A Temperature Perturbation Infrared Spectroscopy Comparison of HY and NaY Zeolite Dehydration/Rehydration
Abstract
1. Introduction
2. Materials and Methods
3. Results
3.1. Functional Group Band Intensity Variations
3.2. Functional Group Band Maximum Wavenumber Variations
3.3. Reversible and Irreversible Spectrum Changes
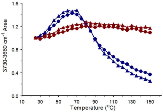
3.4. Band Variations near 3700 cm−1
3.5. HY and NaY Sample Rehydration
4. Discussion
4.1. Water Bending Vibrations
4.2. Hydroxyl Stretching Vibrations
4.3. Zeolite Framework Vibrations
4.4. Counterion Effects
5. Conclusions
Funding
Data Availability Statement
Conflicts of Interest
References
- Breck, D.W. Crystalline Zeolite Y. U.S. Patent 3130007A, 21 April 1964. [Google Scholar]
- Babitz, S.M.; Williams, B.A.; Miller, J.T.; Snurr, R.Q.; Haag, W.O.; Kung, H.H. Monomolecular cracking of n-hexane on Y, MOR, and ZSM-5 zeolites. Appl. Catal. A Gen. 1999, 179, 71–86. [Google Scholar] [CrossRef]
- Vogt, E.T.C.; Weckhuysen, B.M. Fluid catalytic cracking: Recent developments on the grand old lady of zeolite catalysis. Chem. Soc. Rev. 2015, 44, 7342–7370. [Google Scholar] [CrossRef]
- Degnan, T.F. Applications of zeolites in petroleum refining. Top. Catal. 2000, 13, 349–356. [Google Scholar] [CrossRef]
- Djeffal, N.; Benbouzid, M.; Boukoussa, B.; Sekkiou, H.; Bengueddach, A. CO2 adsorption properties of ion-exchanged zeolite Y prepared from natural clays. Mater. Res. Express 2017, 4, 035504. [Google Scholar] [CrossRef]
- Langmi, H.W.; Walton, A.; Al-Mamouri, M.M.; Johnson, S.R.; Book, D.; Speight, J.D.; Edwards, P.P.; Gameson, I.; Anderson, P.A.; Harris, I.R. Hydrogen adsorption in zeolites A, X, Y and RHO. J. Alloys Compd. 2003, 356–357, 710–715. [Google Scholar] [CrossRef]
- Shao, W.; Zhang, L.; Li, L.; Lee, R.L. Adsorption of CO2 and N2 on synthesized NaY zeolite at high temperatures. Adsorption 2009, 15, 497–505. [Google Scholar] [CrossRef]
- Gomes, G.J.; Dal Pozzo, D.M.; Zalazar, M.F.; Costa, M.B.; Arroyo, P.A.; Bittencourt, P.R.S. Oleic acid esterification catalyzed by zeolite Y-model of the biomass conversion. Top. Catal. 2019, 62, 874–883. [Google Scholar] [CrossRef]
- Rizkiana, J.; Guan, G.; Widayatno, W.B.; Yang, J.; Hao, X.; Matsuoka, K.; Abudula, A. Mg-modified ultra-stable Y type zeolite for the rapid catalytic co-pyrolysis of low-rank coal and biomass. RSC Adv. 2015, 6, 2096–2105. [Google Scholar] [CrossRef]
- Boddenberg, B.U.; Rakhmatkariev, G.; Hufnagel, S.; Salimov, Z. A calorimetric and statistical mechanics study of water adsorption in zeolite NaY. Phys. Chem. Chem. Phys. 2002, 4, 4172–4180. [Google Scholar] [CrossRef]
- Julbe, A.; Drobek, M. Zeolite Y Type. In Encyclopedia of Membranes; Drioli, E., Giorno, L., Eds.; Springer: Berlin/Heidelberg, Germany, 2016; pp. 2060–2061. [Google Scholar]
- Lutz, W. Zeolite Y: Synthesis, modification, and properties—A case revisited. Adv. Mater. Sci. Eng. 2014, 2014, 724248. [Google Scholar] [CrossRef]
