Numerical Study on the Hydraulic Fracturing Pattern in the Hard Roof in Response to Mining-Induced Stress
Abstract
Highlights
- The 3D stress distributions around the gob after mining are numerically calculated.
- The propagations of hydraulic fractures in different disturbed areas caused by mining-induced stress are compared.
- The influence of the geological conditions that often appear in situ in hydraulic fracturing patterns in a hard roof is examined.
Abstract
1. Introduction
2. Theoretical Background
2.1. Constitutive Models for Longwall Mining
2.1.1. The Models for Rock Element without Fracture
2.1.2. The Models for Rock Elements with Fracture
2.2. Governing Equations Used for Hydraulic Fracturing
2.2.1. Geo-Mechanical Model
2.2.2. Fracture Flow Model
2.2.3. Fracture Propagation and Orientation
2.2.4. Solution Strategy
3. Numerical Study on the Hydraulic Fracturing Pattern in Hard Roof
3.1. Modeling Setup
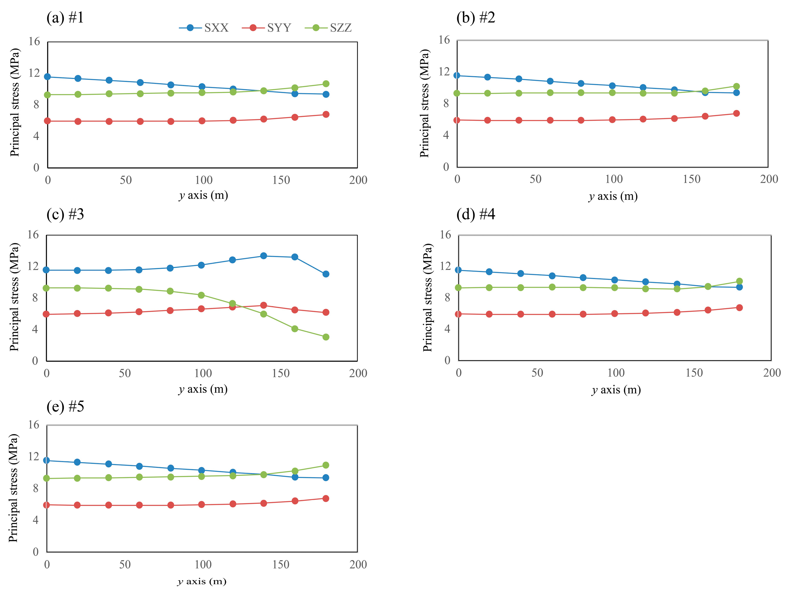
3.2. Simulations of Longwall Mining
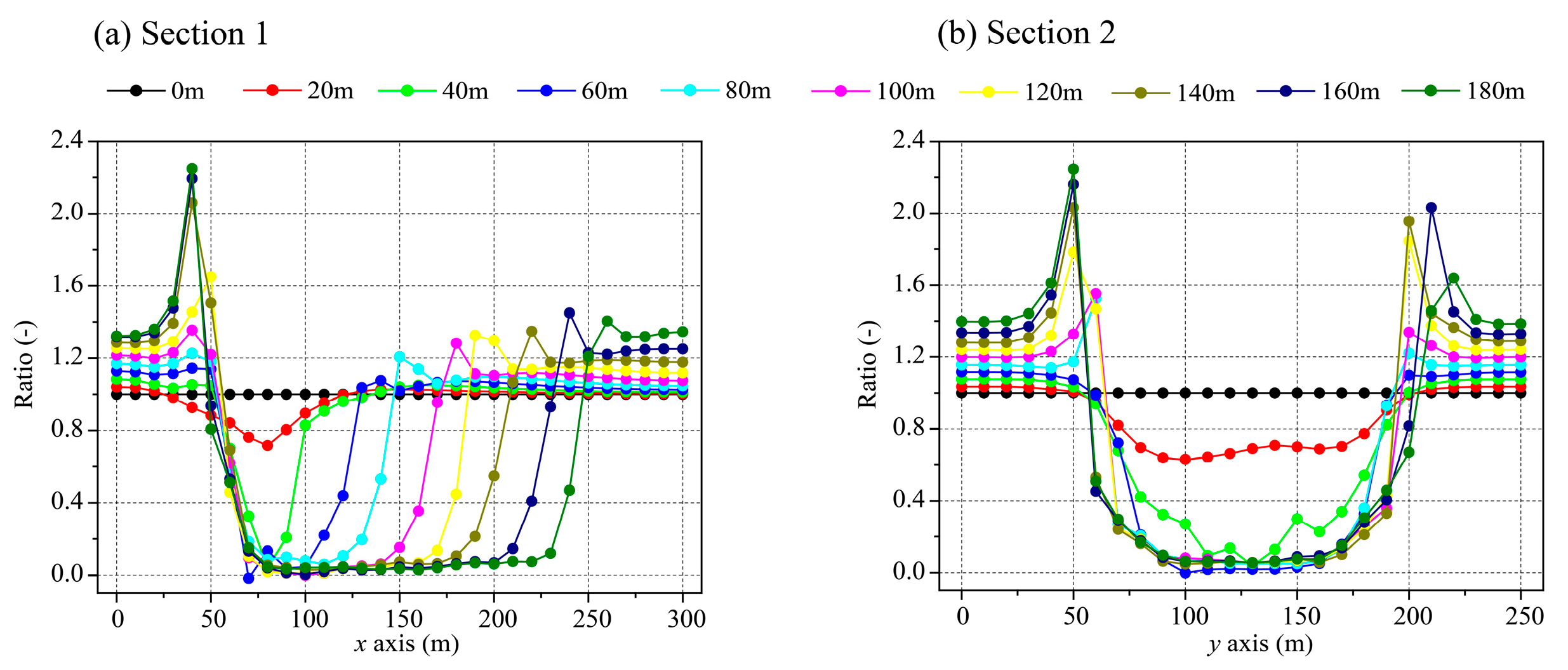
3.3. Simulations of Hydraulic Fracturing in the Hard Roof above the Gob
3.4. Simulations of Hydraulic Fracturing in Hard Roof ahead of the Working Face
3.5. Sensitivity Analysis
3.5.1. Effect of the Position of the Hard Roof
3.5.2. Effect of the Stress Difference between the Maximum and Minimum Principal Stresses
3.5.3. Effect of the Initial Minimum Principal Stress Direction
4. Discussion
5. Conclusions
Author Contributions
Funding
Data Availability Statement
Conflicts of Interest
References
- Liu, J.; Liu, C.; Yao, Q.; Si, G. The position of hydraulic fracturing to initiate vertical fractures in hard hanging roof for stress relief. Int. J. Rock Mech. Min. Sci. 2020, 132, 104328. [Google Scholar] [CrossRef]
- Song, X.M.; Lian, Q.W.; Xing, P.W.; Fu, Y.P.; Li, Z.J. Research on air bumping disaster induced by large roof falling in goaf. Coal Sci. Technol. 2009, 37, 1–4. [Google Scholar] [CrossRef]
- Qi, Q.X.; Li, X.L.; Zhao, S.K. Theory and practices on stress control of mine pressure bumping. Int. J. Coal Sci. Technol. 2013, 41, 1–5. [Google Scholar] [CrossRef]
- Jiang, Y.D.; Pan, Y.S.; Jiang, F.X.; Dou, L.M.; Ju, Y. LM State of the art review on mechanism and prevention of coal bumps in China. J. China Coal Soc. 2014, 39, 205–213. [Google Scholar] [CrossRef]
- Dou, L.M.; He, J.; Cao, A.Y.; Gong, S.Y.; Cai, W. Rock burst prevention methods based on theory of dynamic and static combined load induced in coal mine. J. China Coal Soc. 2015, 40, 1469–1476. [Google Scholar] [CrossRef]
- Lu, C.-P.; Liu, G.-J.; Liu, Y.; Zhang, N.; Xue, J.-H.; Zhang, L. Microseismic multi-parameter characteristics of rockburst hazard induced by hard roof fall and high stress concentration. Int. J. Rock Mech. Min. Sci. 2015, 76, 18–32. [Google Scholar] [CrossRef]
