Comparison of Granites from the Eastern and Western Districts of the Gejiu Ore District in South China: Implication for Petrogenesis and Tin Metallogeny
Abstract
1. Introduction
2. Geological Setting and Sample Description
3. Analytical Methods
3.1. Major and Trace Elements of Whole Rocks
3.2. Zircon U-Pb Dating
3.3. In-Situ Zircon Hf Isotopes
3.4. Mica Compositions
4. Results
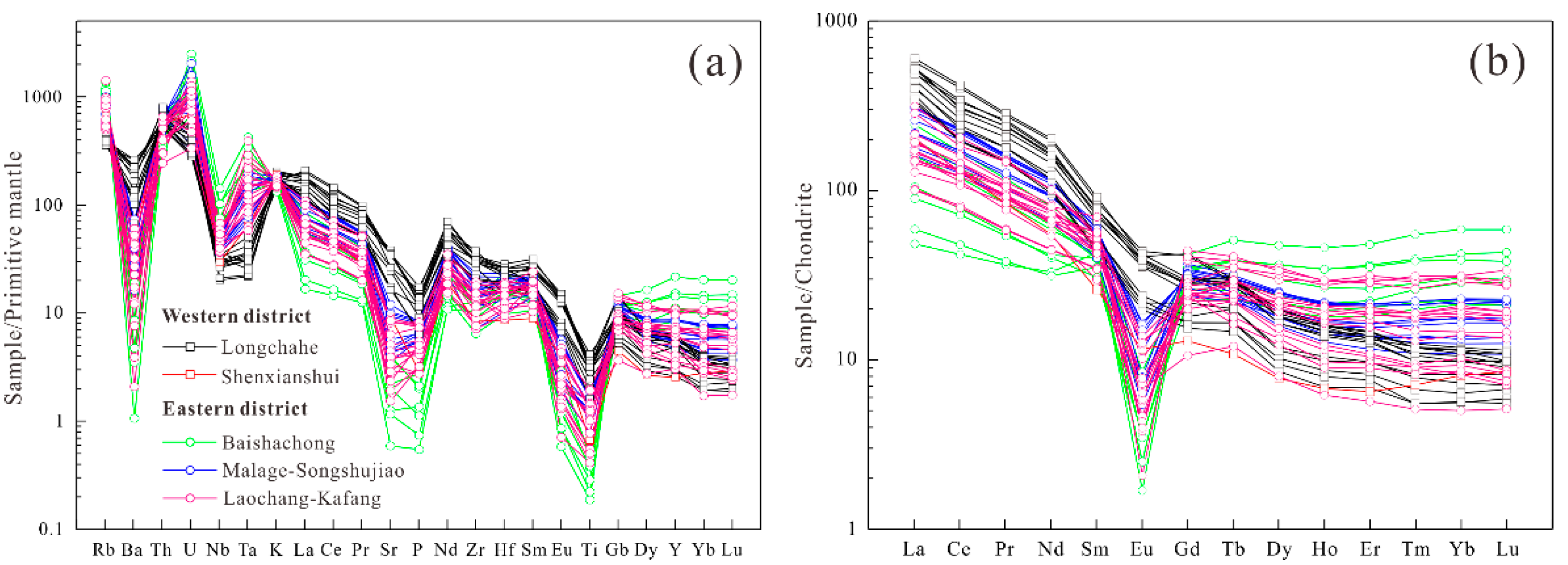
4.1. Major and Trace Elements of Whole Rocks
4.2. Zircon U-Pb Geochronology and Chemical Compositions
4.3. Zircon Lu-Hf Isotope Composition
4.4. Mica Composition
5. Discussion
5.1. Geochronology of the Gejiu Igneous Rocks
5.2. Comparison of Metallogenic Differences between the Eastern and Western Districts in the Gejiu Ore District
5.2.1. Magma Source
5.2.2. Melting Conditions
Magma Redox State
Magma Fractionation
Magma Temperature
5.2.3. Field Observations
5.3. Geodynamic Implications
6. Conclusions
Supplementary Materials
Author Contributions
Funding
Data Availability Statement
Acknowledgments
Conflicts of Interest
References
- Burnham, A.D.; Berry, A.J. Formation of Hadean granites by melting of igneous crust. Nat. Geosci. 2017, 10, 457. [Google Scholar] [CrossRef]
- Che, X.D.; Linnen, R.L.; Wang, R.C.; Aseri, A.; Thibault, Y. Tungsten solubility in evolved granitic melts: An evaluation of magmatic wolframite. Geochim. Cosmochim. Acta 2013, 106, 84–98. [Google Scholar] [CrossRef]
- Kelemen, P.B.; Behn, M.D. Formation of lower continental crust by relamination of buoyant arc lavas and plutons. Nat. Geosci. 2016, 9, 197–205. [Google Scholar] [CrossRef]
- Linnen, R.L.; Pichavant, M.; Holtz, F. The combined effects of ƒO2 and melt composition on SnO2 solubility and tin diffusivity in haplogranitic melts. Geochim. Cosmochim. Acta 1996, 60, 4965–4976. [Google Scholar] [CrossRef]
- Cerny, P.; Blevin, P.L.; Cuney, M.; London, D. Granite-related ore deposits. Econ. Geol. 2005, 100, 337–370. [Google Scholar]
- Sun, S.J.; Yang, X.Y.; Wang, G.J.; Sun, W.D.; Zhang, H.; Li, C.Y.; Ding, X. In situ elemental and Sr-O isotopic studies on apatite from the Xu-Huai intrusion at the southern margin of the North China Craton: Implications for petrogenesis and metallogeny. Chem. Geol. 2019, 510, 200–214. [Google Scholar] [CrossRef]
- Sun, W.D.; Li, S.; Yang, X.Y.; Ling, M.X.; Ding, X.; Duan, L.A.; Zhan, M.Z.; Zhang, H.; Fan, W.M. Large-scale gold mineralization in eastern China induced by an Early Cretaceous clockwise change in Pacific plate motions. Int. Geol. Rev. 2013, 55, 311–321. [Google Scholar] [CrossRef]
- Burnham, C.W.; Ohmoto, H. Late-stage processes of felsic magmatism. Min. Geol. Spec. Issue 1980, 8, 1–11. [Google Scholar]
- Lehmann, B. Metallogeny of Tin; Lecture Notes in Earth Sciences; Springer: Berlin/Heidelberg, Germany, 1990; Volume 32, p. 211. [Google Scholar]
- Cheng, Y.B.; Mao, J.W. Age and geochemistry of granites in Gejiu area, Yunnan province, SW China: Constraints on their petrogenesis and tectonic setting. Lithos 2010, 120, 258–276. [Google Scholar]