- Bellat, J.-P.; Paulin, C.; Jeffroy, M.; Boutin, A.; Paillaud, J.-L.; Patarin, J.; Di Lella, A.; Fuchs, A. Unusual hysteresis loop in the adsorption−desorption of water in NaY zeolite at very low pressure. J. Phys. Chem. C 2009, 113, 8287–8295. [Google Scholar] [CrossRef]
- Bushuev, Y.G.; Sastre, G.; de Julián-Ortiz, J.V. The structural directing role of water and hydroxyl groups in the synthesis of beta zeolite polymorphs. J. Phys. Chem. C 2010, 114, 345–356. [Google Scholar] [CrossRef]
- Cruciani, G. Zeolites upon heating: Factors governing their thermal stability and structural changes. J. Phys. Chem. Solids 2006, 67, 1973–1994. [Google Scholar] [CrossRef]
- Huang, Y.; Wang, K.; Dong, D.; Li, D.; Hill, M.R.; Hill, A.J.; Wang, H. Synthesis of hierarchical porous zeolite NaY particles with controllable particle sizes. Micropor. Mesopor. Mat. 2010, 127, 167–175. [Google Scholar] [CrossRef]
- Farrell, J.; Manspeaker, C.; Luo, J. Understanding competitive adsorption of water and trichloroethylene in a high-silica Y zeolite. Micropor. Mesopor. Mat. 2003, 59, 205–214. [Google Scholar] [CrossRef]
- Kraus, M.; Trommler, U.; Holzer, F.; Kopinke, F.-D.; Roland, U. Competing adsorption of toluene and water on various zeolites. Chem. Eng. J. 2018, 351, 356–363. [Google Scholar] [CrossRef]
- Deng, C.; Zhang, J.; Dong, L.; Huang, M.; Li, B.; Jin, G.; Gao, J.; Zhang, F.; Fan, M.; Zhang, L.; et al. The effect of positioning cations on acidity and stability of the framework structure of Y zeolite. Sci. Rep. 2016, 6, 23382. [Google Scholar] [CrossRef]
- Frising, T.; Leflaive, P. Extraframework cation distributions in X and Y faujasite zeolites: A review. Micropor. Mesopor. Mat. 2008, 114, 27–63. [Google Scholar] [CrossRef]
- Perez, C.A.C.; de Resende, N.S.; Salim, V.M.M.; Schmal, M. Water interaction in faujasite probed by in situ X-ray powder diffraction. J. Phys. Chem. C 2017, 121, 2755–2761. [Google Scholar] [CrossRef]
- Lim, K.H.; Grey, C.P. Characterization of extraframework cation positions in zeolites NaX and NaY with very fast 23Na MAS and multiple quantum MAS NMR spectroscopy. J. Am. Chem. Soc. 2000, 122, 9768–9780. [Google Scholar] [CrossRef]
- Norby, P.; Poshni, F.I.; Gualtieri, A.F.; Hanson, J.C.; Grey, C.P. Cation migration in zeolites: an in situ powder diffraction and MAS NMR study of the structure of zeolite Cs(Na)−Y during dehydration. J. Phys. Chem. B 1998, 102, 839–856. [Google Scholar] [CrossRef]
- Ramsahye, N.A.; Bell, R.G. Cation mobility and the sorption of chloroform in zeolite NaY: molecular dynamics study. J. Phys. Chem. B 2005, 109, 4738–4747. [Google Scholar] [CrossRef]
- Kirschhock, C.E.A.; Hunger, B.; Martens, J.; Jacobs, P.A. Localization of residual water in alkali-metal cation-exchanged X and Y type zeolites. J. Phys. Chem. B 2000, 104, 439–448. [Google Scholar] [CrossRef]
- Beauvais, C.; Boutin, A.; Fuchs, A.H. Adsorption of water in zeolite sodium-faujasite: A molecular simulation study. CR Chim 2005, 8, 485–490. [Google Scholar] [CrossRef]
- Shirono, K.; Endo, A.; Daiguji, H. Molecular dynamics study of hydrated faujasite-type zeolites. J. Phys. Chem. B 2005, 109, 3446–3453. [Google Scholar] [CrossRef] [PubMed]
