Geochemistry, Zircon U–Pb Geochronology, and Geological Significance of Late Mesozoic Magmatic Rocks in Guangxi Region (Southeastern China)
Abstract
:1. Introduction
2. Geological Setting

3. Analytical Methods
4. Results
4.1. Petrographic Features
4.1.1. Liuwang Granodiorite
4.1.2. Liuwang Quartz Porphyry
4.2. Geochemistry
4.2.1. Major Elements
4.2.2. Trace Elements
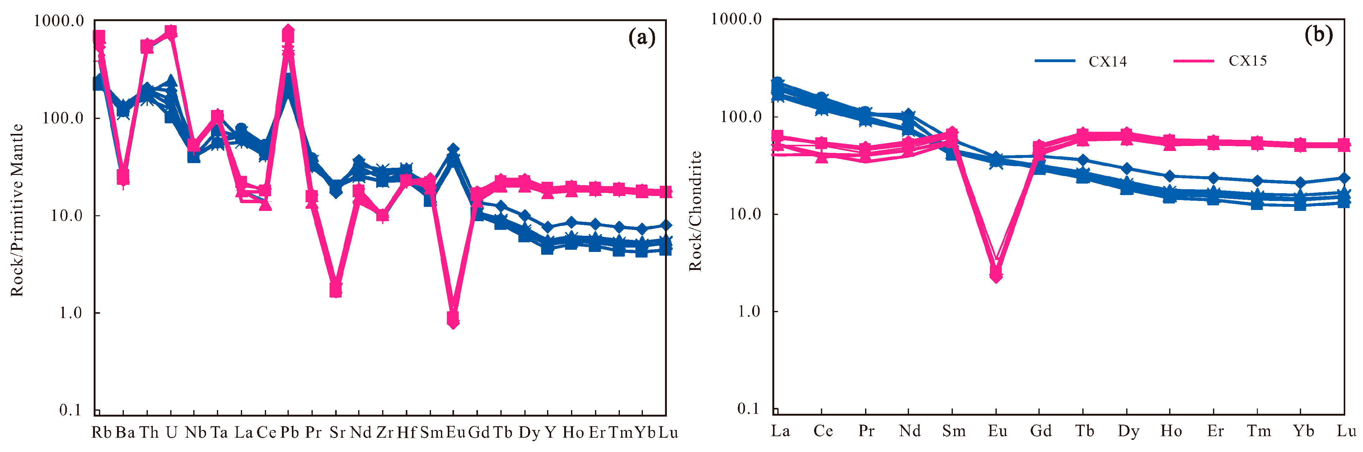
4.2.3. REE
4.3. Zircon Data
4.3.1. Zircon Imaging and Chemistry
4.3.2. Zircon U–Pb Geochronology
5. Discussion
5.1. Petrogenesis
5.1.1. Petrogenesis of the Liuwang Granodiorite

5.1.2. Petrogenesis of the Liuwang Quartz Porphyry
5.2. Tectonic Setting
5.2.1. Middle–Late Jurassic
5.2.2. Late Cretaceous
6. Conclusions
- (1)
- The zircon U–Pb ages of the Liuwang granodiorite and quartz porphyry from southeastern Guangxi are 161.8 ± 1.2 and 97.89 ± 0.68 Ma, respectively.
- (2)
- The Liuwang granodiorite belongs to the high-K calc-alkaline series, whereas the Liuwang quartz porphyry is transitional between the K-diorite and high-K calc-alkaline series. The Liuwang granodiorite is enriched in large ion lithophile elements, including Rb, and high field strength elements, including Th, U, Pb, and Ta, and is depleted in Ba, Nb, and Sr. The Liuwang quartz porphyry is enriched in large ion lithophile elements and high field strength elements and relatively depleted in Ba, Nb, Sr, and Zr. The chemical and Hf isotopic compositions of these rocks suggest that the Liuwang granodiorite resulted from the partial melting of Palaeoproterozoic–Mesoproterozoic metasandstone, with the addition of a small amount of mantle-derived melt. In contrast, the Liuwang quartz porphyry formed owing to the partial melting of Mesoproterozoic pelitic rocks in the lower crust, which was triggered by upwelling hot mantle-derived material.
- (3)
- The Liuwang granodiorite in southeastern Guangxi has characteristics typical of I-type granite. In the southeastern region of Guangxi, there is a notable presence of potassic syenites and Adakite rocks. Geochemical analyses suggest that these potassic syenites originated in an intraplate setting, distant from the subduction zone. Likewise, Adakite rocks did not arise from the melting of subducted plates. Consequently, it can be inferred that Liuwang granodiorite syenite formed within an intraplate tectonic environment, far removed from the subduction zone.
