SO2-Induced Aging of Hematite- and Cinnabar-Based Tempera Paint Mock-Ups: Influence of Binder Type/Pigment Size and Composition
Abstract
1. Introduction
2. Materials and Methods
2.1. Preparation of Mock-Ups
2.2. Artificial Aging Tests
2.3. Analytical Techniques
- The differences in appearance of the aged and reference samples were determined by stereoscopic examination (Nikon SMZ 1000) (Nikon Instruments Inc., Amstelveen, The Netherlands).
- The colour was characterized using CIELAB and CIELCH colour spaces [52,53], by spectrophotometric analysis (using a Minolta CM-700d) (Konica Minolta, Chiyoda, Tokyo, Japan). The parameters measured were L* (lightness) and the polar coordinates a* and b*. L* is the lightness ranging from 0 (absolute black) to 100 (absolute white); a* indicates the colour position between red (positive values) and green (negative values) and b* between yellow (positive values) and blue (negative values). Nine measurements were made at random on each sample to provide statistically consistent results. The measurements were made in the Specular Component Included (SCI) mode, for a spot diameter of 3 mm, with D65 as the illuminant and observer angle of 10°. Colour differences ΔL*, Δa* and Δb* and the total colour difference (ΔE*ab) between the reference and the aged samples were computed [52,53]. Note that higher values indicate more visible colour difference.
- Gloss measurements (3 per sample) were made with a gloss meter (Konica Minolta Unigloss 60Plus) (Konica Minolta, Chiyoda, Tokyo, Japan) with a reflection angle of 60°. The difference in gloss (ΔG) between the aged and the reference paints was afterward calculated. Standard deviations were also calculated.
- The change in reflectance was determined using a hyperspectral camera, with a combination of an imaging spectrograph and a monochrome matrix array sensor. The equipment consisted of a CCD sensor (Pulnix TM-1327 GE) (PULNiX America Inc, Orleans, USA) (1040 rows, 1392 columns) with an objective lens of focal length 10 mm. A spectrograph (ImSpector V10) (Specim, Oulu, Finland) with a spectral range of 400–1000 nm and a spectral resolution of 4.55 nm was positioned between the sensor and the lens. The spectral camera recorded a linear array of 1392 pixels at 1040 wavelengths in the range 400–1000 nm. The target sample was moved vertically, and the camera scanned the surface line by line to obtain an image at each of the 1040 wavelengths. The light source was an incandescent lamp (Schott DCR® III) with a rectangular head (length 51 mm and width 0.89 mm). The light was focused by a cylindrical lens placed in front of the lamp, and the illuminated area was thus 15 cm long and 1 cm wide. The sample was placed on a motorized XYZ translation stage in which the Z- axis was perpendicular to the sample surface to allow displacement. The paint mock-ups were fully scanned. Once the hyperspectral images were acquired, the data were processed in a MATLAB programming environment to display the respective reflectance graphs.
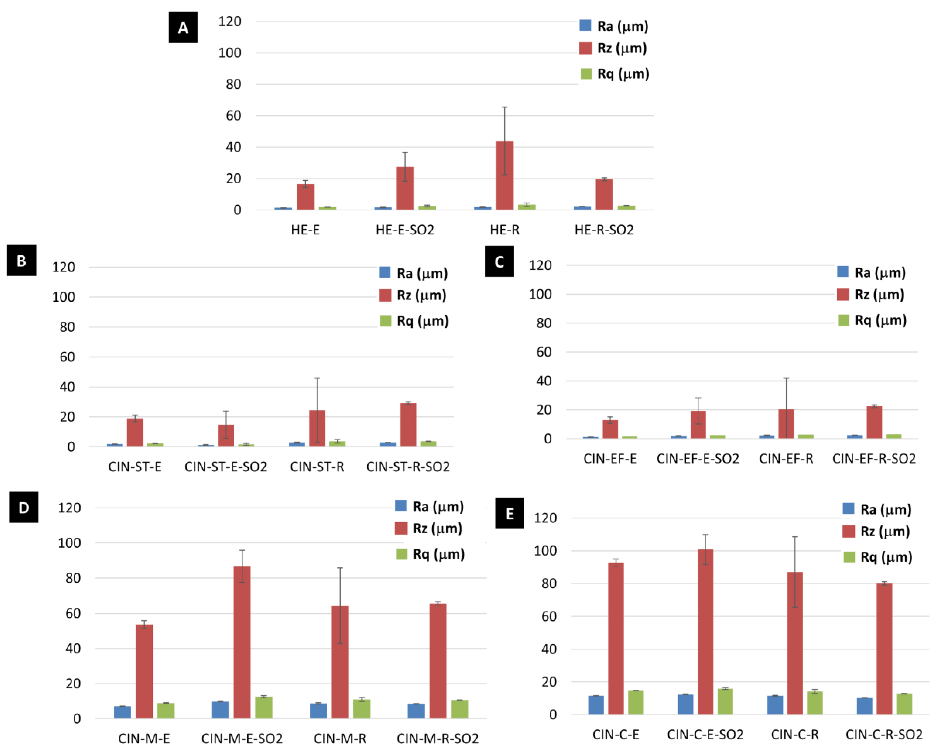