- Hu, M.; Hanson, J.C.; Wang, X. Structure and thermal stability of (H2O)4 tetrahedron and (H2O)6 hexagon adsorbed on NaY zeolite studied by synchrotron-based time-resolved X-ray diffraction. Ind. Eng. Chem. Res. 2018, 57, 4988–4995. [Google Scholar] [CrossRef]
- Singh, J.; White, R.L. A variable temperature infrared spectroscopy study of NaY zeolite dehydration. Spectrochim. Acta A Mol. Biomol. Spectrosc. 2020, 231, 118142. [Google Scholar] [CrossRef]
- White, R.L. Precise temperature control and rapid heating/cooling of infrared spectroscopy samples with a two-stage thermoelectric device. Anal. Meth. 2023, 15, 6706–6715. [Google Scholar] [CrossRef]
- Kerr, G.T. Hydrogen zeolite Y, ultrastable zeolite Y and aluminum-deficient zeolites. Adv. Chem. 1973, 121, 219–229. [Google Scholar] [CrossRef]
- Warner, T.E.; Klokker, M.G.; Nielsen, U.G. Synthesis and characterization of zeolite Na-Y and its conversion to the solid acid zeolite H-Y. J. Chem. Ed. 2017, 94, 781–785. [Google Scholar] [CrossRef]
- Salman, N.; Ruscher, C.H.; Buhl, J.C.; Lutz, W.; Toufar, H.; Stocker, M. Effect of temperature and time in the hydrothermal treatment of HY zeolite. Micropor. Mesopor. Mat. 2006, 90, 339–346. [Google Scholar] [CrossRef]
- White, R.L. Thermal analysis by variable vemperature infrared spectroscopy with a button sample holder and peltier heating/cooling. Talanta 2023, 258, 124474. [Google Scholar] [CrossRef]
- Aainaa, N.; Ramli, S.; Amin, N.A.S. Fe/HY zeolite as an effective catalyst for levulinic acid production from glucose: Characterization and catalytic performance. Appl. Catal. B Environ. 2015, 163, 487–498. [Google Scholar] [CrossRef]
- Li, Z.; Xie, K.; Slade, R.C.T. Studies of the interaction between CuCl and HY zeolite for preparing heterogeneous Cu(I) catalyst. Appl. Catal. A Gen. 2001, 209, 107–115. [Google Scholar] [CrossRef]
- Heshmatollah, A.; Abarghouei, F.; Reza, M.; Mahmood, T.; Khodabakhsh, N. Application of MEA, TEPA, and morpholine grafted NaY zeolite as CO2 capture. Iran. J. Chem. Chem. Eng. 2021, 40, 581–592. [Google Scholar]
- Padamurthy, A.; Nandanavanam, J.; Rajagopalan, P. Thermal stability evaluation of selected zeolites for sustainable thermochemical energy storage. Energ. Source Part A 2021, 1–14. [Google Scholar] [CrossRef]
- White, R.L. Infrared spectroscopy investigations of calcium oxalate monohydrate (whewellite) dehydration/rehydration. Minerals 2023, 13, 783. [Google Scholar] [CrossRef]
- Krol, M.; Mozgawa, W.; Jastrzebski, W.; Barczyk, K. Application of IR spectra in the studies of zeolites from D4R and D6R structural groups. Micropor. Mesopor. Mat. 2012, 156, 181–188. [Google Scholar] [CrossRef]
- Faghihian, H.; Godazandeha, N. Synthesis of nano crystalline zeolite Y from bentonite. J. Porous Mat. 2009, 16, 331–335. [Google Scholar] [CrossRef]
- Parker, L.M.; Bibby, D.M.; Burns, G.R. Interaction of water with the zeolite HY, studied by FTi.r. Zeolites 1991, 11, 293–297. [Google Scholar] [CrossRef]
