Preparation of Foamed Ceramics from Graphite Tailings Using A Self-Foaming Method
Abstract
1. Introduction
2. Materials and Methods
2.1. Materials
2.2. Sample Preparation
2.3. Characterization Techniques
3. Results and Discussion
3.1. Sintering Process Conditions
3.1.1. Effect of the Sintering Temperature
3.1.2. Effect of the Holding Time
3.2. Effect of Raw Material Composition
3.2.1. Effect of Carbon
3.2.2. Effect of Fe2O3 Content
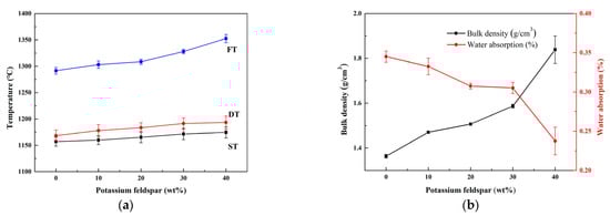
3.2.3. Effect of Flux Potassium Feldspar
3.2.4. Study on the Effect of Flux
3.3. Foaming Mechanism of Carbon
4. Conclusions
Author Contributions
Funding
Data Availability Statement
Conflicts of Interest
References
- Made Joni, I.; Vanitha, M.; Camellia, P.; Balasubramanian, N. Augmentation of graphite purity from mineral resources and enhancing % graphitization using microwave irradiation: XRD and Raman studies. Diam. Relat. Mater. 2018, 88, 129–136. [Google Scholar]
- Wang, X.X.; Li, H.J.; Yao, H.J.; Chen, Z.H.; Guan, Q. Network feature and influence factors of global nature graphite trade competition. Resour. Policy. 2019, 60, 153–161. [Google Scholar] [CrossRef]
- Cui, N.; Sun, L.; Bagas, L.; Xiao, K.; Xia, J.S. Geological characteristics and analysis of known and undiscovered graphite resources of China. Ore Geol. Rev. 2017, 91, 1119–1129. [Google Scholar] [CrossRef]
- Sharma, R.S.; Al-Busaidi, T. Groundwater pollution due to a tailings dam. Eng. Geol. 2001, 60, 235–244. [Google Scholar] [CrossRef]
- Rico, M.; Benito, G.; Salgueiro, A.R.; Díez-Herrero, A.; Pereira, H.G. Reported tailings dam failures: A review of the European incidents in the worldwide context. J. Hazard. Mater. 2008, 152, 846–852. [Google Scholar] [CrossRef] [PubMed]
- Peng, Y.Z.; Liu, Y.J.; Zhan, B.H.; Xu, G. Preparation of autoclaved aerated concrete by using graphite tailings as an alternative silica source. Constr. Build. Mater. 2021, 267, 121792. [Google Scholar] [CrossRef]
- Bai, C.P.; Gong, W.Q.; Feng, D.X.; Xian, M.; Zhou, Q.; Chen, S.H.; Ge, Z.X.; Zhou, Y.S. Natural graphite tailings as heterogeneous Fenton catalyst for the decolorization of rhodamine B. Chem. Eng. J. 2012, 197, 306–313. [Google Scholar]
- Huo, W.L.; Zhang, X.Y.; Chen, Y.G.; Lu, Y.J.; Liu, J.J.; Yan, S.; Wu, J.M.; Yang, J.L. Novel mullite ceramic foams with high porosity and strength using only fly ash hollow spheres as raw material. J. Eur. Ceram. Soc. 2018, 38, 2035–2042. [Google Scholar] [CrossRef]
- Yu, Z.W.; Xing, L.H. Study on the Vanadium extraction from Graphite Tailings. J. Metal Mine. 2008, 8, 142. [Google Scholar]
- Fang, J.G.; Yao, Z.Y.; Su, G.C.; Mao, H.L.; Liu, W.M. Kish slag using as highway subbase course. J. Shandong Univ. 2003, 33, 562–567. [Google Scholar]