Author Contributions
Funding
Data Availability Statement
Acknowledgments
Conflicts of Interest
References
- Liu, Z.; Jiang, Y.; Wang, G.; Ni, C.; Qing, L.; Zhang, Q. Middle Neoproterozoic (~845 Ma) continental arc magmatism along the northwest side of the Jiangshan–Shaoxing suture, South China: Geochronology, geochemistry, petrogenesis and tectonic implications. Precambrian Res. 2015, 268, 212–226. [Google Scholar] [CrossRef]
- Zhao, G. Jiangnan Orogen in South China: Developing from divergent double subduction. Gondwana Res. 2015, 27, 1173–1180. [Google Scholar] [CrossRef]
- Duan, R.; Ling, W.; Li, Q.; Qiu, X.; Yang, H.; Liu, C.; Lu, S. Geochemical and Zircon U-Pb Geochronological Characteristics of the Mashan Complex from Southeastern Guangxi Province and Their Significance to the Tectonic Setting. Acta Geol. Sin. 2013, 87, 1221–1232. [Google Scholar]
- Hua, R.; Chen, P.; Zhang, W.; Lu, J. Three major metallogenic events in Mesozoic in South China. Miner. Depos. 2005, 24, 99–107. [Google Scholar]
- Luo, J.; Che, Z.; Guo, A.; Cheng, S.; Pei, X. Late Cretaceous lithospheric extension in the Nandan-Hechi tectonic zone of northern Guangxi Province and its influence on hydrocarbon accumulation conditions. Oil Gas Geol. 2009, 30, 619–625. [Google Scholar]
- Mao, J.; Xie, G.; Guo, C.; Yuan, S.; Cheng, Y.; Chen, Y. Spatial-Temporal Distribution of Mesozoic Ore Deposits in South China and Their Metallogenic Settings. Geol. J. China Univ. 2008, 14, 510–526. [Google Scholar]
- Wang, J.; Ma, X.; Li, Y.; Lu, C.; Chen, L.; Chen, B.; Wang, Z. Petrogenesis of Granitic Complexes and Implications for the W-Mo Mineralization: A Case Study from the Youmapo Pluton, Guangxi Province. Acta Geol. Sin. 2014, 88, 1219–1235. [Google Scholar]
- Wei, C.; Cai, M.; Cai, J.; Wang, X.; Che, Q.; Du, H.Y. Characteristics of structural control of ore deposition in South China in the mesozoic. J. Geomech. 2004, 10, 113–121. [Google Scholar]
- Xu, D.; Lin, Z.; Luo, X.; Zhang, K.; Zhang, X.; Huang, H. Metallogenetic series of major metallic deposits in the Qinzhou—Hangzhou metallogenic belt. Earth Sci. Front. 2015, 22, 7–24. [Google Scholar]
- Zhou, X. My Thinking about Granite Geneses of South China. Geol. J. China Univ. 2003, 9, 556–565. [Google Scholar]
- Li, J.; Zhang, Y.; Dong, S.; Johnston, S.T. Cretaceous tectonic evolution of South China: A preliminary synthesis. Earth-Sci. Rev. 2014, 134, 98–136. [Google Scholar] [CrossRef]
- Liang, C.; Xu, X.; Li, Q.; Gui, L.; Tang, S. Inversion and Tectonic Implications of Fault-Slip Data of NE-SW-Striking Fault Zones in Eastern Jiangnan Area. Earth Sci. Front. 2019, 44, 1761–1772. [Google Scholar]
- Liu, Y.; Fang, N.; Qiang, M.; Jia, L.; Song, C. The Cretaceous igneous rocks in southeastern Guangxi and their implication for tectonic environment in southwestern South China Block. Open Geosci. 2020, 12, 518–531. [Google Scholar] [CrossRef]
- Wang, Y.; Fan, W.; Zhang, G.; Zhang, Y. Phanerozoic tectonics of the South China Block: Key observations and controversies. Gondwana Res. 2013, 23, 1273–1305. [Google Scholar] [CrossRef]
- Zhang, L.; Hu, Y.; Liang, J.; Ireland, T.; Chen, Y.; Zhang, R.; Sun, W. Adakitic rocks associated with the Shilu copper–molybdenum deposit in the Yangchun Basin, South China, and their tectonic implications. Acta Geochim. 2017, 36, 132–150. [Google Scholar] [CrossRef]
- Zhang, Y.; Dong, S.; Li, J.; Cui, J.; Shi, W.; Su, J.; Li, Y. The New Progress in the Study of Mesozoic Tectonics of South China. Acta Geosci. Sin. 2012, 33, 257–279. [Google Scholar]
- Mao, J. The mesozoic—Cenozoic magmatism and geodynamics of crustal and mantle evolution in southeast China continent. East China Geol. 1994, 15, 1–11. [Google Scholar]
- Liu, K.; Li, Z.-L.; Xu, W.-G.; Ye, H.-M.; Zhao, X.-L. The Spatial-Temporal Distributions and Migrations of Mesozoic Magmaism in South China and Subduction Process of the Paleo-Pacific Plate. Bull. Mineral. Petrol. Geochem. 2016, 35, 1141–1151. [Google Scholar]
