Effects of Red Mud on Cadmium Uptake and Accumulation by Rice and Chemical Changes in Rhizospheres by Rhizobox Method
Abstract
1. Introduction
2. Materials and Methods
2.1. Plant Material
2.2. Soil and Red Mud Samples
2.3. Rhizobox Trial
2.4. Chemical Analysis of Plant and Soil Samples
2.5. Statistical Analysis
3. Results and Discussion
3.1. Root Porosity and ROL Rate of Three Rice Cultivars
3.2. Plant Growth of Rice Cultivars Differing in ROL Rate
3.3. Cadmium (Cd), Fe, and Mn Concentrations of Rice Cultivars Differing in ROL Rate
3.4. Effects of RM on Transportability of Rice Cultivars Differing in ROL Rate
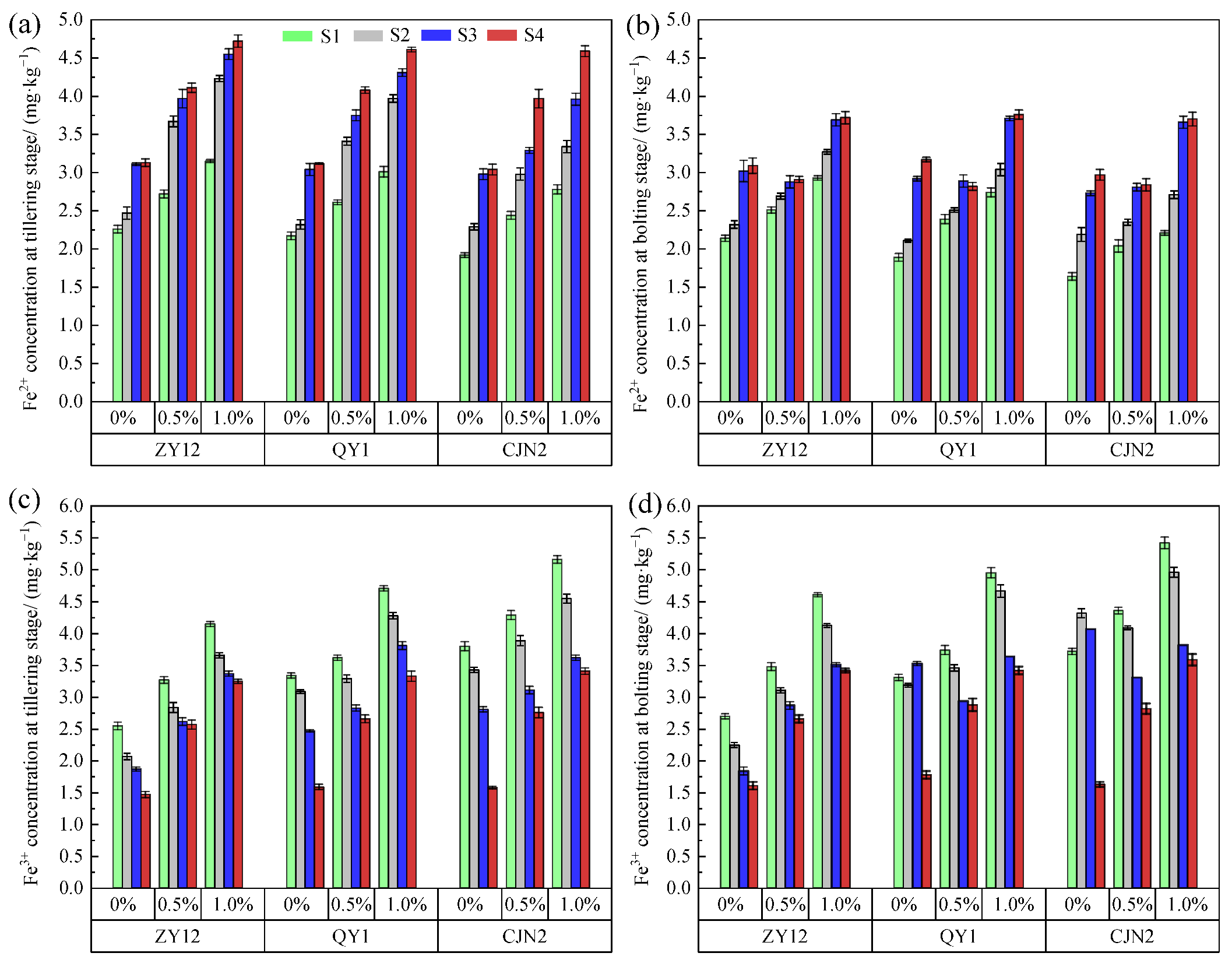
3.5. Effects of RM on the Rhizosphere of Rice Cultivars Differing in ROL Rate
3.6. Fractions of Cd in Soil Zones
3.7. Mobility Factors of Cd in the Soil Zones
3.8. Correlations of Cd Concentration in the Shoots and Soil Physicochemical Variables
4. Conclusions
Author Contributions
Funding
Acknowledgments
Conflicts of Interest
References
- Rizwan, M.; Ali, S.; Adrees, M.; Ibrahim, M.; Tsang, D.C.W.; Zia-ur-Rehman, M.; Zahir, Z.A.; Rinklebe, J.F.; Tack, M.G.; Ok, Y.S. A critical review on effects, tolerance mechanisms and management of cadmium in vegetables. Chemosphere 2017, 182, 90–105. [Google Scholar] [CrossRef] [PubMed]
- Yu, F.; Yi, L.T.; Mao, X.Y.; Song, Q.; Korpelainen, H.; Liu, M. Nitrogen addition alleviated sexual differences in responses to cadmium toxicity by regulating the antioxidant system and root characteristics, and inhibiting Cd translocation in mulberry seedlings. Ecotoxicol. Environ. Saf. 2022, 232, 113288. [Google Scholar] [CrossRef] [PubMed]
- Yang, J.X.; Wang, L.Q.; Li, J.M.; Wei, D.P.; Chen, S.B.; Guo, Q.J.; Ma, Y.B. Effects of rape straw and red mud on extractability and bioavailability of cadmium in a calcareous soil. Front. Environ. Sci. Eng. 2015, 9, 419–428. [Google Scholar] [CrossRef]
- Lv, G.F.; Yang, T.; Chen, Y.H.; Hou, H.Q.; Liu, X.M.; Li, J.G.; Wei, L.G.; Li, J.H. Biochar-based fertilizer enhanced Cd immobilization and soil quality in soil-rice system. Ecol. Eng. 2021, 171, 106396. [Google Scholar] [CrossRef]
- Kang, Z.M.; Gong, M.J.; Li, Y.S.; Chen, W.Z.; Yang, Y.A.; Qin, J.H.; Li, H.S. Low Cd-accumulating rice intercropping with Sesbania cannabina L. reduces grain Cd while promoting phytoremediation of Cd-contaminated soil. Sci. Total Environ. 2021, 800, 149600. [Google Scholar] [CrossRef]
- Sun, L.; Wang, R.G.; Tang, W.B.; Chen, Y.C.; Zhou, J.Q.; Ma, H.; Li, S.; Deng, H.B.; Han, L.; Chen, Y.B.; et al. Robust identification of low-Cd rice varieties by boosting the genotypic effect of grain Cd accumulation in combination with marker-assisted selection. J. Hazard. Mater. 2022, 424, 127703. [Google Scholar] [CrossRef]