- Wu, J.F.; Tian, K.Z.; Wu, C.H.; Yu, J.Q.; Wang, H.L.; Song, J.; Zhang, Q.K.; Xu, X.H. Effect of talc on microstructure and properties of the graphite tailing stoneware tiles. Constr. Build. Mater. 2021, 311, 125314. [Google Scholar] [CrossRef]
- Kathirvel, P.; Kwon, S.J.; Lee, H.S.; Karthick, S.; Saraswathy, V. Graphite ore tailings as partial replacement of sand in concrete. ACI Mater. J. 2018, 115, 481–492. [Google Scholar] [CrossRef]
- Hai, Y.; Liao, L.B.; Lv, G.C.; Qin, F.X.; Mei, L.F.; Wei, Y.Z. Application of Composite Powders Recycled from Graphite Tailings in Styrene-Butadiene Rubber. JOM 2015, 67, 2733–2738. [Google Scholar] [CrossRef]
- Wu, J.; Jin, H.; Xu, X.; Zhang, Q.; Zhou, S.; Zhu, G. Preparation of Ceramic Rustic from Graphite Tailings. J. Chin. Ceram. Soc. 2019, 47, 1760–1767. (In Chinese) [Google Scholar] [CrossRef]
- Li, X.M.; Zheng, M.Y.; Li, R.; Yuan, G.J.; Zhou, G.Y.; Zhu, X.T.; Ren, G.N. Preparation, microstructure, properties and foaming mechanism of a foamed ceramics with high closed porosity. Ceram. Int. 2019, 45, 11982–11988. [Google Scholar] [CrossRef]
- Yang, Z.; Wang, H.; Wang, Y.Z. Preparation of Close Pore Foamed Ceramics through Complex Foaming Method by Porcelain Tile Residues. Mater. Lett. 2017, 31, 119–123. (In Chinese) [Google Scholar] [CrossRef]
- Dong, Y.R.; Jiang, C.C.; Zhang, L.; Wang, D.; Huang, S.F.; Cheng, X. Waste-bearing foamed ceramic from granite scrap and red mud. Int. J. Appl. Ceram. Technol. 2022, 19, 2686–2700. [Google Scholar] [CrossRef]
- He, S.C.; Jiang, D.Y.; Hong, M.H.; Liu, Z.H. Hazard-free treatment and resource utilisation of electrolytic manganese residue: A review. J. Clean. Prod. 2021, 306, 127224. [Google Scholar] [CrossRef]
- Li, X.; Pan, M.P.; Wu, X.P.; Ma, C.L. Effect of waste B4C addition on high closed-pore porosity foamed ceramics. Ceram. Int. 2022, 48, 10311–10317. [Google Scholar] [CrossRef]
- Liang, B.; Zhang, M.X.; Li, H.; Zhao, M.; Xu, P.F.; Deng, L.B. Preparation of ceramic foams from ceramic tile polishing waste and fly ash without added foaming agent. Ceram. Int. 2021, 47, 23338–23349. [Google Scholar] [CrossRef]
- Ueda, S.; Watanabe, K.; Yanagiya, K.; Inoue, R.; Ariyama, T. Improvement of Reactivity of Carbon Iron Ore Composite with Biomass Char for Blast Furnace. ISIJ Int. 2009, 49, 1505–1512. [Google Scholar] [CrossRef]
- Chen, Z.W.; Wang, H.; Ji, R.; Liu, L.L.; Cheeseman, C.; Wang, X.D. Reuse of mineral wool waste and recycled glass in ceramic foams. Ceram. Int. 2019, 45, 15057–15064. [Google Scholar] [CrossRef]
- Mao, X.; Shimai, S.; Wang, S. Gelcasting of alumina foams consolidated by epoxy resin. J. Eur. Ceram. Soc. 2008, 28, 217–222. [Google Scholar] [CrossRef]
- Zhou, M.K.; Peng, L.F.; Wang, H.D. Influence of Iron Oxide and Foaming Agent on the Performance of Coal Gangue Closed Porosity Ceramics. China Ceram. 2015, 51, 77–80. [Google Scholar] [CrossRef]