- Roughness was characterized with a profilometer (Mitutoyo SJ400) (Gipuzkoa, Basque Country, Spain) to assess the morphological alterations of the aged surfaces from the arithmetic average roughness (Ra, µm), root mean square roughness (Rq, µm) and average maximum profile height (Rz, µm) described in [54]. The equipment traced a scan of 2 cm length. For each sample, 3 profiles were obtained and the average values of Ra, Rq and Rz (and the corresponding standard deviations) were calculated.
- Mineralogical composition was determined by XRPD analysis, as previously reported. Small scales (c.a. 0.8 cm2) were extracted from the mock-ups with a scalpel and were ground and homogenized before analysis (Siemens D5000).
- The molecular composition was determined by means of Attenuated Transmittance Reflectance Fourier–Transform Infrared Spectroscopy (ATR-FTIR) (Thermo Nicolet 6700) (ThermoFisher Scientific, Waltham, MA, USA). Infrared spectra were recorded at a 2 cm−1 resolution over 100 scans from 400 to 4000 cm−1. The powdered samples analysed by XRPD were used in this analytical technique.
- Micro-texture and composition were studied by Scanning Electron Microscopy (SEM) with Energy-Dispersive X-Ray Spectroscopy (EDS) (Philips XL30) (FEI Company, Hillsboro, OR, USA), with both Secondary Electron (SE) and Backscattered Electron (BSE) detectors. Optimum observation conditions were obtained at an accelerating potential of 15–20 kV and a working distance of 9–11 mm.
3. Results and Discussion
3.1. Powdered Pigments and Reference Mock-ups
3.2. Aged Tempera Mock-ups
- i.
- fibrous particles on CIN-ST-E-SO2, CIN-EF-E-SO2 and CIN-EF-R-SO2 (Figure 9) and CIN-M-R-SO2, CIN-M-E-SO2 and CIN-C-R-SO2 (Figure 10). A multi-particle analysis of these fibrous crystals resulted in an average of S and Ca weight content of 6% and 2%, respectively (S:Ca atomic ratio 2:1). Both their habit and their composition indicate with all certainty that they are gypsum crystals. The higher ratio of S to Ca may be due to the signal contribution of the cinnabar paint surrounding the crystals, which contains 9 wt% of S. These fibrous crystals were more abundant on the CIN-based paints containing egg yolk rather than on those containing rabbit glue. In some cases (Figure 9F, EDS1), other deposits rich in S (3.4 atomic %) and Ca (12.3 atomic %), as well as in K (2.6 atomic %), have also been detected, which would suggest the possibility of the precipitation of sulphated salts rather than gypsum. In all these new deposits, other minor elements were detected in very low atomic percentages, such as Na (1.25%), K (2.73%), Mg (0.13%), Si (0.02%) and occasionally Cl (0.08%).
- ii.
- crystals of acicular habit which were embedded in amorphous deposits such as those reported in i), or adhered to the organic phase (i.e., binder) of the paints (CIN-C-E-SO2, Figure 10). These deposits were more abundant in the paints containing egg yolk and have a similar composition to the acicular deposits.
- -
- Sulphur (S) probably originates mainly from the SO2 gas; in the CIN-based mock-ups, the possible contribution from the chemical degradation of cinnabar cannot be ruled out, although there were no clear signs of damage in the cinnabar particles. Future research should focus on this possibility [45,69]. Sulphur was also detected at low concentration in the EDS spectra of the binder mock-ups, so another possible source, although in much smaller quantity, may come from the binder itself.
