Geochemical Fractal Characteristics of Deep-Sea REE-Rich Sediments in the Western Pacific
Abstract
:1. Introduction
2. Methods
2.1. Multifractal Spectrum and Simulation Experiments
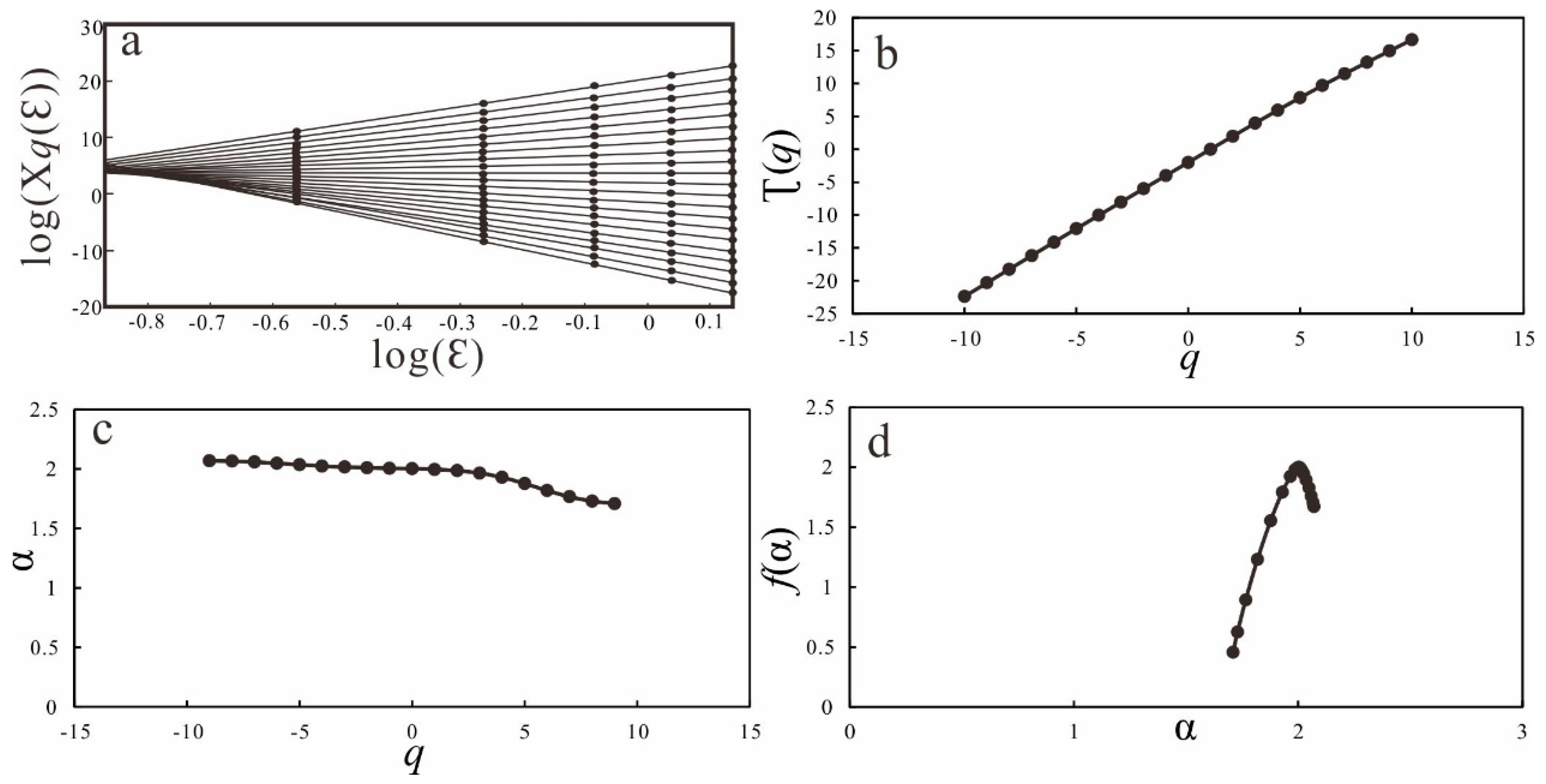
- First, build the allocation function, Xq() = , the mapping graph of q’s mass distribution function, Xq(), and draw the grid size, ε, on the log–log coordinate graph. Where q is any number and represents the statistical moment order of u(ε), xiε2 represents the total amount of metal in the element with the serial number I and length ε. xi is the taste value of unit i. Here, the analysis results of P2O5 are taken as an example. The value of q ranges from −10 to 10 (−10, −9, and −8…). The step size is 1. It can be seen from Figure 3 that the allocation function has a good linear relationship with the step size, and the slope changes accordingly when the q value changes. The line in Figure 3 shows that the q value is −10, −9, …, 0, and …, with the line corresponding to 10.
