UV Induced Photocatalytic Degradation of Caffeine Using TiO2–H-Beta Zeolite Composite
Abstract
1. Introduction
2. Experimental
2.1. Materials and Methods
2.1.1. Materials
2.1.2. Synthesis
2.2. Characterization of THB
2.3. Photocatalytic Reactor
2.4. Photocatalytic Degradation Experiment
2.5. Chemical Oxygen Demand (COD)
3. Results and Discussion
3.1. Characterization of THB
3.1.1. Powder X-ray Diffraction (XRD)
3.1.2. Morphology and Particle Size
3.1.3. UV-DRS (Diffuse Reflectance Spectroscopy)
3.2. Photocatalysis
3.2.1. Effect of Catalyst Amount and Caffeine Concentration on the Degradation
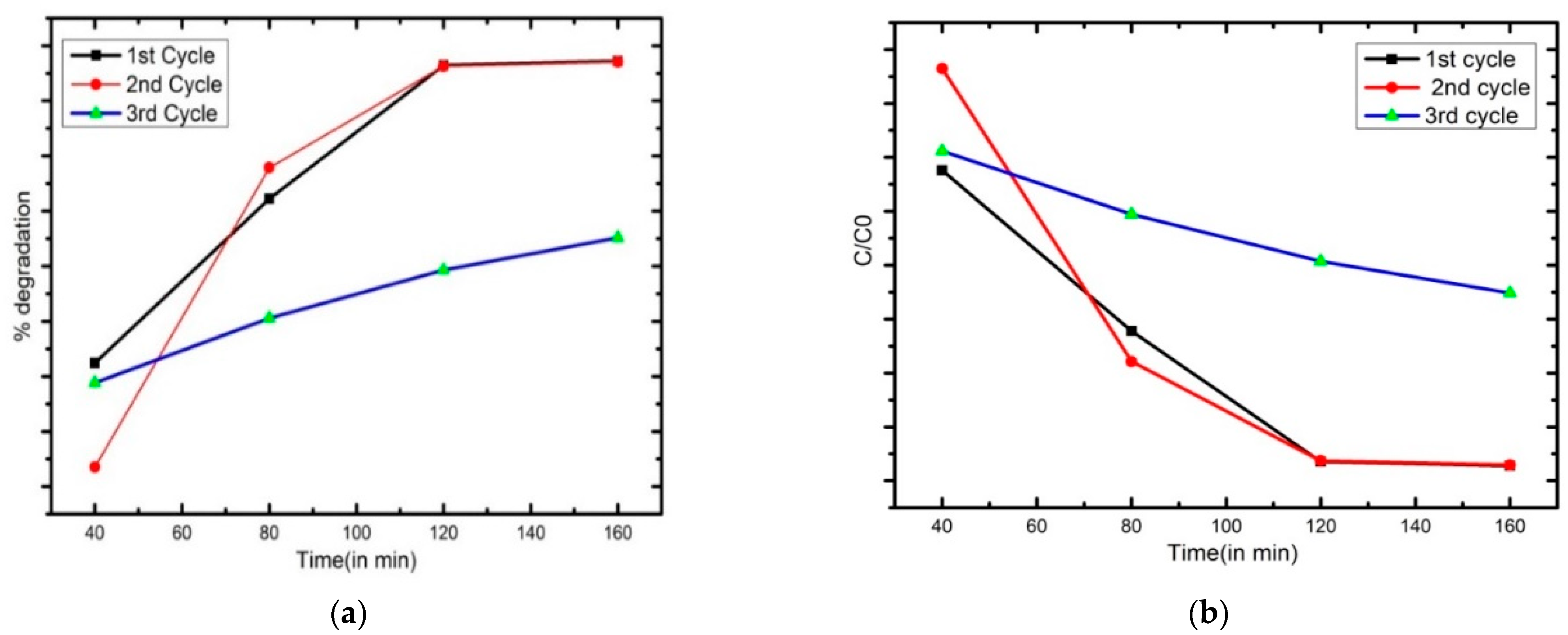
3.2.2. Reusability of Catalyst
3.2.3. Photocatalytic Mechanism
3.3. Chemical Oxygen Demand (COD)
4. Conclusions
Supplementary Materials
Author Contributions
Funding
Data Availability Statement
Acknowledgments
Conflicts of Interest
References
- Eidsvåg, H.; Bentouba, S.; Vajeeston, P.; Yohi, S.; Velauthapillai, D. TiO2 as a photocatalyst for water splitting—An experimental and theoretical review. Molecules 2021, 26, 1687. [Google Scholar] [CrossRef]
- Kundu, B.K.; Han, G.; Sun, Y. Derivatized Benzothiazoles as Two-Photon-Absorbing Organic Photosen-sitizers Active under Near Infrared Light Irradiation. J. Am. Chem. Soc. 2023, 145, 3535–3542. [Google Scholar] [CrossRef]
- Wang, H.; Li, X.; Zhao, X.; Li, C.; Song, X.; Zhang, P.; Huo, P. A review on heterogeneous photocatalysis for environmental remediation: From semiconductors to modification strategies. Chin. J. Catal. 2022, 43, 178–214. [Google Scholar] [CrossRef]
- Li, K.; Peng, B.; Peng, T. Recent advances in heterogeneous photocatalytic CO2 conversion to solar fuels. Acs Catal. 2016, 6, 7485–7527. [Google Scholar] [CrossRef]
- Schneider, J.; Matsuoka, M.; Takeuchi, M.; Zhang, J.; Horiuchi, Y.; Anpo, M.; Bahnemann, D.W. Understanding TiO2 photocatalysis: Mechanisms and materials. Chem. Rev. 2014, 114, 9919–9986. [Google Scholar] [CrossRef] [PubMed]
- Dharma, H.N.C.; Jaafar, J.; Widiastuti, N.; Matsuyama, H.; Rajabsadeh, S.; Othman, M.H.D.; Rahman, M.A.; Jafri, N.N.M.; Suhaimin, N.S.; Nasir, A.M. A review of titanium dioxide (TiO2)-based photocatalyst for oilfield-produced water treatment. Membranes 2022, 12, 345. [Google Scholar] [CrossRef]
- Zhou, X.-T.; Ji, H.-B.; Huang, X.-J. Photocatalytic degradation of methyl orange over metalloporphyrins supported on TiO2 degussa P25. Molecules 2012, 17, 1149–1158. [Google Scholar] [CrossRef] [PubMed]