- -
- Calcium (Ca) may originate from both binders and from the pigments, since in both hematite and cinnabars pigments, minor amounts of alkaline and alkaline earth elements were detected by SEM. In hematite mock-ups, Ca could also be derived from dolomite (CaMg(CO3)2), which was identified as an impurity in this pigment. Even though the water vapor that acts as a vehicle for the SO2 gas in the chamber is produced by condensation after boiling, it cannot be ruled out a contamination from the water used in this process, which, as indicated in the previous section, it is not distilled water and contains a certain amount of alkaline and alkaline earth elements. This possibility was already considered in previous works [27,28].
- -
- -
4. Conclusions
Supplementary Materials
Author Contributions
Funding
Data Availability Statement
Acknowledgments
Conflicts of Interest
References
- Maguregui, M.; Knuutinen, U.; Martínez-Arkarazo, I.; Castro, K.; Madariaga, J.M. Thermodynamic and spectroscopic speciation to explain the blackening process of hematite formed by atmospheric SO2 impact: The case of Marcus Lucretius House (Pompeii). Anal. Chem. 2011, 83, 3319–3326. [Google Scholar] [CrossRef]
- Maguregui, M.; Castro, K.; Morillas, H.; Trebolazabala, J.; Knuutinen, U.; Wiesinger, R.; Schreiner, M.; Madariaga, J.M. Multianalytical approach to explain the darkening process of hematite pigment in paintings from ancient Pompeii after accelerated weathering experiments. Anal. Methods 2014, 6, 372. [Google Scholar] [CrossRef]
- Herrera, A.; Navas, N.; Cardell, C. An evaluation of the impact of urban air pollution on paint dosimeters by tracking changes in the lipid MALDI-TOF mass spectra profile. Talanta 2016, 155, 53–61. [Google Scholar] [CrossRef] [PubMed]
- Douglas-Jones, R.; Hughes, J.J.; Jones, S.; Yarrow, T. Science, value and material decay in the conservation of historic environments. J. Cult. Herit. 2016, 21, 823–833. [Google Scholar] [CrossRef]
- Rivas, T.; Pozo-Antonio, J.S.; Barral, D.; Martínez, J.; Cardell, C. Statistical analysis of colour changes in tempera paints mock-ups exposed to urban and marine environment. Meas. J. Int. Meas. Confed. 2018, 118, 298–310. [Google Scholar] [CrossRef]
- Pérez-Diez, S.; Pitarch-Martí, A.; Giakoumaki, A.; Prieto-Taboada, N.; Fdez-Ortiz de Vallejuelo, S.; Martellone, A.; De Nidris, B.; Osanna, M.; Madariaga, J.M.; Maguregui, M. When red turns black: Influence of the 79 AD volcanic eruption and burial environment on the blackening/darkening of Pompeian cinnabar. Anal. Chem. 2021, 93, 15870–15877. [Google Scholar] [CrossRef]
- Williams, E.L.; Grosjean, E.; Grosjean, D. Exposure of Artists´Colorants to Sulfur Dioxide. J. Am. Inst. Conserv. 2013, 32, 291–310. [Google Scholar] [CrossRef]
- Grosjean, D.; Whitmore, P.M.; de Moor, C.P.; Cass, R.; Druzik, J.R. Fading of Alizarin and related artists’ pigments by atmospheric ozone: Reaction products and mechanism. Environ. Sci. Technol. 1987, 21, 635–643. [Google Scholar] [CrossRef]
- Grosjean, D.; Whitmore, P.M.; Cass, R.; Druzik, J.R. Ozone fading of natural organic colorants: Mechanisms and products of the reaction of ozone with Indigos. Environ. Sci. Technol. 1988, 22, 292–298. [Google Scholar] [CrossRef]