- Lin, L.Y.; Zhu, R.L.; Li, Z.H.; Han, C.L.; Li, W.Y.; Deng, Y.R. A combined remediation strategy of arsenic and cadmium in the paddy soil of polymetallic mining areas. Bull. Environ. Contam. Toxicol. 2021, 107, 1220–1226. [Google Scholar] [CrossRef]
- Li, H.; Liu, Y.; Zhou, Y.Y.; Zhang, J.C.; Mao, Q.M.; Yang, Y.; Huang, H.L.; Liu, Z.H.; Peng, Q.H.; Luo, L. Effects of red mud based passivator on the transformation of Cd fraction in acidic Cd-polluted paddy soil and Cd absorption in rice. Sci. Total Environ. 2018, 640–641, 736–745. [Google Scholar] [CrossRef]
- Li, H.; Abbas, T.; Cai, M.; Zhang, Q.; Wang, J.; Li, Y.; Di, H.; Tahir, M. Cd bioavailability and nitrogen cycling microbes interaction affected by mixed amendments under paddy-pak choi continued planting. Environ. Pollut. 2021, 275, 116542. [Google Scholar] [CrossRef]
- Guo, M.C.; Tan, Y.Y.; Chen, D.; Song, W.; Cao, S. Optimization and stability of the bottom structure parameters of the deep sublevel stope with delayed backfilling. Minerals 2022, 12, 709. [Google Scholar] [CrossRef]
- Huang, Y.; Yang, W.; Li, Y.; Guo, W. Spatial Distribution Characteristics of Plastic Failure and Grouting Diffusion within Deep Roadway Surrounding Rock under Three-Dimensional Unequal Ground Stress and its Application. Minerals 2022, 12, 296. [Google Scholar] [CrossRef]
- Zhu, D.; Wang, J.; Gong, W.; Sun, Z. Model Test and Numerical Study on Surrounding Rock Deformation and Overburden Strata Movement Law of Gob-Side Entry Retaining via Roof Cutting. Minerals 2020, 10, 458. [Google Scholar] [CrossRef]
- Xue, S.G.; Li, M.; Jiang, J.; Millar, G.J.; Li, C.X.; Kong, X.F. Phosphogypsum stabilization of bauxite residue: Conversion of its alkaline characteristics. Sci. Total Environ. 2019, 77, 1–10. [Google Scholar] [CrossRef] [PubMed]
- Liu, Z.Y.; Yang, J.X.; Wan, X.M.; Peng, Y.S.; Liu, J.; Wang, X.D.; Zeng, M. How red mud-induced enhancement of iron plaque formation reduces cadmium accumulation in rice with different radial oxygen loss. Pol. J. Environ. Stud. 2016, 25, 1603–1613. [Google Scholar] [CrossRef]
- Xue, S.G.; Ke, W.S.; Zhu, F.; Ye, Y.Z.; Liu, Z.; Fan, J.R.; Hartley, W. Effect of phosphogypsum and poultry manure on aggregate-associated alkaline characteristics in bauxite residue. J. Environ. Manag. 2020, 256, 109981. [Google Scholar] [CrossRef]
- Xu, Z.M.; Lu, Z.Y.; Zhang, L.S.; Fan, H.Y.; Wang, H.Y.; Wang, Y.F.; Li, J.W.; Lin, Y.L.; Liu, H.; Guo, S.H.; et al. Red mud based passivator reduced Cd accumulation in edible amaranth by influencing root organic matter metabolism and soil aggregate distribution. Environ. Pollut. 2021, 275, 116543. [Google Scholar] [CrossRef]
