Discrimination of Quartz Genesis Based on Explainable Machine Learning
Abstract
1. Introduction
2. Compiled Data
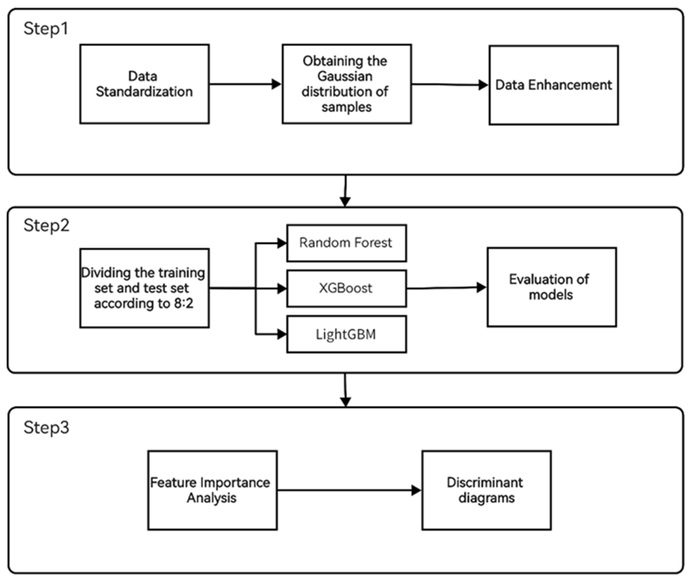
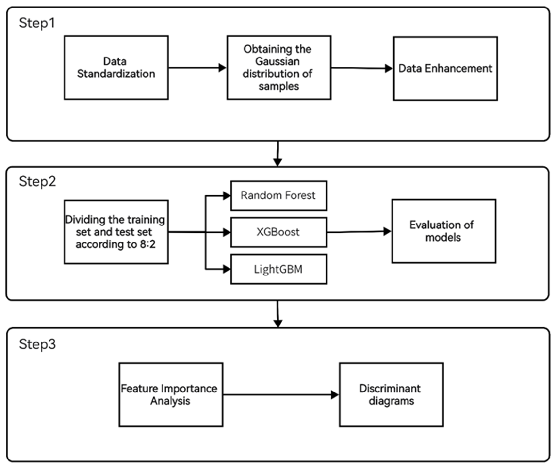
3. Methods
3.1. Data Preprocessing
3.2. Building Classifiers
3.3. Feature Importance Analysis
4. Results
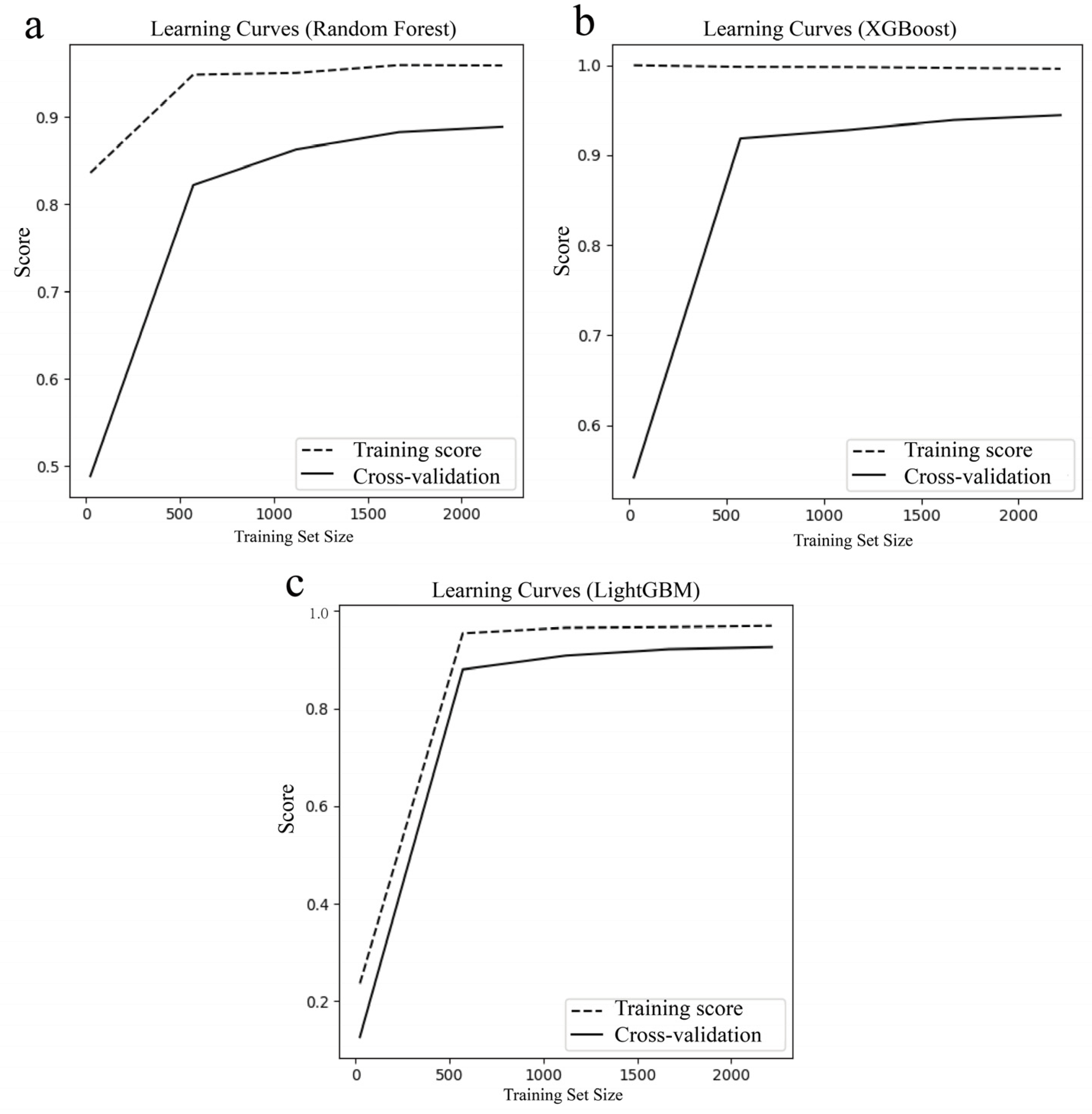
4.1. Tuning Parameters
4.2. Output of Classifier Models
5. Discussion
5.1. Feature Importance Analysis
5.2. Discriminant Diagram Based on Machine Learning
6. Conclusions
Author Contributions
Funding
Data Availability Statement
Conflicts of Interest
References
- Mao, W.; Rusk, B.; Yang, F.C.; Zhang, M.J. Physical and Chemical Evolution of the Dabaoshan Porphyry Mo Deposit, South China: Insights from Fluid Inclusions, Cathodoluminescence, and Trace Elements in Quartz. Econ. Geol. 2017, 112, 889–918. [Google Scholar] [CrossRef]
- Maydagan, L.; Fanchini, M.; Rusk, B.; Lentz, D.R.; McFarlane, C.; Impiccini, A.; Rios, F.J.; Rey, R. Porphyry to Epithermal Transition in the Altar Cu-(Au-Mo) Deposit, Argentina, Studied by Cathodoluminescence, LA-ICP-MS, and Fluid Inclusion Analysis. Econ. Geol. 2015, 110, 889–923. [Google Scholar] [CrossRef]
- Thomas, J.B.; Watson, E.B.; Spear, F.S.; Shemella, P.T.; Nayak, S.K.; Lanzirotti, A. TitaniQ under pressure: The effect of pressure and temperature on the solubility of Ti in quartz. Contrib. Mineral. Petrol. 2010, 160, 743–759. [Google Scholar] [CrossRef]
- Allan, M.M.; Yardley, B.W.D. Tracking meteoric infiltration into a magmatic-hydrothermal system: A cathodoluminescence, oxygen isotope and trace element study of quartz from Mt. Leyshon, Australia. Chem. Geol. 2007, 240, 343–360. [Google Scholar] [CrossRef]
- Wark, D.A.; Watson, E.B. TitaniQ: A titanium-in-quartz geothermometer. Contrib. Mineral. Petrol. 2006, 152, 743–754. [Google Scholar] [CrossRef]
- Kronz, A.; van den Kerkhof, A.M.; Muller, A. Analysis of low element concentrations in quartz by electron microprobe. In Quartz: Deposits, Mineralogy and Analytics; Springer: Berlin/Heidelberg, Germany, 2012; pp. 191–217. [Google Scholar] [CrossRef]
- Shah, S.A.; Shao, Y.J.; Zhang, Y.; Zhao, H.T.; Zhao, L.J. Texture and Trace Element Geochemistry of Quartz: A Review. Minerals 2022, 12, 1042. [Google Scholar] [CrossRef]
- Breiter, K.; Durisova, J.; Dosbaba, M. Quartz chemistry—A step to understanding magmatic-hydrothermal processes in ore-bearing granites: Cinovec/Zinnwald Sn-W-Li deposit, Central Europe. Ore Geol. Rev. 2017, 90, 25–35. [Google Scholar] [CrossRef]