- Griffin, W.L.; Pearson, N.J.; Belousova, E.; Jackson, S.E.; Van Achterbergh, E.; O’reilly, S.Y.; Shee, S.R. The Hf isotope composition of cratonic mantle: LAM-MC-ICPMS analysis of zircon megacrysts in kimberlites. Geochim. Cosmochim. Acta 2000, 64, 133–147. [Google Scholar] [CrossRef]
- Li, X.; Liu, Y.; Tu, X.; Hu, G.; Zeng, W. Precise determination of chemical compositions in silicate rocks using ICP-AES and ICP-MS: A comparative study of sample digestion techniques of alkali fusion and acid dissolution. Geochimica 2002, 31, 289–294. [Google Scholar]
- Liu, Y.; Liu, H.; Li, X. Simultaneous and precise determination of 40 trace elements in rock samples using ICP-MS. Geochimica 1996, 25, 552–558. [Google Scholar]
- Maniar, P.D.; Piccoli, P.M. Tectonic discrimination of granitoids. Geol. Soc. Am. Bull. 1989, 101, 635–643. [Google Scholar] [CrossRef]
- Peccerillo, A.; Taylor, S.R. Geochemistry of Eocene Calc-Alkaline Volcanic Rocks from the Kastamonu Area, Northern Turkey. Open J. Geol. 1976, 6, 63–81. [Google Scholar] [CrossRef]
- Sun, S.S.; McDonough, W.F. Chemical and isotopic systematics of oceanic basalts: Implications for mantle composition and processes. Geol. Soc. Lond. Spec. Publ. 1989, 42, 313–345. [Google Scholar] [CrossRef]
- Corfu, F.; Hanchar, J.M.; Hoskin, P.W.O.; Kinny, P. Atlas of zircon textures. Rev. Mineral. Geochem. 2003, 53, 469–500. [Google Scholar] [CrossRef]
- Fornelli, A.; Piccarreta, G.; Micheletti, F. In situ U-Pb Dating Combined with SEM Imaging on Zircon—An Analytical Bond for Effective Geological Recontructions. In Geochronology: Methods and Case Studies; inTECH: London, UK, 2014; pp. 109–139. [Google Scholar]
- Rubatto, D. Zircon: The Metamorphic Mineral. Rev. Mineral. Geochem. 2017, 83, 261–295. [Google Scholar] [CrossRef]
- Hoskin, P.W.O.; Black, L.P. Metamorphic zircon formation by solid-state recrystallization of protolith igneous zircon. J. Metamorph. Geol. 2000, 18, 423–439. [Google Scholar] [CrossRef]
- Fornelli, A.; Festa, V.; Micheletti, F.; Spiess, R.; Tursi, F. Building an Orogen: Review of U-Pb Zircon Ages from the Calabria–Peloritani Terrane to Constrain the Timing of the Southern Variscan Belt. Minerals 2020, 10, 944. [Google Scholar] [CrossRef]
- Wu, F.; Li, X.; Yang, J.; Zheng, Y. Discussions on the petrogenesis of granites. Acta Petrol. Sin. 2007, 6, 1217–1238. [Google Scholar]
- Sylvester, P.J. Post-collisional strongly peraluminous granites. Lithos 1998, 45, 29–44. [Google Scholar] [CrossRef]
- Whalen, J.B.; Currie, K.L.; Chappell, B.W. A-type granites: Geochemical characteristics, discrimination and petrogenesis. Contrib. Mineral. Petrol. 1987, 95, 407–419. [Google Scholar] [CrossRef]
- Chappell, B.W.; Bryant, C.J.; Wyborn, D. Peraluminous I-type granites. Lithos 2012, 153, 142–153. [Google Scholar] [CrossRef]
- Miller, C.F. Are strongly peraluminous magmas derived from pelitic sedimentary sources? J. Geol. 1985, 93, 673–689. [Google Scholar] [CrossRef]
- Watson, E.B.; Harrison, T.M. Zircon saturation revisited: Temperature and composition effects in a variety of crustal magma types. Earth Planet. Sci. Lett. 1983, 64, 295–304. [Google Scholar] [CrossRef]
- Li, X. U-Pb zircon ages of granites from northern Guangxi and their tectonic significance. Geochimica 1999, 28, 1–9. [Google Scholar]
- Chen, X.; Wang, Y.; Zhang, Y.; Zhang, A.; Cao, Y. Geochronology and Geochemical Characteristics of the Nandu Syenite in SE Guangxi and its Implications. Geotecton. Metallog. 2013, 37, 284–293. [Google Scholar]
- Geng, H.; Xu, X.; O’Reilly, S.Y.; Zhao, M.; Sun, T. Cretaceous Volcanic and Intrusive Magmatic Activities in Western Guangdong: Their Geological Significance. Sci. Sin. (Terrae) 2006, 36, 601–617. [Google Scholar]
- Wang, X. Late Yanshanian Magmatism and W-Mineralization in Yunkai Region, Guangxi Province. Ph.D. Thesis, China University of Geosciences, Wuhan, China, 2017. [Google Scholar]
