Bioleaching of Valuable Elements from Red Mud: A Study on the Potential of Non-Enriched Biomass
Abstract
1. Introduction
2. Materials and Methods
2.1. Red Mud Characterisation
2.2. Bioleaching Experiments
2.3. Analytical Methods
2.4. Calculations
2.5. Microbial Characterisation
3. Results
3.1. Red Mud Characterisation
3.2. Bioleaching Experimentations
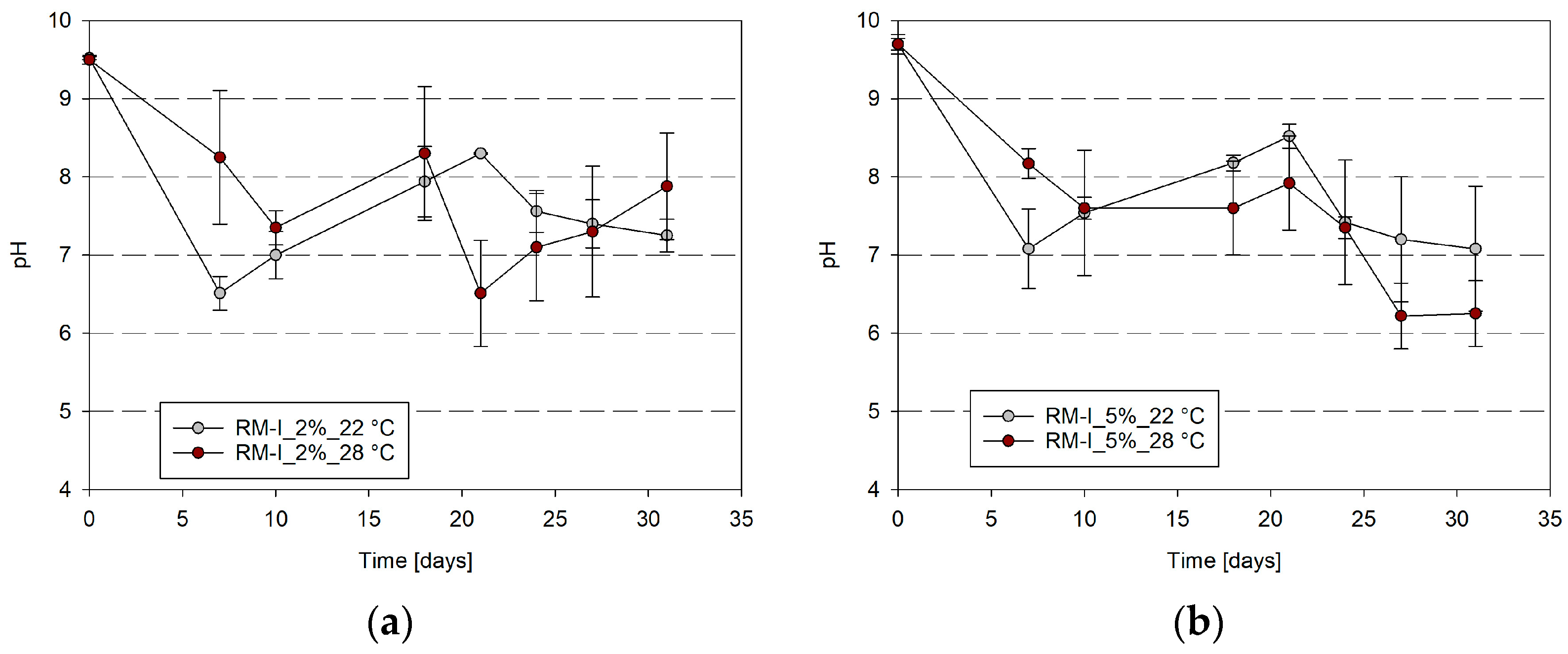
3.2.1. RM-I Bioleaching Results
3.2.2. RM-II Bioleaching Results
4. Discussion
5. Conclusions
Supplementary Materials
Author Contributions
Funding
Data Availability Statement
Acknowledgments
Conflicts of Interest
References
- EIT. EIT RawMaterials Call for KAVA Projects SeedBook User Guide; European Union: Brussels, Belgium, 2020; pp. 1–2. [Google Scholar]
- Vidal, O.; Weihed, P.; Hagelüken, C.; Bol, D.; Christmann, P.; Arndt, N. ERA-MIN Research Agenda. 2013, p. 125. Available online: https://hal.univ-grenoble-alpes.fr/insu-00917653/ (accessed on 19 June 2023).