- Garcia, C.R.; Oliva, J.; Chávez, D.; Esquivel, B.; Gómez-Solís, C.; Martínez-Sánchez, E.; Mtz-Enriquez, A.I. Effect of Bismuth Dopant on the Photocatalytic Properties of SrTiO3 under Solar Irradiation. Top. Catal. 2021, 64, 155–166. [Google Scholar] [CrossRef]
- Shanbogh, P.P.; Raghunathan, R.; Swain, D.; Feygenson, M.; Neuefeind, J.; Plaisier, J.; Narayana, C.; Rao, A.; Sundaram, N.G. Impact of average, local, and electronic structure on visible light photocatalysis in novel BiREWO6 (RE = Eu and Tb) nanomaterials. ACS Appl. Mater. Interfaces 2018, 10, 35876–35887. [Google Scholar] [CrossRef] [PubMed]
- Bhat, S.S.M.; Sundaram, N.G. Efficient visible light photocatalysis of Bi4TaO8Cl nanoparticles synthesized by solution combustion technique. RSC Adv. 2013, 3, 14371–14378. [Google Scholar] [CrossRef]
- Velaga, B.; Shanbogh, P.P.; Swain, D.; Narayana, C.; Sundaram, N.G. High Surface Area SnO2–Ta2O5 Composite for Visible Light-driven Photocatalytic Degradation of an Organic Dye. Photochem. Photobiol. 2018, 94, 633–640. [Google Scholar] [CrossRef]
- Castañeda, C.; Martínez, J.J.; Santos, L.; Rojas, H.; Osman, S.M.; Gómez, R.; Luque, R. Caffeine photocatalytic degradation using composites of NiO/TiO2–F and CuO/TiO2–F under UV irradiation. Chemosphere 2022, 288, 132506. [Google Scholar] [CrossRef] [PubMed]
- Hernández-Del Castillo, P.; Oliva, J.; Rodriguez-Gonzalez, V. An eco-friendly and sustainable support of agave-fibers functionalized with graphene/TiO2: SnO2 for the photocatalytic degradation of the 2, 4-D herbicide from the drinking water. J. Environ. Manag. 2022, 317, 115514. [Google Scholar] [CrossRef] [PubMed]
- Valadez-Renteria, E.; Perez-Gonzalez, R.; Gomez-Solis, C.; Diaz-Torres, L.A.; Encinas, A.; Oliva, J.; Rodriguez-Gonzalez, V. A novel and stretchable carbon-nanotube/Ni@ TiO2: W photocatalytic composite for the complete removal of diclofenac drug from the drinking water. J. Environ. Sci. 2023, 126, 575–589. [Google Scholar] [CrossRef] [PubMed]
- Singh, P.; Shandilya, P.; Raizada, P.; Sudhaik, A.; Rahmani-Sani, A.; Hosseini-Bandegharaei, A. Review on various strategies for enhancing photocatalytic activity of graphene based nanocomposites for water purification. Arab. J. Chem. 2020, 13, 3498–3520. [Google Scholar] [CrossRef]
- Amano, F.; Nogami, K.; Tanaka, M.; Ohtani, B. Correlation between surface area and photocatalytic activity for acetaldehyde decomposition over bismuth tungstate particles with a hierarchical structure. Langmuir 2010, 26, 7174–7180. [Google Scholar] [CrossRef]
