Abstract
The beneficiation of low-grade oxidized lead and zinc ore from the Lanping mine has attracted extensive interest in the mineral processing field due to the extremely rich resource reserves and the challenge in lead and zinc recovery. This study’s objective is to analyze the process mineralogy characteristics and to conduct the flotation optimization of this ore. Mineralogy parameters of the ore, such as mineral composition, mineral liberation degree, and intergrowth relationship, were investigated using an X-ray fluorescence spectrometer (XRF), an X-ray powder diffractometer (XRD), and an electronic probe microanalyzer (EPMA). The effect of the main experimental factors on the lead and zinc flotation is determined and compared. The results confirm that the low content of lead and zinc and the complex co-occurrence relationships between minerals bring a challenge to the efficient separation of the ore. Furthermore, a flow sheet consisting of “lead preferred flotation-zinc flotation” is performed, and an all-open flotation process consisted of “two-times lead rougher-one-time lead cleaner-two-times zinc rougher-one-time zinc cleaner” is finally employed for the beneficiation of this ore with the aids of mixed depressants and cationic-anionic collectors for zinc recovery. The Pb grade in the lead rougher concentrate is 2.83%, and the Pb recovery is 57.56%. The Zn grade reaches 28.64% with a recovery of 83.45%. Thus, the findings provide important technical supports for the processing of similar ores.
1. Introduction
Zinc and lead enjoy tremendous importance owing to their wide application in industries. In the past few decades, more than eighty percent of zinc and lead originated from sulfide minerals (e.g., sphalerite, galena) because of their good hydrophobicity. With the fast consumption of zinc lead sulfide ores, the beneficiation of oxidized lead and zinc ores has assumed important significance recently because there are numerous unexploited or abandoned reserves of these ores in the world [1]. It is estimated that zinc-lead ores form 0.13% of the Earth’s crust [2]. Lead and zinc mineral resources are mainly distributed in the USA, Canada, China, Australia, Mexico, Germany, and Poland [3]. For instance, Yunnan Jinding Zinc Industry Co., LTD. (located in Lanping, China) has the world’s fifth- largest lead and zinc mineral resources. Specifically, the unexploited lead and zinc resources reserve reaches 39.88 million tons, and the potential economic value is up to 50 billion yuan. It has become the primary problem that restricts the sustainable development of the Jinding zinc industry.
Process mineralogy combines quantitative (and qualitative) mineralogical techniques with flotation test work [4]. Modern process mineralogy has been devising significant advances in methodology and data construction since the mid-1980s [5]. Several studies have remarked on the significance of process mineralogy in mineral processing [6]. It is considered an essential requirement for characterizing the surface morphology and grain size distribution scale of ores [7]. Through process mineralogy research on samples, the rationality of the production process and reagent conditions can be diagnosed, and a basis for optimizing the production process [8]. Thus, it is vital to identify the process mineralogy characteristics of low-grade oxidized lead and zinc ore from the Lanping mine, which will provide an important basis for the formulation of the subsequent beneficiation process.
Roasting, leaching, microbial hydrometallurgy, and hydrothermal vulcanization could obtain desirable technical indexes to recover zinc and lead from low-grade zinc oxide deposits [9,10,11,12]; however, the application of these process routes has been usually uneconomical. Froth flotation methods are essential to the recovery of zinc and lead from these low-grade zinc oxide ores [13]. Of course, flotation reagents and flotation flow-sheets were the keys to addressing this obstacle originating from low-grade, highly oxidized properties and the complex co-occurrence relationships between minerals. Traditionally, the flotation of zinc and lead ores with fatty amines was used to enrich the target minerals. This approach required large amounts of reagents and had poor selectivity when the raw ore contained carbonate minerals. More importantly, the fatty amines usually fail to recover the oxidized zinc mineral effectively if a multitude of slimes are present in the pulp because the slimes reduce the collector selectivity and lead to difficulty in defoaming. Additionally, sulfidation-xanthate flotation has obvious merits for the treatment of lead zinc oxidized ores that contain plenty of slimes. However, the flotation recovery of zinc was still not acceptable due to the poor collecting capacity of xanthates [14,15,16]. With these in mind, the combination of mixed depressants and cationic-anionic collectors was proposed as an efficient reagent regime to beneficiate zinc and lead from the ore. Moreover, an all-open flotation process was employed to avoid the undesirable effects of slimes.
The aim of this paper is to develop an efficient flotation process to selectively separate zinc and lead from high-oxidized lead zinc ore. Firstly, the process mineralogy of the ore was studied via an X-ray fluorescence spectrometer (XRF), an X-ray powder diffractometer (XRD), and an electronic probe microanalyzer (EPMA) to provide a theoretical basis for a suitable flotation process. Afterwards, the systematic flotation experiments were performed to obtain the optimum flotation separation conditions. The present study provided important technical support for the processing of similar ores.
2. Materials and Methods
2.1. Ore Sample and Reagents
The raw material was obtained from an open storage yard in Lanping, Yunnan, China. It was crushed to 1~2 mm and mixed to achieve a uniform composition. A part of the representative sample was ground to below 75 µm particle size using a three-end grinder (model XPM-Φ120 × 8, Jiangxi Weiming Machinery Equipment Co., Ltd., Jiangxi, China) for X-ray fluorescence spectrometer (XRF), and X-ray powder diffractometer (XRD) detection. Some samples were solidified by an epoxy resin and a solidifying agent, and were then polished and sprayed with gold to guarantee the conductivity of the sample surface for the electron probe X-ray microanalysis (EPMA). In addition, the other part of the crushed product was ground by a rod mill (Wuhan Prospecting Machinery Factory, Wuhan, China). The grinding time was set to 40 s, 60 s, 80 s, 100 s, and 120 s, and the products were wet sieved by a 74 µm sieve, and the grinding fineness was determined. Figure 1 shows the relationship between grinding fineness and grinding time.