- Mofrad, A.M.; Peixoto, C.; Blumeyer, J.; Liu, J.; Hunt, H.K.; Hammond, K.D. Vibrational spectroscopy of sodalite: Theory and experiments. J. Phys. Chem. C 2018, 122, 24765–24779. [Google Scholar] [CrossRef]
- Seki, T.; Chiang, K.Y.; Yu, C.C.; Yu, X.; Okuno, M.; Hunger, J.; Nagata, Y.; Bonn, M. The bending mode of water: A powerful probe for hydrogen bond structure of aqueous systems. J. Phys. Chem. Lett. 2020, 11, 8459–8469. [Google Scholar] [CrossRef] [PubMed]
- Porter, A.J.; O’Malley, A.J. A classical molecular dynamics study on the effect of Si/Al ratio and silanol nest defects on water diffusion in zeolite HY. J. Phys. Chem. C 2021, 125, 11567–11579. [Google Scholar] [CrossRef]
- Cairon, O.; Thomas, K.; Chevreau, T. FTIR studies of unusual OH groups in steamed HNaY zeolites: Preparation and acid properties. Micropor. Mesopor. Mat. 2001, 46, 327–340. [Google Scholar] [CrossRef]
- Cairon, O.; Loustaunau, A.; Gautier, M. FTIR studies of unusual OH groups in steamed HNaY zeolites: Influence of Na insertion. J. Phys. Chem. Solids 2006, 67, 994–997. [Google Scholar] [CrossRef]
- Cairon, O. Impacts of composition and post-treatment on the brønsted acidity of steam-treated faujasite: Insights from FTIR spectroscopy. ChemPhysChem 2013, 14, 244–251. [Google Scholar] [CrossRef]
- Hermansson, K. Coordination effects on the stretching vibration of the OH− ion. Chem. Phys. 1993, 170, 177–184. [Google Scholar] [CrossRef]
- Libowitzky, E. Correlation of 0-H Stretching Frequencies and 0-H· · ·0 Hydrogen Bond Lengths in Minerals. Monatsh. Chem. 1999, 130, 1047–1059. [Google Scholar] [CrossRef]













Disclaimer/Publisher’s Note: The statements, opinions and data contained in all publications are solely those of the individual author(s) and contributor(s) and not of MDPI and/or the editor(s). MDPI and/or the editor(s) disclaim responsibility for any injury to people or property resulting from any ideas, methods, instructions or products referred to in the content. |
© 2024 by the author. Licensee MDPI, Basel, Switzerland. This article is an open access article distributed under the terms and conditions of the Creative Commons Attribution (CC BY) license (https://creativecommons.org/licenses/by/4.0/).
Share and Cite
White, R.L. A Temperature Perturbation Infrared Spectroscopy Comparison of HY and NaY Zeolite Dehydration/Rehydration. Minerals 2024, 14, 104. https://doi.org/10.3390/min14010104
White RL. A Temperature Perturbation Infrared Spectroscopy Comparison of HY and NaY Zeolite Dehydration/Rehydration. Minerals. 2024; 14(1):104. https://doi.org/10.3390/min14010104
Chicago/Turabian StyleWhite, Robert L. 2024. "A Temperature Perturbation Infrared Spectroscopy Comparison of HY and NaY Zeolite Dehydration/Rehydration" Minerals 14, no. 1: 104. https://doi.org/10.3390/min14010104
APA StyleWhite, R. L. (2024). A Temperature Perturbation Infrared Spectroscopy Comparison of HY and NaY Zeolite Dehydration/Rehydration. Minerals, 14(1), 104. https://doi.org/10.3390/min14010104