- The method of calculating the mass index, τ(q), is determined by the mass distribution function. If u() has multiplicity, the exponential relation Xq()∝∈^(τ(q)) exists for any q value, and the mass index can be calculated according to the slope between τ and q, as shown in Figure 3.
- The calculation formula of singular index α is: α(q) = .
- Calculate the fractal dimension f(α): f(α) = α(q)q − .
2.2. Spatial Principal Component Analysis
2.3. Multifractal Filtering Analysis
3. Results and Discussion
3.1. Statistical Analysis of Samples
- Ba, Sc, Y, La, Nd, Sm, Eu, Gd, Tb, Dy, Ho, Pr, Er, Tm, Yb, Lu, REY, P2O5, Na2O;
- Co, Ce, Cr, Pb, Ga, SiO2, MnO, TiO2, Al2O3, Fe2O3, Cu, V;
- MgO, CaO, K2O, Ni, Zn, Sr, Zr.
3.2. Multifractal Analysis of REE
- Ba, Sc, Y, La, Nd, Sm, Eu, Gd, Tb, Dy, Ho, Pr, Er, Tm, Yb, Lu, REY, P2O5, and Na2O. The Δα group is relatively large, and the corresponding Δf (α) is also large, showing strong multifractal characteristics. The R values of these elements are all greater than 0, and the spectral function curve is biased to the left.
- Co, Ce, Cr, Pb, Ga, SiO2, MnO, TiO2, Al2O3, Fe2O3, Cu, and V. The R values are all less than 0, and the spectral function curves deviate to the right. These indices have a narrow continuous multifractal spectrum curve and show very weak multifractal characteristics.
- The absolute values of R of MgO, CaO, K2O, Ni, Zn, Sr, and Zr are less than 0.5, indicating a simple single fractal.
4. Conclusions
- Using multifractal analysis, conventional cluster analysis, and principal component analysis, the sediment samples tend to group according to their geochemical characteristics, i.e., the concentrations of measured elements. They are then divided into three categories. The first group comprises Ba, Sc, Y, La, Nd, Sm, Eu, Gd, Tb, Dy, Ho, Pr, Er, Tm, Yb, Lu, REY, P2O5, and Na2O. The second group comprises Co, Ce, Cr, Pb, Ga, SiO2, MnO, TiO2, Al2O3, Fe2O3, Cu, and V. The third group consists of MgO, CaO, K2O, Ni, Zn, Sr, and Zr.
- In order to reduce the number of variables, principal component distribution maps of geochemical elements were compiled based on principal component analysis results, and element enrichment areas were delineated by the S-A multifractal filtering method. The results show that the high content of elements corresponds to the anomaly of the first principal component analysis, represented by Ba, Sc, Y, La, Nd, Sm, Eu, Gd, Tb, Dy, Ho, Pr, Er, Tm, Yb, Lu, REY, P2O5, and Na2O.
- The classification results can provide a new understanding for the delineation of REE anomalies in deep-sea sediments. Understanding these rules can provide quantitative basis for the prediction of REE enrichment and deep-sea resource exploration targets.
