Minerals 2018, 8, 186. [Google Scholar] [CrossRef]
- Johansen, G.F.; Dominy, S.C. Development of sampling protocols at the Bendigo gold project, Australia. In Proceedings of the World Conference on Sampling and Blending, Sunshine Coast, Australia, 10–12 May 2005; Australasian Institute of Mining and Metallurgy: Melbourne, Australia, 2005; pp. 175–183. [Google Scholar]
- Chieregati, A.C.; Prado, G.C.; Fernandes, F.L.; Villanova, F.L.S.P.; Dominy, S.C. A comparison between the standard heterogeneity test and the simplified segregation free analysis for sampling protocol optimization. Minerals 2023, 13, 680. [Google Scholar] [CrossRef]
- Dominy, S.C.; Xie, Y. Optimising sampling protocols via the heterogeneity test: Challenges in coarse gold. Min. Technol. 2016, 125, 103–113. [Google Scholar] [CrossRef]
- Pitard, F.F. The advantages and pitfalls of conventional heterogeneity tests and a suggested alternative. TOS Forum 2015, 5, 13–18. [Google Scholar] [CrossRef]
- Villanova, F.L.S.P.; Heberle, A.; Chieregati, A.C. Heterogeneity tests and core logging—A final reconciliation. In Proceedings of the World Conference on Sampling and Blending, Perth, Australia, 9–11 May 2017; Australasian Institute of Mining and Metallurgy: Melbourne, Australia, 2017; pp. 107–113. [Google Scholar]
- Pitard, F.F. Pierre Gy’s Sampling Theory and Sampling Practice; CRC Press: Boca Raton, FL, USA, 1993; p. 488. [Google Scholar]
- François-Bongarçon, D.M.; Gy, P.M. The most common error in applying Gy’s formula in the theory of mineral sampling and the history of the Liberation factor. J. South. Afr. Inst. Min. Metall. 2002, 102, 475–479. Available online: https://www.saimm.co.za/Journal/v102n08p475.pdf (accessed on 9 February 2024).
- NI 43-101; National Instrument 43-101 Standards of Disclosure for Mineral Projects. Ontario Securities Commission: Montreal, Canada, 2011; p. 44. Available online: https://mrmr.cim.org/media/1017/national-instrument-43-101.pdf (accessed on 9 February 2024).
- Dominy, S.C.; Graham, J.C.; Ison, J.; McAuslane, R. Mineral Resource Update: Beatons Creek Gold Project, Nullagine, Western Australia; NI 43-101 Technical Report; Novo Resources Corp.: Vancouver, BC, Canada, 2022; Available online: https://novoresources.com/wp-content/uploads/2022/11/221028_NVO_BeatonsMRE_NR_FINAL_Nov-2-22.pdf (accessed on 9 February 2024).
- Dominy, S.C.; Graham, J.C. Mineral Resource Update: Beatons Creek Gold Project, Nullagine, Western Australia; NI 43-101 Technical Report; Novo Resources Corp.: Vancouver, BC, Canada, 2023; p. 236. [Google Scholar]
- Dominy, S.C.; van Roij, A.; Graham, J.C. Sampling of high-nugget conglomerates from the Western Australian Pilbara: Bulk sampling at the Beatons Creek gold project, Nullagine. TOS Forum 2022, 11, 255–277. [Google Scholar] [CrossRef]
- Dominy, S.C.; Hennigh, Q.T. NI 43-101 Technical Report: Mineral Resource Update, Beatons Creek Conglomerate Gold Project, Pilbara Region, Western Australia; NI 43-101 Report; Novo Resources Corp.: Vancouver, BC, Canada, 2019; p. 134. Available online: https://www.sedarplus.ca/csa-party/records/profile.html?id=e282f6bdbe8f2e0d9570718b0e194f4c (accessed on 9 February 2024).