- Götze, J. Chemistry, textures and physical properties of quartz—Geological interpretation and technical application. Mineral. Mag. 2009, 73, 645–671. [Google Scholar] [CrossRef]
- Schrön, W.; Schmädicke, E.; Thomas, R.; Schmidt, W. Geochemische Untersuchungen an Pegmatitquarzen. Z. Geol. Wiss. 1988, 16, 229–244. [Google Scholar]
- Rusk, B.J.Q.D. Cathodoluminescent textures and trace elements in hydrothermal quartz. In Quartz: Deposits, Mineralogy and Analytics; Springer: Berlin/Heidelberg, Germany, 2012; pp. 307–329. [Google Scholar] [CrossRef]
- Feng, Y.Z.; Zhang, Y.; Xie, Y.L.; Shao, Y.J.; Tan, H.J.; Li, H.B.; Lai, C.K. Ore-forming mechanism and physicochemical evolution of Gutaishan Au deposit, South China: Perspective from quartz geochemistry and fluid inclusions. Ore Geol. Rev. 2020, 119, 12. [Google Scholar] [CrossRef]
- Landtwing, M.R.; Pettke, T. Relationships between SEM-cathodoluminescence response and trace-element composition of hydrothermal vein quartz. Am. Miner. 2005, 90, 122–131. [Google Scholar] [CrossRef]
- Wang, P.; Glover, L. A tectonics test of the most commonly used geochemical discriminant diagrams and patterns. Earth-Sci. Rev. 1992, 33, 111–131. [Google Scholar] [CrossRef]
- Kempe, U.; Götze, J.; Dombon, E.; Monecke, T.; Poutivtsev, M.J.Q.D. Quartz regeneration and its use as a repository of genetic information. In Quartz: Deposits, Mineralogy and Analytics; Springer: Berlin/Heidelberg, Germany, 2012; pp. 331–355. [Google Scholar] [CrossRef]
- Wang, Y.; Qiu, K.F.; Müller, A.; Hou, Z.L.; Zhu, Z.H.; Yu, H.C. Machine Learning Prediction of Quartz Forming-Environments. J. Geophys. Res. Solid Earth 2021, 126, e2021JB021925. [Google Scholar] [CrossRef]
- Rottier, B.; Casanova, V. Trace element composition of quartz from porphyry systems: A tracer of the mineralizing fluid evolution. Miner. Depos. 2021, 56, 843–862. [Google Scholar] [CrossRef]
- Peterkova, T.; Dolejs, D. Magmatic-hydrothermal transition of Mo-W-mineralized granite-pegmatite-greisen system recorded by trace elements in quartz: Krupka district, Eastern Krusne hory/Erzgebirge. Chem. Geol. 2019, 523, 179–202. [Google Scholar] [CrossRef]
- Li, Y.E.; O’Malley, D.; Beroza, G.; Curtis, A.; Johnson, P. Machine Learning Developments and Applications in Solid-Earth Geosciences: Fad or Future? J. Geophys. Res. Solid Earth 2023, 128, 7. [Google Scholar] [CrossRef]
- Ueki, K.; Hino, H.; Kuwatani, T. Geochemical Discrimination and Characteristics of Magmatic Tectonic Settings: A Machine-Learning-Based Approach. Geochem. Geophys. Geosyst. 2018, 19, 1327–1347. [Google Scholar] [CrossRef]