- From a new point of view, this paper discusses the resource potential of rare earth in the deep sea. It is proved that surface sediment exploration is not only beneficial to environmental geochemical exploration, and oil and gas geochemical exploration, but it is also beneficial to deep-sea sediment geochemical exploration. Although the statistical analysis of REE enrichment and mineralization in recent years is limited to some extent, this study provides a new idea for the evaluation of deep-sea REE resources.
Author Contributions
Funding
Data Availability Statement
Conflicts of Interest
References
- Kato, Y.; Fujinaga, K.; Nakamura, K.; Takaya, Y.; Kitamura, K.; Ohta, J.; Toda, R.; Nakashima, T.; Iwamori, H. Deep-sea mud in the Pacific Ocean as a potential resource for rare-earth elements. Nat. Geosci. 2011, 4, 535–539. [Google Scholar] [CrossRef]
- Yasukawa, K.; Liu, H.; Fujinaga, K.; Machida, S.; Haraguchi, S.; Ishii, T.; Nakamura, K.; Kato, Y. Geochemistry and mineralogy of REY-rich mud in the eastern Indian Ocean. J. Southeast Asian Earth Sci. 2014, 93, 25–36. [Google Scholar] [CrossRef]
- Emsbo, P.; McLaughlin, P.I.; Breit, G.N.; Du Bray, E.A.; Koenig, A.E. Rare earth elements in sedimentary phosphate deposits: Solution to the global REE crisis? Gondwana Res. 2015, 27, 776–785. [Google Scholar] [CrossRef] [Green Version]
- Liu, J.H.; Zhang, L.J.; Liang, H.F. The REE geochemistry of sediments in core cc48 from the East Pacific Ocean. Oceanol. Limnol. Sin. 1994, 25, 15–22, (In Chinese with English abstract). [Google Scholar]
- Kon, Y.; Hoshino, M.; Sanematsu, K.; Morita, S.; Tsunematsu, M.; Okamoto, N.; Yano, N.; Tanaka, M.; Takagi, T. Geochemical characteristics of apatite in Heavy REE-rich deep-sea mud from Minami-Torishima area, southeastern Japan. Resour. Geol. 2014, 64, 47–57. [Google Scholar] [CrossRef]
- Ren, J.B.; Yao, H.Q.; Zhu, K.C.; He, G.W.; Deng, X.G.; Wang, H.F.; Liu, J.Y.; Fu, P.E.; Yang, S.X. Enrichment mechanism of rare earth elements and yttrium in deep-sea mud of Clarion-Clipperton Region. Earth Sci. Front. 2015, 22, 200–211, (In Chinese with English abstract). [Google Scholar]
- Zhu, K.C.; Ren, J.B.; Wang, H.F.; Lu, F.F. Enrichment mechanism of REY and geochemical characteristics of REY-rich pelagic clay from the central Pacific. Earth Sci. (J. China Univ. Geosci.) 2015, 40, 1052–1060, (In Chinese with English abstract). [Google Scholar]
- Wang, F.L.; He, G.W.; Sun, X.M.; Yang, Y.; Zhao, T.P. The host of REE + Y elements in deep-sea sediments from the Pacific Ocean. Acta Petrol. Sin. 2016, 32, 2057–2068, (In Chinese with English abstract). [Google Scholar]