- Blake, T.S. Cyclic continental mafic tuff and flood basalt volcanism in the Late Archaean Nullagine and Mount Jape Super sequences in the eastern Pilbara, Western Australia. Precambrian Res. 2001, 107, 139–177. [Google Scholar] [CrossRef]
- Gough, P.C. A Petrographic Study and Genesis Model of the Auriferous Conglomerates at Beatons Creek, Nullagine, WA. Master’s Thesis, Camborne School of Mines, Penryn, UK, 2014; p. 95. [Google Scholar]
- Galindo, S.; Monecke, T.; Kocher, S.; Westman, E. Update on Gold Conglomerates at Beatons Creek, Australia; Unpublished PowerPoint presentation on research by the Colorado School of Mines to Novo Resources Corp.; Colorado School of Mines: Golden, CO, USA, 2023; p. 21. [Google Scholar]
- Laplante, A.R.; Spiller, D.E. Bench-scale and pilot plant test work for gravity concentration circuit design. In Proceedings of the Mineral Processing Plant Design, Practice and Control, Vancouver, BC, Canada, 20–24 October 2002; Society for Mining, Metallurgy and Exploration: Littleton, CO, USA, 2002; pp. 160–175. [Google Scholar]
- Dominy, S.C.; Annels, A.E.; Royle, A.G. The Sampling of Gold Deposits; Unpublished Final Research Report for the BRITE-EURAM MIDAS Sub-Project 0013; University of Greenwich: London, UK, 1997; p. 150. [Google Scholar]
- Pitard, F.F. Blasthole sampling for grade control—The many problems and solutions. In Proceedings of the Sampling Conference, Perth, Australia, 27–29 May 2008; Australasian Institute of Mining and Metallurgy: Melbourne, Australia, 2008; pp. 15–21. [Google Scholar]
- Dominy, S.C.; Graham, J.C. Beatons Creek Gold Project, Grade Control Programme—Stage 1 Sensitivity and Optimization: Analysis and Recommendations; Unpublished Report by Novo Resources Corp.; Novo Resources Corp.: Vancouver, BC, Canada, 2021; p. 120. [Google Scholar]
- Morris, P.; Sheppard, S.E.; Meriaud, N. Portable X-ray fluorescence (pXRF) detectORE™ analysis for Au in soils from the Archean Pilbara craton, Western Australia. Explore 2023, 200, 1–17. Available online: https://www.appliedgeochemists.org/sites/default/files/documents/Explore%20issues/EXPLORE200-September2023.pdf (accessed on 9 February 2024).
- Novo. DetectORE™ Implementation—Reducing Grade Control Cost and Improving Turnaround Time; Unpublished PowerPoint presentation by Novo Resources Corp. and Portable PPB Pty Ltd.; Novo Resources Corp.: Vancouver, BC, Canada; Portable PPB Pty Ltd.: Perth, Australia, 2022; p. 21. [Google Scholar]
- Artursson, M.; Tod, A.; Dellar, E.; Lundstrom, A. Digitalizing the mining industry—3D scanning of core trays to produce volumetric bulk densities. In Proceedings of the Third Australasian Exploration Geosciences Conference: Geosciences for a Sustainable World, Brisbane, Australia, 15–20 September 2021; Australian Society of Exploration Geophysics: Sydney, Australia, 2021; pp. 1–5. Available online: https://zenodo.org/records/7687166 (accessed on 9 February 2024).
- Tremblay, C.D.; Tickner, J.; Treasure, D.; Oteri, A.; Wheeler, G. PhotonAssay—Efficient and bulk gold analysis in the modern world. In Proceedings of the International Mining Geology Conference, Perth, Australia, 25–26 November 2019; Australasian Institute of Mining and Metallurgy: Melbourne, Australia, 2019; pp. 88–98. [Google Scholar]
- Dominy, S.C.; Graham, J.C.; Esbensen, K.H.; Purevgerel, S. Application of PhotonAssay to coarse-gold mineralization—The importance of rig to assay optimization. Sampl. Sci. Technol. 2024, 1, 2–30. [Google Scholar] [CrossRef]
- CIM. Definition Standards for Mineral Resources and Mineral Reserves; CIM: Montreal, QC, Canada, 2014; p. 9. Available online: https://mrmr.cim.org/media/1128/cim-definition-standards_2014.pdf (accessed on 9 February 2024).