- Pearce, J.A. Role of the Sub-continental Lithosphere in Magma Genesis at Active Continental Margins. In Continental Basalts and Mantle Xenoliths; Shiva Publications: Nantwich, UK, 1983; pp. 230–249. [Google Scholar]
- Lao, M.; Zou, H.; Du, X.; Ding, R. Geochronology and geochemistry of the Mashan Late Jurassic shoshonitic intrusives in Hengxian, Guangxi: With a discussion on Yanshanian tectonic settings of the southwestern segment of Qinzhou—Hangzhou metallogenic belt. Earth Sci. Front. 2015, 22, 95–107. [Google Scholar]
- Song, J. Petrogenesis and geological implications of the Mashan shoshonitic complex in NE Guangxi (SW China). 2016. [Google Scholar]
- Xin, X.; Chen, J.; Zhang, X.; Tang, J.; Xie, Z.; Zhou, T.; Liu, Y. Nd isotopic ratios of K-enriched magmatic complexes from southeastern Guangxi province: Implications for upwelling of the mantle in southeastern China during the Mesozoic. Acta Petrol. Sin. 2001, 17, 19–27. [Google Scholar]
- Xu, H.; Han, S.; Zhang, F.; Huang, Q.; Bai, X.; Chen, Z. Characteristics, petrogenesis and tectonic implications of the Jurassic adakitic granites at southeast edge of Dayao Mountain, Guangxi. Acta Petrol. Mineral. 2021, 40, 1074–1092. [Google Scholar]
- Dong, S.; Zhang, Y.; Long, C.; Yang, Z.; Ji, Q.; Wang, T.; Chen, X. Jurassic Tectonic Revolution in China and New Interpretation of the Yanshan Movement. Acta Geol. Sin. 2007, 82, 1449–1461. [Google Scholar]
- Xing, G.; Lu, Q.; Chen, R.; Zhang, Z.; Nie, T.; Li, L.; Lin, M. Study on the Ending Time of Late Mesozoic Tectonic Regime Transition in South China—Comparing to the Yanshan Area in North China. Acta Geol. Sin. 2008, 82, 451–463. [Google Scholar]
- Xing, G.; Yang, Z.; Mao, J.; She, L.; Shen, J.; Sun, Q.; Tao, K. Characteristics of Early Jurassic igneous rocks on the continental margin of southeastern China and their tectonic significance. Geol. Bull. China 2002, 21, 384–391. [Google Scholar]
- Zhao, Y.; Xu, G.; Zhang, S.; Yang, Z.; Zhang, Y.; Hu, J. Yanshanian movement and conversion of tectonic regimes in East Asia. Earth Sci. Front. 2004, 11, 319–328. [Google Scholar]
- Shu, L. An analysis of principal features of tectonic evolution in South China Block. Geol. Bull. China 2012, 31, 1035–1053. [Google Scholar]
- Xu, X.; Dong, C.; Li, W.; Zhou, X. Late Mesozoic intrusive complexes in the coastal area of Fujian, SE China: The significance of the gabbro-diorite–granite association. Lithos 1999, 46, 299–315. [Google Scholar] [CrossRef]
- Zhou, X.; Li, W. Origin of Late Mesozoic igneous rocks in Southeastern China: Implications for lithosphere subduction and underplating of mafic magmas. Tectonophysics 2000, 326, 269–287. [Google Scholar] [CrossRef]
- Zhang, L. The Closure of Tethys and Cretaceous Mineralization: A Case Study of the Yangchun Basin. 2017. [Google Scholar]
- Deng, J.; Xiao, Q.; Su, S.; Liu, C.; Zhao, G.; Wu, Z.; Liu, Y. Igneous Petrotectonic Assemblages and Tectonic Settings: A Discussion. Geol. J. China Univ. 2007, 13, 392–402. [Google Scholar]
- Poli, G. Potassic Igneous Rocks and Associated Gold-Copper Mineralization. Litos, in Mineral Resource Reviews; Springer: Berlin/Heidelberg, Germany, 2001; pp. 265–266. [Google Scholar]
- Gorton, M.P.; Schandl, E.S. From continents to island arcs: A geochemical index of tectonic setting for Arc-related and within-plate felsic to intermediate volcanic rocks. Can. Mineral. 2000, 38, 1065–1073. [Google Scholar] [CrossRef]
- Gilder, S.A.; Gill, J.; Coe, R.S.; Zhao, X.; Liu, Z.; Wang, G.; Wu, H. Isotopic and paleomagnetic constraints on the Mesozoic tectonic evolution of south China. J. Geophys. Res. Solid Earth 1996, 101, 16137–16154. [Google Scholar] [CrossRef]
- Li, J.; Ma, Z.; Zhang, Y.; Dong, S.; Li, Y.; Lu, M.A.; Tan, J. Tectonic evolution of Cretaceous extensional basins in Zhejiang Province, eastern South China: Structural and geochronological constraints. Int. Geol. Rev. 2014, 56, 1602–1629. [Google Scholar] [CrossRef]