- Petrelli, M.; Perugini, D. Solving petrological problems through machine learning: The study case of tectonic discrimination using geochemical and isotopic data. Contrib. Mineral. Petrol. 2016, 171, 15. [Google Scholar] [CrossRef]
- Doucet, L.S.; Tetley, M.G.; Li, Z.-X.; Liu, Y.; Gamaleldien, H. Geochemical fingerprinting of continental and oceanic basalts: A machine learning approach. Earth Sci. Rev. 2022, 233, 104192. [Google Scholar] [CrossRef]
- Zhang, P.; Zhang, Z.J.; Yang, J.; Cheng, Q.M. Machine Learning Prediction of Ore Deposit Genetic Type Using Magnetite Geochemistry. Nat. Resour. Res. 2023, 32, 99–116. [Google Scholar] [CrossRef]
- Saha, R.; Upadhyay, D.; Mishra, B. Discriminating Tectonic Setting of Igneous Rocks Using Biotite Major Element chemistry—A Machine Learning Approach. Geochem. Geophys. Geosyst. 2021, 22, 29. [Google Scholar] [CrossRef]
- Zhou, T.; Cai, Y.W.; An, M.G.; Zhou, F.; Zhi, C.L.; Sun, X.C.; Tamer, M. Visual Interpretation of Machine Learning: Genetical Classification of Apatite from Various Ore Sources. Minerals 2023, 13, 13. [Google Scholar] [CrossRef]
- Zhong, X.T.; Gallagher, B.; Liu, S.S.; Kailkhura, B.; Hiszpanski, A.; Han, T.Y.J. Explainable machine learning in materials science. NPJ Comput. Mater. 2022, 8, 19. [Google Scholar] [CrossRef]
- Lisboa, P.J.G.; Saralajew, S.; Vellido, A.; Fernandez-Domenech, R.; Villmann, T. The coming of age of interpretable and explainable machine-learning models. Neurocomputing 2023, 535, 25–39. [Google Scholar] [CrossRef]
- Selvaratnam, B.; Oliynyk, A.O.; Mar, A. Interpretable Machine Learning in Solid-State Chemistry, with Applications to Perovskites, Spinels, and Rare-Earth Intermetallics: Finding Descriptors Using Decision Trees. Inorg. Chem. 2023, 62, 10865–10875. [Google Scholar] [CrossRef] [PubMed]
- Bussmann, N.; Giudici, P.; Marinelli, D.; Papenbrock, J. Explainable Machine Learning in Credit Risk Management. Comput. Econ. 2021, 57, 203–216. [Google Scholar] [CrossRef]
- Ahmad, M.A.; Eckert, C.; Teredesai, A.; Soc, I.C. Interpretable Machine Learning in Healthcare. In Proceedings of the 6th IEEE International Conference on Healthcare Informatics (ICHI), New York, NY, USA, 4–7 June 2018; p. 447. [Google Scholar]
- Breiman, L.J.M.L. Random forests. Mach. Learn. 2001, 45, 5–32. [Google Scholar] [CrossRef]
- Li, X.M.; Zhang, Y.X.; Li, Z.K.; Zhao, X.F.; Zuo, R.G.; Xiao, F.; Zheng, Y. Discrimination of Pb-Zn deposit types using sphalerite geochemistry: New insights from machine learning algorithm. Geosci. Front. 2023, 14, 20. [Google Scholar] [CrossRef]