- Pitard, F.F. Guidelines for acceptable allotted sampling uncertainty. In Proceedings of the World Conference on Sampling and Blending, Lima, Peru, 19–22 November 2013; Gecamin: Santiago, Chile, 2013; pp. 89–98. [Google Scholar]
- Stanley, C.R.; Lawrie, D. Average relative error in geochemical determinations: Clarification, calculation and plea for consistency. Explor. Min. Geol. 2007, 16, 265–274. [Google Scholar] [CrossRef]
- Abzalov, M. Quality control of assay data: A review of procedures for measuring and monitoring precision and accuracy. Explor. Min. Geol. 2008, 17, 131–144. [Google Scholar] [CrossRef]
- Dominy, S.C.; Purevgerel, S.; Esbensen, K.H. Quality and sampling error quantification for gold mineral resource estimation. Spectrosc. Eur. 2020, 32, 21–27. Available online: https://www.spectroscopyeurope.com/system/files/pdf/Sampling-32-6.pdf (accessed on 9 February 2024). [CrossRef]
- Dominy, S.C.; Glass, H.J.; Purevgerel, S. Sampling for resource evaluation and grade control in an underground gold operation: A case of compromise. TOS Forum 2022, 11, 375–396. [Google Scholar] [CrossRef]
- Chieregati, A.C.; El Hajj, T.M.; Imoto, C.F.; Pignatari, L.E.C. Validation of reverse circulation drilling for reconciliation purposes. TOS Forum 2015, 5, 105–110. [Google Scholar] [CrossRef]
- Dominy, S.C.; Glass, H.J.; Lam, C.K.; O’Connor, L.; Purevgerel, S.; Minnitt, R.C.A. Integrating the Theory of Sampling into underground grade control strategies. Minerals 2018, 8, 232. [Google Scholar] [CrossRef]
- Royle, A.G. Splitting gold assay pulps containing coarse gold. J. Leeds Univ. Min. Assoc. 1989, 89, 63–68. [Google Scholar]
- Lyman, G.J.; Robertson, I.G.; Day, T. The simple facts about sampling gold ores. In Proceedings of the Mill Operators Conference, Kalgoorlie, Australia, 15–16 November 2016; Australasian Institute of Mining and Metallurgy: Melbourne, Australia, 2016; pp. 159–172. [Google Scholar]
- Pitard, F.F. From errors to uncertainty—A clarification for proper use by the Theory of Sampling. In Proceedings of the World Conference on Sampling and Blending, Perth, Australia, 9–11 May 2017; Australasian Institute of Mining and Metallurgy: Melbourne, Australia, 2017; pp. 355–358. [Google Scholar]
- Villanova, F.L.S.P.; Chieregati, A.C. The use of equant grain particles to validate analytical sample size in gold deposits—A case study. Chemom. Intell. Lab. Syst. 2018, 181, 36–44. [Google Scholar] [CrossRef]
- Dominy, S.C.; Murphy, B.; Gray, A.H. Characterization of gravity amenable gold ores—Sample representativity and determination methods. In Proceedings of the International Geometallurgy Conference, Brisbane, Australia, 5–7 September 2011; Australasian Institute of Mining and Metallurgy: Melbourne, Australia, 2011; pp. 281–292. [Google Scholar]
- Dominy, S.C.; Edgar, W.B. Approaches to reporting grade uncertainty in high nugget gold veins. Appl. Earth Sci. 2012, 121, 29–42. [Google Scholar] [CrossRef]











| Type | Mineralisation | Material Size | Sample Support | Gold Particle Size Range | Gold Clustering |
|---|---|---|---|---|---|
| Outcrop | Oxide and fresh | Pit walls | n/a | 0.25 mm to 5 mm | Not recorded |
| Rock specimens | Oxide and fresh | <1 m | n/a | 0.25 mm to 5 mm | Observed to c. 500 mm3 |