- Wang, Q.; Wang, H.; Qi, Z. An application of nonlinear fuzzy analytic hierarchy process in safety evaluation of coal mine. Saf. Sci. 2016, 86, 78–87. [Google Scholar] [CrossRef]
- Zhang, J.; Li, B.; Zhou, N.; Zhang, Q. Application of solid backfilling to reduce hard-roof caving and longwall coal face burst potential. Int. J. Rock Mech. Min. Sci. 2016, 88, 197–205. [Google Scholar] [CrossRef]
- Clark, J. A Hydraulic Process for Increasing the Productivity of Wells. J. Pet. Technol. 1949, 1, 1–8. [Google Scholar] [CrossRef]
- Puri, R.; King, G.; Palmer, I. Damage to coal permeability during hydraulic fracturing. In Low Permeability Reservoirs Symposium; Society of Petroleum Engineers; OnePetro: Richardson, TX, USA, 1991. [Google Scholar]
- Wright, C.; Tanigawa, J.; Shixin, M.; Li, Z. Enhanced hydraulic fracture technology for a coal seam reservoir in Central China. In International Meeting on Petroleum Engineering; Society of Petroleum Engineers; OnePetro: Richardson, TX, USA, 1995. [Google Scholar]
- Zhai, C.; Li, M.; Sun, C.; Zhang, J.; Yang, W.; Li, Q. Guiding-controlling technology of coal seam hydraulic fracturing fractures extension. Int. J. Min. Sci. Technol. 2012, 22, 831–836. [Google Scholar] [CrossRef]
- Liu, Y.; Lebedev, M.; Zhang, Y.; Wang, E.; Li, W.; Liang, J.; Feng, R.; Ma, R. Micro-Cleat and Permeability Evolution of Anisotropic Coal During Directional CO2 Flooding: An In Situ Micro-CT Study. Nat. Resour. Res. 2022, 31, 2805–2818. [Google Scholar] [CrossRef]
- Liu, Y.; Wang, E.; Jiang, C.; Zhang, D.; Li, M.; Yu, B.; Zhao, D. True Triaxial Experimental Study of Anisotropic Mechanical Behavior and Permeability Evolution of Initially Fractured Coal. Nat. Resour. Res. 2023, 32, 1–19. [Google Scholar] [CrossRef]
- Chernov, O.I. Hydrodynamic stratification of petrologically uniform strong rocks as a means of controlling intransigent roofs. J. Min. Sci. 1982, 18, 102–107. [Google Scholar] [CrossRef]
- Fan, J.; Dou, L.; He, H.; Du, T.; Zhang, S.; Gui, B.; Sun, X. Directional hydraulic fracturing to control hard-roof rockburst in coal mines. Int. J. Min. Sci. Technol. 2012, 22, 177–181. [Google Scholar] [CrossRef]
- Jeffrey, R.; Chen, Z.; Mills, K.; Pegg, S. Monitoring and measuring hydraulic fracturing growth during preconditioning of a roof rock over a coal longwall panel. In ISRM International Conference for Effective and Sustainable Hydraulic Fracturing; International Society for Rock Mechanics; OnePetro: Richardson, TX, USA, 2013. [Google Scholar]
- Yu, B.; Zhao, J.; Kuang, T.; Meng, X. In situ investigations into overburden failures of a super-thick coal seam for longwall top coal caving. Int. J. Rock Mech. Min. Sci. 2015, 78, 155–162. [Google Scholar] [CrossRef]