- Qin, B.; Huang, F.; Huang, S.C.; Python, A.; Chen, Y.F.; ZhangZhou, J. Machine Learning Investigation of Clinopyroxene Compositions to Evaluate and Predict Mantle Metasomatism Worldwide. J. Geophys. Res. Solid Earth 2022, 127, 15. [Google Scholar] [CrossRef]
- Lundberg, S.M.; Erion, G.G.; Lee, S.I. Consistent individualized feature attribution for tree ensembles. arXiv 2018, arXiv:1802.03888. [Google Scholar] [CrossRef]
- Lundberg, S.M.; Nair, B.; Vavilala, M.S.; Horibe, M.; Eisses, M.J.; Adams, T.; Liston, D.E.; Low, D.K.W.; Newman, S.F.; Kim, J.; et al. Explainable machine-learning predictions for the prevention of hypoxaemia during surgery. Nat. Biomed. Eng 2018, 2, 749–760. [Google Scholar] [CrossRef] [PubMed]
- Parsa, A.B.; Movahedi, A.; Taghipour, H.; Derrible, S.; Mohammadian, A. Toward safer highways, application of XGBoost and SHAP for real-time accident detection and feature analysis. Accid. Anal. Prev. 2020, 136, 8. [Google Scholar] [CrossRef]
- Rodriguez-Perez, R.; Bajorath, J. Interpretation of machine-learning models using shapley values: Application to compound potency and multi-target activity predictions. J. Comput. Aided Mol. Des. 2020, 34, 1013–1026. [Google Scholar] [CrossRef] [PubMed]
- Mangalathu, S.; Hwang, S.H.; Jeon, J.S. Failure mode and effects analysis of RC members based on machine-learning-based SHapley Additive exPlanations (SHAP) approach. Eng. Struct. 2020, 219, 10. [Google Scholar] [CrossRef]
- Chawla, N.V.; Bowyer, K.W.; Hall, L.O.; Kegelmeyer, W.P. SMOTE: Synthetic minority over-sampling technique. J. Artif. Intell. Res. 2002, 16, 321–357. [Google Scholar] [CrossRef]
- Van der Maaten, L.; Hinton, G. Visualizing Data using t-SNE. J. Mach. Learn. Res. 2008, 9, 2579–2605. [Google Scholar]
- Wang, Y.; Qiu, K.F.; Hou, Z.L.; Yu, H.C. Quartz Ti/Ge-P discrimination diagram: A machine learning based approach for deposit classification. Acta Petrol. Sin. 2022, 38, 281–290. [Google Scholar] [CrossRef]
- Götze, T.; Ramseyer, K. Trace Element Characteristics, Luminescence Properties and Real Structure of Quartz. In Quartz: Deposits, Mineralogy and Analytics; Götze, J., Möckel, R., Eds.; Springer: Berlin/Heidelberg, Germany, 2012; pp. 265–285. [Google Scholar]
- Breiter, K.; Svojtka, M.; Ackerman, L.; Svecova, K. Trace element composition of quartz from the Variscan Altenberg-Teplice caldera (Krusne hory/Erzgebirge Mts, Czech Republic/Germany): Insights into the volcano-plutonic complex evolution. Chem. Geol. 2012, 326, 36–50. [Google Scholar] [CrossRef]