Figure 1.
The relationship between grinding fineness and grinding time.
The sulphidizing agent (Na2S), the pH adjuster and dispersant (Na2CO3), and the frother (pine oil) were obtained from the Tianjin Hedong Hongyan Reagent Factory, Tianjin, China. The depressants (DCCH is a kind of organic dispersant that is rich in multiple hydroxyl and carboxyl functional groups; sodium silicate) were purchased from Tianjin Fengboat Chemical Reagent Technology Co., Ltd., Tianjin, China. The collectors (isoamyl xanthate and cations and anions collectors) were purchased from Fuchen Chemical Reagent Co., Ltd., Tianjin, China. All the chemical reagents used in this study were of analytical grade, and tap water was used in all experiments.
2.2. Characterization Methods
An X-ray fluorescence spectrometer (XRF, EDX 6600, suzhou three value precision instrument Co., LTD, Jiangsu, China) and X-ray diffraction (XRD, ARL EQUNINX 3000 X) were used for chemical elemental quantitative analysis and mineral phase identification, respectively. XRF with a rhodium-anode tube was used for the quantitative analysis of the chemical elements at 4 kW. The main operating parameters of XRD were as follows: Cu target radiation, a scanning range of 0°–80°, and a scanning speed of 12°/min. The microstructures, morphologies, and elemental composition of the samples were evaluated by optical microscope (ZZJ-2030, Shenzhen Zhongzheng Instrument Co., LTD, Guangzhou, Guangdong) and electron probe X-ray microanalyzer (EPMA, JXA-iSP100, Tokyo, Japan), which was operated with a 15 kV accelerating voltage, a 20 nA beam current, and a 5 µm beam diameter. The contents of lead and zinc were analyzed through the a chemical titration precipitation method.
2.3. Flotation Tests
Flotation experiments were conducted in a flotation cell (model XFD III, Jiangxi Weiming Machinery Equipment Co., Ltd., Jiangxi, China). To create a pulp density of ~28%, 400 g of lead-zinc oxide ore and a specific dosage of water were added to the flotation cell with a capacity of 1.5 L. The flotation machine speed was set at 1900 r/min. After that, the dispersant (Na2CO3), the depressants (DCCH and sodium silicate), the sulphidizing agent (Na2S), the collectors (isoamyl xanthate, cations, and anions collectors), and a frother (pine oil) were successively added into the pulp. Each reagent was conditioned for 2–5 min. The flotation time was fixed for 8 min at room temperature. Flotation concentrates and tailings were dried, weighed, sampled, and tested for grades of target elements. Recovery of the concentrate was calculated and treated as a response to evaluate the flotation index. In addition, the fluctuation ranges of recovery rate and grade in each factor of the flotation condition experiment were contrastively analyzed to explore the influence degree of test factors on the flotation indexes. They were calculated by the following formulas.
ε = εmax − εmin
β = βmax − βmin
Here, εmax represented the maximum recovery rate of each factor, and εmin represented the minimum recovery rate for each factor. βmax was the maximum grade rate of each factor, and βmin was the minimum grade rate for each factor.
3. Results and Discussion
3.1. Process Mineralogy Analysis
3.1.1. Mineral Composition and Element Occurrence
Data for the chemical compositions and chemical phases of the ore are provided in Table 1 and Table 2, respectively. From Table 1, the content of lead and zinc in the samples was relatively low [17]. The Zn content in the sample was 7.4%, and that of Pb was 0.84% by chemical composition analysis. Additionally, the contents of SiO2 and CaO in the raw ore were 18.96% and 26.02%, respectively, indicating that the ore contained silicate and carbonate minerals. It is worth noting that the content of the harmful element As was only 0.042%, which could be negligible. Thus, Zn and Pb were the main recoverable elements from the oxide ore. From Table 2, a total content of 89.05% of zinc minerals existed as oxide; the content of lead oxide minerals was 51.19%, which was in the form of cerussite. In addition, 8.92% of the zinc minerals existed as sulfides. The distribution rate of zinc in other forms was only 2.03%. The above results indicated that the ore sample was a low-grade lead-zinc oxidized ore with high contents of iron, silicon, and calcium.
Table 1.
Chemical composition of lead-zinc oxide ore (mass fraction, %).
Table 2.
The chemical phases of ore.
XRD results (as depicted in Figure 2) indicated that smithsonite and cerussite were the main valuable metallic minerals, and calcite (CaCO3) and quartz (SiO2) were the main gangue minerals. The high oxidation rates with multi-metals and large quantities of calcite and quartz minerals would increase the difficulty of ore beneficiation [18,19]. Thus, XRD results were consistent with the chemical composition results, and the froth flotation would provide easy access to the recovery of zinc and lead minerals.
Figure 2.
XRD results for lead-zinc oxide ore.