- Cheng, Y.B.; Mao, J.W.; Chang, Z.S.; Pirajno, F. The origin of the world class tin-polymetallic deposits in the Gejiu district, SW China: Constraints from metal zoning characteristics and 40Ar–39Ar geochronology. Ore Geol. Rev. 2013, 53, 50–62. [Google Scholar] [CrossRef]
- Cheng, Y.B.; Mao, J.W.; Rusk, B.; Yang, Z.X. Geology and genesis of Kafang Cu–Sn deposit, Gejiu district, SW China. Ore Geol. Rev. 2012, 48, 180–196. [Google Scholar] [CrossRef]
- Cheng, Y.B.; Mao, J.W.; Spandler, C. Petrogenesis and geodynamic implications of the Gejiu igneous complex in the western Cathaysia block, South China. Lithos 2013, 175–176, 213–229. [Google Scholar] [CrossRef]
- Cheng, Y.B.; Spandler, C.; Kemp, A.; Mao, J.W.; Rusk, B.; Hu, Y.; Blake, K. Controls on cassiterite (SnO2) crystallization: Evidence from cathodoluminescence, trace-element chemistry, and geochronology at the Gejiu Tin District. Am. Mineral. 2019, 104, 118–129. [Google Scholar] [CrossRef]
- Geological Team of No. 308. Geology of Tin Deposit in Gejiu Area; Metallurgical Industry Publishing House: Beijing, China, 1984; pp. 50–90. (In Chinese)
- Guo, J.; Xiang, L.; Zhang, R.Q.; Yang, T.; Wu, K.; Sun, W.D. Chemical and boron isotopic variations of tourmaline deciphering magmatic-hydrothermal evolution at the Gejiu Sn-polymetallic district, South China. Chem. Geol. 2022, 593, 20. [Google Scholar] [CrossRef]
- Guo, J.; Zhang, R.Q.; Li, C.Y.; Sun, W.D.; Hu, Y.B.; Kang, D.M.; Wu, J.D. Genesis of the Gaosong Sn-Cu deposit, Gejiu district, SW China: Constraints from in situ LA-ICP-MS cassiterite U-Pb dating and trace element fingerprinting. Ore Geol. Rev. 2018, 92, 627–642. [Google Scholar] [CrossRef]
- Mao, J.W.; Xie, G.Q.; Guo, C.L.; Yuan, S.D.; Cheng, Y.B.; Chen, Y.C. Spatial-temporal distribution of Mesozoic ore deposits in South China and their metallogenic settings. Geol. J. China Univ. 2008, 14, 510–526, (In Chinese with English Abstract). [Google Scholar]
- Zhang, J.W.; Dai, C.G.; Huang, Z.L.; Luo, T.Y.; Qian, Z.K.; Zhang, Y. Age and petrogenesis of Anisian magnesian alkali basalts and their genetic association with the Kafang stratiform Cu deposit in the Gejiu supergiant tin-polymetallic district, SW China. Ore Geol. Rev. 2015, 69, 403–416. [Google Scholar] [CrossRef]
- Zhuang, Y.Q.; Wang, R.Z.; Yang, S.P. Tin-Copper Polymetallic Deposits; Earthquake Publishing House: Beijing, China, 1996; pp. 38–100. (In Chinese) [Google Scholar]
- Jiang, Z.W.; Oliver, N.H.S.; Barr, T.D.; Power, W.L.; Ord, A. Numerical modeling of fault-controlled fluid flow in the genesis of tin deposits of the Malage ore field, Gejiu mining district, China. Econ. Geol. Bull. Soc. Econ. Geol. 1997, 92, 228–247. [Google Scholar] [CrossRef]
- Xu, R.; Romer, R.L.; Kroner, U.; Deng, J. Tectonic control on the spatial distribution of Sn mineralization in the Gejiu Sn district, China. Ore Geol. Rev. 2022, 148, 16. [Google Scholar] [CrossRef]
- Sun, S.J.; Zhang, L.P.; Zhang, R.Q.; Ding, X.; Zhu, H.L.; Zhang, Z.F.; Sun, W.D. Mid-Late Cretaceous igneous activity in South China: The Qianjia example, Hainan Island. Int. Geol. Rev. 2018, 60, 1665–1683. [Google Scholar] [CrossRef]