- Li, X.; Simon, U.; Bekheet, M.F.; Gurlo, A. Mineral-Supported Photocatalysts: A Review of Materials, Mechanisms and Environmental Applications. Energies 2022, 15, 5607. [Google Scholar] [CrossRef]
- Indarto, A.; Putra, I.; Noersalim, S.; Hartanto, Y.; Handojo, L. Zeolites as adsorbent materials for decolorization of crude terpineol. Proc. IOP Conf. Ser. Mater. Sci. Eng. 2019, 599, 012021. [Google Scholar] [CrossRef]
- Wang, S.; Peng, Y. Natural zeolites as effective adsorbents in water and wastewater treatment. Chem. Eng. J. 2010, 156, 11–24. [Google Scholar] [CrossRef]
- Jiang, N.; Shang, R.; Heijman, S.G.; Rietveld, L.C. High-silica zeolites for adsorption of organic micro-pollutants in water treatment: A review. Water Res. 2018, 144, 145–161. [Google Scholar] [CrossRef]
- Morales, G.; Melero, J.A.; Paniagua, M.; López-Aguado, C.; Vidal, N. Beta zeolite as an efficient catalyst for the synthesis of diphenolic acid (DPA) from renewable levulinic acid. Catal. Today 2022, in press. [Google Scholar] [CrossRef]
- Djellabi, R.; Ghorab, M.F.; Cerrato, G.; Morandi, S.; Gatto, S.; Oldani, V.; Di Michele, A.; Bianchi, C.L. Photoactive TiO2–montmorillonite composite for degradation of organic dyes in water. J. Photochem. Photobiol. A Chem. 2014, 295, 57–63. [Google Scholar] [CrossRef]
- Chong, M.N.; Tneu, Z.Y.; Poh, P.E.; Jin, B.; Aryal, R. Synthesis, characterisation and application of TiO2–zeolite nanocomposites for the advanced treatment of industrial dye wastewater. J. Taiwan Inst. Chem. Eng. 2015, 50, 288–296. [Google Scholar] [CrossRef]
- Alakhras, F.; Alhajri, E.; Haounati, R.; Ouachtak, H.; Addi, A.A.; Saleh, T.A. A comparative study of photocatalytic degradation of Rhodamine B using natural-based zeolite composites. Surf. Interfaces 2020, 20, 100611. [Google Scholar] [CrossRef]
- Diban Gómez, N.; Pacula, A.; Kumakiri, I.; Barquín Díez, C.; Rivero Martínez, M.J.; Urtiaga Mendia, A.M.; Ortiz Uribe, I. TiO2-zeolite metal composites for photocatalytic degradation of organic pollutants in water. Catalysts 2021, 11, 1367. [Google Scholar] [CrossRef]
- Moosavifar, M.; Bagheri, S. Photocatalytic Performance of H6P2W18O62/TiO2 nanocomposite encapsulated into beta zeolite under UV irradiation in the degradation of methyl orange. Photochem. Photobiol. 2019, 95, 532–542. [Google Scholar] [CrossRef]
- Carpenter, D.O. Health effects of persistent organic pollutants: The challenge for the Pacific Basin and for the world. Rev. Environ. Health 2011, 26, 61–69. [Google Scholar] [CrossRef]
