Control of Seepage Characteristics in Loose Sandstone Heap Leaching with Staged Particle Sieving-Out Method
Abstract
1. Introduction
2. Methodology
2.1. Introduction to Heap Leaching
2.2. Experimental Materials and Plan
3. Seepage Characteristics Analysis
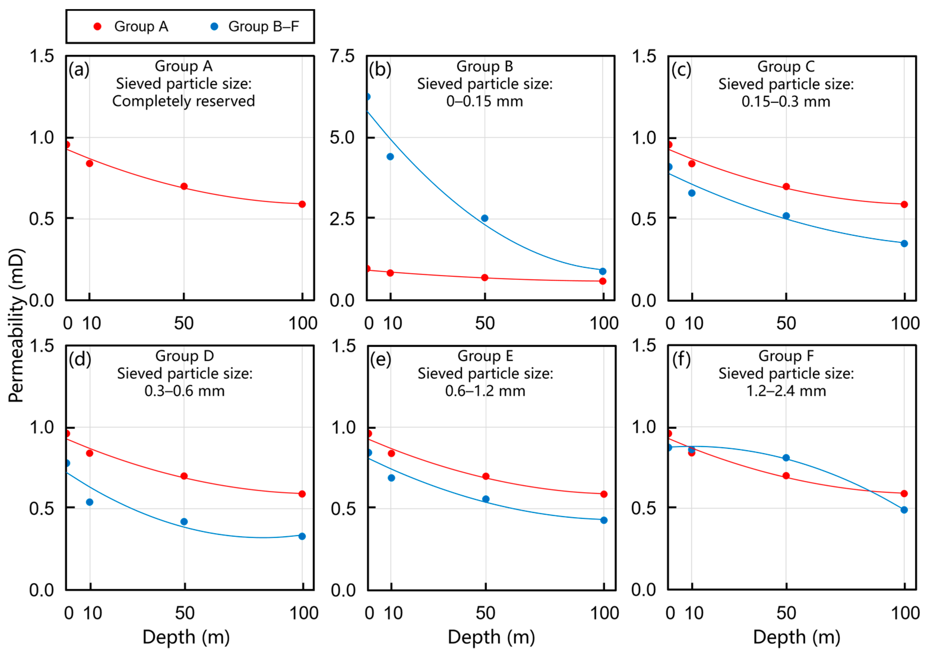
3.1. Permeability Characteristics Analysis
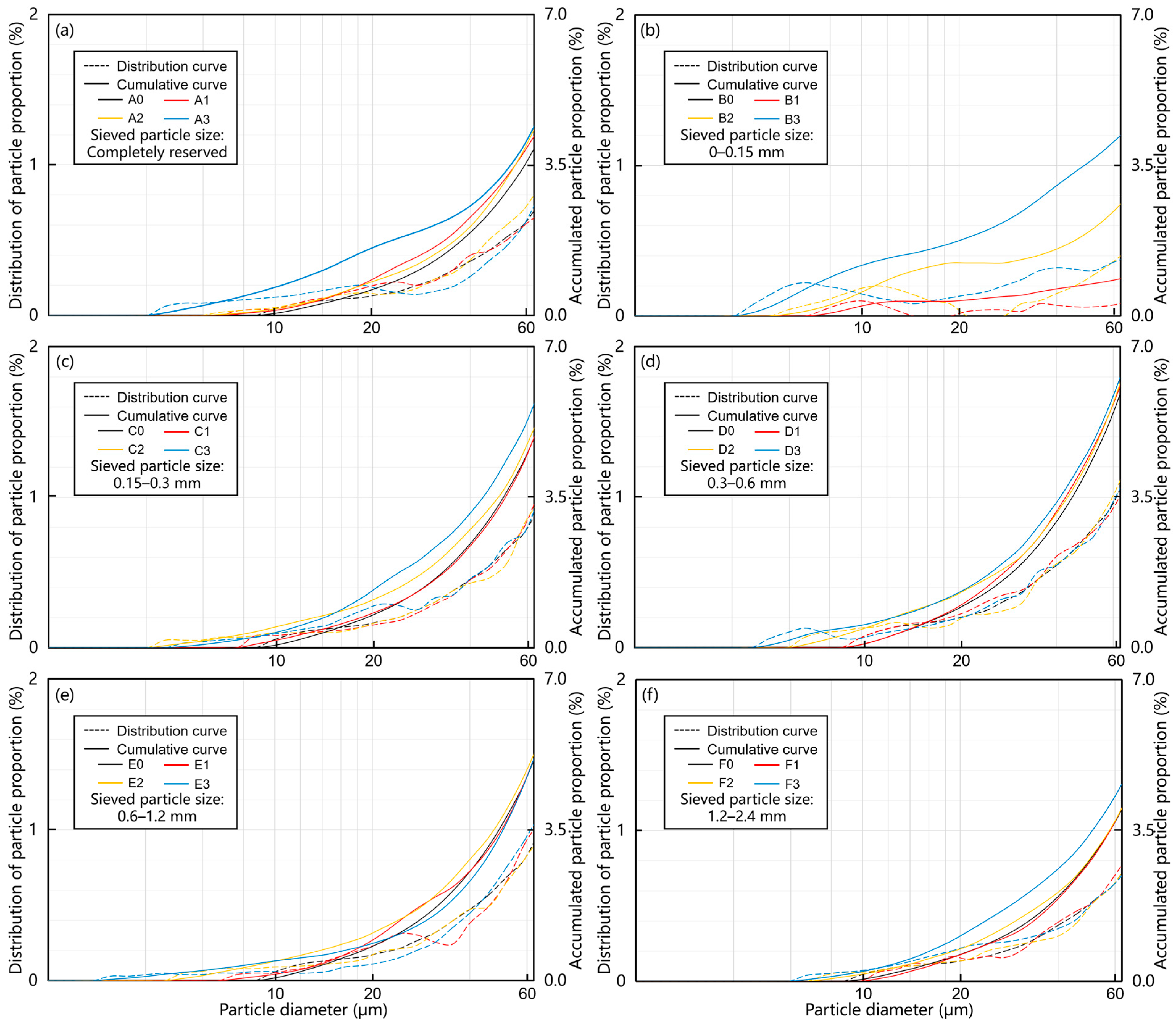
3.2. Analysis of the Particle and Pore Distribution Characteristics
3.3. Analysis of the Influence Patterns
3.4. Correlation Analysis
4. Analysis of the Influence Mechanisms and Optimal Piling Methods
4.1. Analysis of the Particle and Pore Variation Characteristics
4.2. Comprehensive Analysis of Influence Mechanisms
4.3. Analysis of the Optimal Piling Methods
5. Conclusions
- Segmenting the sieving of particles out of loose sandstone can alter its particle size distribution, adjust its pore distribution, and, consequently, influence its seepage characteristics.
- With the increase in burial depth, large particles are fractured, and particles in the sieved-out particle size segment will be generated, with large particles fractured. Especially after particles in the 0–0.15 mm segment are sieved out, a large number of new particles are generated, which makes the permeability rapidly decrease.
- The quantity of particles smaller than 63 microns determines the frequency of particle clogging, while the quantity of pores larger than 0.1 microns determines the proportion of effective seepage pores in the rock sample, both of which are highly correlated with the permeability.