- Sun, S.J.; Zhang, R.Q.; Cong, Y.N.; Zhang, L.P.; Sun, W.D.; Li, C.Y.; Ding, X. Analogous diagenetic conditions of dark enclave and its host granite derived by magma mixing: Evidence for a post-mixing magmatic process. Lithos 2020, 356, 12. [Google Scholar] [CrossRef]
- Zhang, L.P.; Hu, Y.B.; Liang, J.L.; Ireland, T.; Chen, Y.L.; Zhang, R.Q.; Sun, S.J.; Sun, W.D. Adakitic rocks associated with the Shilu copper-molybdenum deposit in the Yangchun Basin, South China, and their tectonic implications. Acta Geochim. 2017, 36, 132–150. [Google Scholar] [CrossRef]
- Zhang, L.P.; Zhang, R.Q.; Chen, Y.X.; Sun, S.J.; Liang, J.L.; Sun, W.D. Geochronology and geochemistry of the Late Cretaceous Xinpeng granitic intrusion, South China: Implication for Sn-W mineralization. Ore Geol. Rev. 2019, 113, 11. [Google Scholar] [CrossRef]
- Zheng, Q.A.; Yang, D.S. The mineralization evolution and metallogenic model of the Gejiu tin-polymetallic deposits in Yunnan province. Geol. Explor. Non-Ferr. Met. 1997, 6, 82–87, (In Chinese with English Abstract). [Google Scholar]
- Li, S.; Yang, X.Y.; Huang, Y.; Sun, W.D. Petrogenesis and mineralization of the Fenghuangshan skarn Cu-Au deposit, Tongling ore cluster field, Lower Yangtze metallogenic belt. Ore Geol. Rev. 2014, 58, 148–162. [Google Scholar] [CrossRef]
- Sun, S.J.; Ireland, T.R.; Zhang, L.P.; Zhang, R.Q.; Zhang, C.C.; Sun, W.D. Palaeoarchaean materials in the Tibetan Plateau indicated by zircon. Int. Geol. Rev. 2018, 60, 1061–1072. [Google Scholar] [CrossRef]
- Lin, J.; Liu, Y.S.; Yang, Y.H.; Hu, Z.C. Calibration and correction of LA-ICP-MS and LA-MC-ICP-MS analyses for element contents and isotopic ratios. Solid Earth Sci. 2016, 1, 5–27. [Google Scholar] [CrossRef]
- Ludwig, K.R. User’s manual for Isoplot 3.00: A geochronological toolkit for Microsoft Excel. Berkeley Geochronol. Cent. Spec. Publ. 2003, 4, 1–70. [Google Scholar]
- Li, X.H.; Long, W.G.; Li, Q.L.; Liu, Y.; Zheng, Y.F.; Yang, Y.H.; Chamberlain, K.R.; Wan, D.F.; Guo, C.H.; Wang, X.C.; et al. Penglai zircon megacrysts: A potential new working reference material for microbeam determination of Hf–O isotopes and U–Pb age. Geostand. Geoanalytical Res. 2010, 34, 117–134. [Google Scholar] [CrossRef]
- Wu, F.Y.; Yang, Y.H.; Xie, L.W.; Yang, J.H.; Xu, P. Hf isotopic compositions of the standard zircons and baddeleyites used in U-Pb geochronology. Chem. Geol. 2006, 234, 105–126. [Google Scholar] [CrossRef]
- Ma, L.H.; Cai, Y.F.; Liu, X.J.; Xu, J.F.; ZHou, Y.; Su, X.Q. Chemical Composition of Biotite from the Gejiu Granite, Yunnan Province: Implication for Petrogenesis and Mineralization of Kafang Tin Polymetallic Deposit. Geol. J. China Univ. 2018, 24, 692–701, (In Chinese with English Abstract). [Google Scholar]
- Sun, S.S.; McDonough, W.F. Chemical and isotopic systematics of oceanic basalts: Implications for mantle composition and processes. Geol. Soc. Lond. Spec. Publ. 1989, 42, 313–345. [Google Scholar] [CrossRef]
- Belousova, E.A.; Griffin, W.L.; Suzanne, Y.O.R.; Fisher, N.I. Igneous zircon: Trace element composition as an indicator of source rock type. Contrib. Mineral. Petrol. 2002, 143, 602–622. [Google Scholar] [CrossRef]