- Nguyen, V.-H.; Smith, S.M.; Wantala, K.; Kajitvichyanukul, P. Photocatalytic remediation of persistent organic pollutants (POPs): A review. Arab. J. Chem. 2020, 13, 8309–8337. [Google Scholar] [CrossRef]
- Jagannatha, R.B.; Rani, R.S.; Padaki, M. ZnO Zeolite nanocomposite for photocatalytic elimination of benzophenone and caffeine. ChemistrySelect 2019, 4, 1989–1993. [Google Scholar] [CrossRef]
- Liu, X.; Liu, Y.; Lu, S.; Guo, W.; Xi, B. Performance and mechanism into TiO2/Zeolite composites for sulfadiazine adsorption and photodegradation. Chem. Eng. J. 2018, 350, 131–147. [Google Scholar] [CrossRef]
- Savun-Hekimoğlu, B.; Eren, Z.; Ince, N.H. Photocatalytic destruction of caffeine on sepiolite-supported TiO2 nanocomposite. Sustainability 2020, 12, 10314. [Google Scholar] [CrossRef]
- Mahalakshmi, M.; Vishnu Priya, S.; Arabindoo, B.; Palanichamy, M.; Murugesan, V. Photocatalytic degradation of aqueous propoxur solution using TiO2 and Hβ zeolite-supported TiO2. J. Hazard. Mater. 2009, 161, 336–343. [Google Scholar] [CrossRef]
- Jansson, I.; Suárez, S.; García-García, F.; Sánchez, B. ZSM-5/TiO2 hybrid photocatalysts: Influence of the preparation method and synergistic effect. Top. Catal. 2017, 60, 1171–1182. [Google Scholar] [CrossRef]
- Jalloul, G.; Al-Mousawi, A.; Chocr, F.; Merhi, A.; Awala, H.; Boyadjian, C. Fe-Sensitized Zeolite Supported TiO2 for the Degradation of Tetracycline Using Blue LED Irradiation. Front. Environ. Sci. 2022, 10, 873257. [Google Scholar] [CrossRef]
- Almeida, L.N.; Lenzi, G.; Pietrobelli, J.; Santos, O.A. Performance evaluation of catalysts of zno in photocatalytic degradation of caffeine solution. Chem. Eng. Trans. 2017, 57, 667–672. [Google Scholar]
- Luna, R.; Solis, C.; Ortiz, N.; Galicia, A.; Sandoval, F.; Zermeño, B.; Moctezuma, E. Photocatalytic degradation of caffeine in a solar reactor system. Int. J. Chem. React. Eng. 2018, 16, 20170126. [Google Scholar] [CrossRef]
- Nirmala Rani, C. Photocatalytic degradation of caffeine in a slurry reactor with intermittent UV irradiation: Optimization and response surface modelling. Water Pract. Technol. 2022, 17, 517–528. [Google Scholar] [CrossRef]
- Muangmora, R.; Kemacheevakul, P.; Punyapalakul, P.; Chuangchote, S. Enhanced photocatalytic degradation of caffeine using titanium dioxide photocatalyst immobilized on circular glass sheets under ultraviolet C irradiation. Catalysts 2020, 10, 964. [Google Scholar] [CrossRef]
