Flotation Mechanism of Sphalerite by Sulfuration–Amine Method
Abstract
1. Introduction
2. Materials and Methods
2.1. Mineral Samples and Reagents
2.2. Flotation Tests
2.3. Contact Angle Measurement
2.4. Adsorption Capacity Test
2.5. FT-IR
2.6. XPS
3. Results and Discussion
3.1. Flotation Results
3.1.1. The Effect of Dodecylamine Dosage on the Flotation of Sphalerite
3.1.2. The Effect of pH on Flotation of Sphalerite
3.1.3. The Effect of Sodium Sulfide Dosage on the Flotation of Sphalerite
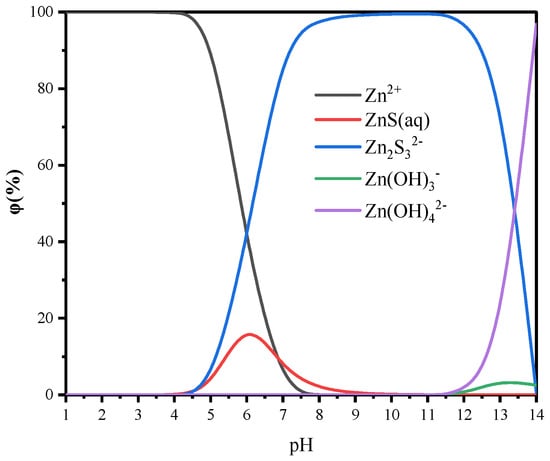
3.2. Solution Chemistry Analysis
3.3. Wettability Analysis
3.4. Adsorption Analysis of Dodecylamine
3.5. FT-IR
3.6. XPS
3.7. Discussion on Mechanism
4. Conclusions
- ●
- The single-mineral flotation tests, contact angle measurements and adsorption capacity tests show that dodecylamine had a good collecting effect on sphalerite in the pH range of 2.0–12.0, and the flotation recovery of sphalerite increased with the increase in pH. Sodium sulfide had a negligible effect on sphalerite flotation in the amine flotation system, which differs from the depressing effect of excessive sodium sulfide on sphalerite in a xanthate flotation system;
- ●
- The solution chemistry, FT-IR and XPS analyses showed that the chemical adsorption and physical adsorption of dodecylamine occurred simultaneously on the surface of the sphalerite. The chemical adsorption was present throughout almost the whole range of pH values, and physical adsorption mainly occurred when the pH of the solution was greater than the isoelectric point of sphalerite. The combination of physical adsorption and chemical adsorption enhanced the collecting power of dodecylamine in relation to sphalerite under alkaline conditions. The N atom of dodecylamine formed a complex with the in sphalerite, which was the main avenue of the chemical adsorption of dodecylamine onto the surface of the sphalerite. In addition to electrostatic attraction, the van der Waals force between hydrocarbon bonds generated by semi-micelle adsorption, and the association and co-adsorption between amine ions and molecular non-polar groups, also played important roles in physical adsorption;
- ●
- This study has demonstrated that it is feasible to float sphalerite via the sulfuration–amine method, but out studies into the flotation activation of sodium sulfide were not sufficient. In the future, further study should be undertaken on the flotation separation of sphalerite and other sulfide minerals (such as pyrite), as well as the simultaneous flotation of zinc-containing sulfide oxide mixed minerals in a sulfuration–amine system.