- Li, J.; Zhang, Y.; Dong, S.; Li, H. Late Mesozoic–Early Cenozoic deformation history of the Yuanma Basin, central South China. Tectonophysics 2012, 570–571, 163–183. [Google Scholar]
- Li, S.; Feng, Z.; Shan, Y.; Fu, W.; Le, X.; Liu, W.; Xu, W. Fracture structural analysis of Nongtun Pb-Zn deposit in Xidamingshan, Guangxi. Miner. Depos. 2017, 36, 275–290. [Google Scholar]
- Fang, N. A new model on the Mesozoic “South China Sea”(SCS): Reconstructing the Hainan marginal arc and recognizing the Tethyan SCS. Earth Sci. Front. 2016, 23, 107–119. [Google Scholar]
- Qiang, M. The Basic Characteristics of Cretaceous Andesites in the Northern Margin of South China Sea and Its Comparison with the Andesites of Southeast China. Master’s Thesis, China University of Geosciences, Beijing, China, 2016. [Google Scholar]
- Sun, W. Initiation and evolution of the South China Sea: An overview. Acta Geochim. 2016, 35, 215–225. [Google Scholar] [CrossRef]
- Sun, W.; Lin, C.; Zhang, L.; Liao, R.; Li, C. The formation of the South China Sea resulted from the closure of the Neo-Tethys: A perspective from regional geology. Acta Petrol. Sin. 2018, 34, 3467–3478. [Google Scholar]
- Deng, J.; Yang, X.; Zartman, R.E.; Qi, H.; Zhang, L.; Liu, H.; Sun, W. Early cretaceous transformation from Pacific to Neo-Tethys subduction in the SW Pacific Ocean: Constraints from Pb-Sr-Nd-Hf isotopes of the Philippine arc. Geochim. Cosmochim. Acta 2020, 285, 21–40. [Google Scholar] [CrossRef]










| ωB/ppm | Isotopic Ratios | Apparent Ages (Ma) | ||||||||||||||
|---|---|---|---|---|---|---|---|---|---|---|---|---|---|---|---|---|
| Analysis | Th | U | Th/U | 207Pb/206Pb | 1σ | 207Pb/235U | 1σ | 206Pb/238U | 1σ | 207Pb/206Pb | 1σ | 207Pb/235U | 1σ | 206Pb/238U | 1σ | Concordance |
| CX14-N1-01 | 361 | 627 | 0.58 | 0.0482 | 0.0034 | 0.1668 | 0.0121 | 0.0251 | 0.0005 | 109 | 156 | 157 | 10 | 160 | 3 | 93% |
| CX14-N1-02 | 851 | 2826 | 0.3 | 0.0489 | 0.0016 | 0.1691 | 0.0053 | 0.0252 | 0.0003 | 143 | 76 | 159 | 5 | 161 | 2 | 97% |
| CX14-N1-03 | 657 | 1574 | 0.04 | 0.0465 | 0.0027 | 0.1601 | 0.0089 | 0.0252 | 0.0004 | 200 | 146 | 151 | 8 | 160 | 2 | 98% |
| CX14-N1-04 | 364 | 1225 | 0.3 | 0.0484 | 0.0024 | 0.1712 | 0.0084 | 0.0257 | 0.0004 | 117 | 111 | 160 | 7 | 164 | 2 | 93% |
| CX14-N1-05 | 418 | 866 | 0.48 | 0.0517 | 0.0033 | 0.1812 | 0.0119 | 0.0254 | 0.0005 | 272 | 144 | 169 | 10 | 162 | 3 | 99% |
| CX14-N1-06 | 399 | 904 | 0.44 | 0.047 | 0.003 | 0.1626 | 0.0098 | 0.0254 | 0.0005 | 56 | 139 | 1530 | 9 | 162 | 3 | 97% |
| CX14-N1-07 | 588 | 1121 | 0.52 | 0.0457 | 0.0025 | 0.1594 | 0.0087 | 0.0254 | 0.0004 | 53 | 115 | 1500 | 7 | 162 | 3 | 95% |
| CX14-N1-08 | 1224 | 2558 | 0.48 | 0.0464 | 0.0017 | 0.1653 | 0.0061 | 0.0259 | 0.0003 | 17 | 85 | 155 | 5 | 165 | 2 | 94% |
| CX14-N1-09 | 904 | 2081 | 0.43 | 0.0501 | 0.0025 | 0.1714 | 0.0079 | 0.0251 | 0.0003 | 198 | 113 | 161 | 7 | 160 | 2 | 92% |
| CX14-N1-10 | 509 | 1383 | 0.37 | 0.0502 | 0.0029 | 0.1753 | 0.0097 | 0.0256 | 0.0004 | 211 | 133 | 164 | 8 | 163 | 2 | 96% |
| CX14-N1-11 | 393 | 1724 | 0.23 | 0.0487 | 0.0025 | 0.1707 | 0.0085 | 0.0255 | 0.0004 | 200 | 119 | 160 | 7 | 163 | 2 | 94% |
| CX14-N1-12 | 838 | 1575 | 0.53 | 0.051 | 0.0023 | 0.1794 | 0.0083 | 0.0255 | 0.0003 | 243 | 71 | 168 | 7 | 162 | 2 | 99% |
| CX14-N1-13 | 747 | 1697 | 0.44 | 0.0489 | 0.0021 | 0.1704 | 0.0072 | 0.0255 | 0.0004 | 143 | 100 | 160 | 6 | 162 | 2 | 99% |
| CX14-N1-14 | 1003 | 2149 | 0.47 | 0.0508 | 0.0024 | 0.1756 | 0.0078 | 0.0253 | 0.0003 | 232 | 112 | 164 | 7 | 161 | 2 | 99% |
| CX14-N1-15 | 656 | 2817 | 0.23 | 0.0503 | 0.0021 | 0.1737 | 0.0075 | 0.0252 | 0.0004 | 209 | 96 | 163 | 7 | 160 | 2 | 96% |
| CX15-N1-01 | 9543 | 15050 | 0.63 | 0.0515 | 0.0014 | 0.1116 | 0.0033 | 0.0157 | 0.0002 | 265 | 65 | 107 | 3 | 100 | 1 | 84% |
| CX15-N1-02 | 9902 | 22405 | 0.44 | 0.0512 | 0.0013 | 0.108 | 0.0029 | 0.0152 | 0.0002 | 250 | 59 | 104 | 3 | 97 | 1 | 93% |