The XRD quantitative test was employed to analyze mineral composition, which is shown in Table 3. Mineral composition of lead-zinc oxide ore The results showed that the main lead minerals were cerussite and galena, while the main zinc mineral was smithsonite and sphalerite. Gangue minerals contained silicate minerals (quartz, muscovite, kaolinite, potassium feldspar, etc.), carbonate minerals (calcite, dolomite, etc.), and metal minerals (pyrite, siderite, and goethite). Among them, the content of siderite was as high as 9.85%. A large quantity of gangue minerals with low hardness was negative for flotation. Consequently, the control of grind fineness was inevitable to prevent over-grinding and to create a desirable floatation environment.
Table 3.
Mineral composition of lead-zinc oxide ore.
The ore was further analyzed by EPMA, and the results are shown in Figure 3. There were a lot of carbon and oxygen elements in the ore, and their distributions were consistent. Sulfur was almost absent and was consistent with the aforementioned results. In addition, the distribution of iron and zinc elements exhibited overlap, indicating that siderite and smithsonite might be co-associated in this ore. The distribution of silicon and calcium was similar, indicating some of the quartz and calcite might be associated together. The amounts of lead, copper, and magnesium were small, but the distribution was uniform. Thus, low content of lead and zinc and complex co-occurrence relationships between minerals, especially, iron and zinc, would bring a challenge to the efficient separation of the ore.
Figure 3.
EPMA elements mapping of Pb-Zn oxide.
3.1.2. Zinc Minerals Embedded Characteristic
Zn was observed in the form of smithsonite and sphalerite. Smithsonite observed under the optical microscope was gray. Because of the dissemination with ferric hydroxide, most particulates of the smithsonite particles in the ore mainly had a microgranular particle size, while a small percentage of that had the false appearance of sphalerite (Figure 4a). Its single crystal average was within 0.1 mm, showing a porous and colloidal structure. Sphalerite was also gray with a strong metallic luster under the microscope. Some sphalerite occurring as stripes and irregular ellipses formed with the size of 0.002–0.3 mm (Figure 4b). Most of the smithsonite and sphalerite had a close intergrowth relation with sphalerite, pyrite, and gangue minerals, embedding particle size from 0.05 to 0.25 mm. From Figure 4c, part of the sphalerite was crumpled, resulting in many fissures or cracks. They were filled and metasomatized by gangue and pyrite. Part of the pyrite is immersed along non-metallic mineral fissures, forming vein-like structures. A portion of the sphalerite was wrapped by marcasite and gangue with a size of 0.1–0.15 mm. In addition, part of the sphalerite with smithsonite intergrowth existed in the form of pellet aggregate, which was generally 0.2–0.3 mm in diameter. Some of the smithsonite and sphalerite were fine-grained irregular shape aggregates distribution. The sphalerite had multiple blocky structures and was band shaped (Figure 4d). Given these results, it was essential to realize the particulate’s liberation of zinc-bearing minerals and to avoid the over-grinding of gangue minerals for the recovery of zinc.
Figure 4.
The particulate and distribution form of smithsonite and sphalerite. ((a): smithsonite particulate; (b): sphalerite particulate; (c): distribution form of sphalerite, marcasite, and pyrite; (d): distribution form of smithsonite and sphalerite. Viewed under an optical microscope).
3.1.3. Lead Minerals Embedded Characteristic
Pb were observed in the form of galena and cerussite. Galena was opaque black under the optical microscope. Part of the galena existed as particulates and most of them were triangular in cross-section and had a distributed particle size from 0.20 to 1.50 mm (Figure 5a). Its grain size was much larger than cerussite with a poorer liberation. The color of the cerussite was pale yellow and it had almost no particulates. The existence was usually secondary metasomatism along the edge of the galena grains, with a rhythmic crust structure (Figure 5b,c). These aggregates had an embedded particle size from 0.10 to 1.60 mm. Furthermore, galena was mainly compactly associated with sphalerite and pyrite. This was already demonstrated in Figure 5d. The embedding particle size of galena in the ore was mainly between 0.20 and 1.00 mm. The content of cerussite and galena in this ore was extremely low and was difficult to recover.
Figure 5.
The particulate and distribution form of galena and cerussite. ((a): galena particulate; (b): cerussite particulate; (c): distribution form of gangue, galena, and cerussite; (d): distribution form of pyrite, galena and sphalerite. Viewed under an optical microscope).
3.1.4. Gangue Minerals Embedded Characteristic
Calcite was the main gangue in the ore. It presented a colorless fine microcrystalline granular structure under the optical microscope. Most of the grains were more than 1 mm, forming an embedded structure with each other, as shown in Figure 6a. Quartz was another major gangue mineral in the ore. It was observed to be colorless, with allomorphic granular or semi-euhedral columns. The particle size was mainly between 0.2 and 0.6 mm. Some of the quartz existed in the form of a particulate in the structure of drusy breccia (Figure 6b) with particles >2 mm. This part of smithsonite was difficult to liberate absolutely and to separate, leading to the Si enriching in the flotation concentrate. In addition, some micrite was crumpled, resulting in numerous fissures or cracks. These fissures and cracks were subsequently filled and metasomatized by quartz and feldspar (Figure 6c). A portion of the smithsonite was filled with cement among the quartz grains (Figure 6d). Thus, the gangue-embedded characteristic further indicated multitude of slimes would be formed and affect the concentrate quality.
Figure 6.