- Ghosh, M.; Manoli, K.; Shen, X.; Wang, J.; Ray, A.K. Solar photocatalytic degradation of caffeine with titanium dioxide and zinc oxide nanoparticles. J. Photochem. Photobiol. A Chem. 2019, 377, 1–7. [Google Scholar] [CrossRef]
- Elhalil, A.; Elmoubarki, R.; Farnane, M.; Machrouhi, A.; Sadiq, M.; Mahjoubi, F.; Qourzal, S.; Barka, N. Photocatalytic degradation of caffeine as a model pharmaceutical pollutant on Mg doped ZnO-Al2O3 heterostructure. Environ. Nanotechnol. Monit. Manag. 2018, 10, 63–72. [Google Scholar] [CrossRef]
- Kundu, B.K.; Das, M.; Ganguly, R.; Bhobe, P.A.; Mukhopadhyay, S. Role of zeolite encapsulated Cu (II) complexes in electron transfer as well as peroxy radical intermediates formation during oxidation of thioanisole. J. Catal. 2020, 389, 305–316. [Google Scholar] [CrossRef]
- Rahman, A.; Nurjayadi, M.; Wartilah, R.; Kusrini, E.; Prasetyanto, E.A.; Degermenci, V. Enhanced activity of TiO2/Natural zeolite composite for degradation of methyl orange under visible light irradiation. Int. J. Technol. 2018, 9, 1159–1167. [Google Scholar] [CrossRef]











Disclaimer/Publisher’s Note: The statements, opinions and data contained in all publications are solely those of the individual author(s) and contributor(s) and not of MDPI and/or the editor(s). MDPI and/or the editor(s) disclaim responsibility for any injury to people or property resulting from any ideas, methods, instructions or products referred to in the content. |
© 2023 by the authors. Licensee MDPI, Basel, Switzerland. This article is an open access article distributed under the terms and conditions of the Creative Commons Attribution (CC BY) license (https://creativecommons.org/licenses/by/4.0/).
Share and Cite
G., G.; D’Souza, J.Q.; Sundaram, N.G. UV Induced Photocatalytic Degradation of Caffeine Using TiO2–H-Beta Zeolite Composite. Minerals 2023, 13, 465. https://doi.org/10.3390/min13040465
G. G, D’Souza JQ, Sundaram NG. UV Induced Photocatalytic Degradation of Caffeine Using TiO2–H-Beta Zeolite Composite. Minerals. 2023; 13(4):465. https://doi.org/10.3390/min13040465
Chicago/Turabian StyleG., Gayathri, Joyce Q. D’Souza, and Nalini G. Sundaram. 2023. "UV Induced Photocatalytic Degradation of Caffeine Using TiO2–H-Beta Zeolite Composite" Minerals 13, no. 4: 465. https://doi.org/10.3390/min13040465
APA StyleG., G., D’Souza, J. Q., & Sundaram, N. G. (2023). UV Induced Photocatalytic Degradation of Caffeine Using TiO2–H-Beta Zeolite Composite. Minerals, 13(4), 465. https://doi.org/10.3390/min13040465