- Zuo, R.; Wang, J. Fractal/multifractal modeling of geochemical data: A review. J. Geochem. Explor. 2016, 164, 33–41. [Google Scholar] [CrossRef]
- Zuo, R.; Wang, J. ArcFractal: An ArcGIS Add-In for Processing Geoscience Data Using Fractal/Multifractal Models. Nonrenew. Resour. 2020, 29, 3–12. [Google Scholar] [CrossRef]
- Cheng, Q.; Bonham-Carter, G.; Wang, W.; Zhang, S.; Li, W.; Qinglin, X. A spatially weighted principal component analysis for multi-element geochemical data for mapping locations of felsic intrusions in the Gejiu mineral district of Yunnan, China. Comput. Geosci. 2011, 37, 662–669. [Google Scholar] [CrossRef]
- Lei, L.; Xie, S.; Chen, Z.; Carranza, E.J.M.; Bao, Z.; Cheng, Q.; Yang, F. Distribution patterns of petroleum indices based on multifractal and spatial PCA. J. Pet. Sci. Eng. 2018, 171, 714–723. [Google Scholar] [CrossRef]
- Grunsky, E.C. The interpretation of geochemical survey data. Geochem. Explor. Environ. Anal. 2010, 10, 27–74. [Google Scholar] [CrossRef]
- Ueki, K.; Iwamori, H. Geochemical differentiation processes for arc magma of the Sengan volcanic cluster, Northeastern Japan, constrained from principal component analysis. Lithos 2017, 290–291, 60–75. [Google Scholar] [CrossRef]
- Cheng, Q. Spatial and scaling modelling for geochemical anomaly separation. J. Geochem. Explor. 1999, 65, 175–194. [Google Scholar] [CrossRef]
- Zhang, Y.; Zhou, Y.-Z.; Wang, L.-F.; Wang, Z.-H.; He, J.-G.; An, Y.-F.; Li, H.-Z.; Zeng, C.-Y.; Liang, J.; Lu, W.-C.; et al. Mineralization-related geochemical anomalies derived from stream sediment geochemical data using multifractal analysis in Pangxidong area of Qinzhou-Hangzhou tectonic joint belt, Guangdong Province, China. J. Central South Univ. 2013, 20, 184–192. [Google Scholar] [CrossRef]
- Ali, K.; Cheng, Q.; Chen, Z. Multifractal power spectrum and singularity analysis for modelling stream sediment geochemical distribution patterns to identify anomalies related to gold mineralization in Yunnan Province, South China. Geochem. Explor. Environ. Anal. 2007, 7, 293–301. [Google Scholar] [CrossRef]
- Zuo, R.; Xia, Q.; Zhang, D. A comparison study of the C–A and S–A models with singularity analysis to identify geochemical anomalies in covered areas. Appl. Geochem. 2013, 33, 165–172. [Google Scholar] [CrossRef]
- Xie, S.; Bao, Z. Fractal and Multifractal Properties of Geochemical Fields. Math. Geol. 2004, 36, 847–864. [Google Scholar] [CrossRef]