The particulate and distribution form of calcite and quartz. ((a): calcite particulate; (b): quartz particulate; (c): distribution form of quartz, feldspar, and calcite; (d): distribution form of quartz, and smithsonite. Viewed under an optical microscope).
3.2. Flotation Experiments
It is well accepted that surface sulfidation of the mineral is an important prerequisite for the flotation of zinc-oxide minerals by sulfidation-xanthate flotation or sulfidation-amination flotation. In practice, Na2S, as the sulphidizing agent was intensively used because of its low price, wide availability and ease of operation in most flotation systems, which could significantly improve the surface hydrophobicity of lead zinc oxide minerals [20,21]. It could increase the alkalinity of the solution and also act as a pH regulator [22]. Thus, sodium sulfide was selected as the sulphidizing agent for this lead-zinc oxide ore flotation.
Sodium carbonate was frequently employed as a pH adjuster and dispersant in flotation aqueous system [13,23]. In addition, the use of sodium carbonate with sodium silicate showed synergistic effects and improved the depression of complex calcium gangue minerals [24,25,26]. Meanwhile, sodium carbonate could react with Ca2+ to eliminate the adverse effects of Ca2+ by charge reversal [27]. Sodium silicate, contained a variety of compounds made of SiO2 and Na2O in varying ratios. It was the major depressant employed in the selective inhibition of gangue minerals such as quartz, talc, fluorite, dolomite, and calcite [28,29]. At present, the inhibition effect of sodium silicate on gangue minerals is still undesirable, and the depressant that contains -COOH, -SiO3, -PO4, and -OH groups exhibits many merits [30,31]. Therefore, an agent containing multiple carboxyl and hydroxyl functional groups (DCCH) was selected as an organic inhibitor in this paper. The effect of a mixed inhibitor (DCCH+ sodium silicate) on flotation was studied for the first time through flotation condition tests.
The most common flotation collectors used commercially for the treatment of zinc oxide minerals are cationic collectors and sulfhydryl collectors, such as amine and xanthate [32]. As is well known, slime causes significant negative effects on the flotation with amine, and xanthate exhibited a relatively poor collecting capacity for the zinc oxide minerals. The mixed anionic and cationic collectors were, therefore, used for the recovery of zinc oxide minerals in the study [33].
3.2.1. Flotation Conditional Experiments
A flow sheet consisting of “lead preferred flotation-zinc flotation” was employed (Figure 7), and the effects of the main experimental factors on the lead flotation were investigated in detail (as displayed in Figure 8). Five grinding settings, accounting for 70–90% with particle size −74μm were selected as independent variables to explore their effects on lead recovery and grade. The flotation recovery of lead increased with an increase in grinding fineness and then tended to become stable after accounting for 85% with particle size −74μm, while lead grade continued to decline. Therefore, the recommended grinding fineness was accounting for 85% with particle size −74μm (Figure 8a).
Figure 7.
Flowsheet of the lead flotation conditional experiment. ((a) grinding fineness; (b) Na2CO3 dosage; (c) Na2S dosage; (d) isoamyl xanthate dosage).
Figure 8.
Effect of main experimental factors on the lead flotation. ((a): grinding fineness; (b): Na2CO3 dosage; (c): Na2S dosage; (d): isoamyl xanthate dosage).
The impact of sodium carbonate on lead flotation was investigated (Figure 8b). Sodium carbonate had little effect on lead grade, but the flotation recovery increased considerably with increasing Na2CO3 dosage and reached the maximal value when the Na2CO3 dosage was 1000 g/t. Nevertheless, with a further increase in the Na2CO3 dosage, the recovery of lead failed to increase. So, 1000 g/t Na2CO3 was selected as the optimal dosage in the subsequent experiments.
The effect of the Na2S dosage on lead flotation is shown in Figure 8c. The dosage of Na2S exerted a positive role in lead flotation. When the dosage of Na2S was 2000 g/t, the Pb recovery and grade in the concentrate achieved 59.32% and 2.63%. Simultaneously, the flotation recoveries decreased, and the Pb grade showed a downtrend when the Na2S dosage exceeded this threshold value. It was possible that excess sodium sulfide depressed the lead minerals, especially for galena. Thus, the recommended Na2S dosage was 2000 g/t.
The flotation recovery of lead significantly increased with the increase of isoamyl xanthate dosage, and the Pb grade presented the opposite trend. The Pb recovery was about 58% with the addition of 200 g/t isoamyl xanthate (Figure 8d). With a further increase in isoamyl xanthate dosage, the variation in Pb recovery was feeble. Thus, 200 g/t isoamyl xanthate was selected for the lead flotation.
Figure 9 shows the fluctuation amplitudes of the lead recovery rate and grade corresponding to grinding fineness, sodium carbonate, sodium sulfide, and isoamyl xanthate dosage, respectively. As can be seen, the lead recovery rate fluctuated greatly, and the lead grade fluctuated feebly. Among these factors, the most influential factor on flotation indexes was grinding fineness. The smallest influential factor was sodium sulfide dosage followed by isoamyl xanthate and sodium carbonate dosage.
Figure 9.
Influence of various experimental factors on lead flotation indexes. (1: grinding fineness; 2: Na2CO3 dosage; 3: Na2S dosage; 4: isoamyl xanthate dosage).