- Grosjean, D.; Whitmore, P.M.; De Moor, C.P.; Cass, R.; Druzik, J.R. Ozone fading of natural organic colorants: Mechanisms and products of the reaction of ozone with Curcumin. Environ. Sci. Technol. 1988, 22, 1357–1361. [Google Scholar] [CrossRef]
- Grosjean, D.; Grosjean, E.; Williams, E.L., II. Fading of artists´colorants by a mixture of photochemical oxidant. Atmos. Environ. 1993, 27A, 765–772. [Google Scholar] [CrossRef]
- Whitmore, P.M.; Cass, G.R. The ozone fading of traditional Japanese colorants. Stud. Conserv. 1988, 33, 29–40. [Google Scholar]
- Whitmore, P.M.; Cass, G.R. The fading of artists colorants by exposure to atmospheric nitrogen dioxide. Stud. Conserv. 1989, 34, 85–97. [Google Scholar]
- Odlyha, M.; Cohen, N.S.; Foster, G.M.; West, R.H. Dosimetry of paintings: Determination of the degree of chemical change in museum exposed test paintings (azurite tempera) by thermal and spectroscopic analysis. Thermochim. Acta 2000, 365, 53–63. [Google Scholar] [CrossRef]
- Odlyha, M.; Cohen, N.S.; Foster, G.M. Dosimetry of paintings: Determination of the degree of chemical change in museum exposed test paintings (smalt tempera) by thermal analysis. Thermochim. Acta 2000, 365, 35–44. [Google Scholar] [CrossRef]
- Van den Brink, O.F.; Eijkel, G.B.; Boon, J.J. Dosimetry of paintings: Determination of the degree of chemical change in museum-exposed test paintings by mass spectroscopy. Thermochim. Acta 2000, 365, 1–23. [Google Scholar] [CrossRef]
- Bacci, M.; Picollo, M.; Porcinai, S.; Radicati, B. Evaluation of the museum environmental risk by means of tempera-painted dosimeters. Thermochim. Acta 2000, 365, 25–34. [Google Scholar] [CrossRef]
- Arbizzani, R.; Casellato, U.; Fiorin, E.; Nodari, L.; Russo, U.; Vigato, P.A. Decay markers for the preventative conservation and maintenance of paintings. J. Cult. Herit. 2004, 5, 167–182. [Google Scholar] [CrossRef]
- West, R.H.; Odlyha, M.; Pratt, K.; Roberts, A.; Hutton, S. Monitoring the environmental degradation of paint dosimeters used to assess risk for fine art paintings on display by XPS. Surf. Interface Anal. 2004, 36, 862–865. [Google Scholar] [CrossRef]
- Edwards, R.D.; Lam, N.L.; Zhang, L.; Johnson, M.A.; Kleinman, M.T. Nitrogen dioxide and ozone as factors in the availability of lied from lead-based paints. Environ. Sci. Technol. 2009, 43, 8516–8521. [Google Scholar] [CrossRef]
- EEA, European Environment Agency. Air Pollution Fact Sheet 2013—Spain; European Environment Agency: Copenhagen, Denmark, 2013.
- Urosevic, M.; Yebra-Rodríguez, A.; Sebastián-Pardo, E.; Cardell, C. Black soiling of an architectural limestone during two-year term exposure to urban air in the city of granada (S spain). Sci. Total Environ. 2012, 414, 564–575. [Google Scholar] [CrossRef] [PubMed]
- Rivas, T.; Pozo, S.; Paz, M. Sulfur and oxygen isotope analysis to identify sources of sulfur in gypsum-rich black crusts developed on granites. Sci. Total Environ. 2014, 482–483, 137–147. [Google Scholar] [CrossRef] [PubMed]
- Pozo-Antonio, J.S.; Pereira, M.F.C.; Rocha, C.S.A. Microscopic characterisation of black crusts on different substrates. Sci. Total Environ. 2017, 584–585, 291–306. [Google Scholar] [CrossRef] [PubMed]