| Bulk sample gravity concentrate | Oxide | P80 750 µm | 2 t (primary mass) | <100 µm to 2 mm | Destroyed by pilot process |
| Drill core | Fresh | PQ core | c. 20 kg (1 m comps) | 0.25 mm to 7 mm | Observed to c. 500 mm3 |
| RC cuttings | Oxide and fresh | P80 4 mm | c. 17 or 34 kg (0.5 or 1 m comps) | <100 µm to 4 mm | Mostly destroyed by drilling |
| RC crushed | Oxide and fresh | P80 2 mm | 5 kg | <100 µm to 3 mm | Mostly destroyed by crushing |
| Pulp | Oxide and fresh | P90 75 µm | 3 kg | <100 µm to 1.5 mm | Destroyed by pulverisation |
| Grade (g/t Au) | No. PA Jars | Mean PA Jar Weight (g) | Tot. Assayed (kg) | RSV PA Jar Grades | Range PA Jar Grades (g/t Au) | Calc. IHL (g) | Calc. dℓ (µm) | Obs. dℓmax (µm) | Est. dℓ (µm) |
|---|---|---|---|---|---|---|---|---|---|
| 0.2 (LG) | 42 | 514 | 21.6 | 76% | 0.02–0.83 | 3000 | 350–550 | <250–500 | <175–350 |
| 0.5 (MIG) | 50 | 531 | 26.5 | 91% | 0.19–2.96 | 5400 | 800–1000 | 500–1200 | 350–840 |
| 1.1 (ROM[1]) | 40 | 504 | 20.2 | 75% | 0.13–7.63 | 8600 | 1500–1700 | 500–2000 | 350–1400 |
| 1.6 ROM[2] | 52 | 512 | 26.6 | 117% | 0.26–10.81 | 8800 | 1800–2000 | 1000–2500 | 700–1750 |
| 3.1 HG | 48 | 508 | 24.4 | 235% | 0.32–36.61 | 31,000 | 4500–4900 | 1500–5000 | 1125–3500 |
| Protocol Period | Protocol | Total FSE for MIG (%) | Total FSE for ROM (%) |
|---|---|---|---|
| Pre-2011 RC | 1 m composites (34 kg); rig split 3 kg; crush, then pulverise; split for assay for FA 30 g or SFA 1 kg or LW 1 kg | ±83–166–332 [FA] ±52–104–208 [LW/SFA] | ±48–96–192 [FA] ±30–60–120 [LW/SFA] |
| 2011–2012 RC | 1 m composites (34 kg); rig split c. 10 kg; crush, then split 3 kg and pulverise; split 1 kg for LW | ±41–83–165 | ±24–48–95 |
| 2013–2017 RC | RC: 1 m composites (34 kg); rig split c. 15 kg or CH: 50 kg; crush, then split 9 kg and pulverise; split 3 kg for LW | ±23–47–93 [RC] ±21–41–82 [CH] | ±15–28–57 [RC] ±12–24–47 [CH] |
| 2018 channel | c. 50 kg crush and pulverise in total; split 3 kg for LW | ±6–12–25 | ±4–7–15 |
| 2018 and 2022 core (Met. protocol) | 1 m composites (c. 20 kg); crush, then split 10 kg for PA | ±12–23–46 | ±7–13–27 |
| 2020–2021 RC | 0.5 m composites (17 kg); rig take A and B bags; crush, then split 5 kg for PA | ±25–49–99 | ±14–29–57 |
| 2021–2023 RC | 0.5 m composites (17 kg); rig split, take A or B bag (8.5 kg); crush, then split 2.5 kg for PA | ±42–83–166 | ±24–48–96 |
| RSV | Field RSV | Laboratory RSV | Pulp RSV |
|---|---|---|---|
| Sample split | c. 50 kg | 50 kg to 3 kg | 3 kg |
| Total RSV | ±65% | ±44% | ±25% |
| Stage RSV | ±48% | ±37% | ±25% |
| Relative proportion | 54% | 32% | 14% |
| No. of pairs | 110 | 85 | 85 |
| RSV | Field (Rig) RSV | Laboratory RSV | Pulp RSV |
|---|---|---|---|
| Sample split | c. 34 kg to 15 kg | 15 kg to 9 kg | 9 kg to 3 kg |
| Total RSV | ±62% | ±40% | ±23% |
| Stage RSV | ±47% | ±33% | ±23% |
| Relative proportion | 58% | 28% | 14% |
| No. of pairs | 430 | 175 | 1050 |
| RSV | Field (Rig) RSV | Laboratory RSV | Assay RSV |
|---|---|---|---|
| Sample split | Full field c. 17 kg | 17 kg to 5 kg | 5 kg |
| Total RSV | ±0% | ±38% | ±6% |
| Stage RSV | ±0% | ±38% | ±6% |
| Relative proportion | 0% | 98% | 2% |
| No. of pairs | - | 555 | 200 |
| RSV | Field (Rig) RSV | Laboratory RSV | Assay RSV |
|---|---|---|---|
| Sample split | c. 17 kg to 8.5 kg | 8.5 kg to 2.5 kg | 2.5 kg |