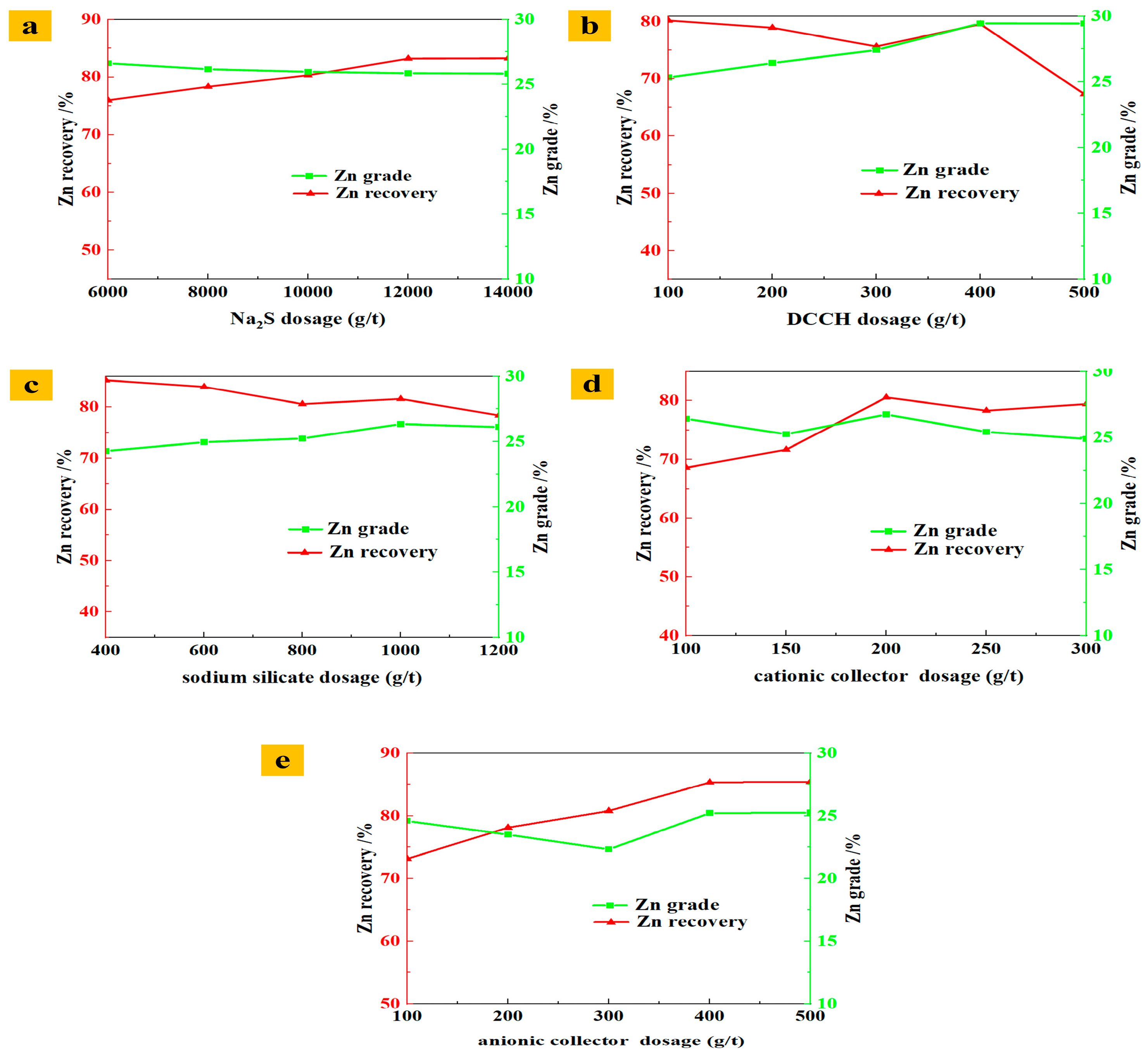
The obtained tailing of lead flotation was used for the feed of zinc flotation, and the flow sheet is shown in Figure 10. A roughing process was performed for each dose investigation. The flotation time of sodium sulfide, DCCH + sodium silicate, cationic collector, and anionic collector was 5, 3, and 3 min, respectively, and froth collection was 8 min. The effects of the main experimental factors on the zinc flotation were investigated in detail (as displayed in Figure 11). From Figure 11a, the Zn recovery increased as Na2S dosage increased from 6000 to 14,000 g/t, and the Zn grade in the concentrate ranged from 25.83%~26.63%. With a further increase in the Na2S dosage to 14,000 g/t, the Zn grade decreased to some extent, and the Zn recovery had little change. Thus, 12,000 g/t Na2S was selected as the optimal dosage in the subsequent experiments of zinc flotation.
Figure 10.
Flowsheet of the zinc flotation conditional experiment. ((a) Na2S dosage; (b) DCCH dosage; (c) sodium silicate dosage; (d) cationic collector dosage; (e) anionic collector dosage).
Figure 11.
Effect of the agent dosage on the zinc flotation. ((a): Na2S dosage, (b): DCCH dosage, (c): sodium silicate dosage, (d): cationic collector dosage, (e): anionic collector dosage).