- Ballard, J.R.; Palin, J.M.; Campbell, I.H. Relative oxidation states of magmas inferred from Ce(Ⅳ)/Ce(Ⅲ) in zircon: Application to porphyry copper deposits of northern Chile. Contrib. Mineral. Petrol. 2002, 144, 347–364. [Google Scholar] [CrossRef]
- Foster, M.D. Interpretation of composition of trioctaheral micas. U.S. Geol. Surv. Prof. Pap. 1960, 354B, 1–49. [Google Scholar]
- Wones, D.R.; Eugster, H.P. Stability of biotite: Experiment, theory, and application. Am. Mineral. 1965, 50, 1228–1272. [Google Scholar]
- Zhang, Y.C.; Chen, S.; Zhao, J.; Zhao, Y.; Li, J. Compositional characteristics and petrogentic and metallogenic significance of biotite in granite in Gejiu tin polymetallic ore concentration area, Yunnan province. J. Mineral. Petrol. 2020, 40, 76–88, (In Chinese with English Abstract). [Google Scholar]
- Liu, Y.B.; Zhang, L.F.; Mo, X.X.; Santosh, M.; Dong, G.C.; Zhou, H.Y. The giant tin polymetallic mineralization in southwest China: Integrated geochemical and isotopic constraints and implications for Cretaceous tectonomagmatic event. Geosci. Front. 2020, 11, 1593–1608. [Google Scholar] [CrossRef]
- Wang, X.; Ren, M.H. Assessment of the ore-forming process of the Gejiu tin district (South China). Ore Geol. Rev. 2019, 107, 707–734. [Google Scholar] [CrossRef]
- Chen, Y.X.; Li, H.; Sun, W.D.; Ireland, T.; Tian, X.F.; Hu, Y.B.; Yang, W.B.; Chen, C.; Xu, D.R. Generation of Late Mesozoic Qianlishan A2-type granite in Nanling Range, South China: Implications for Shizhuyuan W-Sn mineralization and tectonic evolution. Lithos 2016, 266–267, 435–452. [Google Scholar] [CrossRef]
- Hedenquist, J.W.; Lowenstern, J.B. The role of magmas in the formation of hydrothermal ore-deposits. Nature 1994, 370, 519–527. [Google Scholar] [CrossRef]
- Romer, R.L.; Kroner, U. Sediment and weathering control on the distribution of Paleozoic magmatic tin-tungsten mineralization. Miner. Depos. 2015, 50, 327–338. [Google Scholar] [CrossRef]
- Chen, B.; Zhai, M.G.; Shao, J.A. Petrogenesis and significance of the Mesozoic North Taihang complex: Major and trace element evidence. Sci. China Ser. D Earth Sci. 2003, 46, 941–953. [Google Scholar] [CrossRef]
- Deniel, C.; Vidal, P.; Fernandez, A. Isotopic study of the Manaslu granite (Himalaya, Nepal): Inferences on the age and source of Himalayan leucogranites. Contrib. Mineral. Petrol. 1987, 96, 78–92. [Google Scholar] [CrossRef]
- Chen, B.; Jahn, B.M.; Wilde, S.; Xu, B. Two contrasting paleozoic magmatic belts in northern Inner Mongolia, China: Petrogenesis and tectonic implications. Tectonophysics 2000, 328, 157–182. [Google Scholar] [CrossRef]
- Hildreth, W.; Moorbath, S. Crustal contributions to arc magmatism in the Andes of Central Chile. Contrib. Mineral. Petrol. 1988, 98, 455–489. [Google Scholar] [CrossRef]
- Yang, J.H.; Zhou, M.F.; Hu, R.Z.; Zhong, H.; Williams-Jones, A.E.; Liu, L.; Zhang, X.C.; Fu, Y.Z.; Mao, W. Granite-Related Tin Metallogenic Events and Key Controlling Factors in Peninsular Malaysia, Southeast Asia: New Insights from Cassiterite U-Pb Dating and Zircon Geochemistry. Econ. Geol. 2020, 115, 581–601. [Google Scholar] [CrossRef]