Author Contributions
Funding
Data Availability Statement
Conflicts of Interest
References
- Hosseini, S.H.; Forssberg, E. Physicochemical studies of smithsonite flotation using mixed anionic/cationic collector. Miner. Eng. 2007, 20, 621–624. [Google Scholar] [CrossRef]
- Hosseini, S.H.; Forssberg, E. Smithsonite flotation using mixed anionic/cationic collector. Miner. Process. Extr. Metall. 2013, 118, 186–190. [Google Scholar] [CrossRef]
- Espiari, S.; Rashchi, F.; Sadrnezhaad, S.K. Hydrometallurgical treatment of tailings with high zinc content. Hydrometallurgy 2006, 82, 54–62. [Google Scholar] [CrossRef]
- Chen, Y.; Chen, J.; Guo, J. A DFT study on the effect of lattice impurities on the electronic structures and floatability of sphalerite. Miner. Eng. 2010, 23, 1120–1130. [Google Scholar] [CrossRef]
- Deng, J.; Lai, H.; Chen, M.; Glen, M.; Wen, S.; Zhao, B.; Wang, P. Effect of iron concentration on the crystallization and electronic structure of sphalerite/marmatite: A DFT study. Miner. Eng. 2019, 136, 168–174. [Google Scholar] [CrossRef]
- Shi, S.; Fang, Z.; Ni, J. Comparative study on the bioleaching of zinc sulphides. Process Biochem. 2006, 41, 438–446. [Google Scholar] [CrossRef]
- Liu, C.; Feng, Q.; Zhang, G.; Ma, W.; Meng, Q.; Chen, Y. Effects of lead ions on the flotation of hemimorphite using sodium oleate. Miner. Eng. 2016, 89, 163–167. [Google Scholar] [CrossRef]
- Guimarães, R.C.; Araujo, A.C.; Peres, A.E.C. Reagents in igneous phosphate ores flotation. Miner. Eng. 2005, 18, 199–204. [Google Scholar] [CrossRef]
- Navidi Kashani, A.H.; Rashchi, F. Separation of oxidized zinc minerals from tailings: Influence of flotation reagents. Miner. Eng. 2008, 21, 967–972. [Google Scholar] [CrossRef]
- Malghan, S.G. Role of sodium sulfide in the flotation of oxidized copper, lead, and zinc ores. Min. Metall. Explor. 1986, 3, 158–163. [Google Scholar] [CrossRef]
- Wu, S.; Pan, T.; Cao, J.; He, D.; Xiao, Z. Upgrade of three municipal wastewater treatment lagoons using a high surface area media. Front. Environ. Sci. Eng. 2012, 6, 288–293. [Google Scholar]
- Luo, Y.; Zhang, G.; Mai, Q.; Liu, H.; Li, C.; Feng, H. Flotation separation of smithsonite from calcite using depressant sodium alginate and mixed cationic/anionic collectors. Colloids Surf. A Physicochem. Eng. Asp. 2020, 586, 124227. [Google Scholar] [CrossRef]
- Ruan, Y.; Zhang, Z.; Luo, H.; Xiao, C.; Zhou, F.; Chi, R. Effects of Metal Ions on the Flotation of Apatite, Dolomite, and Quartz. Minerals 2018, 8, 141. [Google Scholar] [CrossRef]
- Selective separation of silica from a siliceous-calcareous phosphate rock. Min. Sci. Technol. 2011, 21, 135–139.
- Samet-Meziou, A.; Etter, A.; Baudin, T.; Penelle, R. TEM study of recovery and recrystallization mechanisms after 40% cold rolling in an IF-Ti steel. Scr. Mater. 2005, 53, 1001–1006. [Google Scholar] [CrossRef]
- Laskowski, J.S.; Yuan, X.-M. Flotation of Sulfide Minerals with the use of a Cationic Collector. Can. Metall. Q. 2002, 41, 381–390. [Google Scholar] [CrossRef]
- Li, Y.; Wang, J.-K.; Wei, C.; Liu, C.-X.; Jiang, J.-B.; Wang, F. Sulfidation roasting of low grade lead–zinc oxide ore with elemental sulfur. Miner. Eng. 2010, 23, 563–566. [Google Scholar] [CrossRef]
- Marabini, A.M.; Ciriachi, M.; Plescia, P.; Barbaro, M. Chelating reagents for flotation. Miner. Eng. 2007, 20, 1014–1025. [Google Scholar] [CrossRef]
- Marabini, A.; Ciriachi, M.; Plescia, P.; Barbaro, M. A review of zinc oxide mineral beneficiation using flotation method. Adv. Colloid Interface Sci. 2014, 206, 68–78. [Google Scholar]
- Xu, S.; Kou, J.; Sun, T.; Jong, K. A study of adsorption mechanism of dodecylamine on sphalerite. Colloids Surf. A Physicochem. Eng. Asp. 2015, 486, 145–152. [Google Scholar] [CrossRef]
- Xu, S.; Kou, J.; Sun, T.; Jong, K. Synergistic depression mechanism of zinc sulfate and sodium dimethyl dithiocarbamate on sphalerite in Pb Zn flotation system-ScienceDirect. Trans. Nonferrous Met. Soc. China 2020, 30, 2547–2555. [Google Scholar]
- Fosu, S.; Skinner, W.; Zanin, M. Detachment of coarse composite sphalerite particles from bubbles in flotation: Influence of xanthate collector type and concentration. Miner. Eng. 2015, 71, 73–84. [Google Scholar] [CrossRef]