The addition of suitable depressants was inevitable for the selective flotation of smithsonite from the gangue minerals because the smithsonite exhibited similar floatability as the carbonate gangue minerals (such as calcite, dolomite, and siderite) in the absence of depressants. Figure 11b,c shows the effect of DCCH and sodium silicate dosage on zinc flotation. The zinc grade in the concentrate increased from 25.33% to 29.44% when the DCCH increased from 100 to 500 g/t, and the zinc recovery presented a downtrend. Notably, the zinc recovery decreased to 67.33% with the addition of 500 g/t DCCH (Figure 11b). This indicated that excess DCCH could depress the smithsonite flotation considerably. Thus, the recommended dosage of DCCH was 400 g/t. The dosage of sodium silicate played an important role in the zinc flotation and showed a similar effect with DCCH on the zinc flotation indexes (Figure 11c). A sodium silicate dosage of 1000 g/t was reasonable; the Zn grade and recovery of concentrate were 26.35% and 81.58%, respectively. Trial test results of mixed depressants indicated that the combined use of two depressants facilitated the improvement of the zinc grade. When the mixed depressants (DCCH 400 g/t + sodium silicate 1000 g/t) were added, the grade and recovery arrived at 26.59% and 82.21%, displaying the superior selective flotation of zinc minerals with the aid of the desirable depressing effects of the mixed depressants on the carbonate gangue minerals.
As shown in Figure 10d, the flotation recoveries of zinc increased with the increase in the cationic collector dosage. Specifically, the Zn recovery sharply increased to 80.57%, and the Zn grade was 26.74% as the cationic collector dosage increased to 200 g/t. With a further increase in the cationic collector dosage, the Zn recovery changed feebly, and the Zn grade decreased by 1.32%. Thus, the optimum dosage of cationic collectors was determined as 200 g/t, which exhibited a superior collecting capacity for the zinc oxide minerals with the aid of an anionic collector (300 g/t). The effect of anionic collector dosage on zinc flotation was also investigated. As shown in Figure 10e, the recovery of zinc increased with the increase the dosage of the anionic collector, which reached 85.33%. The Zn grade was 25.22% in the presence of 400 g/t of an anionic collector. Thus, mixed collectors could effectively collect the zinc oxide minerals.
Figure 12 compares fluctuation amplitudes of the zinc recovery rate and grade corresponding to each factor. It could be concluded that DCCH exhibited the largest fluctuation ranges in both recovery and grade, followed by the anionic collector, cationic collector, sodium silicate, and sodium sulfide dosage.
Figure 12.
Influence of various experimental factors on zinc flotation indexes. (1: Na2S dosage, 2: DCCH dosage, 3: sodium silicate dosage, 4: cationic collector dosage, 5: anionic collector dosage).
3.2.2. Flotation Flowchart Experiment
According to the results of the flotation conditional experiment, the flotation flowchart experiment was investigated (as shown in Figure 13) and the results are shown in Table 4. It is worth noting that an all-open flotation process consisting of “two-times lead rougher-one-time lead cleaner-two-times zinc-one-time zinc cleaner” was finally employed for the beneficiation of this ore. On the one hand, the present reagent regime in the roughing processing could effectively recover the lead and zinc minerals, and the Zn grade in the concentrates met the needs of subsequent metallurgical operations. On the other hand, the closed-circuit process of lead or zinc seriously deteriorated the flotation indexes based on the multitude of verification tests. The main reason was that the return of the middles resulted in the accumulation of the slimes, resulting in the non-selective flotation of target minerals. From Table 4, the Pb grade in the lead rough concentrate was 2.83% and the Pb and recovery was 57.56%. Meanwhile, the loss rate of zinc was only 11.77%. The Zn grade in the Zn concentrate reached 28.64% with a recovery of 83.45%. The Zn grade in the final tailings was only 0.59%. Thus, the presence of a flotation flowchart and reagent regime resulted in the effective beneficiation of this low-grade oxidized lead and zinc ore, which could provide important technical support for the processing of similar ores.
Figure 13.
The flowchart of the opened-circuit flotation experiment.
Table 4.
The results of the opened-circuit flotation experiment of oxidized lead and zinc ore.
4. Conclusions
Flotation optimization of a low-grade oxidized lead and zinc ore from the Lanping mine was conducted on the basis of process mineralogy characteristics. The following conclusions could be drawn.
The Pb and Zn grades in the raw ore were 0.84% and 7.42%. Smithsonite and cerussite were the main valuable metallic minerals; calcite (CaCO3), siderite (FeCO3), and quartz (SiO2) were the main gangue minerals. A small amount of galena and sphalerite were concomitant in the ore. The low content of lead and zinc and the complex co-occurrence relationships between minerals, especially iron and zinc, would bring a challenge to the efficient separation of the ore.
A flow sheet consisting of “lead preferred flotation-zinc flotation” was employed. The best performance for lead flotation was obtained at a grinding fineness of accounting for 85% with particle size −74μm, a Na2CO3 dosage of 1000 g/t, a Na2S dosage of 2000 g/t, an isoamyl xanthate dosage of 200 g/t and pine oil of 40 g/t. The recommended agent dosages for zinc roughing were as follows: the Na2S dosage was 12,000 g/t, the mixed depressants dosage was 400 g/t DCCH and 1000 g/t sodium silicate; the mixed collector dosages were 200 g/t cationic collector and 400 g/t anionic collector. In addition, the influence order of experimental factors on lead flotation was as follows: grinding fineness > sodium carbonate > isoamyl xanthate > sodium sulfide. The influence order of experimental factors on zinc flotation was as follows: DCCH, > anionic collector > cationic collector > sodium silicate > sodium sulfide. An all-open flotation process consisting of “two-times lead rougher-one-time lead cleaner-two-times zinc-one-time zinc cleaner” was finally employed for the beneficiation of this ore. The Pb grade in the lead rough concentrate was 2.83%, and the Pb and recovery was 57.56%. The Zn grade in the Zn concentrate reached 28.64% with a recovery of 83.45%. The Zn grade in the final tailings was only 0.59%. Thus, the presence of a flotation flowchart and reagent regime effectively beneficiates this ore, which could provide important technical support for the processing of similar ores. However, attention must be paid to the optimization of the process flow and reagent systems for industrial applications, such as the reduction of sodium sulfide dosage and the increase in the Pb concentrate grade.