- Galuszka, A. A review of geochemical background concepts and an example using data from Poland. Environ. Geol. 2007, 52, 861–870. [Google Scholar] [CrossRef]
- Zhang, T.; Li, Y.; Chen, Y.; Feng, X.; Zhu, X.; Chen, Z.; Yao, J.; Zheng, Y.; Cai, J.; Song, H.; et al. Review on space energy. Appl. Energy 2021, 292, 116896. [Google Scholar] [CrossRef]
- Deng, Y.N.; Ren, J.B.; Guo, Q.J.; Cao, J.; Wang, H.F.; Liu, C.H. Geochemistry characteristics of REY-rich sediment from deep sea in Western Pacific, and their indicative significance. Acta Petrol. Sin. 2018, 34, 733–747. [Google Scholar]
- Zhang, X.; Tao, C.; Shi, X.; Li, H.; Huang, M.; Huang, D. Geochemical characteristics of REY-rich pelagic sediments from the GC02 in central Indian Ocean Basin. J. Rare Earths 2017, 35, 1047–1058. [Google Scholar] [CrossRef]









| Elements | Min | Max | Mean | Standard Deviation | Variance | Skewness | Kurtosis | CV% |
|---|---|---|---|---|---|---|---|---|
| SiO2 | 6.53 | 71.13 | 49.49 | 5.09 | 25.87 | −5.18 | 40.76 | 10.28 |
| Al2O3 | 2.26 | 19.07 | 15.88 | 1.82 | 3.32 | −4.61 | 25.90 | 11.48 |
| Fe2O3 | 2.20 | 19.81 | 8.62 | 1.15 | 1.33 | −1.82 | 9.74 | 13.40 |
| MgO | 0.63 | 7.29 | 2.40 | 0.93 | 0.86 | 0.70 | 0.35 | 38.66 |
| CaO | 1.03 | 46.53 | 4.06 | 4.36 | 19.00 | 7.47 | 60.53 | 107.44 |
| Na2O | 0.10 | 6.94 | 2.51 | 1.61 | 2.58 | 0.47 | −1.46 | 64.01 |
| K2O | 0.15 | 4.49 | 1.51 | 1.07 | 1.15 | 0.45 | −1.43 | 71.22 |
| MnO | 0.06 | 4.05 | 2.62 | 1.02 | 1.04 | −0.68 | −1.01 | 38.98 |
| TiO2 | 0.45 | 4.80 | 2.22 | 1.04 | 1.08 | −0.31 | −1.45 | 46.82 |
| P2O5 | 0.13 | 9.99 | 1.00 | 0.68 | 0.46 | 6.01 | 52.96 | 67.38 |
| Co | 8.99 | 556 | 143.60 | 48.89 | 2390.30 | 0.86 | 3.45 | 34.05 |
| Ni | 20.50 | 749 | 242.70 | 96.87 | 9382.95 | 1.58 | 4.58 | 39.91 |
| Cu | 45.10 | 590 | 355.40 | 71.00 | 5041.10 | −1.07 | 2.54 | 19.98 |
| Zn | 25.40 | 343 | 155.66 | 22.21 | 493.18 | −0.80 | 7.94 | 14.27 |
| V | 34.70 | 275 | 160.32 | 27.18 | 738.82 | −1.43 | 2.99 | 16.95 |
| Ba | 12.00 | 4453 | 178.52 | 270.84 | 73353.87 | 4.39 | 44.75 | 151.72 |
| Sc | 3.88 | 1469 | 48.44 | 115.47 | 13332.49 | 5.94 | 46.07 | 238.39 |
| Ga | 4.13 | 86.70 | 35.71 | 13.15 | 172.97 | 0.19 | 0.04 | 36.83 |
| Pb | 11.20 | 358 | 150.28 | 86.24 | 7436.58 | −0.40 | −1.48 | 57.38 |
| Sr | 19.10 | 1954 | 459.97 | 333.99 | 111552.29 | 1.74 | 3.31 | 72.61 |
| Cr | 20.70 | 160 | 72.46 | 18.83 | 354.58 | −0.45 | −0.10 | 25.99 |
| Zr | 39.20 | 1015 | 182.80 | 31.69 | 1004.55 | 5.55 | 149.36 | 17.34 |
| Y | 17.50 | 1877 | 173.11 | 126.00 | 15875.13 | 5.33 | 50.36 | 72.78 |
| La | 13.00 | 953 | 102.54 | 62.42 | 3896.71 | 5.52 | 52.58 | 60.87 |