| CX15-N1-03 | 9974 | 26481 | 0.38 | 0.0485 | 0.0011 | 0.1031 | 0.0025 | 0.0154 | 0.0002 | 124 | 52 | 99.7 | 2 | 98 | 1 | 93% |
| CX15-N1-04 | 30688 | 45199 | 0.68 | 0.0486 | 0.0011 | 0.1033 | 0.0025 | 0.0153 | 0.0002 | 132 | 55 | 99.9 | 2 | 98 | 1 | 98% |
| CX15-N1-05 | 5272 | 14639 | 0.36 | 0.0526 | 0.0013 | 0.1091 | 0.0031 | 0.015 | 0.0002 | 322 | 57 | 105 | 3 | 96 | 1 | 98% |
| CX15-N1-06 | 11026 | 29374 | 0.38 | 0.0487 | 0.0012 | 0.1035 | 0.0027 | 0.0154 | 0.0002 | 200 | 57 | 100 | 2 | 98 | 1 | 90% |
| CX15-N1-07 | 27578 | 40589 | 0.68 | 0.0483 | 0.001 | 0.1016 | 0.0024 | 0.0152 | 0.0002 | 122 | 50 | 98.2 | 2 | 97 | 1 | 98% |
| CX15-N1-08 | 11353 | 27142 | 0.42 | 0.0481 | 0.001 | 0.1011 | 0.0023 | 0.0152 | 0.0001 | 106 | 50 | 97.8 | 2 | 97 | 1 | 99% |
| CX15-N1-09 | 11322 | 26176 | 0.43 | 0.0489 | 0.0011 | 0.1037 | 0.0024 | 0.0154 | 0.0002 | 143 | 45 | 100 | 2 | 98 | 1 | 99% |
| CX15-N1-10 | 14732 | 32199 | 0.46 | 0.05 | 0.001 | 0.1056 | 0.0023 | 0.0153 | 0.0001 | 195 | 46 | 102 | 2 | 98 | 1 | 68% |
| CX15-N1-11 | 10534 | 22800 | 0.46 | 0.052 | 0.0012 | 0.1085 | 0.0028 | 0.0151 | 0.0002 | 283 | 56 | 105 | 3 | 97 | 1 | 98% |
| CX15-N1-12 | 13311 | 32444 | 0.41 | 0.0471 | 0.001 | 0.1005 | 0.0024 | 0.0154 | 0.0002 | 53 | 51.8 | 97.2 | 2 | 99 | 1 | 88% |
| CX15-N1-13 | 10921 | 26298 | 0.42 | 0.0478 | 0.0012 | 0.1026 | 0.0029 | 0.0155 | 0.0002 | 87 | 58 | 99.2 | 2 | 99 | 1 | 74% |
| Analysis | Age | 176Hf/177Hf | ±1σ | 176Lu/177Hf | 176Yb/177Hf | εHf(t) | ±1σ | tDM1 | tDM2 |
|---|---|---|---|---|---|---|---|---|---|
| CX14-N1 | |||||||||
| 1 | 160 | 0.282516 | 0.000016 | 0.001103 | 0.038980 | −6.06 | 0.57 | 1043 | 1565 |
| 2 | 161 | 0.282464 | 0.000017 | 0.000991 | 0.034605 | −7.72 | 0.6 | 1107 | 1670 |
| 3 | 160 | 0.282531 | 0.000012 | 0.000772 | 0.027099 | −5.5 | 0.4 | 1013 | 1530 |
| 4 | 164 | 0.282480 | 0.000013 | 0.001017 | 0.036305 | −7.27 | 0.46 | 1092 | 1645 |
| 5 | 162 | 0.282550 | 0.000017 | 0.001045 | 0.038180 | −4.83 | 0.58 | 994 | 1489 |
| 6 | 162 | 0.282648 | 0.000016 | 0.001261 | 0.041615 | −1.37 | 0.57 | 860 | 1270 |
| 7 | 162 | 0.282548 | 0.000014 | 0.000682 | 0.023804 | −4.84 | 0.47 | 987 | 1490 |
| 8 | 165 | 0.282026 | 0.000015 | 0.000501 | 0.017941 | −23.26 | 0.52 | 1702 | 2642 |
| 9 | 160 | 0.282501 | 0.000014 | 0.001485 | 0.054293 | −6.66 | 0.47 | 1075 | 1602 |
| 10 | 163 | 0.282377 | 0.000018 | 0.001313 | 0.045657 | −10.96 | 0.62 | 1246 | 1875 |
| 11 | 163 | 0.282562 | 0.000017 | 0.001294 | 0.043163 | −4.4 | 0.58 | 983 | 1462 |
| 12 | 162 | 0.282631 | 0.000015 | 0.002251 | 0.076835 | −2.08 | 0.53 | 909 | 1315 |
| 13 | 162 | 0.282296 | 0.000012 | 0.001342 | 0.045162 | −13.83 | 0.41 | 1361 | 2054 |
| 14 | 161 | 0.282616 | 0.000015 | 0.000824 | 0.026431 | −2.48 | 0.51 | 895 | 1340 |
| 15 | 160 | 0.282072 | 0.000011 | 0.000260 | 0.009521 | −21.68 | 0.4 | 1628 | 2541 |
| CX15-N1 | |||||||||
| 1 | 98 | 0.282721 | 0.000017 | 0.005870 | 0.221097 | −0.5 | 0.6 | 864 | 1162 |
| 2 | 97 | 0.282661 | 0.000014 | 0.005788 | 0.216137 | −2.6 | 0.5 | 958 | 1295 |
| 3 | 99 | 0.282689 | 0.000015 | 0.005356 | 0.199650 | −1.5 | 0.5 | 902 | 1231 |
| 4 | 100 | 0.282643 | 0.000014 | 0.003880 | 0.144519 | −3.1 | 0.5 | 934 | 1328 |
| 5 | 98 | 0.282754 | 0.000016 | 0.004294 | 0.164720 | +0.8 | 0.6 | 773 | 1081 |
| 6 | 98 | 0.282605 | 0.000016 | 0.003285 | 0.122893 | −4.4 | 0.6 | 975 | 1411 |
| 7 | 96 | 0.282670 | 0.000016 | 0.003438 | 0.129864 | −2.2 | 0.6 | 881 | 1267 |
| 8 | 98 | 0.282657 | 0.000016 | 0.005851 | 0.217048 | −2.7 | 0.6 | 967 | 1305 |
| Sample | CX14-N1-H1 | CX14-N1-H2 | CX14-N1-H3 | CX14-N1-H4 | CX14-N1-H5 | CX14-N1-H6 |
|---|---|---|---|---|---|---|
| Major elements (wt.%) | ||||||
| SiO2 | 59.33 | 62.87 | 62.4 | 62.72 | 61.27 | 63.15 |
| TiO2 | 1.07 | 0.79 | 0.78 | 0.82 | 0.86 | 0.77 |
| Al2O3 | 16.04 | 16.53 | 16.32 | 16.4 | 16.7 | 16.21 |
| TFe2O3 | 7.44 | 5.39 | 5.4 | 5.53 | 5.88 | 5.34 |