- Li, X.M.; Sun, D.Y.; Yang, Q.; Lv, C.C. Foaming mechanism and performance of closed–pore foamed ceramics prepared using calcium carbonate as a foaming agent. Ceram. Int. 2021, 47, 29162–29173. [Google Scholar] [CrossRef]
- Ottonello, G.; Moretti, R.; Marini, L.; Zuccolini, M.V. Oxidation state of iron in silicate glasses and melts: A thermochemical model. Chem. Geol. 2001, 174, 157–179. [Google Scholar] [CrossRef]
- Guo, H.W.; Gong, Y.X.; Gao, S.Y. Preparation of high strength foam glass-ceramics from waste cathode ray tube. Mater. Lett. 2010, 64, 997–999. [Google Scholar] [CrossRef]
- Tang, Z.H.; Zhang, M.X.; Zhang, X.F.; He, J.L.; Jia, X.L.; Deng, L.B. Effect of SiC content on viscosity and thermal properties of foam ceramic prepared from molybdenum tailings. J. Non-Cryst. Solids 2019, 513, 15–23. [Google Scholar] [CrossRef]
- Xi, X.A.; Xu, L.F.; Shui, A.; Wang, Y.M.; Naito, M. Effect of silicon carbide particle size and CaO content on foaming properties during firing and microstructure of porcelain ceramics. Ceram. Int. 2014, 40, 12931–12938. [Google Scholar] [CrossRef]
- Xi, X.A.; Shui, A.; Li, Y.F.; Wang, Y.M.; Abe, H.Y.; Naito, M. Effects of magnesium oxychloride and silicon carbide additives on the foaming property during firing for porcelain ceramics and their microstructure. J. Eur. Ceram. Soc. 2012, 32, 3035–3041. [Google Scholar] [CrossRef]
- Levin, E.M.; Robbins, C.R.; McMurdie, H.F. Phase Diagrams for Ceramists. Nucl. Sci. Eng. 1965, 22, 275–276. [Google Scholar]
- Yin, L.I.; Xia, J.P.; Chen, Z.J.; Liu, H.L.; Yang, J.; Cao, R.F.; Han, Y.W. Feasibility Study on Potassium Feldspar as Flux to Reduce Phosphate Ore. Bull. Chin. Ceram. Soc. 2017, 8, 2737–2742. [Google Scholar]
- Liu, J.; Xia, J.P.; Chen, Z.J.; Luo, Z.Q.; Geng, R.X. Yellow Phosphorus Production in Electric Furnace Using Potassium Feldspar to Replace Silica as Flux. J. Chem. Eng. Chin. Univ. 2017, 31, 1419–1425. [Google Scholar]
- Yuan, B.; Li, C.; Liang, B.; Lü, L.; Yue, H.R.; Sheng, H.Y.; Ye, L.P.; Xie, H.P. Extraction of potassium from K-feldspar via the CaCl2 calcination route. Chin. J. Chem. Eng. 2015, 23, 1557–1564. [Google Scholar] [CrossRef]
- Yu, H.L.; Xu, Y.; Shi, P.J.; Wang, H.M.; Zhang, W.; Xu, B.S. Effect of thermal activation on the tribological behaviours of serpentine ultrafine powders as an additive in liquid paraffin. Tribol. Int. 2011, 44, 1736–1741. [Google Scholar] [CrossRef]
- Tang, X.; Hu, J.; Gao, W.; Zhang, T.; Wang, H. Strengthen recovery characteristics of copper smelting slag with biochar. J. Cent. South Univ. 2018, 49, 1598–1604. [Google Scholar]



















| SiO2 | Al2O3 | CaO | Fe2O3 | K2O | C | MgO | SO3 | TiO2 | Na2O | Other | |
|---|---|---|---|---|---|---|---|---|---|---|---|
| Graphite tailing | 54.52 | 11.95 | 10.88 | 7.18 | 3.75 | 3.65 | 3.49 | 2.89 | 0.63 | 0.53 | 0.53 |
| Potassium feldspar | 70.67 | 16.20 | 1.70 | 0.60 | 5.58 | - | 0.32 | 0.02 | 0.09 | 4.51 | 0.31 |