- Zhang, Z.; Sun, Q.; Liu, S.; Lu, Z.; Niu, X.; Ahmed, M.M.M.; Liu, G. The selective flotation separation of galena from sphalerite with a novel collector of 5-amyl-1, 2, 4-triazole-3-thione. J. Mol. Liq. 2021, 332, 115902. [Google Scholar] [CrossRef]
- Liu, J.; Hu, Z.; Liu, G.; Huang, Y.; Zhang, Z. Selective Flotation of Copper Oxide Minerals with A Novel Amino-Triazole-Thione Surfactant: A Comparison to Hydroxamic Acid Collector. Miner. Process. Extr. Metall. Rev. 2020, 41, 96–106. [Google Scholar] [CrossRef]
- Chernyshova, I.V.; Rao, K.H.; Vidyadhar, A.; Shchukarev, A.V. Mechanism of Adsorption of Long-Chain Alkylamines on Silicates: A Spectroscopic Study. 2. Albite. Langmuir 2001, 17, 775–785. [Google Scholar] [CrossRef]
- Dake, L.S.; Baer, D.R.; Zachara, J.M. Auger Parameter Measurements of Zinc Compounds Relevant to Zinc Transport in the Environment. Surf. Interface Anal. 1989, 14, 71–75. [Google Scholar] [CrossRef]
- Islam, N.; Ghosh, T.; Chopra, K.; Acharya, H. XPS and X-ray diffraction studies of aluminum-doped zinc oxide transparent conducting films. Thin Solid Film. 1996, 280, 20–25. [Google Scholar] [CrossRef]
- Prestidge, C.A.; Skinner, W.M.; Ralston, J.; Smart, R.S.C. Copper(II) activation and cyanide deactivation of zinc sulphide under mildly alkaline conditions. Appl. Surf. Sci. 1997, 108, 333–344. [Google Scholar]
- Santhiya, D.; Subramanian, S.; Natarajan, K.A. Surface chemical studies on galena and sphalerite in the presence of thiobacillus thiooxjdans with reference to mineral beneficiation. Miner. Eng. 2000, 13, 747–763. [Google Scholar] [CrossRef]
- Khmeleva, T.N.; Georgiev, T.V.; Jasieniak, M.; Skinner, W.M.; Beattie, D.A. XPS and ToF-SIMS study of a chalcopyrite-pyrite-sphalerite mixture treated with xanthate and sodium bisulphite. Surf. Interface Anal. 2005, 37, 699–709. [Google Scholar] [CrossRef]
- Buckley, A.N.; Woods, R.; Wouterlood, H.J. An XPS Investigation of the Surface of Natural Sphalerites under Flotation-Related Conditions. Int. J. Miner. Process. 1989, 26, 29–49. [Google Scholar] [CrossRef]

















| Elements | Zn | S | Si | Fe | Pb | Cd | Cu | Sb | Al | Ca |
|---|---|---|---|---|---|---|---|---|---|---|
| Content/% | 64.216 | 29.523 | 2.110 | 1.790 | 1.405 | 0.311 | 0.303 | 0.124 | 0.095 | 0.068 |
| Samples | Relative Amounts % | |||
|---|---|---|---|---|
| S | C | N | Zn | |
| (a) Sphalerite | 22.93 | 48.85 | 3.12 | 25.10 |
| (b) Sphalerite + Dodecylamime | 21.97 | 53.41 | 3.38 | 21.24 |
| (c) Sphalerite + Sodium sulfide + Dodecylamime | 21.12 | 53.76 | 3.76 | 21.36 |
Disclaimer/Publisher’s Note: The statements, opinions and data contained in all publications are solely those of the individual author(s) and contributor(s) and not of MDPI and/or the editor(s). MDPI and/or the editor(s) disclaim responsibility for any injury to people or property resulting from any ideas, methods, instructions or products referred to in the content. |
© 2023 by the authors. Licensee MDPI, Basel, Switzerland. This article is an open access article distributed under the terms and conditions of the Creative Commons Attribution (CC BY) license (https://creativecommons.org/licenses/by/4.0/).
Share and Cite
Piao, Y.; He, F.; Pang, Z.; Shang, Y.; Luo, K.; Zhu, Y.; Gao, X.; Zhang, X. Flotation Mechanism of Sphalerite by Sulfuration–Amine Method. Minerals 2023, 13, 673. https://doi.org/10.3390/min13050673
Piao Y, He F, Pang Z, Shang Y, Luo K, Zhu Y, Gao X, Zhang X. Flotation Mechanism of Sphalerite by Sulfuration–Amine Method. Minerals. 2023; 13(5):673. https://doi.org/10.3390/min13050673
Chicago/Turabian StylePiao, Yongchao, Fayu He, Zengrui Pang, Yanbo Shang, Kehua Luo, Yangge Zhu, Xiyu Gao, and Xingrong Zhang. 2023. "Flotation Mechanism of Sphalerite by Sulfuration–Amine Method" Minerals 13, no. 5: 673. https://doi.org/10.3390/min13050673
APA StylePiao, Y., He, F., Pang, Z., Shang, Y., Luo, K., Zhu, Y., Gao, X., & Zhang, X. (2023). Flotation Mechanism of Sphalerite by Sulfuration–Amine Method. Minerals, 13(5), 673. https://doi.org/10.3390/min13050673