| MnO | 0.15 | 0.11 | 0.12 | 0.12 | 0.12 | 0.12 |
| MgO | 1.94 | 1.4 | 1.45 | 1.43 | 1.57 | 1.39 |
| CaO | 3.83 | 3.38 | 3.57 | 3.74 | 3.57 | 3.37 |
| Na2O | 2.98 | 3.29 | 3.22 | 3.26 | 3.2 | 3.26 |
| K2O | 4.13 | 3.53 | 3.9 | 3.48 | 3.76 | 3.55 |
| P2O5 | 0.5 | 0.25 | 0.31 | 0.31 | 0.29 | 0.26 |
| LOI | 1.63 | 1.95 | 1.87 | 1.82 | 2.44 | 2.00 |
| Total | 99.05 | 99.5 | 99.35 | 99.63 | 99.66 | 99.42 |
| K2O/Na2O | 1.39 | 1.07 | 1.21 | 1.07 | 1.17 | 1.09 |
| Mg# | 37.78 | 37.73 | 38.55 | 37.57 | 38.31 | 37.79 |
| FeO | 5.69 | 4.12 | 4.13 | 4.23 | 4.5 | 4.08 |
| A/CNK | 0.98 | 1.07 | 1.02 | 1.03 | 1.06 | 1.06 |
| A/NK | 1.71 | 1.79 | 1.72 | 1.8 | 1.79 | 1.76 |
| Trace elements (ppm) | ||||||
| V | 102 | 70.14 | 67.23 | 75.15 | 73.76 | 65.78 |
| Cr | 38.44 | 23.72 | 9.87 | 26.62 | 9.2 | 6.62 |
| Co | 17.16 | 11.99 | 12.14 | 13.52 | 12.8 | 11.73 |
| Ni | 9.36 | 11.54 | 8.43 | 7.62 | 7.13 | 6.49 |
| Rb | 158 | 139 | 143 | 141 | 144 | 141 |
| Sr | 364 | 426 | 412 | 421 | 416 | 425 |
| Y | 34.25 | 20.77 | 25.29 | 22.87 | 24.08 | 23.41 |
| Zr | 293 | 251 | 324 | 330 | 249 | 267 |
| Nb | 38.11 | 29 | 28.95 | 29.4 | 29.98 | 28.77 |
| Ba | 938 | 827 | 927 | 772 | 952 | 820 |
| La | 40.34 | 44.89 | 40.32 | 48.13 | 38.93 | 52.72 |
| Ce | 80.16 | 82.66 | 76.29 | 88.86 | 72.66 | 94.68 |
| Pr | 10.12 | 9.32 | 9.07 | 10.04 | 8.59 | 10.57 |
| Nd | 49.95 | 34.66 | 35.41 | 45 | 33.87 | 42.95 |
| Sm | 8.84 | 6.15 | 6.87 | 6.53 | 6.58 | 6.82 |
| Eu | 2.25 | 1.99 | 2.13 | 1.97 | 2.07 | 2.01 |
| Gd | 8.18 | 5.93 | 6.41 | 6.25 | 6.08 | 6.56 |
| Tb | 1.34 | 0.87 | 1 | 0.91 | 0.95 | 0.95 |
| Dy | 7.39 | 4.51 | 5.43 | 4.76 | 5.13 | 4.98 |
| Ho | 1.38 | 0.83 | 1 | 0.88 | 0.94 | 0.91 |
| Er | 3.88 | 2.32 | 2.85 | 2.55 | 2.67 | 2.6 |
| Tm | 0.56 | 0.32 | 0.41 | 0.36 | 0.38 | 0.37 |
| Yb | 3.59 | 2.08 | 2.64 | 2.37 | 2.42 | 2.37 |
| Lu | 0.59 | 0.33 | 0.42 | 0.39 | 0.38 | 0.38 |
| Hf | 8.97 | 8.88 | 9.25 | 9.23 | 7.13 | 7.52 |
| Ta | 4.4 | 3.06 | 2.39 | 2.33 | 2.2 | 2.27 |
| Pb | 17.65 | 17.56 | 13.01 | 15.89 | 13.66 | 15.79 |
| Th | 17.18 | 15.03 | 15.03 | 15.97 | 13.19 | 16.46 |
| U | 4.02 | 2.13 | 5.15 | 2.84 | 2.63 | 3.24 |
| ΣLREE | 191.65 | 179.67 | 170.09 | 200.54 | 162.71 | 209.76 |
| ΣHREE | 60.57 | 37.63 | 45.02 | 40.95 | 42.65 | 42.14 |
| ΣREE | 252.22 | 217.29 | 215.11 | 241.5 | 205.36 | 241.9 |
| ΣLREE/ΣHREE | 3.16 | 4.78 | 3.78 | 4.9 | 3.82 | 4.98 |
| (La/Yb)N | 8.05 | 15.51 | 10.96 | 14.55 | 11.53 | 15.96 |
| (La/Sm)N | 2.95 | 4.71 | 3.79 | 4.76 | 3.82 | 4.99 |
| (Gd/Yb)N | 1.88 | 2.36 | 2.01 | 2.18 | 2.07 | 2.29 |
| δEu | 0.79 | 1 | 0.97 | 0.93 | 0.99 | 0.91 |
| Rb/Sr | 0.43 | 0.33 | 0.35 | 0.33 | 0.35 | 0.33 |
| Zr/Hf | 32.77 | 28.36 | 35.06 | 35.84 | 35 | 35.53 |
| Nb/Ta | 8.66 | 9.48 | 12.12 | 12.62 | 13.61 | 12.66 |
| La/Ta | 9.17 | 14.68 | 16.88 | 20.66 | 17.68 | 23.2 |
| Sample | CX15-N1-H1 | CX15-N1-H2 | CX15-N1-H3 | CX15-N1-H4 | CX15-N1-H5 | CX15-N1-H6 |
| Major element (wt.%) | ||||||
| SiO2 | 78.28 | 76.53 | 76.46 | 74.61 | 74.99 | 76.98 |
| TiO2 | 0.04 | 0.04 | 0.04 | 0.04 | 0.04 | 0.03 |
| Al2O3 | 11.37 | 11.39 | 12.1 | 12.82 | 12.72 | 11.95 |
| Fe2O3 | 1.15 | 1.47 | 0.83 | 1.62 | 1.51 | 0.98 |
| MnO | 0.07 | 0.08 | 0.07 | 0.07 | 0.07 | 0.07 |
| MgO | 0.15 | 0.2 | 0.16 | 0.2 | 0.18 | 0.16 |
| CaO | 0.49 | 1.43 | 0.56 | 1.17 | 0.69 | 0.4 |
| Na2O | 3.68 | 3.48 | 2.72 | 3.52 | 2.6 | 2.53 |
| K2O | 3.14 | 3.68 | 5.52 | 4.43 | 5.73 | 5.43 |
| P2O5 | 0.01 | 0.01 | 0.01 | 0.01 | 0.01 | 0.01 |
| LOI | 1.12 | 1.11 | 1.18 | 1.26 | 1.22 | 1.17 |
| Total | 99.49 | 99.4 | 99.65 | 99.75 | 99.76 | 99.71 |
| K2O/Na2O | 0.85 | 1.06 | 2.03 | 1.26 | 2.2 | 2.14 |
| Mg# | 23.37 | 23.68 | 30.68 | 22.08 | 21.65 | 27.6 |
| FeO | 0.88 | 1.12 | 0.63 | 1.23 | 1.16 | 0.75 |
| A/CNK | 1.1 | 0.93 | 1.05 | 1.01 | 1.08 | 1.11 |
| A/NK | 1.2 | 1.17 | 1.16 | 1.21 | 1.21 | 1.19 |
| Minor element (ppm) | ||||||
| V | 121.13 | 117.61 | 118.01 | 91.65 | 117.06 | 128.40 |
| Cr | 19.10 | 22.67 | 14.72 | 40.24 | 20.67 | 14.38 |