- Breiter, K.; Badanina, E.; Durisova, J.; Dosbaba, M.; Syritso, L. Chemistry of quartz—A new insight into the origin of the Orlovka Ta-Li deposit, Eastern Transbaikalia, Russia. Lithos 2019, 348, 13. [Google Scholar] [CrossRef]
- Monnier, L.; Lach, P.; Salvi, S.; Melleton, J.; Bailly, L.; Beziat, D.; Monnier, Y.; Gouy, S. Quartz trace-element composition by LA-ICP-MS as proxy for granite differentiation, hydrothermal episodes, and related mineralization: The Beauvoir Granite (Echassieres district), France. Lithos 2018, 320, 355–377. [Google Scholar] [CrossRef]
- Pacak, K.; Zacharias, J.; Strnad, L. Trace-element chemistry of barren and ore-bearing quartz of selected Au, Au-Ag and Sb-Au deposits from the Bohemian Massif. J. Geosci. 2019, 64, 19–35. [Google Scholar] [CrossRef]
- Müller, A.; Herklotz, G.; Giegling, H. Chemistry of quartz related to the Zinnwald/Cinovec Sn-W-Li greisen-type deposit, Eastern Erzgebirge, Germany. J. Geochem. Explor. 2018, 190, 357–373. [Google Scholar] [CrossRef]
- Li, J.W.; Hu, R.Z.; Xiao, J.F.; Zhuo, Y.Z.; Yan, J.; Oyebamiji, A. Genesis of gold and antimony deposits in the Youjiang metallogenic province, SW China: Evidence from in situ oxygen isotopic and trace element compositions of quartz. Ore Geol. Rev. 2020, 116, 16. [Google Scholar] [CrossRef]
- Yan, J.; Mavrogenes, J.A.; Liu, S.; Coulson, I.M. Fluid properties and origins of the Lannigou Carlin-type gold deposit, SW China: Evidence from SHRIMP oxygen isotopes and LA-ICP-MS trace element compositions of hydrothermal quartz. J. Geochem. Explor. 2020, 215, 14. [Google Scholar] [CrossRef]
- Tanner, D.; Henley, R.W.; Mavrogenes, J.A.; Holden, P. Combining in situ isotopic, trace element and textural analyses of quartz from four magmatic-hydrothermal ore deposits. Contrib. Mineral. Petrol. 2013, 166, 1119–1142. [Google Scholar] [CrossRef]
- Feng, K. Refined Metallogenic Processes and Fluid Evolutions of Gold Deposits in the Penglai-Qixia Belt, Jiaodong. Ph.D. Thesis, University of Chinese Academy of Sciences, Beijing, China, 2020. [Google Scholar]
- Wolff, W. Microstructures and Trace Element Signatures of Orogenic Quartz Veins in the Klondike District, Yukon Territory, Canada; University of British Columbia Library: Vancouver, BC, Canada, 2012. [Google Scholar] [CrossRef]
- Beurlen, H.; Muller, A.; Silva, D.; da Silva, M.R.R. Petrogenetic significance of LA-ICP-MS trace-element data on quartz from the Borborema Pegmatite Province, northeast Brazil. Mineral. Mag. 2011, 75, 2703–2719. [Google Scholar] [CrossRef]