| Ce | 12.20 | 1209 | 114.10 | 34.98 | 1223.58 | 10.70 | 298.01 | 30.66 |
| Pr | 2.77 | 263 | 27.00 | 17.29 | 299.06 | 5.43 | 51.26 | 64.06 |
| Nd | 12.40 | 1180 | 121.69 | 79.35 | 6296.30 | 5.22 | 48.01 | 65.21 |
| Sm | 2.61 | 271 | 26.86 | 18.01 | 324.46 | 5.29 | 49.05 | 67.07 |
| Eu | 0.76 | 58.40 | 6.01 | 3.95 | 15.56 | 5.12 | 46.44 | 65.60 |
| Gd | 2.67 | 285 | 28.66 | 19.27 | 371.41 | 5.15 | 47.02 | 67.24 |
| Tb | 0.43 | 47.10 | 4.62 | 3.14 | 9.88 | 5.36 | 50.55 | 68.02 |
| Dy | 2.55 | 268 | 27.24 | 18.29 | 334.52 | 4.98 | 44.79 | 67.15 |
| Ho | 0.59 | 61.40 | 6.11 | 4.15 | 17.22 | 5.13 | 47.04 | 67.93 |
| Er | 1.48 | 164 | 16.12 | 10.82 | 117.14 | 5.34 | 50.76 | 67.16 |
| Tm | 0.21 | 22.50 | 2.27 | 1.50 | 2.26 | 5.31 | 49.99 | 66.25 |
| Yb | 1.29 | 134 | 13.95 | 8.94 | 79.88 | 5.32 | 50.68 | 64.08 |
| Lu | 0.19 | 20 | 2.08 | 1.32 | 1.75 | 5.36 | 51.47 | 63.53 |
| REY | 70.76 | 5983.2 | 672.36 | 397.09 | 157680.99 | 5.23 | 48.50 | 59.06 |
| Δα | Δf(α) | [τ(q) − τ(1)]/(q − 1) | ΔαL | ΔαR | R | ||||
|---|---|---|---|---|---|---|---|---|---|
| q = −10 | q = −5 | q = 5 | Q = 10 | ||||||
| SiO2 | 0.03 | −0.18 | 2.01 | 2.00 | 2.00 | 2.00 | 0.00 | 0.03 | −0.96 |
| Al2O3 | 0.02 | −0.13 | 2.01 | 2.00 | 2.00 | 2.00 | 0.00 | 0.02 | −0.91 |
| Fe2O3 | 0.01 | −0.04 | 2.00 | 2.00 | 2.00 | 2.00 | 0.00 | 0.01 | −0.69 |
| MgO | 0.03 | 0.01 | 2.01 | 2.01 | 2.00 | 1.99 | 0.02 | 0.01 | 0.01 |
| CaO | 0.28 | −0.64 | 2.08 | 2.03 | 1.94 | 1.92 | 0.10 | 0.18 | −0.28 |
| Na2O | 0.05 | 0.14 | 2.01 | 2.01 | 1.99 | 1.98 | 0.04 | 0.01 | 0.59 |
| K2O | 0.09 | −0.14 | 2.03 | 2.02 | 1.99 | 1.98 | 0.04 | 0.05 | −0.17 |
| MnO | 0.18 | −0.12 | 2.14 | 2.10 | 1.99 | 1.99 | 0.02 | 0.16 | −0.83 |
| TiO2 | 0.13 | −0.40 | 2.07 | 2.04 | 1.99 | 1.99 | 0.01 | 0.12 | −0.78 |
| P2O5 | 0.36 | 1.22 | 2.03 | 2.01 | 1.96 | 1.85 | 0.29 | 0.07 | 0.63 |
| Co | 0.12 | −0.36 | 2.04 | 2.01 | 2.00 | 1.99 | 0.02 | 0.09 | −0.59 |
| Ni | 0.10 | 0.07 | 2.02 | 2.01 | 1.99 | 1.98 | 0.05 | 0.05 | 0.08 |
| Cu | 0.01 | −0.07 | 2.00 | 2.00 | 2.00 | 2.00 | 0.00 | 0.01 | −0.68 |
| Zn | 0.00 | 0.00 | 2.00 | 2.00 | 2.00 | 2.00 | 0.00 | 0.00 | −0.02 |
| V | 0.03 | −0.16 | 2.01 | 2.00 | 2.00 | 2.00 | 0.00 | 0.03 | −0.81 |
| Ba | 0.07 | 0.18 | 2.01 | 2.02 | 1.95 | 1.94 | 0.08 | 0.01 | 0.85 |
| Sc | 0.50 | 1.11 | 2.03 | 2.02 | 1.75 | 1.65 | 0.45 | 0.04 | 0.82 |
| Ga | 0.10 | −0.29 | 2.04 | 2.02 | 1.99 | 1.99 | 0.01 | 0.08 | −0.69 |
| Pb | 0.18 | 0.04 | 2.15 | 2.13 | 1.99 | 1.99 | 0.03 | 0.15 | −0.69 |
| Sr | 0.89 | −0.71 | 2.35 | 2.14 | 1.97 | 1.87 | 0.28 | 0.61 | −0.37 |