- Qu, Y.; Li, H.; Wang, X.; Tian, W.; Shi, B.; Yao, M.; Zhang, Y. Bioleaching of Major, Rare Earth, and Radioactive Elements from Red Mud by Using Indigenous Chemoheterotrophic Bacterium Acetobacter sp. Minerals 2019, 9, 67. [Google Scholar] [CrossRef]
- Hind, A.R.; Bhargava, S.K.; Grocott, S.C. The Surface Chemistry of Bayer Process Solids: A Review. Colloids Surf. A Physicochem. Eng. Asp. 1999, 146, 359–374. [Google Scholar] [CrossRef]
- Vakilchap, F.; Mousavi, S.M.; Shojaosadati, S.A. Bioresource Technology Role of Aspergillus Niger in Recovery Enhancement of Valuable Metals from Produced Red Mud in Bayer Process. Bioresour. Technol. 2016, 218, 991–998. [Google Scholar] [CrossRef] [PubMed]
- Ghorbani, Y.; Oliazadeh, M. Shahverdian, Aluminum Solubilization from Red Mud by Some indigenous Fungi in Iran. J. Appl. Biosci. 2008, 7, 207–213. [Google Scholar]
- Qu, Y.; Li, H.; Tian, W.; Wang, X.; Wang, X.; Jia, X.; Shi, B.; Song, G.; Tang, Y. Leaching of Valuable Metals from Red Mud via Batch and Continuous Processes by Using Fungi. Miner. Eng. 2015, 81, 1–4. [Google Scholar] [CrossRef]
- Qu, Y.; Lian, B.; Mo, B.; Liu, C. Bioleaching of Heavy Metals from Red Mud Using Aspergillus Niger. Hydrometallurgy 2013, 136, 71–77. [Google Scholar] [CrossRef]
- Zeng, H.; Lyu, F.; Sun, W.; Zhang, H.; Wang, L.; Wang, Y. Progress on the Industrial Applications of Red Mud with a Focus on China. Minerals 2020, 10, 773. [Google Scholar] [CrossRef]
- Qu, Y.; Lian, B. Bioleaching of Rare Earth and Radioactive Elements from Red Mud Using Penicillium Tricolor RM-10. Bioresour. Technol. 2013, 136, 16–23. [Google Scholar] [CrossRef]
- Jain, N.; Sharma, D.K. Biohydrometallurgy for Nonsulfidic Minerals—A Review. Geomicrobiol. J. 2004, 21, 135–144. [Google Scholar] [CrossRef]
- Sethurajan, M.; van Hullebusch, E.D.; Nancharaiah, Y.V. Biotechnology in the Management and Resource Recovery from Metal Bearing Solid Wastes: Recent Advances. J. Environ. Manag. 2018, 211, 138–153. [Google Scholar] [CrossRef]
- Lee, J.C.; Pandey, B.D. Bio-Processing of Solid Wastes [and Secondary Resources for Metal Extraction—A Review. Waste Manag. 2012, 32, 3–18. [Google Scholar] [CrossRef]
- Zhou, G.; Zhang, H.; Yang, W.; Wu, Z.; Liu, W.; Yang, C. Bioleaching Assisted Foam Fractionation for Recovery of Gold from the Printed Circuit Boards of Discarded Cellphone. Waste Manag. 2020, 101, 200–209. [Google Scholar] [CrossRef]
- Horikoshi, K. Alkaliphiles: Some Applications of Their Products for Biotechnology. Microbiol. Mol. Biol. Rev. 1999, 63, 735–750. [Google Scholar] [CrossRef]
- Klindworth, A.; Pruesse, E.; Schweer, T.; Peplies, J.; Quast, C.; Horn, M.; Glöckner, F.O. Evaluation of General 16S Ribosomal RNA Gene PCR Primers for Classical and Next-Generation Sequencing-Based Diversity Studies. Nucleic Acids Res. 2013, 41, e1. [Google Scholar] [CrossRef] [PubMed]
- Bolyen, E.; Rideout, J.R.; Dillon, M.R.; Bokulich, N.A.; Abnet, C.C.; Al-Ghalith, G.A.; Alexander, H.; Alm, E.J.; Arumugam, M.; Asnicar, F.; et al. Reproducible, Interactive, Scalable and Extensible Microbiome Data Science Using QIIME 2. Nat. Biotechnol. 2019, 37, 852–857. [Google Scholar] [CrossRef] [PubMed]