| Sample | Graphite Tailings | Potash Feldspar | Carbon | Fe2O3 Content |
|---|---|---|---|---|
| A1-D90 | 89.1 | 9.9 | 1 | |
| A3-D90 | 87.4 | 9.7 | 2.9 | |
| A5-D90 | 85.7 | 9.5 | 4.8 | |
| A7-D90 | 84.2 | 9.3 | 6.5 | |
| A9-D90 | 82.6 | 9.1 | 8.3 | |
| A11-D90 | 81.1 | 9.0 | 9.9 | |
| B2-D90 | 88.3 | 9.8 | 1.9 | |
| B4-D90 | 86.6 | 9.6 | 3.8 | |
| B6-D90 | 85.0 | 9.4 | 5.6 | |
| C40-D60 | 60 | 40 | ||
| C30-D70 | 70 | 30 | ||
| C20-D80 | 80 | 20 | ||
| C10-D90 | 90 | 10 | ||
| D100 | 100 | 0 |
| Characteristic Temperature | Figure | Characteristic Description |
|---|---|---|
| Shrinkage | ![]() | Cone shrinks owing to surface volatilization; however, it maintains its original shape. |
| Deformation temperature (DT) | ![]() | Cone tip bends. (The liquid phase begins to appear.) |
| Softening temperature (ST) | ![]() | Cone height is equal to or less than the bottom length. Sample edge is a circular arc. (At this temperature, the solid and liquid phases are approximately equal.) |
| Hemispherical temperature (HT) | ![]() | Cone is deformed and approximately hemispherical. Cone height is approximately half the bottom length. (At this temperature, the liquid phase is greater than that of the solid phase.) |
| Flow temperature (FT) | ![]() | Cone becomes liquid. (Almost all of the material is in liquid and fluid form.) |
Disclaimer/Publisher’s Note: The statements, opinions and data contained in all publications are solely those of the individual author(s) and contributor(s) and not of MDPI and/or the editor(s). MDPI and/or the editor(s) disclaim responsibility for any injury to people or property resulting from any ideas, methods, instructions or products referred to in the content. |
© 2023 by the authors. Licensee MDPI, Basel, Switzerland. This article is an open access article distributed under the terms and conditions of the Creative Commons Attribution (CC BY) license (https://creativecommons.org/licenses/by/4.0/).
Share and Cite
Hu, S.; Li, D.; Li, Y.; Guo, Q.; Tian, D.; Zhang, L.; Li, H. Preparation of Foamed Ceramics from Graphite Tailings Using A Self-Foaming Method. Minerals 2023, 13, 521. https://doi.org/10.3390/min13040521
Hu S, Li D, Li Y, Guo Q, Tian D, Zhang L, Li H. Preparation of Foamed Ceramics from Graphite Tailings Using A Self-Foaming Method. Minerals. 2023; 13(4):521. https://doi.org/10.3390/min13040521
Chicago/Turabian StyleHu, Suhua, Daorong Li, Yongli Li, Qiang Guo, Dengchao Tian, Ling Zhang, and Huilin Li. 2023. "Preparation of Foamed Ceramics from Graphite Tailings Using A Self-Foaming Method" Minerals 13, no. 4: 521. https://doi.org/10.3390/min13040521
APA StyleHu, S., Li, D., Li, Y., Guo, Q., Tian, D., Zhang, L., & Li, H. (2023). Preparation of Foamed Ceramics from Graphite Tailings Using A Self-Foaming Method. Minerals, 13(4), 521. https://doi.org/10.3390/min13040521