| Total RSV | ±52% | ±42% | ±8% |
| Stage RSV | ±31% | ±41% | ±8% |
| Relative proportion | 35% | 63% | 2% |
| No. of pairs | 4455 | 5873 | 5658 |
| Sample Type | Sample Support | Location/Mineralisation Type | #Samples in 2023 MRE | Principal Assay Route | Application |
|---|---|---|---|---|---|
| Bulk | c. 2.3 t | Surface/oxide | 51 | Pilot plant | Metallurgical testwork and MRE |
| Channel | 40–65 kg | Surface/oxide | 57 | LW3000 | MRE |
| RC | 17–34 kg (0.5 m & 1 m comps) | Depth/oxide and fresh | 34,807 | FA30; SFA500–1000; LW1000 PA2500 or 5000 | MRE and grade control |
| Diamond core (HQ and PQ) | HQ: 8–14 kg PQ: 9–16 kg (c. 1 m comps) | Depth/oxide and fresh | 507 | Half core LW1000 MET whole core PA10000 | Metallurgical testwork and MRE |
| MRE Date | Dominant Drill Spacing | Prop. of RC Holes | M1 Reef Nugget | M2 Reef Nugget | Golden Crown (All Reefs) |
|---|---|---|---|---|---|
| 2015 | >20 by 20 m | 72% | 75% | - | |
| 2019 | >20 by 20 m | 64% | 61% | 60% | 56%–60% |
| 2022 | ≤20 by 20 m | 96% | 41% | 53% | 35%–63% |
| 2023 | ≤20 by 20 m | 97% | 54% | 65% | 37%–75% |
| Scenario/Source | #PA Jars | PA Mass | M1 Reef Nugget | M2 Reef Nugget | ||
|---|---|---|---|---|---|---|
| 0.5 m | 1 m | 0.5 m | 1 m | |||
| 1. A and B bags | 10 | 5 kg | 71% | 67% | 53% | 50% |
| 2. A bag | 5 | 2.5 kg | 70% | 65% | 53% | 43% |
| 3. B bag | 5 | 2.5 kg | 65% | 60% | 53% | 58% |
| 4. Random 2× PA jars from A and B each | 4 | 2 kg | 74% | 69% | 58% | 53% |
| 5. Random 1× PA jar from A and B each | 2 | 1 kg | 80% | 60% | 62% | 47% |
Disclaimer/Publisher’s Note: The statements, opinions and data contained in all publications are solely those of the individual author(s) and contributor(s) and not of MDPI and/or the editor(s). MDPI and/or the editor(s) disclaim responsibility for any injury to people or property resulting from any ideas, methods, instructions or products referred to in the content. |
© 2024 by the authors. Licensee MDPI, Basel, Switzerland. This article is an open access article distributed under the terms and conditions of the Creative Commons Attribution (CC BY) license (https://creativecommons.org/licenses/by/4.0/).
Share and Cite
Dominy, S.C.; Graham, J.C.; Glacken, I.M. Evaluation of Coarse Gold-Bearing Conglomerate Mineralisation at Beatons Creek, Pilbara, Western Australia: Sampling for Resource Development and Grade Control. Minerals 2024, 14, 337. https://doi.org/10.3390/min14040337
Dominy SC, Graham JC, Glacken IM. Evaluation of Coarse Gold-Bearing Conglomerate Mineralisation at Beatons Creek, Pilbara, Western Australia: Sampling for Resource Development and Grade Control. Minerals. 2024; 14(4):337. https://doi.org/10.3390/min14040337
Chicago/Turabian StyleDominy, Simon C., Janice C. Graham, and Ian M. Glacken. 2024. "Evaluation of Coarse Gold-Bearing Conglomerate Mineralisation at Beatons Creek, Pilbara, Western Australia: Sampling for Resource Development and Grade Control" Minerals 14, no. 4: 337. https://doi.org/10.3390/min14040337
APA StyleDominy, S. C., Graham, J. C., & Glacken, I. M. (2024). Evaluation of Coarse Gold-Bearing Conglomerate Mineralisation at Beatons Creek, Pilbara, Western Australia: Sampling for Resource Development and Grade Control. Minerals, 14(4), 337. https://doi.org/10.3390/min14040337

