Lithofacies and Source Rock Quality of Organic-Rich Shales in the Cretaceous Qingshankou Formation, Songliao Basin, NE China
Abstract
:1. Introduction
2. Geological Settings
3. Materials and Methods
4. Results
4.1. Element and Mineral Composition
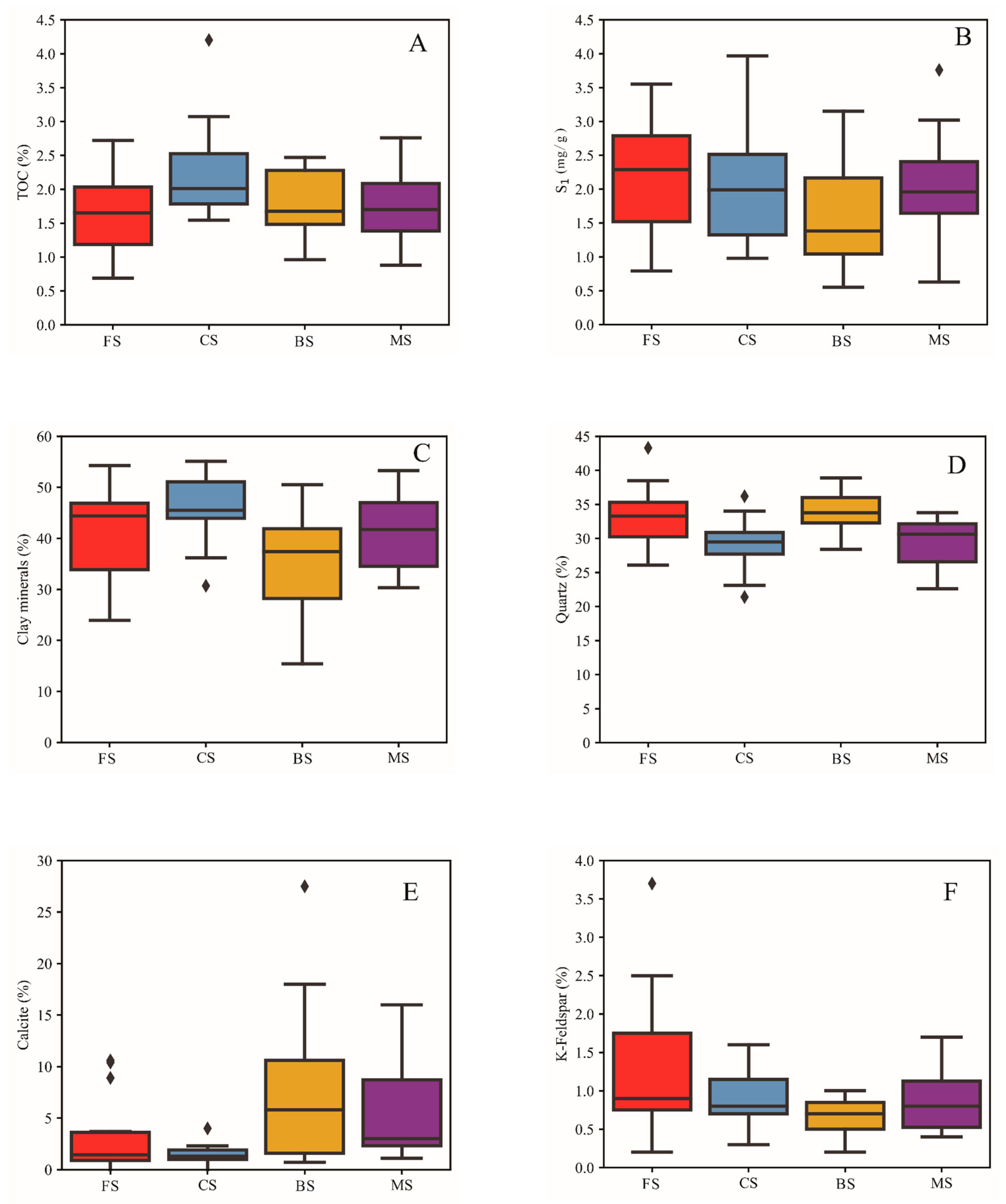
4.2. Lithofacies Divison
4.2.1. Felsic Shale (FS)
4.2.2. Clay Shale (CS)
4.2.3. Bio-Bearing Shale (BS)
4.2.4. Mixed Shale (MS)
4.3. Organic Geochemical Characteristics
4.3.1. TOC Content and Rock-Eval Pyrolysis
4.3.2. Organic Matter Types
5. Discussion
5.1. Laminae Associations in Different Lithofacies
5.2. Potential for Hydrocarbon Production
5.3. The Crossover Effect
6. Conclusions
Author Contributions
Funding
Data Availability Statement
Acknowledgments
Conflicts of Interest
References
- Hickey, J.J.; Henk, B. Lithofacies Summary of the Mississippian Barnett Shale, Mitchell 2 T.P. Sims Well, Wise County, Texas. Bulletin 2007, 91, 437–443. [Google Scholar] [CrossRef]
- Macquaker, J.H.S. A Lithofacies Study of the Peterborough Member, Oxford Clay Formation (Jurassic), UK: An Example of Sediment Bypass in a Mudstone Succession. J. Geol. Soc. 1994, 151, 161–172. [Google Scholar] [CrossRef]
- Abouelresh, M.O.; Slatt, R.M. Lithofacies and Sequence Stratigraphy of the Barnett Shale in East-Central Fort Worth Basin, TexasGeohorizon. AAPG Bull. 2012, 96, 1–22. [Google Scholar] [CrossRef]
- Zou, C.; Pan, S.; Horsfield, B.; Yang, Z.; Hao, S.; Liu, E.; Zhang, L. Oil Retention and Intrasource Migration in the Organic-Rich Lacustrine Chang 7 Shale of the Upper Triassic Yanchang Formation, Ordos Basin, Central China. Bulletin 2019, 103, 2627–2663. [Google Scholar] [CrossRef]
- Pan, S.; Zou, C.; Li, J.; Yang, Z.; Liu, E.; Han, Y. Unconventional Shale Systems: A Comparative Study of the “in-Source Sweet Spot” Developed in the Lacustrine Chang 7 Shale and the Marine Barnett Shale. Mar. Pet. Geol. 2019, 100, 540–550. [Google Scholar] [CrossRef]
- Loucks Robert, G.; Ruppel Stephen, C. Mississippian Barnett Shale: Lithofacies and Depositional Setting of a Deep-Water Shale-Gas Succession in the Fort Worth Basin, Texas. AAPG Bull. 2007, 91, 579–601. [Google Scholar] [CrossRef] [Green Version]
- Doyle, J.D.; Sweet, M.L. Three-Dimensional Distribution of Lithofacies, Bounding Surfaces, Porosity, and Permeability in a Fluvial Sandstone—Gypsy Sandstone of Northern Oklahoma. AAPG Bull. 1995, 79, 70–95. [Google Scholar] [CrossRef]