- He, J.; Dou, L.-M.; Mu, Z.-L.; Cao, A.-Y.; Gong, S.-Y. Numerical simulation study on hard-thick roof inducing rock burst in coal mine. J. Cent. South Univ. 2016, 23, 2314–2320. [Google Scholar] [CrossRef]
- Wang, G.-F.; Gong, S.-Y.; Li, Z.-L.; Dou, L.-M.; Cai, W.; Mao, Y. Evolution of Stress Concentration and Energy Release Before Rock Bursts: Two Case Studies from Xingan Coal mine, Hegang, China. Rock Mech. Rock Eng. 2016, 49, 3393–3401. [Google Scholar] [CrossRef]
- Yu, B. Behaviors of overlying strata in extra-thick coal seams using top-coal caving method. J. Rock Mech. Geotech. Eng. 2016, 8, 238–247. [Google Scholar] [CrossRef]
- Yu, B.; Zhao, J.; Xiao, H. Case Study on Overburden Fracturing during Longwall Top Coal Caving Using Microseismic Monitoring. Rock Mech. Rock Eng. 2017, 50, 507–511. [Google Scholar] [CrossRef]
- Lu, Y.; Gong, T.; Xia, B.; Yu, B.; Huang, F. Target Stratum Determination of Surface Hydraulic Fracturing for Far-Field Hard Roof Control in Underground Extra-Thick Coal Extraction: A Case Study. Rock Mech. Rock Eng. 2018, 52, 2725–2740. [Google Scholar] [CrossRef]
- Yu, B.; Gao, R.; Kuang, T.; Huo, B.; Meng, X. Engineering study on fracturing high-level hard rock strata by ground hydraulic action. Tunn. Undergr. Space Technol. 2019, 86, 156–164. [Google Scholar] [CrossRef]
- Shimada, H.; Mastui, K.; Anwar, H. Control of hard-to-collapse massive roofs in longwall faces using a hydraulic fracturing techniques. In Proceedings of the 17th International Conference on Ground Control in Mining, Morgantown, WV, USA, 31 December 1998; pp. 79–87. [Google Scholar]
- Hayes, P. Moonee Colliery: Renewing the economic viability of a mine using microseismic and hydraulic fracturing techniques in massive roof conditions. In Proceedings of the 19th International Conference on Ground Control in Mining, Morgantown, WV, USA, 8–10 August 2000; pp. 38–44. [Google Scholar]
- Huang, B.; Wang, Y.; Cao, S. Cavability control by hydraulic fracturing for top coal caving in hard thick coal seams. Int. J. Rock Mech. Min. Sci. 2015, 74, 45–57. [Google Scholar] [CrossRef]
- Kang, H.; Lv, H.; Gao, F.; Meng, X.; Feng, Y. Understanding mechanisms of destressing mining-induced stresses using hydraulic fracturing. Int. J. Coal Geol. 2018, 196, 19–28. [Google Scholar] [CrossRef]
- He, Q.; Suorineni, F.T.; Ma, T.; Oh, J. Effect of discontinuity stress shadows on hydraulic fracture re-orientation. Int. J. Rock Mech. Min. Sci. 2017, 91, 179–194. [Google Scholar] [CrossRef]
- Li, Y.; Long, M.; Tang, J.; Chen, M.; Fu, X. A hydraulic fracture height mathematical model considering the influence of plastic region at fracture tip. Pet. Explor. Dev. 2020, 47, 184–195. [Google Scholar] [CrossRef]