- Pozo-Antonio, J.S.; Barral, D.; Herrera, A.; Elert, K.; Rivas, T.; Cardell, C. Effect of tempera paint composition on their superficial physical properties—Application of interferometric profilometry and hyperspectral imaging techniques. Prog. Org. Coat. 2018, 117C, 56–68. [Google Scholar] [CrossRef]
- Pérez, M.; Castro, K.; Rodríguez, M.; Olazabal, M.; Madariaga, J. A critical analysis of commercial pigments. In Proceedings of the ART 2002, 7th International Conference on Non-Destructive Testing and Microanalysis for the Diagnostics and Conservation of the Cultural and Environmental Heritage, Antwerp, Belgium, 2–6 June 2002; pp. 173–182. [Google Scholar]
- Pozo-Antonio, J.S.; Rivas, T.; Dionisio, A.; Barral, D.; Cardell, C. Effect of a SO2 rich atmosphere on tempera paint mock-ups. Part 1: Accelerated aging of smalt and lapis lazuli-based paints. Minerals 2020, 10, 427. [Google Scholar] [CrossRef]
- Pozo-Antonio, J.S.; Cardell, C.; Dionisio, A.; Barral, D.; Rivas, T. Effect of a SO2 Rich Atmosphere on Tempera Paint Mock-Ups. Part 2: Accelerated Aging of Azurite- and Malachite-Based Paints. Minerals 2020, 10, 424. [Google Scholar] [CrossRef]
- Cardell, C.; Herrera, A.; Guerra, I.; Navas, N.; Simón, L.R.; Elert, K. Pigment-size effect on the physicochemical behavior of azurite-tempera dosimeters upon natural and accelerated photo aging. Dyes Pigment. 2017, 141, 53–65. [Google Scholar] [CrossRef]
- Han, K.; Nam, J.Y.; Ji, J.E.; Kang, D.; Lee, H.; Baek, N. Existence of nanoparticles in azurite and malachite pigments by Raman spectroscopy and X-ray diffraction studies. Dyes Pigment. 2016, 133, 232–237. [Google Scholar] [CrossRef]
- Herrera, A.; Cardell, C.; Pozo-Antonio, J.S.; Burgos-Cara, A.; Elert, K. Effect of proteinaceous binder on pollution-induced sulfation of lime-based tempera paints. Prog. Org. Coat. 2018, 123, 99–110. [Google Scholar] [CrossRef]
- Pomies, M.P.; Menu, M.; Vignaud, C. Red palaeolithic pigmnets: Natural hematite or heated goethite? Archaeeometry 1999, 41, 275–285. [Google Scholar] [CrossRef]
- Giustetto, R.; Dario, G.; Diana, E. Decay of red pigments on a wall painting adorning the church of ‘San Francesco Dei Capuccini’in Racconigi (Italy). Archaeom. Surv. Restor. Interv. 2018, 18, 65–80. [Google Scholar]
- Cristini, O.; Kinowski, C.; Turrell, S. A detailed micro-Raman spectroscopic study of wall paintings of the period AD 100–200: Effect of atmospheric conditions on the alteration of samples. J. Raman Spectrosc. 2010, 41, 1410–1417. [Google Scholar] [CrossRef]
- Coccato, A.; Moens, L.; Vandenabeele, P. On the stability of mediaeval inorganic pigments: A literature review of the effect of climate, material selection, biological activity, analysis and conservation treatments. Herit. Sci. 2017, 5, 1–25. [Google Scholar] [CrossRef]
- Pailhé, N.; Wattiaux, A.; Gaudon, M.; Demourgues, A. Impact of structural features on pigment properties of α-Fe2O3 haematite. J. Solid State Chem. 2008, 181, 2697–2704. [Google Scholar] [CrossRef]
- Hirst, K. Cinnabar-The Ancient Pigment of Mercury. Available online: https://www.thoughtco.com/cinnabar-the-ancient-pigment-of-mercury-170556 (accessed on 9 September 2022).