- Tang, H.; Zhang, H. Characteristics of Trace Elements in Quartz from No. 3 Pegmatite, Koktokay area, Xinjiang Autonomous Region, China and implication for Magmatic-Hydrothermal Evolution. Acta Mineral. Sin. 2018, 38, 15–24. [Google Scholar]
- Götze, J.; Plotze, M.; Trautmann, T. Structure and luminescence characteristics of quartz from pegmatites. Am. Miner. 2005, 90, 13–21. [Google Scholar] [CrossRef]
- Mao, W.; Zhong, H.; Zhu, W.G.; Lin, X.G.; Zhao, X.Y. Magmatic-hydrothermal evolution of the Yuanzhuding porphyry Cu-Mo deposit, South China: Insights from mica and quartz geochemistry. Ore Geol. Rev. 2018, 101, 765–784. [Google Scholar] [CrossRef]
- Xue, Q.W.; Wang, R.; Liu, S.Y.; Shi, W.X.; Tong, X.S.; Li, Y.Y.; Sun, F. Significance of chlorite hyperspectral and geochemical characteristics in exploration: A case study of the giant Qulong porphyry Cu-Mo deposit in collisional orogen, Southern Tibet. Ore Geol. Rev. 2021, 134, 104156. [Google Scholar] [CrossRef]
- Zhang, Y.; Cheng, J.M.; Tian, J.; Pan, J.; Sun, S.Q.; Zhang, L.J.; Zhang, S.T.; Chu, G.B.; Zhao, Y.J.; Lai, C. Texture and trace element geochemistry of quartz in skarn system: Perspective from Jiguanzui Cu-Au skarn deposit, Eastern China. Ore Geol. Rev. 2019, 109, 535–544. [Google Scholar] [CrossRef]
- Zhao, X.Y.; Zheng, Y.C.; Yang, Z.S.; Hu, Y. Formation and evolution of multistage ore-forming fluids in the Miocene Bangpu porphyry-skarn deposit, Southern Tibet: Insights from LA-ICP-MS trace elements of quartz and fluid inclusions. J. Asian Earth Sci. 2020, 204, 20. [Google Scholar] [CrossRef]
- Shanker, M.; Hu, M.Y.; Hung, M.S. Effect of data standardization on neural network training. Omega-Int. J. Manag. Sci. 1996, 24, 385–397. [Google Scholar] [CrossRef]
- AlShboul, R.; Thabtah, F.; Abdelhamid, N.; Al-Diabat, M. A visualization cybersecurity method based on features’ dissimilarity. Comput. Secur. 2018, 77, 289–303. [Google Scholar] [CrossRef]
- Thabtah, F.; Hammoud, S.; Kamalov, F.; Gonsalves, A.J.I.S. Data imbalance in classification: Experimental evaluation. Inf. Sci. 2020, 513, 429–441. [Google Scholar] [CrossRef]
- Vakharia, V.; Shah, M.L.; Nair, P.; Borade, H.; Sahlot, P.; Wankhede, V. Estimation of Lithium-ion Battery Discharge Capacity by Integrating Optimized Explainable-AI and Stacked LSTM Model. Batteries 2023, 9, 125. [Google Scholar] [CrossRef]
- Wang, X.Y.; Zhang, W.Y.; Zhang, W.D.; Ai, Y.B. A Machine Learning Method for Predicting Corrosion Weight Gain of Uranium and Uranium Alloys. Materials 2023, 16, 631. [Google Scholar] [CrossRef]