- Zhang, J.; Li, Y.; Pan, Y.; Wang, X.; Yan, M.; Shi, X.; Zhou, X.; Li, H. Experiments and analysis on the influence of multiple closed cemented natural fractures on hydraulic fracture propagation in a tight sandstone reservoir. Eng. Geol. 2021, 281, 105981. [Google Scholar] [CrossRef]
- Ju, Y.; Wang, Y.; Su, C.; Zhang, D.; Ren, Z. Numerical analysis of the dynamic evolution of mining-induced stresses and fractures in multilayered rock strata using continuum-based discrete element methods. Int. J. Rock Mech. Min. Sci. 2019, 113, 191–210. [Google Scholar] [CrossRef]
- Zhang, B.; Sun, H.; Liang, Y.; Wang, K.; Zou, Q. Characterization and Quantification of Mining-Induced Fractures in Overlying Strata: Implications for Coalbed Methane Drainage. Nat. Resour. Res. 2019, 29, 2467–2480. [Google Scholar] [CrossRef]
- Chen, J.; Zhou, L.; Xia, B.; Su, X.; Shen, Z. Numerical Investigation of 3D Distribution of Mining-Induced Fractures in Response to Longwall Mining. Nat. Resour. Res. 2021, 30, 889–916. [Google Scholar] [CrossRef]
- Xu, C.; Yuan, L.; Cheng, Y.; Wang, K.; Zhou, A.; Shu, L. Square-form structure failure model of mining-affected hard rock strata: Theoretical derivation, application and verification. Environ. Earth Sci. 2016, 75, 1180. [Google Scholar] [CrossRef]
- Li, N.; Wang, E.Y.; Ge, M.C.; Liu, J. The fracture mechanism and acoustic emission analysis of hard roof: A physical modeling study. Arab. J. Geosci. 2015, 8, 1895–1902. [Google Scholar] [CrossRef]
- Xia, B.; Zhang, X.; Yu, B.; Jia, J. Weakening effects of hydraulic fracture in hard roof under the influence of stress arch. Int. J. Min. Sci. Technol. 2018, 28, 951–958. [Google Scholar] [CrossRef]
- He, Q.; Suorineni, F.T.; Oh, J. Strategies for Creating Prescribed Hydraulic Fractures in Cave Mining. Rock Mech. Rock Eng. 2016, 50, 967–993. [Google Scholar] [CrossRef]
- Chen, J.; Zhou, L.; Chemenda, A.I.; Xia, B.; Su, X.; Shen, Z. Numerical modeling of fracture process using a new fracture constitutive model with applications to 2D and 3D engineering cases. Energy Sci. Eng. 2020, 8, 2628–2647. [Google Scholar] [CrossRef]
- Ren, X.; Zhou, L.; Li, H.; Lu, Y. A three-dimensional numerical investigation of the propagation path of a two-cluster fracture system in horizontal wells. J. Pet. Sci. Eng. 2019, 173, 1222–1235. [Google Scholar] [CrossRef]
- Itasca Consulting Group. FLAC 3D (Fast Lagrangian Analysis of Continua in 3-Dimensions); 5.0 Manual; Itasca Consulting Group: Minneapolis, MN, USA, 2013. [Google Scholar]
- Oliver, J. Modelling strong discontinuities in solid mechanics via strain softening constitutive equations. Part 2: Numerical simulation. Int. J. Numer. Methods Eng. 2015, 39, 3601–3623. [Google Scholar] [CrossRef]