- Xu, Z.M.; Zhang, Y.X.; Wang, L.; Liu, C.G.; Sun, W.M.; Wang, Y.F.; Long, S.X.; He, X.T.; Lin, Z.; Liang, J.L.; et al. Rhizobacteria communities reshaped by red mud based passivators is vital for reducing soil Cd accumulation in edible amaranth. Sci. Total Environ. 2022, 826, 154002. [Google Scholar] [CrossRef]
- Mei, X.Q.; Ye, Z.H.; Wong, M.H. The relationship of root porosity and radial oxygen loss on arsenic tolerance and uptake in rice grains and straw. Environ. Pollut. 2009, 157, 2550–2557. [Google Scholar] [CrossRef]
- Mei, X.Q.; Wong, M.H.; Yang, Y.; Dong, H.Y.; Qiu, R.L.; Ye, Z.H. The effects of radial oxygen loss on arsenic tolerance and uptake in rice and on its rhizosphere. Environ. Pollut. 2012, 165, 109–117. [Google Scholar] [CrossRef]
- Huang, G.X.; Ding, C.F.; Li, Y.S.; Zhang, T.L.; Wang, X.X. Selenium enhances iron plaque formation by elevating the radial oxygen loss of roots to reduce cadmium accumulation in rice (Oryza sativa L.). J. Hazard. Mater. 2020, 398, 122860. [Google Scholar] [CrossRef]
- Siddique, B.A.; Rahman, M.M.; Islam, M.R.; Naidu, R. Varietal variation and formation of iron plaques on cadmium accumulation in rice seedling. Sci. Adv. 2021, 5, 100075. [Google Scholar] [CrossRef]
- Liu, J.G.; Leng, X.M.; Wang, M.X.; Zhu, Z.Q.; Dai, Q.H. Iron plaque formation on roots of different rice cultivars and the relation with lead uptake. Ecotoxicol. Environ. Saf. 2011, 74, 1304–1309. [Google Scholar] [CrossRef] [PubMed]
- Nanzyo, M.; Yaginuma, H.; Sasaki, K.; Ito, K.; Aikawa, Y.; Kanno, H.; Takahashi, T. Identification of vivianite formed on the roots of paddy rice frown in pots. Soil Sci. Plant Nutr. 2010, 56, 376–381. [Google Scholar] [CrossRef][Green Version]
- Kludze, H.K.; DeLaune, R.D.; Patrick, W.H. Aerenchyma formation and methane and oxygen exchange in rice. Soil Sci. Soc. Am. 1993, 51, 386–391. [Google Scholar] [CrossRef]
- Tessier, A.; Campbell, P.G.; Bisson, M. Sequential extraction procedure for the speciation of particulate trace metals. Anal. Chem. 1979, 51, 844–851. [Google Scholar] [CrossRef]
- Begg, C.B.M.; Kirk, G.J.D.; Mackenzie, A.F.; Neue, H.U. Root-induced iron oxidation and pH changes in the low land rice rhizosphere. New Phytol. 1994, 128, 469–477. [Google Scholar] [CrossRef]
- Hou, L.B.; Zhang, B.; Wang, G.J.; Jiang, W.C.; Jia, Y. Effects of different cultivation ways on soil physical capability in western semiarid area of Liaoning Province. J. Arid Land 2006, 20, 149–153. [Google Scholar]
- Xue, S.; Zhu, F.; Kong, X.; Wu, C.; Huang, L.; Huang, N.; Hartley, W. A review of the characterization and revegetation of bauxite residues (red mud). Environ. Sci. Pollut. Res. 2016, 23, 1120–1132. [Google Scholar] [CrossRef]