- Zhang, H.P.; Liu, J.S.; Li, X.B.; Zhang, X.L. Relationship of granites to tin, silver, copper, lead, zinc, polymetallic deposits in southeastern Yunnan, China. Contrib. Geol. Miner. Resour. Res. 2006, 21, 87–90, (In Chinese with English Abstract). [Google Scholar]
- Gomes, M.E.P.; Neiva, A.M.R. Petrogenesis of tin-bearing granites from Ervedosa, Northern Portugal: The importance of magmatic process. Chem. Erde/Geochem. 2002, 62, 47–72. [Google Scholar] [CrossRef]
- Sylvester, P.J. Post-collisional strongly peraluminous granites. Lithos 1998, 45, 29–44. [Google Scholar] [CrossRef]
- Yi, W.; Halliday, A.N.; Alt, J.C.; Lee, D.C.; Rehkamper, M.; Garcia, M.O.; Su, Y.J. Cadmium, indium, tin, tellurium, and sulfur in oceanic basalts: Implications for chalcophile element fractionation in the Earth. J. Geophys. Res. -Solid Earth 2000, 105, 18927–18948. [Google Scholar] [CrossRef]
- Linnen, R.L.; Pichavant, M.; Holtz, F.; Burgess, S. The effect of fO2 source on the solubility, diffusion, and speciation of tin in haplogranitic melt at 850°C and 2 kbar. Geochim. Cosmochim. Acta 1995, 59, 1579–1588. [Google Scholar] [CrossRef]
- Thompson, J.F.H.; Sillitoe, R.H.; Baker, T.; Lang, J.R.; Mortensen, J.K. Intrusion related gold deposits associated with tungsten-tin provinces. Miner. Depos. 1999, 34, 323–334. [Google Scholar] [CrossRef]
- Blevin, P.L. Redox and compositional parameters for interpreting the granitoid metallogeny of eastern Australia: Implications for gold-rich ore systems. Resour. Geol. 2004, 54, 241–252. [Google Scholar] [CrossRef]
- Ishihara, S. The redox state of granitoids relative to tectonic setting and earth history: The magnetite–ilmenite series 30 years later. Trans. R. Soc. Edinb. Earth Sci. 2004, 95, 23–33. [Google Scholar]
- Lehmann, B.; Mahawat, C. Metallogeny of tin in central Thailand—A genetic concept. Geology 1989, 17, 426–429. [Google Scholar] [CrossRef]
- Barriére, M.; Cotton, J. Biotites and associated minerals as markers of magmatic fractonation and deuteric equilibration in granites. Contrib. Mineral. Petrol. 1979, 70, 183–192. [Google Scholar] [CrossRef]
- Wones, D.R. Significance of the assemblage titanite+magnetite+quartz in granitic rocks. Am. Mineral. 1989, 74, 744–749. [Google Scholar]
- Richards, J.P.; Engr, C. Did Paleo-Tethyan anoxia kill arc magma fertility for porphyry copper formation? Geology 2017, 45, G38954.1. [Google Scholar] [CrossRef]
- Ballouard, C.; Branquet, Y.; Tartese, R.; Poujol, M.; Boulvais, P.; Vigneresse, J.L. Nb-Ta fractionation in peraluminous granites: A marker of the magmatic-hydrothermal transition. Geology 2016, 44, 231–234. [Google Scholar] [CrossRef]
- Chen, J.Y.; Yang, J.H. Petrogenesis of the Fogang highly fractionated I-type granitoids: Constraints from Nb, Ta, Zr and Hf. Acta Petrol. Sin. 2015, 31, 846–854. [Google Scholar]
- Linnen, R.L.; Keppler, H. Columbite solubility in granitic melts: Consequences for the enrichment and fractionation of Nb and Ta in the Earth’s crust. Contrib. Mineral. Petrol. 1997, 128, 213–227. [Google Scholar] [CrossRef]