- Goodman, R.E.; Taylor, R.L.; Brekke, T.L. A Model for the Mechanics of Jointed Rock. J. Soil Mech. Found. Div. 1968, 94, 637–659. [Google Scholar] [CrossRef]
- Zhou, L.; Su, X.; Lu, Y.; Ge, Z.; Zhang, Z.; Shen, Z. A New Three-Dimensional Numerical Model Based on the Equivalent Continuum Method to Simulate Hydraulic Fracture Propagation in an Underground Coal Mine. Rock Mech. Rock Eng. 2018, 52, 2871–2887. [Google Scholar] [CrossRef]
- Zimmerman, R.W.; Kumar, S.; Bodvarsson, G.S. Lubrication theory analysis of the permeability of rough-walled fractures. Int. J. Rock Mech. Min. Sci. Geomech. Abstr. 1991, 28, 325–331. [Google Scholar] [CrossRef]
- Barenblatt, G.I. The Mathematical Theory of Equilibrium Cracks in Brittle Fracture. Adv. Appl. Mech. 1962, 7, 55–129. [Google Scholar]
- Zhou, L.; Gou, Y.; Hou, Z.; Were, P.; Hou, M.Z. Numerical modeling and investigation of fracture propagation with arbitrary orientation through fluid injection in tight gas reservoirs with combined XFEM and FVM. Environ. Earth Sci. 2015, 73, 5801–5813. [Google Scholar] [CrossRef]
- Zhou, L.; Su, X.; Hou, Z.; Lu, Y.; Gou, Y. Numerical investigation of the hydromechanical response of a natural fracture during fluid injection using an efficient sequential coupling model. Environ. Earth Sci. 2016, 75, 1263. [Google Scholar] [CrossRef]





















| No. | Rock Strata | Depth (m) | Thickness (m) | Density (kg/m3) | Young’s Modulus (MPa) | Poisson’s Ratio | Cohesion (MPa) | Internal Friction Angle (°) | Tension (MPa) |
|---|---|---|---|---|---|---|---|---|---|
| 25 | Sandy sandstone | −316 | 8 | 2535 | 23.4 | 0.22 | 5.5 | 33 | 5.2 |
| 24 | Medium sandstone | −324 | 4 | 2526 | 14.27 | 0.17 | 6.80 | 31.00 | 7.00 |
| 23 | Sandy mudstone | −328 | 6 | 2571 | 8.87 | 0.2 | 5.96 | 32.29 | 5.84 |
| 22 | Sandy sandstone | −334 | 7 | 2535 | 23.4 | 0.22 | 5.5 | 33 | 5.2 |
| 21 | Medium sandstone | −341 | 15 | 2526 | 14.2 | 0.17 | 6.8 | 31 | 7 |
| 20 | Sandy sandstone | −356 | 6 | 2535 | 23.4 | 0.22 | 5.5 | 33 | 5.2 |
| 19 | Fine sandstone | −361 | 5 | 2585 | 12.17 | 0.19 | 6.51 | 36.37 | 5.83 |
| 18 | Sandy sandstone | −366 | 6 | 2535 | 23.4 | 0.22 | 5.5 | 33 | 5.2 |
| 17 | Sandy sandstone | −372 | 6 | 2535 | 23.4 | 0.22 | 5.5 | 33 | 5.2 |
| 16 | Fine sandstone | −378 | 7 | 2585 | 12.17 | 0.19 | 6.51 | 36.37 | 5.83 |
| 15 | Sandy sandstone | −385 | 5 | 2535 | 23.4 | 0.22 | 5.5 | 33 | 5.2 |
| 14 | Sandy mudstone | −390 | 5 | 2571 | 8.87 | 0.2 | 5.96 | 32.29 | 5.84 |
| 13 | Sandy sandstone | −395 | 4 | 2535 | 23.4 | 0.22 | 5.5 | 33 | 5.2 |
| 12 | Sandy mudstone | −399 | 5 | 2571 | 8.87 | 0.2 | 5.96 | 32.29 | 5.84 |
| 11 | Fine sandstone | −404 | 7 | 2585 | 12.17 | 0.19 | 6.51 | 36.37 | 5.83 |