| Cr | 0.06 | −0.33 | 2.02 | 2.00 | 2.00 | 2.00 | 0.01 | 0.06 | −0.77 |
| Zr | 0.01 | −0.01 | 2.00 | 2.00 | 2.00 | 2.00 | 0.00 | 0.00 | −0.20 |
| Y | 0.34 | 1.45 | 2.03 | 2.01 | 1.98 | 1.88 | 0.29 | 0.06 | 0.66 |
| La | 0.28 | 1.38 | 2.02 | 2.01 | 1.98 | 1.90 | 0.25 | 0.03 | 0.76 |
| Ce | 0.09 | −0.30 | 2.03 | 2.01 | 2.00 | 1.99 | 0.02 | 0.07 | −0.58 |
| Pr | 0.32 | 1.52 | 2.02 | 2.01 | 1.98 | 1.88 | 0.28 | 0.04 | 0.73 |
| Nd | 0.32 | 1.47 | 2.02 | 2.01 | 1.98 | 1.89 | 0.27 | 0.04 | 0.72 |
| Sm | 0.34 | 1.58 | 2.02 | 2.01 | 1.98 | 1.88 | 0.29 | 0.05 | 0.72 |
| Eu | 0.33 | 1.62 | 2.02 | 2.01 | 1.98 | 1.88 | 0.29 | 0.04 | 0.76 |
| Gd | 0.32 | 1.46 | 2.02 | 2.01 | 1.98 | 1.88 | 0.27 | 0.05 | 0.70 |
| Tb | 0.37 | 1.69 | 2.03 | 2.01 | 1.97 | 1.86 | 0.32 | 0.05 | 0.71 |
| Dy | 0.30 | 1.27 | 2.03 | 2.01 | 1.98 | 1.90 | 0.25 | 0.06 | 0.64 |
| Ho | 0.31 | 1.30 | 2.03 | 2.01 | 1.98 | 1.89 | 0.25 | 0.06 | 0.64 |
| Er | 0.33 | 1.43 | 2.03 | 2.01 | 1.98 | 1.88 | 0.28 | 0.06 | 0.66 |
| Tm | 0.32 | 1.40 | 2.03 | 2.01 | 1.98 | 1.89 | 0.27 | 0.05 | 0.67 |
| Yb | 0.30 | 1.22 | 2.03 | 2.01 | 1.98 | 1.90 | 0.24 | 0.06 | 0.62 |
| Lu | 0.30 | 1.25 | 2.03 | 2.01 | 1.98 | 1.90 | 0.24 | 0.06 | 0.63 |
| REY | 0.28 | 1.24 | 2.02 | 2.01 | 1.98 | 1.91 | 0.23 | 0.05 | 0.66 |
Publisher’s Note: MDPI stays neutral with regard to jurisdictional claims in published maps and institutional affiliations. |
© 2022 by the authors. Licensee MDPI, Basel, Switzerland. This article is an open access article distributed under the terms and conditions of the Creative Commons Attribution (CC BY) license (https://creativecommons.org/licenses/by/4.0/).
Share and Cite
Zhang, Y.; He, G.; Wang, F.; Yang, Y.; Liu, Y.; Zhang, L.; Zhou, Y. Geochemical Fractal Characteristics of Deep-Sea REE-Rich Sediments in the Western Pacific. Minerals 2022, 12, 835. https://doi.org/10.3390/min12070835
Zhang Y, He G, Wang F, Yang Y, Liu Y, Zhang L, Zhou Y. Geochemical Fractal Characteristics of Deep-Sea REE-Rich Sediments in the Western Pacific. Minerals. 2022; 12(7):835. https://doi.org/10.3390/min12070835
Chicago/Turabian StyleZhang, Yan, Gaowen He, Fenlian Wang, Yong Yang, Yonggang Liu, Li Zhang, and Yongzhang Zhou. 2022. "Geochemical Fractal Characteristics of Deep-Sea REE-Rich Sediments in the Western Pacific" Minerals 12, no. 7: 835. https://doi.org/10.3390/min12070835
APA StyleZhang, Y., He, G., Wang, F., Yang, Y., Liu, Y., Zhang, L., & Zhou, Y. (2022). Geochemical Fractal Characteristics of Deep-Sea REE-Rich Sediments in the Western Pacific. Minerals, 12(7), 835. https://doi.org/10.3390/min12070835