- Chen, T.; Guestrin, C. Xgboost: A scalable tree boosting system. In Proceedings of the 22nd ACM SIGKDD International Conference on Knowledge Discovery and Data Mining, San Francisco, CA, USA, 13–17 August 2016; pp. 785–794. [Google Scholar]
- Ke, G.L.; Meng, Q.; Finley, T.; Wang, T.F.; Chen, W.; Ma, W.D.; Ye, Q.W.; Liu, T.Y. LightGBM: A Highly Efficient Gradient Boosting Decision Tree. In Proceedings of the 31st Annual Conference on Neural Information Processing Systems (NIPS), Long Beach, CA, USA, 4–9 December 2017. [Google Scholar]
- Prechelt, L. Automatic early stopping using cross validation: Quantifying the criteria. Neural Netw. 1998, 11, 761–767. [Google Scholar] [CrossRef] [PubMed]
- Krstinic, D.; Seric, L.; Slapnicar, I. Comments on “MLCM: Multi-Label Confusion Matrix”. IEEE Access 2023, 11, 40692–40697. [Google Scholar] [CrossRef]
- Perlich, C. IBM Research Report: Learning Curves in Machine Learning; IBM: Armonk, NY, USA, 2010. [Google Scholar]
- Kumar, I.E.; Venkatasubramanian, S.; Scheidegger, C.; Friedler, S.A. Problems with Shapley-value-based explanations as feature importance measures. In Proceedings of the International Conference on Machine Learning (ICML), Online, 13–18 July 2020. [Google Scholar]
- Rusk, B.G.; Lowers, H.A.; Reed, M.H. Trace elements in hydrothermal quartz: Relationships to cathodoluminescent textures and insights into vein formation. Geology 2008, 36, 547–550. [Google Scholar] [CrossRef]
- Beurlen, H.; Thomas, R.; da Silva, M.R.R.; Muller, A.; Rhede, D.; Soares, D.R. Perspectives for Li- and Ta-Mineralization in the Borborema Pegmatite Province, NE-Brazil: A review. J. S. Am. Earth Sci. 2014, 56, 110–127. [Google Scholar] [CrossRef]
- Götze, J.; Pan, Y.M.; Müller, A. Mineralogy and mineral chemistry of quartz: A review. Mineral. Mag. 2021, 85, 639–664. [Google Scholar] [CrossRef]













| Locations | Type | Reference |
|---|---|---|
| Altenberg–Teplice | granite | [43] |
| Cínovec-Zinnwald granite | granite | [44] |
| Orlovka granite | granite | [44] |
| Beauvoir granite | granite | [45] |
| Petrackova hora granite | granite | [46] |
| Mokrsko granite | granite | [46] |
| Krupka granite | granite | [47] |
| Cínovec-Zinnwald greisen | greisen | [48] |
| Beauvoir greisen | greisen | [45] |
| Zinnwald | greisen | [47] |
| Krupka greisen | greisen | [48] |
| Yata areas | Carlin | [48] |
| Lannigou Carlin-type | Carlin | [49] |
| Cerro de Pasco | epithermal | [17] |
| Colquijirca | epithermal | [50] |
| Summitville Au–Ag–Cu | epithermal | [50] |
| El Indio Au–Ag–Cu | epithermal | [51] |
| Penglai-Xixia | orogenic | [51] |
| Gutaishan | orogenic | [12] |