Author Contributions
Conceptualization, Writing-review and editing, A.Y.; Investigation, Data curation, Z.D.; Conceptualization, Methodology, Visualization, Investigation, J.Y.; Conceptualization and review, Q.F.; Conceptualization, writing review and editing, S.B.; Supervision, S.W. All authors have read and agreed to the published version of the manuscript.
Funding
This work was supported by the National Natural Science Foundation of China (Grant No.52164021); the Natural Science Foundation of Yunnan Province (Grant No. 2019FB078); and the Special Funds for this research project (Grant No. CCC21321119A and Grant No. CA22369M062A).
Data Availability Statement
All data generated during the current study are available in full with in this article.
Conflicts of Interest
The authors declare no conflict of interest.
References
- Moradi, S.; Monhemius, A.J. Mixed sulphide–oxide lead and zinc ores: Problems and solutions. Miner. Eng. 2011, 24, 1062–1076. [Google Scholar] [CrossRef]
- Saidi, M.; Kadkhodayan, H. Experimental and theoretical evaluation of zinc recovery from zinc oxide ore: Process optimization and simulation using Aspen Plus software. Int. J. Chem. React. Eng. 2020, 18, 103772. [Google Scholar] [CrossRef]
- Ahmed, I.M.; Nayl, A.A.; Daoud, J.A. Leaching and Recovery of Zinc and Copper from Brass Slag by Sulfuric Acid. J. Saudi Chem. Soc. 2016, 20, S280–S285. [Google Scholar] [CrossRef]
- Brough, C.P.; Warrender, R.; Bowell, R.J.; Barnes, A.; Parbhakar-Fox, A. The process mineralogy of mine wastes. Miner. Eng. 2013, 52, 125–135. [Google Scholar] [CrossRef]
- Lotter, N.O.; Baum, W.; Reeves, S.; Arruéd, C.; Bradshaw, D.J. The business value of best practice process mineralogy. Miner. Eng. 2018, 116, 226–238. [Google Scholar] [CrossRef]
- Cabri, L.J.; Beattie, M.; Rudashevsky, N.S.; Rudashevsky, V.N. Process mineralogy of Au, Pd and Pt ores from the Skaergaard intrusion, Greenland, using new technology. Miner. Eng. 2005, 18, 887–897. [Google Scholar] [CrossRef]
- Bastien, D.; Deyan, M.; Hassan, B.; Stoyan, G. Mineralogical study of electrum grain size, shape and mineral chemistry in process streams from the Krumovgrad mine, Bulgaria. Miner. Eng. 2023, 198, 108080. [Google Scholar]
- Bahrami, A.; Abdollahi, M.; Mirmohammadi, M.; Kazemi, F.; Shokrzadeh, M. A Process mineralogy approach to study the efficiency of milling of molybdenite circuit processing. Sci. Rep. 2020, 10, 21211. [Google Scholar] [CrossRef]
- Li, H.; Wu, X.; Wang, M.; Wang, J.; Wu, S.; Yao, X.; Li, L. Separation of elemental sulfur from zinc concentrate direct leaching residue by vacuum distillation. Sep. Purif. Technol. 2014, 138, 41–46. [Google Scholar] [CrossRef]
- Muravyov, M. Zinc leaching from sulfidic concentrate in two-step biohydrometallurgical process. J. Biotechnol. 2019, 305, S51. [Google Scholar] [CrossRef]
- Tsogtkhankhai, D.; Mamyachenkov, S.V.; Anisimova, O.S.; Naboichenko, S.S. Thermodynamics of reactions during nitric acid leaching of minerals of a copper concentrate. Russ. J. Non-Ferr. Met. 2011, 52, 135–139. [Google Scholar] [CrossRef]
- Chaudhury, G.R.; Sukla, L.B.; Das, R.P. Kinetics of biochemical leaching of sphalerite concentrate. Metall. Trans. B 1985, 16, 667–670. [Google Scholar] [CrossRef]
- Wang, L.; Gao, Z.; Tang, H.; Wang, L.; Han, H.; Sun, W.; Qu, Y.; Yang, Y. Copper recovery from copper slags through flotation enhanced by sodium carbonate synergistic mechanical activation. J. Environ. Chem. Eng. 2022, 10, 107671. [Google Scholar]
- Hosseini, S.H.; Forssberg, E. Physicochemical studies of smithsonite flotation using mixed anionic/cationic collector. Miner. Eng. 2007, 20, 621–624. [Google Scholar] [CrossRef]
- Wang, L.; Lyu, W.; Zhou, W.; Zhang, H. The role of sodium phytate in the flotation separation of smithsonite from calcite. Miner. Eng. 2022, 23, 107775. [Google Scholar] [CrossRef]
- Wen, S.M.; Feng, Q.C. Formation of zinc sulfide species on smithsonite surfaces and its response to flotation performance. J. Alloys Compd. 2017, 709, 602–608. [Google Scholar]
- Li, Y.; Wang, J.K.; Wei, C.; Liu, C.X.; Jiang, J.B.; Wang, F.C. Sulfidation roasting of low grade lead–zinc oxide ore with elemental sulfur. Miner. Eng. 2010, 23, 563–566. [Google Scholar] [CrossRef]