- The mechanism by which particle size controls the seepage characteristics of loose sandstone is as follows: Sieving out particles in the 0–0.15 mm range resolves the issue of free particle clogging and increases the proportion of effective seepage pores, resulting in higher permeability. However, as the burial depth increases, pores collapse rapidly, particles disintegrate, and permeability decreases sharply. Sieving out particles in the 0.15–1.2 mm range reduces the proportion of effective seepage pores. As the burial depth increases, the higher-level sieved-out particles further disintegrate due to a lack of support, leading to pore collapse, causing the permeability of this type of rock sample to always be lower than that of natural rock samples, with the gap gradually widening. Sieving out particles in the 1.2–2.4 mm range reduces the overall particle size of the rock sample, making its structure more stable than that of natural rock samples. When the burial depth is not deep, the rock sample hardly undergoes particle disintegration. However, with increasing burial depth, rock sample particles cannot withstand high ground pressure and disintegrate, resulting in a relatively high permeability at shallow to moderate depths, although the permeability significantly decreases with increasing burial depth.
- Based on the permeability requirements for field production in this study, the following approach can be adopted: For the surface and shallow layers of the heap, use the natural ore rock as it is. For the middle layers of the heap, mineral rocks with 1.2–2.4 mm particles should be sieved out. For the deep layers of the heap, mineral rocks with 0–0.15 mm particles should be sieved out.