| 10 | Sandy sandstone | −411 | 5 | 2535 | 23.4 | 0.22 | 5.5 | 33 | 5.2 |
| 9 | Fine sandstone | −416 | 7 | 2585 | 12.17 | 0.19 | 6.51 | 36.37 | 5.83 |
| 8 | Sandy sandstone | −423 | 3 | 2535 | 23.4 | 0.22 | 5.5 | 33 | 5.2 |
| 7 | Fine sandstone | −426 | 7 | 2585 | 12.17 | 0.19 | 6.51 | 36.37 | 5.83 |
| 6 | Sandy mudstone | −433 | 7 | 2571 | 8.87 | 0.2 | 5.96 | 32.29 | 5.84 |
| 5 | Sandy mudstone | −440 | 4 | 2571 | 8.87 | 0.2 | 5.96 | 32.29 | 5.84 |
| 4 | Sandy mudstone | −444 | 6 | 2571 | 8.87 | 0.2 | 5.96 | 32.29 | 5.84 |
| 3 | Mudstone | −450 | 4 | 2676 | 9.87 | 0.23 | 5.04 | 35.45 | 4.51 |
| 2 | Coal | −454 | 20 | 1426 | 2.89 | 0.31 | 9.50 | 30.00 | 2.60 |
| 1 | Floor | −474 | 7 | 2590 | 23.60 | 0.18 | 8.50 | 31.00 | 5.20 |
| - | Bedding plane | - | 0.1 | 1000 | 1 | 0.1 | 0.1 | 20 | 0.1 |
| Category | Parameter | Value | Unit |
|---|---|---|---|
| Fracture | Normal stiffness | 10 | GPa |
| Shear stiffness | 10 | GPa | |
| Friction angle | 30 | ° | |
| Cohesion | 6 | MPa | |
| Initial aperture | 0.01 | mm | |
| Dilation angle | 10 | ° | |
| Effective conductivity coefficient | 0.1 | - | |
| Fluid | Dynamic viscosity | 0.001 | Pa·s |
| Density | 1000 | kg/m3 | |
| Effective stress coefficient | 1 | - |
Disclaimer/Publisher’s Note: The statements, opinions and data contained in all publications are solely those of the individual author(s) and contributor(s) and not of MDPI and/or the editor(s). MDPI and/or the editor(s) disclaim responsibility for any injury to people or property resulting from any ideas, methods, instructions or products referred to in the content. |
© 2023 by the authors. Licensee MDPI, Basel, Switzerland. This article is an open access article distributed under the terms and conditions of the Creative Commons Attribution (CC BY) license (https://creativecommons.org/licenses/by/4.0/).
Share and Cite
Chen, J.; Qu, Z.; Zhou, L.; Su, X. Numerical Study on the Hydraulic Fracturing Pattern in the Hard Roof in Response to Mining-Induced Stress. Minerals 2023, 13, 308. https://doi.org/10.3390/min13030308
Chen J, Qu Z, Zhou L, Su X. Numerical Study on the Hydraulic Fracturing Pattern in the Hard Roof in Response to Mining-Induced Stress. Minerals. 2023; 13(3):308. https://doi.org/10.3390/min13030308
Chicago/Turabian StyleChen, Junchao, Zhengzhen Qu, Lei Zhou, and Xiaopeng Su. 2023. "Numerical Study on the Hydraulic Fracturing Pattern in the Hard Roof in Response to Mining-Induced Stress" Minerals 13, no. 3: 308. https://doi.org/10.3390/min13030308
APA StyleChen, J., Qu, Z., Zhou, L., & Su, X. (2023). Numerical Study on the Hydraulic Fracturing Pattern in the Hard Roof in Response to Mining-Induced Stress. Minerals, 13(3), 308. https://doi.org/10.3390/min13030308