| Roudný | orogenic | [46] |
| Libcice | orogenic | [46] |
| Krásná Hora | orogenic | [46] |
| Kasejovice | orogenic | [46] |
| Jílové | orogenic | [46] |
| Klondike | orogenic | [52] |
| Borborema | pegmatite | [53] |
| Mokrsko pegmatite | pegmatite | [46] |
| Krupka pegmatite | pegmatite | [48] |
| Koktokay area | pegmatite | [54] |
| Evje and Froland areas | pegmatite | [55] |
| Dabaoshan | porphyry | [1] |
| Yuanzhuding | porphyry | [56] |
| Beauvoir porphyry | porphyry | [46] |
| Qulong porphyry | porphyry | [57] |
| Jiguanzui | Skarn | [58] |
| Miocene Bangpu | Skarn | [59] |
| Model | Parameters | Range | Selected Parameters |
|---|---|---|---|
| Random Forest | N estimators | 100–1000 | 600 |
| Max depth | 5–20 | 18 | |
| Min samples split | 2–10 | 5 | |
| Min samples leaf | 1–5 | 3 | |
| LightGBM | Learning rate | 0–1 | 0.1 |
| Max depth | 3–12 | 3 | |
| Min child weight | 1–10 | 2 | |
| N estimators | 100–1000 | 600 | |
| XGBoost | Learning rate | 0–1 | 0.1 |
| Max depth | 3–10 | 3 | |
| Min child weight | 1–10 | 5 | |
| N estimators | 100–1000 | 800 | |
| subsample | 0.5–1.0 | 0.8 |
Disclaimer/Publisher’s Note: The statements, opinions and data contained in all publications are solely those of the individual author(s) and contributor(s) and not of MDPI and/or the editor(s). MDPI and/or the editor(s) disclaim responsibility for any injury to people or property resulting from any ideas, methods, instructions or products referred to in the content. |
© 2023 by the authors. Licensee MDPI, Basel, Switzerland. This article is an open access article distributed under the terms and conditions of the Creative Commons Attribution (CC BY) license (https://creativecommons.org/licenses/by/4.0/).
Share and Cite
Zhu, G.-D.; Niu, Y.-Y.; Liao, S.-B.; Ruan, L.; Zhang, X.-H. Discrimination of Quartz Genesis Based on Explainable Machine Learning. Minerals 2023, 13, 997. https://doi.org/10.3390/min13080997
Zhu G-D, Niu Y-Y, Liao S-B, Ruan L, Zhang X-H. Discrimination of Quartz Genesis Based on Explainable Machine Learning. Minerals. 2023; 13(8):997. https://doi.org/10.3390/min13080997
Chicago/Turabian StyleZhu, Guo-Dong, Yun-Yun Niu, Shu-Bing Liao, Long Ruan, and Xiao-Hao Zhang. 2023. "Discrimination of Quartz Genesis Based on Explainable Machine Learning" Minerals 13, no. 8: 997. https://doi.org/10.3390/min13080997
APA StyleZhu, G.-D., Niu, Y.-Y., Liao, S.-B., Ruan, L., & Zhang, X.-H. (2023). Discrimination of Quartz Genesis Based on Explainable Machine Learning. Minerals, 13(8), 997. https://doi.org/10.3390/min13080997