- Gettens, R.J.; Feller, R.L.; Chase, W.T. Vermilion and cinnabar. Stud. Conserv. 1972, 17, 45–69. [Google Scholar]
- Vandenabeele, P.; Lambert, K.; Matthys, S.; Schudel, W.; Bergmans, A.; Moens, L. In situ analysis of mediaeval wall paintings: A challenge for mobile. Raman spectroscopy. Anal. Bioanal. Chem. 2005, 383, 707–712. [Google Scholar] [CrossRef] [PubMed]
- Yu, J.; Warren, W.S.; Fischer, M.C. Visualization of vermilion degradation using pump-probe microscopy. Sci. Adv. 2019, 5, eaaw3136. [Google Scholar] [CrossRef]
- Dreyer, R.M. Darkening of cinnabar in sunlight. Am. Mineral. 1938, 23, 457–460. [Google Scholar]
- Anaf, W.; Janssens, K.; De Wael, K. Formation of metallic mercury during photodegradation/photodarkening of α-HgS: Electrochemical evidence. Angew. Chem. Int. Ed. 2013, 125, 12800–12803. [Google Scholar] [CrossRef]
- Da Pieve, F.; Hogan, C.; Lamoen, D.; Verbeeck, J.; Vanmeert, F.; Radepont, M.; Cotte, M.; Janssens, K.; Gonze, X.; Van Tendeloo, G. Casting light on the darkening of colors in historical paintings. Phys. Rev. Lett. 2013, 111, 208302. [Google Scholar] [CrossRef]
- Kegelman Neiman, M.; Balonis, M.; Kakoulli, I. Cinnabar alteration in archaeological wall paintings: An experimental and theoretical approach. Appl. Phys. 2015, 121, 915–938. [Google Scholar] [CrossRef]
- Elert, K.; Pérez Mendoza, M.; Cardell, C. Direct evidence for metallic mercury causing photo-induced darkening of red cinnabar tempera paints. Commun. Chem. 2021, 4, 1–10. [Google Scholar] [CrossRef] [PubMed]
- Dickson, F.W.; Tunell, G. The stability relations of cinnabar and metacinnabar. Am. Mineral. 1959, 44, 471–487. [Google Scholar]
- Nusimovici, M.A.; Meskaoui, A. Raman scattering by α-HgS (cinnabar). Phys. Stat. Sol. B 1973, 58, 121–125. [Google Scholar] [CrossRef]
- Pal, B.; Ikeda, S.; Ohtani, B. Photoinduced chemical reactions on natural single crystals and synthesized crystallites of mercury (II) sulfide in aqueous solution containing naturally occurring amino acids. Inorg. Chem. 2003, 42, 1518–1524. [Google Scholar] [CrossRef] [PubMed]
- Ballirano, P.; Botticelli, M.; Maras, A. Thermal behaviour of cinnabar, α-HgS, and the kinetics of the β-HgS (metacinnabar) → α-HgS conversion at room temperature. Eur. J. Mineral. 2013, 25, 957–965. [Google Scholar] [CrossRef]
- Miguel, C.; Pinto, J.V.; Clarke, M.; Melo, M.J. The alchemy of red mercury sulphide: The production of vermilion for medieval art. Dyes Pigm. 2014, 102, 210–217. [Google Scholar] [CrossRef]
- Pacheco, F. El Arte de la Pintura; Cátedra: Madrid, Spain, 1990. [Google Scholar]
- CIE Publication 15-2; Colorimetry. CIE Central Bureau: Vienna, Austria, 1986.
- CIE S014-4/E; Colorimetry Part 4: CIE 1976 L*a*b* Colour Space. Commission Internationale de l’eclairage. CIE Central Bureau: Vienna, Austria, 2007.
- UNE-EN ISO 4288; Geometrical Product Specifications (GPS). In Surface Texture: Profile Method, Terms, Definitions and Surface Texture Parameters. Asociación Española de Normalización y Certificación. AENOR: Madrid, España, 1999.
- BS EN 828-Adhesives; Wettability. In Determination by Measurement of Contact Angle and Surface Free Energy of Solid Surface. European Committee for Standardization. CEN: Brussels, Belgium, 2013.