- Dostal, J.; Chatterjee, A.K. Contrasting behaviour of Nb/Ta and Zr/Hf ratios in a peraluminous granitic pluton (Nova Scotia, Canada). Chem. Geol. 2000, 163, 207–218. [Google Scholar] [CrossRef]
- Yuan, S.D.; Williams-Jones, A.E.; Mao, J.W.; Zhao, P.L.; Yan, C.; Zhang, D.L. The origin of the Zhangjialong tungsten deposit, south china: Implications for w-sn mineralization in large granite batholiths. Econ. Geol. 2018, 113, 1193–1208. [Google Scholar] [CrossRef]
- Zaraisky, G.; Aksyuk, A.; Devyatova, V.; Udoratina, O.; Chevychelov, V. Zr/Hf ratio as an indicator of fractionation of rare-metal granites by the example of the Kukulbei complex, eastern Transbaikalia. Petrology 2008, 16, 710–736. [Google Scholar] [CrossRef]
- Dingwell, D.B.; Scarfe, C.M.; Cronin, D.J. The effect of fluorine on viscosities in the system NA2O-Al2O3-SiO2–implications for phonolites, trachytes and rhyolites. Am. Mineral. 1985, 70, 80–87. [Google Scholar]
- Manning, D.A.C. The effect of fluorine on liquidus phase-relationships in the system qz-ab-or with excess water at 1-kb. Contrib. Mineral. Petrol. 1981, 76, 206–215. [Google Scholar] [CrossRef]
- Li, J.; Chen, S.Y.; Zhao, Y.H. Trace elements in apatite from Gejiu Sn polymetallic district: Implications for petrogenesis, metallogenesis and exploration. Ore Geol. Rev. 2022, 145, 16. [Google Scholar] [CrossRef]
- Hong, W.; Cooke, D.R.; Huston, D.L.; Maas, R.; Meffre, S.; Thompson, J.; Zhang, L.J.; Fox, N. Geochronological, geochemical and Pb isotopic compositions of Tasmanian granites (southeast Australia): Controls on petrogenesis, geodynamic evolution and tin mineralisation. Gondwana Res. 2017, 46, 124–140. [Google Scholar] [CrossRef]
- Bhalla, P.; Holtz, F.; Linnen, R.L.; Behrens, H. Solubility of cassiterite in evolved granitic melts: Effect of T, fO2, and additional volatiles. Lithos 2005, 80, 387–400. [Google Scholar] [CrossRef]
- Cooke, D.R.; Kitto, P.A.; Harris, A.C.; Chang, Z.; Wilkinson, J.J.; Wilkinson, C.C.; Hollings, P.; Webster, J.D. Magma fertility and mineralisation. Smart Sience for Exploration and Mining-Proceedings of the 10th Biennial SGA Meeting, Townsville. Econ. Geol. Res. Unit 2009, 1, 8–10. [Google Scholar]
- Wolf, M.; Romer, R.L.; Franz, L.; Lopez-Moro, F.J. Tin in granitic melts: The role of melting temperature and protolith composition. Lithos 2018, 310, 20–30. [Google Scholar] [CrossRef]
- Yuan, S.D.; Williams-Jones, A.E.; Romer, R.L.; Zhao, P.L.; Mao, J.W. Protolith-related thermal controls on the decoupling of sn and w in sn-w metallogenic provinces: Insights from the Nanling region, China. Econ. Geol. 2019, 114, 1005–1012. [Google Scholar] [CrossRef]
- Miller, C.F.; Mcdowell, S.M.; Mapes, R.W. Hot and cold granites? Implications of zircon saturation temperatures and preservation of inheritance. Geology 2003, 31, 529–532. [Google Scholar] [CrossRef]
- Watson, E.B.; Harrison, T.M. Zircon saturation revisited: Temperature and composition effects in a variety of crustal magma types. Earth Planet. Sci. Lett. 1983, 64, 295–304. [Google Scholar] [CrossRef]