Author Contributions
Funding
Data Availability Statement
Conflicts of Interest
References
- Sánchez-Chacón, A.E.; Lapidus, G.T. Model for heap leaching of gold ores by cyanidation. Hydrometallurgy 1997, 44, 1–20. [Google Scholar] [CrossRef]
- Bartlett, R.W. Metal extraction from ores by heap leaching. Metall. Mater. Trans. B 1997, 28, 529–545. [Google Scholar] [CrossRef]
- Manning, T.J.; Kappes, D.W. Chapter 25-heap leaching of gold and silver ores. In Gold Ore Processing, 2nd ed.; Adams, M.D., Ed.; Elsevier: Amsterdam, The Netherlands, 2016; pp. 413–428. [Google Scholar]
- Thenepalli, T.; Chilakala, R.; Habte, L.; Tuan, L.Q.; Kim, C.S. A brief note on the heap leaching technologies for the recovery of valuable metals. Sustainability 2019, 11, 3347. [Google Scholar] [CrossRef]
- Clifford, D. Stacking systems in heap leaching. Min. Mag. 1996, 8, 175–178. [Google Scholar]
- Ghorbani, Y.; Becker, M.; Mainza, A.; Franzidis, J.P.; Petersen, J. Large particle effects in chemical/biochemical heap leach processes—A review. Miner. Eng. 2011, 24, 1172–1184. [Google Scholar] [CrossRef]
- Bouffard, S.C. Review of agglomeration practice and fundamentals in heap leaching. Miner. Process Extr. Metall. Rev. 2005, 26, 233–294. [Google Scholar] [CrossRef]
- Lewandowski, K.A.; Kawatra, S.K. Binders for heap leaching agglomeration. MINER. Metall. Proc. 2009, 26, 1–24. [Google Scholar] [CrossRef]
- Jia, M.T.; Jiang, Q.; Xu, Q.; Su, X.B. Influence of hydraulic conditions on seepage characteristics of loose sandstone. Lithosphere 2024, 275, 1–19. [Google Scholar] [CrossRef]
- Jiang, Q.; Jia, M.T.; Yang, Y.H.; Xu, Q.; Zhang, C.F.; Zhang, X.X.; Chen, M.F. Influence of burial conditions on the seepage characteristics of uranium bearing loose sandstone. Nucl. Eng. Technol. 2024, 56, 1357–1371. [Google Scholar] [CrossRef]
- Beisekeyev, Y.S.; Yazikov, E.G.; Vorontsov, P.Y.; Duysebayeva, T.S. Optimization of leaching mode in hydrogenic uranium deposits with high permeability sand benchmark. Bull. Tomsk Polytech. Univ.-Geo Assets Eng. 2023, 334, 34–42. [Google Scholar]
- Ladola, Y.S.; Chowdhury, S.; Roy, S.B.; Pandit, A.B. Application of cavitation in uranium leaching. Desalin. Water Treat. 2014, 52, 407–414. [Google Scholar] [CrossRef]
- Liu, Y.X.; He, Y.; Chen, J.L.; Cheng, N.; Wang, H. Progress on enhancing seepage-leaching mass-transfer research for in-situ leaching mining of low-permeability uranium-bearing sandstone: A review. J. Radioanal. Nucl. Chem. 2024, 333, 4485–4502. [Google Scholar] [CrossRef]
- Amiri, H.; Hamouda, A.A. Evaluation of level set and phase field methods in modeling two phase flow with viscosity contrast through dual-permeability porous medium. Int. J. Multiph. Flow 2013, 52, 22–34. [Google Scholar] [CrossRef]
- Chao, Z.M.; Ma, G.T.; He, K.; Wang, M. Investigating low-permeability sandstone based on physical experiments and predictive modeling. Undergr. Space 2021, 6, 364–378. [Google Scholar] [CrossRef]
- Li, J.; Li, X.; Song, M.; Liu, H.; Feng, Y.; Liu, C. Investigating microscopic seepage characteristics and fracture effectiveness of tight sandstones: A digital core approach. Pet. Sci. 2021, 18, 173–182. [Google Scholar] [CrossRef]
- Akinlotan, O. Porosity and permeability of the english (lower cretaceous) sandstones. Proc. Geol. Assoc. 2016, 127, 681–690. [Google Scholar] [CrossRef]
- Jeannin, L.; Bignonnet, F.; Agostini, F.; Wang, Y. Stress effects on the relative permeabilities of tight sandstones. C. R. Geosci. 2018, 350, 110–118. [Google Scholar] [CrossRef]
- Liu, Q.; Cui, X.; Zhang, C.; Huang, S. Experimental investigation of suspended particles transport through porous media: Particle and grain size effect. Environ. Technol. 2015, 37, 854–864. [Google Scholar] [CrossRef]
- Yan, M.; Deng, J.; Yu, B.; Li, M.; Zhang, B.; Xiao, Q.; Tian, D. Comparative study on sanding characteristics between weakly consolidated sandstones and unconsolidated sandstones. J. Nat. Gas Sci. Eng. 2020, 76, 103183. [Google Scholar] [CrossRef]