- Mokrzycki, W.; Tatol, M. Color difference DeltaE—A survey. Mach. Graph. Vis. 2011, 20, 383–411. [Google Scholar]
- Fuertes, S.; Laca, A.; Oulego, P.; Paredes, B.; Rendueles, M.; Díaz, M. Development and characterization of egg yolk and egg yolk fractions edible films. Food Hydrocoll. 2017, 70, 229–239. [Google Scholar] [CrossRef]
- Mazzeo, R.; Prati, S.; Quaranta, M.; Joseph, E.; Kendix, E.; Galeotti, M. Attenuated total reflection microFTIR characterization of pigment-binder interaction in reconstructed paint flims. Anal. Bioanal. Chem. 2008, 392, 65–76. [Google Scholar] [CrossRef]
- Nodari, L.; Ricciardi, P. Non-invasive identification of paint binders in illuminated manuscripts by ERFTIR spectroscopy: A systematic study of the influence of different pigments on the binders’ characteristic spectral features. Herit. Sci. 2019, 7, 7. [Google Scholar] [CrossRef]
- Wang, Q.; Sanad, W.; Miller, L.M.; Voigt, A.; Klingel, K.; Kandolf, R.; Stangl, K.; Baumann, G. Infrared imaging of compositional changes in inflammatory cardiomyopathy. Vib. Spectrosc. 2005, 38, 217–222. [Google Scholar] [CrossRef]
- Pellegrini, D.; Duce, C.; Bonaduce, I.; Biagi, S.; Ghezzi, L.; Colombini, M.P.; Tinè, M.R.; Bramanti, E. Fourier transform infrared spectroscopic study of rabbit glue/inorganic pigments mixtures in fresh and aged reference paint reconstructions. Microchem. J. 2016, 124, 31–35. [Google Scholar] [CrossRef]
- Nasrazadani, S.; Namduri, H. Study of phase transformation in iron oxides using laser induced breakdown spectroscpy. Spectrochim. Acta—Part B At. Spectrosc. 2006, 61, 565–571. [Google Scholar] [CrossRef]
- Ji, J.; Ge, Y.; Balsam, W.; Damuth, J.E.; Chen, J. Rapid identification of dolomite using a fourier transform infrared spectrophotometer (FTIR): A fast method for identifying heinrich events in IODP site U1308. Mar. Geol. 2009, 258, 60–68. [Google Scholar] [CrossRef]
- Vila, A.; Garcia, J.F. Analysis of the Chemical Composition of Red Pigments and Inks for the Characterization and Differentiation of Contemporary Prints. Anal. Lett. 2012, 45, 1274. [Google Scholar] [CrossRef]
- Socrates, G. Infrared and Raman Characteristic Group Frequencies: Tables and Charts, 3rd ed.; Wiley: Hoboken, NJ, USA, 2004; 368p, ISBN 978-0-470-09307-8. [Google Scholar]
- Papuc, C.; Goran, G.V.; Predescu, C.N.; Nicorescu, V. Mechanisms of oxidative processes in meat and toxicity induced by postprandial degradation products: A review. Compr. Rev. Food Sci. Food Saf. 2017, 16, 96–123. [Google Scholar] [CrossRef]
- Bico, J.; Thiele, U.; Quere, D. Wetting of textured surfaces, Colloids Surf. A Physicochem. Eng. Asp. 2002, 206, 41–46. [Google Scholar] [CrossRef]
- Giusetto, R.; Pastero, L.; Aquilano, D. Potential effects of the shape of gypsum aggregates on the early sulfation of marble and travertine. J. Build. Eng. 2020, 32, 101794. [Google Scholar] [CrossRef]
- Cotte, M.; Susini, J.; Metrich, N.; Moscato, A.; Gratziu, C.; Bertagnini, A.; Pagano, M. Blackening of pompeian cinnabar paintings: X-ray microspectroscopy analysis. Anal. Chem. 2006, 78, 7484–7492. [Google Scholar] [CrossRef]
- Mohamed, A.-M.O.; Paleologos, E.K. Chapter 4—The Soil System. In Paleologos, Fundamentals of Geoenvironmental Engineering, Butterworth-Heinemann; Mohamed, A.-M.O., Evan, K., Eds.; Butterworth-Heinemann: Oxford, UK, 2018; pp. 89–127. ISBN 9780128048306. [Google Scholar] [CrossRef]










| Identification Code | Commercial Identification Code | Mineralogical Composition According to Manufacturer | Mineralogical Composition According to Authors | Grain size (µm) According to Manufacturer | Grain Size (µm) According to [5,25] * |
|---|---|---|---|---|---|