- Wang, M.F.; Liu, X.M. Applications of red mud as an environmental remediation material: A review. J. Hazard. Mater. 2021, 408, 124420. [Google Scholar] [CrossRef]
- Rehman, M.Z.U.; Batool, Z.; Ayub, M.A.; Hussainia, K.M.; Murtaza, G.; Usmana, M.; Naeem, A.; Khalid, H.; Rizwan, M.; Ali, S. Effect of acidified biochar on bioaccumulation of cadmium (Cd) and rice growth in contaminated soil. Environ. Technol. Innov. 2020, 19, 101015. [Google Scholar] [CrossRef]
- Wei, R.F.; Tian, L.Y.; Han, X.K. Red mud (RM)-Induced enhancement of iron plaque formation reduces arsenic and metal accumulation in two wetland plant species. Int. J. Phytoremed. 2016, 18, 269–277. [Google Scholar]
- Wu, C.; Zou, Q.; Xue, S.G.; Pan, W.S.; Huang, L.; Hartley, W.; Mo, J.Y.; Wong, M.H. The effect of silicon on iron plaque formation and arsenic accumulation in rice genotypes with different radial oxygen loss (ROL). Environ. Pollut. 2016, 212, 27–33. [Google Scholar] [CrossRef] [PubMed]
- Hua, Y.M.; Heal, K.V.; Friesl-Hanl, W. The use of red mud as an immobiliser for metal/metalloid-contaminated soil: A review. J. Hazard. Mater. 2017, 325, 17–30. [Google Scholar] [CrossRef]
- Yang, J.X.; Guo, Q.J.; Yang, J.; Zhou, X.Y.; Ren, H.Y.; Zhang, H.Z.; Xu, R.X.; Wang, X.D.; Peters, M.; Zhu, G.X.; et al. Root-induced changes (pH, Eh, Fe2+ and speciation of Pb and Zn) in rhizosphere soils of four wetland plants with different ROL. Pedosphere 2012, 22, 518–527. [Google Scholar] [CrossRef]
- Xiong, J.B.; Lu, J.Q.; Li, X.H.; Qiu, Q.F.; Chen, J.; Yan, C.Q. Effect of rice (Oryza sativa L.) genotype on yield: Evidence from recruiting spatially consistent rhizosphere microbiome. Soil Biol. Biochem. 2021, 161, 108395. [Google Scholar] [CrossRef]
- Yao, B.M.; Wang, S.Q.; Xie, S.T.; Li, G.; Sun, G.X. Optimal soil Eh, pH for simultaneous decrease of bioavailable Cd, As in co-contaminated paddy soil under water management strategies. Sci. Total Environ. 2022, 806, 151342. [Google Scholar] [CrossRef] [PubMed]
- Huang, X.L.; Jia, Z.X.; Guo, J.J.; Li, T.L.; Sun, D.S.; Meng, H.S.; Yu, G.H.; He, X.H.; Ran, W.; Zhang, S.S.; et al. Ten-year long-term organic fertilization enhances carbon sequestration and calcium-mediated stabilization of aggregate-associated organic carbon in a reclaimed Cambisol. Geoderma 2019, 355, 113880. [Google Scholar] [CrossRef]
- Husson, O.; Brunet, A.; Babre, D.; Charpentier, H.; Durand, M.; Sarthou, J.P. Conservation Agriculture systems alter the electrical characteristics (Eh, pH and EC) of four soil types in France. Soil Tillage Res. 2018, 176, 57–68. [Google Scholar] [CrossRef]