- Li, H.Y.; Ma, L.J.; Yang, C.; Sima, Y.; Liu, J.; Li, Y.Z. Experimental investigation on the damage and deterioration of sandstone subjected to cycling pore water pressure. Bull. Eng. Geol. Environ. 2023, 82, 107. [Google Scholar] [CrossRef]
- Li, Y.Z.; Wu, Y.; Qiao, W.G.; Zhang, S.; Li, X.A. The permeability evolution of sandstones with different pore structures under high confining pressures, high pore water pressures and high temperatures. Appl. Sci. 2023, 13, 1771. [Google Scholar] [CrossRef]
- Liu, X.S.; Xu, M.; Wang, K. Mechanism of permeability evolution for reservoir sandstone with different physical properties. Geofluids 2018, 2018, 5327895. [Google Scholar] [CrossRef]
- Jianhua, H.; Quan, J.; Qifan, R.; Xiaotian, D. Cross scale correlation characteristics of pore structure and meso parameters of filling body. Chin. J. Nonferrous Met. 2018, 28, 2154–2163. [Google Scholar]
- ISO. Geotechnical Investigation and Testing—Identification and Classification of Soil—Part 1: Identification and Description; ISO: Geneva, Switzerland, 2017. [Google Scholar]
- Yiotis, A.G.; Karadimitriou, N.K.; Zarikos, I.; Steeb, H. Pore-scale effects during the transition from capillary- to viscosity-dominated flow dynamics within microfluidic porous-like domains. Sci. Rep. 2021, 11, 3891. [Google Scholar] [CrossRef]

















| (a) Sieved-out particle size segmentation and grouping (mm) | ||||||
| Group | A | B | C | D | E | F |
| Sieved-out particle size | - | 0–0.15 | 0.15–0.3 | 0.3–0.6 | 0.6–1.2 | 1.2–2.4 |
| (b) Sample particle mass of each particle size segment (g) | ||||||
| 0–0.15 mm | 28.75 | Sieved out | 35.36 | 44.93 | 38.12 | 30.01 |
| 0.15–0.3 mm | 32.55 | 38.99 | Sieved out | 50.87 | 43.16 | 33.98 |
| 0.3–0.6 mm | 62.70 | 75.10 | 77.12 | Sieved out | 83.13 | 65.45 |
| 0.6–1.2 mm | 42.79 | 51.25 | 52.63 | 66.87 | Sieved out | 44.66 |
| 1.2–2.4 mm | 7.32 | 8.77 | 9.00 | 11.44 | 9.70 | Sieved out |
| Total mass | 174.11 | 174.11 | 174.11 | 174.11 | 174.11 | 174.11 |
| (c) Sample numbers and the ground pressure they experienced | ||||||
| Pressure-free (0 m) | A0 | B0 | C0 | D0 | E0 | F0 |
| 0.17 MPa (10 m) | A1 | B1 | C1 | D1 | E1 | F1 |
| 0.83 MPa (50 m) | A2 | B2 | C2 | D2 | E2 | F2 |
| 1.66 MPa (100 m) | A3 | B3 | C3 | D3 | E3 | F3 |
Disclaimer/Publisher’s Note: The statements, opinions and data contained in all publications are solely those of the individual author(s) and contributor(s) and not of MDPI and/or the editor(s). MDPI and/or the editor(s) disclaim responsibility for any injury to people or property resulting from any ideas, methods, instructions or products referred to in the content. |
© 2024 by the authors. Licensee MDPI, Basel, Switzerland. This article is an open access article distributed under the terms and conditions of the Creative Commons Attribution (CC BY) license (https://creativecommons.org/licenses/by/4.0/).
Share and Cite
Jiang, Q.; Jia, M.; Yang, Y.; Zhang, C. Control of Seepage Characteristics in Loose Sandstone Heap Leaching with Staged Particle Sieving-Out Method. Minerals 2024, 14, 1039. https://doi.org/10.3390/min14101039
Jiang Q, Jia M, Yang Y, Zhang C. Control of Seepage Characteristics in Loose Sandstone Heap Leaching with Staged Particle Sieving-Out Method. Minerals. 2024; 14(10):1039. https://doi.org/10.3390/min14101039
Chicago/Turabian StyleJiang, Quan, Mingtao Jia, Yihan Yang, and Chuanfei Zhang. 2024. "Control of Seepage Characteristics in Loose Sandstone Heap Leaching with Staged Particle Sieving-Out Method" Minerals 14, no. 10: 1039. https://doi.org/10.3390/min14101039
APA StyleJiang, Q., Jia, M., Yang, Y., & Zhang, C. (2024). Control of Seepage Characteristics in Loose Sandstone Heap Leaching with Staged Particle Sieving-Out Method. Minerals, 14(10), 1039. https://doi.org/10.3390/min14101039