- Callahan, B.J.; McMurdie, P.J.; Rosen, M.J.; Han, A.W.; Johnson, A.J.H. DADA2: High-Resolution Sample Inference from Illumina Amplicon Data. Nat. Methods 2016, 13, 581–583. [Google Scholar] [CrossRef] [PubMed]
- Quast, C.; Pruesse, E.; Yilmaz, P.; Gerken, J.; Schweer, T.; Yarza, P.; Peplies, J.; Glöckner, F.O. The SILVA Ribosomal RNA Gene Database Project: Improved Data Processing and Web-Based Tools. Nucleic Acids Res. 2013, 41, D590–D596. [Google Scholar] [CrossRef] [PubMed]
- Oksanen, A.J.; Blanchet, F.G.; Kindt, R.; Legen-, P.; Minchin, P.R.; Hara, R.B.O.; Simpson, G.L.; Solymos, P.; Stevens, M.H.H. Community Ecology Package. Ecol. Packag. 2019, 3, 263. [Google Scholar]
- Gräfe, M.; Power, G.; Klauber, C. Bauxite Residue Issues: III. Alkalinity Assoc. Chem. Hydrometall. 2011, 108, 60–79. [Google Scholar] [CrossRef]
- Liu, Z.; Li, H. Metallurgical Process for Valuable Elements Recovery from Red Mud—A Review. Hydrometallurgy 2015, 155, 29–43. [Google Scholar] [CrossRef]
- Kiskira, K.; Lymperopoulou, T.; Tsakanika, L.A.; Pavlopoulos, C.; Papadopoulou, K.; Ochsenkühn, K.M.; Lyberatos, G.; Ochsenkühn-Petropoulou, M. Study of Microbial Cultures for the Bioleaching of Scandium from Alumina Industry By-Products†. Metals 2021, 11, 951. [Google Scholar] [CrossRef]
- Gadd, G.M. Metals and Microorganisms: A Problem of Definition. FEMS Microbiol. Lett. 1992, 100, 197–203. [Google Scholar] [CrossRef] [PubMed]
- Kang, X.; Csetenyi, L. Monazite Transformation into Ce- and La-Containing Oxalates by Aspergillus Niger. Environ. Microbiol. 2020, 22, 1635–1648. [Google Scholar] [CrossRef]
- Castro, L.; Blázquez, M.L.; González, F.; Muñoz, J.A. Bioleaching of Phosphate Minerals Using Earth Elements. Metals 2020, 10, 978. [Google Scholar] [CrossRef]
- Kisková, J.; Stramová, Z.; Javorský, P.; Sedláková-Kaduková, J.; Pristaš, P. Analysis of the Bacterial Community from High Alkaline (PH > 13) Drainage Water at a Brown Mud Disposal Site near Žiar Nad Hronom (Banská Bystrica Region, Slovakia) Using 454 Pyrosequencing. Folia Microbiol. 2019, 64, 83–90. [Google Scholar] [CrossRef] [PubMed]











| Test Code | Red Mud | Temperature [°C] | S/L [%] | Duration [Days] | Metals Extracted |
|---|---|---|---|---|---|
| RM-I_2%_22 °C | RM-I | 22 | 2 | 31 | Al, Ti, Fe |
| RM-I_2%_28 °C | RM-I | 28 | 2 | 31 | Al, Ti, Fe |
| RM-I_5%_22 °C | RM-I | 22 | 5 | 31 | Al, Ti, Fe |
| RM-I_5%_28 °C | RM-I | 28 | 5 | 31 | Al, Ti, Fe |
| RM-II_2%_15 °C | RM-II | 15 | 2 | 36 | Al, Ti, Fe, Mn, Mg |
| RM-II_2%_22 °C | RM-II | 22 | 2 | 36 | Al, Ti, Fe, Mn, Mg |
| RM-II_2%_28 °C | RM-II | 28 | 2 | 36 | Al, Ti, Fe, Mn, Mg |
| RM-II_5%_15 °C | RM-II | 15 | 5 | 37 | Al, Ti, Fe, Mn, Mg |
| RM-II_5%_22 °C | RM-II | 22 | 5 | 37 | Al, Ti, Fe, Mn, Mg |
| RM-II_5%_28 °C | RM-II | 28 | 5 | 37 | Al, Ti, Fe, Mn, Mg |
| RM-I | RM-II | |
|---|---|---|
| Fe2O3 [%] | 27.7 ± 1.16 | 43.55 ± 7.26 |
| Al2O3 [%] | 6.04 ± 0.38 | 20.7 ± 3.78 |
| SiO2 [%] | 5.99 ± 2.18 | 9.7 ± 2.35 |