- Da, J.; Ruofan, S.; Guoyong, W.; Jiushuai, D.; Xi, Z. Flotation separation of fluorite and calcite using anhydrous glucose and aluminum sulfate as a combined depressant. Appl. Surf. Sci. 2023, 624, 157089. [Google Scholar]
- Wang, M.T.; Zhang, G.F.; Zhao, L.; Chen, Y.F.; Liu, D.Z.; Li, C.B. Application of eco-friendly tetrasodium iminodisuccinate for separation of smithsonite from zinc ions activated quartz. Miner. Eng. 2022, 181, 107545. [Google Scholar] [CrossRef]
- Salum, M.J.G.; De Araujo, A.C.; Peres, A.E.C. The role of sodium sulphide in amine flotation of silicate zinc minerals. Miner. Eng. 1992, 5, 411–419. [Google Scholar] [CrossRef]
- Liu, C.; Zhang, W.C.; Song, S.X.; Li, H.Q.; Jiao, X.K. A novel insight of the effect of sodium chloride on the sulfidization flotation of cerussite. Powder Technol. 2019, 344, 103–107. [Google Scholar] [CrossRef]
- Atani, S.E.; Tekir, U.; Sebitla, L.D. Effects of additives in froth flotation of silicate zinc ore; a study by zeta potential measurement and infrared spectroscopy. Chiang Mai J. Sci. 2007, 34, 191–200. [Google Scholar]
- Wang, Y.H.; Sun, D.X.; Wang, L.G.; Zhou, Y.L. Effects of sodium tripolyphosphate and sodium carbonate on the selective flocculation of diasporic-bauxite in the presence of calcium and magnesium ions. Miner. Eng. 2011, 24, 1031–1037. [Google Scholar]
- Filippov, L.O.; Foucaud, Y.; Filippova, I.V.; Badawi, M. New reagent formulations for selective flotation of scheelite from a skarn ore with complex calcium minerals gangue. Miner. Eng. 2018, 123, 85–94. [Google Scholar] [CrossRef]
- Cheng, L.; Feng, Q.M.; Zhang, G.F.; Chen, W.; Chen, Y.F. Effect of depressants in the selective flotation of scheelite and calcite using oxidized paraffin soap as collector. Int. J. Miner. Process. 2016, 157, 210–215. [Google Scholar]
- Kupka, N.; Martin, R. Role of sodium carbonate in scheelite flotation—A multi-faceted reagent. Miner. Eng. 2018, 129, 120–128. [Google Scholar] [CrossRef]
- Chen, Y.; Zhang, G.; Wang, M.; Shi, Q.; Liu, D.; Li, Q. Utilization of sodium carbonate to eliminate the adverse effect of Ca2+ on smithsonite sulphidisation flotation. Miner. Eng. 2019, 132, 121–125. [Google Scholar] [CrossRef]
- Kupka, N.; Rudolph, M. Froth flotation of scheelite—A review. Int. J. Min. Sci. Technol. 2018, 28, 373–384. [Google Scholar] [CrossRef]
- Marion, C.; Li, R.; Waters, K.E. A review of reagents applied to rare-earth mineral flotation. Adv. Colloid Interface Sci. 2020, 279, 102142. [Google Scholar] [CrossRef] [PubMed]
- Qin, W.Q.; Hu, J.J.; Zhu, H.L.; Jiao, F.; Jia, W.H.; Han, J.W.; Chen, W.Q. Effect of depressants on flotation separation of magnesite from dolomite and calcite. Int. J. Min. Sci. Technol. 2023, 33, 83–91. (In Chinese) [Google Scholar] [CrossRef]
- Qin, W.Q.; Hu, J.J.; Zhu, H.L.; Jiao, F.; Pan, Z.C.; Jia, W.H.; Han, J.W.; Chen, C. Selective inhibition mechanism of PBTCA on flotation separation of magnesite from calcite. Colloids Surf. A 2021, 630, 127597. [Google Scholar] [CrossRef]
- Irannajad, M.; Ejtemaei, M.; Gharabaghi, M. The effect of reagents on selective flotation of smithsonite–calcite–quartz. Miner. Eng. 2009, 22, 766–771. [Google Scholar] [CrossRef]
- Ejtemaei, M.; Irannajad, M.; Gharabaghi, M. Influence of important factors on flotation of zinc oxide mineral using cationic, anionic and mixed (cationic/anionic) collectors. Miner. Eng. 2011, 24, 1402–1408. [Google Scholar] [CrossRef]
Disclaimer/Publisher’s Note: The statements, opinions and data contained in all publications are solely those of the individual author(s) and contributor(s) and not of MDPI and/or the editor(s). MDPI and/or the editor(s) disclaim responsibility for any injury to people or property resulting from any ideas, methods, instructions or products referred to in the content. |
© 2023 by the authors. Licensee MDPI, Basel, Switzerland. This article is an open access article distributed under the terms and conditions of the Creative Commons Attribution (CC BY) license (https://creativecommons.org/licenses/by/4.0/).