- Ferry, J.M.; Watson, E.B. New thermodynamic models and revised calibrations for the Ti-in-zircon and Zr-in-rutile thermometers. Contrib. Mineral. Petrol. 2007, 154, 429–437. [Google Scholar] [CrossRef]
- Chen, J.; Halls, C.; Stanley, C.J. Mineral association and mineralogical criteria for the formation condition of a B-F-Sn-Bi skarn in Damoshan, Gejiu tin field. Southwest China. Chin. J. Geochem. 1992, 11, 140–155. [Google Scholar] [CrossRef]
- Li, S.R.; Tan, J.; Deng, J. Ore types of tungsten poly-metallic deposits and prospecting indications. China Tungst. Indust. 2007, 22, 19–24, (In Chinese with English Abstract). [Google Scholar]
- Gai, C.K. The geochemistry of wallrock medium metallogenesis of Gejiu Sn ore field. Yunnan Geol. 2007, 26, 277–283. (In Chinese) [Google Scholar]
- Sun, W.D.; Ding, X.; Hu, Y.H.; Li, X.H. The golden transformation of the Cretaceous plate subduction in the west Pacific. Earth Planet. Scicence Lett. 2007, 262, 533–542. [Google Scholar] [CrossRef]
- Sun, W.D. Initiation and evolution of the South China Sea: An overview. Acta Geochim. 2016, 35, 215–225. [Google Scholar] [CrossRef]
- Espurt, N.; Funiciello, F.; Martinod, J.; Guillaume, B.; Regard, V.; Faccenna, C.; Brusset, S. Flat subduction dynamics and deformation of the South American plate: Insights from analog modeling. Tectonics 2008, 27, 1–19. [Google Scholar] [CrossRef]












Disclaimer/Publisher’s Note: The statements, opinions and data contained in all publications are solely those of the individual author(s) and contributor(s) and not of MDPI and/or the editor(s). MDPI and/or the editor(s) disclaim responsibility for any injury to people or property resulting from any ideas, methods, instructions or products referred to in the content. |
© 2023 by the authors. Licensee MDPI, Basel, Switzerland. This article is an open access article distributed under the terms and conditions of the Creative Commons Attribution (CC BY) license (https://creativecommons.org/licenses/by/4.0/).
Share and Cite
Sun, S.; Zhang, J.; Li, S.; Niu, H.; Wu, Z.; Sun, W. Comparison of Granites from the Eastern and Western Districts of the Gejiu Ore District in South China: Implication for Petrogenesis and Tin Metallogeny. Minerals 2023, 13, 691. https://doi.org/10.3390/min13050691
Sun S, Zhang J, Li S, Niu H, Wu Z, Sun W. Comparison of Granites from the Eastern and Western Districts of the Gejiu Ore District in South China: Implication for Petrogenesis and Tin Metallogeny. Minerals. 2023; 13(5):691. https://doi.org/10.3390/min13050691
Chicago/Turabian StyleSun, Saijun, Junjie Zhang, Shuang Li, Haobin Niu, Zhaojian Wu, and Weidong Sun. 2023. "Comparison of Granites from the Eastern and Western Districts of the Gejiu Ore District in South China: Implication for Petrogenesis and Tin Metallogeny" Minerals 13, no. 5: 691. https://doi.org/10.3390/min13050691
APA StyleSun, S., Zhang, J., Li, S., Niu, H., Wu, Z., & Sun, W. (2023). Comparison of Granites from the Eastern and Western Districts of the Gejiu Ore District in South China: Implication for Petrogenesis and Tin Metallogeny. Minerals, 13(5), 691. https://doi.org/10.3390/min13050691