| Co | 20.02 | 22.07 | 23.14 | 15.78 | 19.98 | 28.77 |
| Ni | 12.35 | 11.93 | 11.43 | 13.34 | 10.92 | 12.75 |
| Rb | 141.61 | 148.13 | 162.73 | 127.44 | 176.98 | 173.46 |
| Sr | 306.51 | 338.80 | 326.36 | 309.27 | 339.91 | 325.10 |
| Y | 41.91 | 38.12 | 40.51 | 22.75 | 37.68 | 41.42 |
| Zr | 262.70 | 331.06 | 268.55 | 259.88 | 284.10 | 320.00 |
| Nb | 43.95 | 42.22 | 44.15 | 22.51 | 45.74 | 47.73 |
| Ba | 741.49 | 818.93 | 928.39 | 685.70 | 926.12 | 1049.9 |
| La | 73.81 | 51.13 | 55.37 | 43.80 | 39.49 | 49.85 |
| Ce | 143.45 | 100.97 | 111.28 | 84.12 | 82.50 | 101.72 |
| Pr | 16.76 | 12.42 | 13.69 | 9.36 | 10.80 | 12.72 |
| Nd | 80.65 | 62.00 | 67.83 | 43.72 | 55.66 | 64.18 |
| Sm | 12.26 | 10.07 | 10.94 | 6.47 | 9.73 | 10.83 |
| Eu | 2.42 | 2.18 | 2.14 | 1.67 | 2.25 | 2.19 |
| Gd | 11.35 | 9.18 | 10.01 | 5.64 | 8.66 | 9.75 |
| Tb | 1.72 | 1.47 | 1.57 | 0.89 | 1.44 | 1.58 |
| Dy | 9.01 | 7.96 | 8.57 | 4.79 | 7.90 | 8.71 |
| Ho | 1.63 | 1.45 | 1.55 | 0.86 | 1.44 | 1.58 |
| Er | 4.60 | 4.10 | 4.41 | 2.43 | 4.09 | 4.45 |
| Tm | 0.62 | 0.56 | 0.61 | 0.34 | 0.56 | 0.61 |
| Yb | 3.89 | 3.52 | 3.78 | 2.12 | 3.51 | 3.84 |
| Lu | 0.58 | 0.52 | 0.57 | 0.32 | 0.52 | 0.57 |
| Hf | 7.72 | 8.98 | 7.60 | 6.86 | 7.79 | 8.73 |
| Ta | 2.81 | 2.75 | 2.94 | 0.65 | 2.88 | 3.16 |
| Pb | 17.18 | 15.95 | 11.74 | 9.61 | 15.17 | 18.28 |
| Th | 22.19 | 16.54 | 19.05 | 11.11 | 14.83 | 21.38 |
| U | 4.20 | 4.19 | 4.68 | 2.00 | 4.12 | 15.53 |
| ∑LREE | 266.89 | 196.82 | 215.89 | 150.99 | 169.60 | 201.39 |
| ∑HREE | 22.06 | 19.58 | 21.05 | 11.74 | 19.46 | 21.33 |
| ∑REE | 288.95 | 216.40 | 236.94 | 162.74 | 189.06 | 222.73 |
| ∑LREE/∑HREE | 12.10 | 10.05 | 10.26 | 12.86 | 8.72 | 9.44 |
| (La/Yb)N | 1.03 | 1.04 | 0.8 | 1.13 | 1.23 | 1.02 |
| (La/Sm)N | 0.91 | 0.82 | 0.75 | 0.86 | 0.99 | 0.93 |
| (Gd/Yb)N | 0.82 | 0.93 | 0.84 | 0.96 | 0.95 | 0.81 |
| δEu | 0.05 | 0.06 | 0.04 | 0.04 | 0.05 | 0.05 |
| Rb/Sr | 5.74 | 6.66 | 13.59 | 8.19 | 12.21 | 11.17 |
| Zr/Hf | 15.79 | 16.75 | 15.67 | 16.11 | 15.71 | 15.78 |
| Nb/Ta | 8.22 | 8.75 | 8.36 | 8.66 | 8.74 | 8.42 |
| La/Ta | 2.91 | 3 | 2.18 | 3.18 | 3.5 | 2.77 |
Disclaimer/Publisher’s Note: The statements, opinions and data contained in all publications are solely those of the individual author(s) and contributor(s) and not of MDPI and/or the editor(s). MDPI and/or the editor(s) disclaim responsibility for any injury to people or property resulting from any ideas, methods, instructions or products referred to in the content. |
© 2023 by the authors. Licensee MDPI, Basel, Switzerland. This article is an open access article distributed under the terms and conditions of the Creative Commons Attribution (CC BY) license (https://creativecommons.org/licenses/by/4.0/).
Share and Cite
Mao, Q.-G.; Li, S.-S.; Liu, X.-Y.; Wu, J.-B.; Yan, C.-J.; Liu, K.; Huang, W.-Q. Geochemistry, Zircon U–Pb Geochronology, and Geological Significance of Late Mesozoic Magmatic Rocks in Guangxi Region (Southeastern China). Minerals 2023, 13, 1341. https://doi.org/10.3390/min13101341
Mao Q-G, Li S-S, Liu X-Y, Wu J-B, Yan C-J, Liu K, Huang W-Q. Geochemistry, Zircon U–Pb Geochronology, and Geological Significance of Late Mesozoic Magmatic Rocks in Guangxi Region (Southeastern China). Minerals. 2023; 13(10):1341. https://doi.org/10.3390/min13101341
Chicago/Turabian StyleMao, Qing-Gang, Sai-Sai Li, Xing-Yuan Liu, Jiang-Bo Wu, Chun-Jiang Yan, Kun Liu, and Wen-Qiang Huang. 2023. "Geochemistry, Zircon U–Pb Geochronology, and Geological Significance of Late Mesozoic Magmatic Rocks in Guangxi Region (Southeastern China)" Minerals 13, no. 10: 1341. https://doi.org/10.3390/min13101341
APA StyleMao, Q.-G., Li, S.-S., Liu, X.-Y., Wu, J.-B., Yan, C.-J., Liu, K., & Huang, W.-Q. (2023). Geochemistry, Zircon U–Pb Geochronology, and Geological Significance of Late Mesozoic Magmatic Rocks in Guangxi Region (Southeastern China). Minerals, 13(10), 1341. https://doi.org/10.3390/min13101341