- Fu, Y.Q.; Yang, X.J.; Shen, H. Root iron plaque alleviates cadmium toxicity to rice (Oryza sativa) seedlings. Ecotoxicol. Environ. Saf. 2018, 161, 534–541. [Google Scholar] [CrossRef]
- Lombi, E.; Hamon, R.E.; McGrath, S.P.; McLaughlin, M.J. Lability of Cd, Cu, and Zn in polluted soils treated with lime, beringite, and red mud and identification of a non-labile colloidal fraction of metals using isotopic techniques. Environ. Sci. Technol. 2003, 37, 979–984. [Google Scholar] [CrossRef]
- Sun, Y.; Lei, C.; Khan, E.; Chen, S.S.; Tsang, D.C.W.; Ok, Y.S.; Lin, D.; Feng, Y.; Li, X. Nanoscale zero-valent iron for metal/metalloid removal from model hydraulic fracturing wastewater. Chemosphere 2017, 176, 315–323. [Google Scholar] [CrossRef] [PubMed]









| Step | Fractions | Extraction method |
|---|---|---|
| 1 | exchangeable | 8 mL 1 mol·L−1 MgCl2, pH 7.0, shaking 1 h |
| 2 | carbonate-bound | 8 mL 1 mol·L−1 NaOAc, pH 5.0, shaking 8 h |
| 3 | Fe/Mn oxides-bound | 20 mL 0.04 mol·L−1 NH2OH-HCl in 25% (v/v) HOAc, 96 ± 3 °C, 4 h |
| 4 | organic-matter-bound | 3 mL 0.02 mol·L−1 HNO3 and 5 mL 30% H2O2, pH 2.0 with HNO3, 85 ± 2 °C, shaking 2 h; then 3 mL 30% H2O2, pH 2.0 with HNO3, 85 ± 2 °C, shaking 3 h; after cooling, 5 mL 3.2 mol·L−1 NH4OAc in 20% (v/v) HNO3, diluted to 20 mL, shaking 30 min |
| 5 | residual forms | digested with a HF-HC1O4 |
Publisher’s Note: MDPI stays neutral with regard to jurisdictional claims in published maps and institutional affiliations. |
© 2022 by the authors. Licensee MDPI, Basel, Switzerland. This article is an open access article distributed under the terms and conditions of the Creative Commons Attribution (CC BY) license (https://creativecommons.org/licenses/by/4.0/).
Share and Cite
Meng, X.; Yang, J.; Zheng, G.; Xia, T. Effects of Red Mud on Cadmium Uptake and Accumulation by Rice and Chemical Changes in Rhizospheres by Rhizobox Method. Minerals 2022, 12, 929. https://doi.org/10.3390/min12080929
Meng X, Yang J, Zheng G, Xia T. Effects of Red Mud on Cadmium Uptake and Accumulation by Rice and Chemical Changes in Rhizospheres by Rhizobox Method. Minerals. 2022; 12(8):929. https://doi.org/10.3390/min12080929
Chicago/Turabian StyleMeng, Xiaofei, Junxing Yang, Guodi Zheng, and Tianxiang Xia. 2022. "Effects of Red Mud on Cadmium Uptake and Accumulation by Rice and Chemical Changes in Rhizospheres by Rhizobox Method" Minerals 12, no. 8: 929. https://doi.org/10.3390/min12080929
APA StyleMeng, X., Yang, J., Zheng, G., & Xia, T. (2022). Effects of Red Mud on Cadmium Uptake and Accumulation by Rice and Chemical Changes in Rhizospheres by Rhizobox Method. Minerals, 12(8), 929. https://doi.org/10.3390/min12080929