| HE | Hematite, 48,651 | Hematite | Hematite Dolomite Quartz | 1.5 | 0.6 (0.3–17) |
| CIN-EF | Cinnabar very fine, 10,624 | Cinnabar | Cinnabar Quartz | <20 | 12 (0.4–40) |
| CIN-M | Cinnabar medium, 10,627 | Cinnabar | Cinnabar Quartz | 50–63 | 48 (15–90) |
| CIN-C | Cinnabar dark, 10,628 | Cinnabar | Cinnabar Quartz | 63–100 | 75 (10–130) |
| CIN-ST | Cinnabar standard, HGS PR 106 | Cinnabar | Cinnabar Quartz | <120 | 8 (2–25) |
| Identification Code | XRPD before SO2 Test | XRPD after SO2 Test | New FTIR Bands after SO2 Test | New SEM-EDS Features after SO2 Test |
|---|---|---|---|---|
| HE-EF-E | Hematite | Hematite | - | Ca and S-rich fibrous particles (with some Fe, Na, Si, Mg, P, K and Ti). More abundant in R-samples than in E-samples. |
| HE-EF-R | Hematite | Hematite | - | |
| CIN-ST-E | Cinnabar | Cinnabar | 1090 cm−1: S–O str. | Ca and S-rich fibrous particles (with some Na, Al, Mg, Si, P, K and Fe). More abundant in E-samples than in R-samples. Ca and S-rich acicular crystals (with some Na, K and P). More abundant in E-samples than in R-samples. |
| CIN-ST-R | Cinnabar | Cinnabar | - | |
| CIN-EF-E | Cinnabar | Cinnabar | 1090 cm−1: S–O str. | |
| CIN-EF-R | Cinnabar | Cinnabar | 1090 cm−1: S–O str. | |
| CIN-M-E | Cinnabar | Cinnabar | 1090 cm−1: S–O str. | |
| CIN-M-R | Cinnabar | Cinnabar | - | |
| CIN-C-E | Cinnabar, Quartz | Cinnabar | 1090 cm−1: S–O str. | |
| CIN-C-R | Cinnabar, Quartz | Cinnabar | - |
| Reference Paints | Static Contact Angle | STD |
|---|---|---|
| HE-E | 89.45 | 3.88 |
| HE-R | 115.92 | 3.28 |
| CIN-ST-E | 89.03 | 5.71 |
| CIN-ST-R | 120.30 | 4.36 |
| CIN-EF-E | 78.10 | 1.18 |
| CIN-EF-R | 110.36 | 4.71 |
| CIN-M-E | 78.72 | 0.57 |
| CIN-M-R | 90.41 | 1.28 |
| CIN-C-E | 72.53 | 2.23 |
| CIN-C-R | 87.56 | 0.20 |
Disclaimer/Publisher’s Note: The statements, opinions and data contained in all publications are solely those of the individual author(s) and contributor(s) and not of MDPI and/or the editor(s). MDPI and/or the editor(s) disclaim responsibility for any injury to people or property resulting from any ideas, methods, instructions or products referred to in the content. |
© 2023 by the authors. Licensee MDPI, Basel, Switzerland. This article is an open access article distributed under the terms and conditions of the Creative Commons Attribution (CC BY) license (https://creativecommons.org/licenses/by/4.0/).
Share and Cite
Pozo-Antonio, J.S.; Jiménez-Desmond, D.; De Villalobos, L.; Mato, A.; Dionísio, A.; Rivas, T.; Cardell, C. SO2-Induced Aging of Hematite- and Cinnabar-Based Tempera Paint Mock-Ups: Influence of Binder Type/Pigment Size and Composition. Minerals 2023, 13, 289. https://doi.org/10.3390/min13020289
Pozo-Antonio JS, Jiménez-Desmond D, De Villalobos L, Mato A, Dionísio A, Rivas T, Cardell C. SO2-Induced Aging of Hematite- and Cinnabar-Based Tempera Paint Mock-Ups: Influence of Binder Type/Pigment Size and Composition. Minerals. 2023; 13(2):289. https://doi.org/10.3390/min13020289
Chicago/Turabian StylePozo-Antonio, José Santiago, Daniel Jiménez-Desmond, Lara De Villalobos, Ana Mato, Amélia Dionísio, Teresa Rivas, and Carolina Cardell. 2023. "SO2-Induced Aging of Hematite- and Cinnabar-Based Tempera Paint Mock-Ups: Influence of Binder Type/Pigment Size and Composition" Minerals 13, no. 2: 289. https://doi.org/10.3390/min13020289
APA StylePozo-Antonio, J. S., Jiménez-Desmond, D., De Villalobos, L., Mato, A., Dionísio, A., Rivas, T., & Cardell, C. (2023). SO2-Induced Aging of Hematite- and Cinnabar-Based Tempera Paint Mock-Ups: Influence of Binder Type/Pigment Size and Composition. Minerals, 13(2), 289. https://doi.org/10.3390/min13020289