| MgO [%] | 0.05 ± 0.02 | 0.31 ± 0.02 |
| MnO [%] | 0.02 ± 0.02 | 0.103 ± 0.03 |
| TiO2 [%] | 5.76 ± 0.11 | 6.98 ± 1.70 |
| CaO [%] | 2.91 ± 0.06 | 4.08 ± 0.1 |
| Na2O [%] | 6.29 ± 0.013 | 6.68 ± 0.02 |
| K2O [%] | 0.05 ± 0.01 | 0.1 ± 0.01 |
| TEST CODE | Initial pH | Lowest pH | Kinetics [pH Units/Day] | R2 |
|---|---|---|---|---|
| RM-I_2%_22 °C | 9.52 ± 0.02 | 7.25 ± 0.21 | 0.28 | 0.81 |
| RM-I_2%_28 °C | 9.50 ± 0.057 | 6.51 ± 0.68 | 0.21 | 0.97 |
| AB-I_2% | 9.2 | 8.7 | - | - |
| RM-I_5%_22 °C | 9.70 ± 0.073 | 7.08 ± 0.8 | 0.24 | 0.8 |
| RM-I_5%_28 °C | 9.70 ± 0.12 | 6.25 ± 0.42 | 0.21 | 0.9 |
| AB-I_5% | 9.1 | 8.8 | - | - |
| TEST CODE | Initial pH | Lowest pH | Kinetics [pH Units/Day] | R2 |
|---|---|---|---|---|
| RM-II_2%_15 °C | 8.9 ± 0.009 | 6.5 ± 0.12 | 0.48 | 0.8 |
| RM-II_2%_22 °C | 9.13 ± 0.04 | 5.9 ± 0.04 | 0.61 | 0.98 |
| RM-II_2%_28 °C | 9.2 ± 0.06 | 5.4 ± 0.86 | 0.46 | 0.82 |
| AB-II_2% | 9.1 | 8.7 | - | - |
| RM-II_5%_15 °C | 9.2 ± 0.06 | 6.2 ± 0.99 | 0.37 | 0.78 |
| RM-II_5%_22 °C | 9.4 ± 0.07 | 5.6 ± 0.147 | 0.34 | 0.7 |
| RM-II_5%_28 °C | 8.2 ± 0.122 | 5.5 ± 0.65 | 0.3 | 0.7 |
| AB-II_5% | 9.1 | 8.8 | - | - |
| Constituent | Reported Range | RM-I | RM-II |
|---|---|---|---|
| Fe2O3 | 6.8–71.9 | 27.7 | 43.6 |
| Al2O3 | 2.1–33.1 | 6.1 | 20.7 |
| TiO2 | 2.5–22.6 | 5.8 | 8.2 |
| Na2O | 0.1–12.4 | 6.3 | 6.7 |
| SiO2 | 0.6–23.8 | 6.0 | 9.7 |
| CaO | 0.6–47.2 | 2.9 | 4.08 |
Disclaimer/Publisher’s Note: The statements, opinions and data contained in all publications are solely those of the individual author(s) and contributor(s) and not of MDPI and/or the editor(s). MDPI and/or the editor(s) disclaim responsibility for any injury to people or property resulting from any ideas, methods, instructions or products referred to in the content. |
© 2023 by the authors. Licensee MDPI, Basel, Switzerland. This article is an open access article distributed under the terms and conditions of the Creative Commons Attribution (CC BY) license (https://creativecommons.org/licenses/by/4.0/).
Share and Cite
Cozzolino, A.; Cappai, G.; Cara, S.; Milia, S.; Ardu, R.; Tamburini, E.; Carucci, A. Bioleaching of Valuable Elements from Red Mud: A Study on the Potential of Non-Enriched Biomass. Minerals 2023, 13, 856. https://doi.org/10.3390/min13070856
Cozzolino A, Cappai G, Cara S, Milia S, Ardu R, Tamburini E, Carucci A. Bioleaching of Valuable Elements from Red Mud: A Study on the Potential of Non-Enriched Biomass. Minerals. 2023; 13(7):856. https://doi.org/10.3390/min13070856
Chicago/Turabian StyleCozzolino, Anna, Giovanna Cappai, Stefano Cara, Stefano Milia, Riccardo Ardu, Elena Tamburini, and Alessandra Carucci. 2023. "Bioleaching of Valuable Elements from Red Mud: A Study on the Potential of Non-Enriched Biomass" Minerals 13, no. 7: 856. https://doi.org/10.3390/min13070856
APA StyleCozzolino, A., Cappai, G., Cara, S., Milia, S., Ardu, R., Tamburini, E., & Carucci, A. (2023). Bioleaching of Valuable Elements from Red Mud: A Study on the Potential of Non-Enriched Biomass. Minerals, 13(7), 856. https://doi.org/10.3390/min13070856