- Beydoun, Z.R.; Bamahmoud, M.O.; Nani, A.S.O. The Qishn Formation, Yemen: Lithofacies and Hydrocarbon Habitat. Mar. Pet. Geol. 1993, 10, 364–372. [Google Scholar] [CrossRef]
- Dapples, E.C. General Lithofacies Relationship of St. Peter Sandstone and Simpson Group1. AAPG Bull. 1955, 39, 444–467. [Google Scholar] [CrossRef]
- Okoro, A.U.; Igwe, E.O. Lithofacies and Depositional Environment of the Amasiri Sandstone, Southern Benue Trough, Nigeria. J. Afr. Earth Sci. 2014, 100, 179–190. [Google Scholar] [CrossRef]
- Southgate, P.N. A Model for the Development of Phosphatic and Calcareous Lithofacies in the Middle Cambrian Thorntonia Limestone, Northeast Georgina Basin, Australia. Aust. J. Earth Sci. 1988, 35, 111–130. [Google Scholar] [CrossRef]
- Scasso, R.A.; Aberhan, M.; Ruiz, L.; Weidemeyer, S.; Medina, F.A.; Kiessling, W. Integrated Bio- and Lithofacies Analysis of Coarse-Grained, Tide-Dominated Deltaic Environments across the Cretaceous/Paleogene Boundary in Patagonia, Argentina. Cretac. Res. 2012, 36, 37–57. [Google Scholar] [CrossRef]
- Zhang, T.; Fu, Q.; Sun, X.; Hackley, P.C.; Ko, L.T.; Shao, D. Meter-Scale Lithofacies Cycle and Controls on Variations in Oil Saturation, Wolfcamp A, Delaware and Midland Basins. AAPG Bull. 2021, 105, 1821–1846. [Google Scholar] [CrossRef]
- Ou, C.; Li, C.; Rui, Z.; Ma, Q. Lithofacies Distribution and Gas-Controlling Characteristics of the Wufeng–Longmaxi Black Shales in the Southeastern Region of the Sichuan Basin, China. J. Pet. Sci. Eng. 2018, 165, 269–283. [Google Scholar] [CrossRef]
- Qiu, Z.; Tao, H.; Zou, C.; Wang, H.; Ji, H.; Zhou, S. Lithofacies and Organic Geochemistry of the Middle Permian Lucaogou Formation in the Jimusar Sag of the Junggar Basin, NW China. J. Pet. Sci. Eng. 2016, 140, 97–107. [Google Scholar] [CrossRef]
- Macquaker, J.H.S.; Taylor, K.G. A Sequence-Stratigraphic Interpretation of a Mudstone-Dominated Succession: The Lower Jurassic Cleveland Ironstone Formation, UK. J. Geol. Soc. 1996, 153, 759–770. [Google Scholar] [CrossRef]
- Macquaker, J.H.S.; Gawthorpe, R.L. Mudstone Lithofacies in the Kimmeridge Clay Formation, Wessex Basin, Southern England: Implications for the Origin and Controls of the Distribution of Mudstones. J. Sediment. Res. 1993, 63, 1129–1143. [Google Scholar] [CrossRef]
- Williams, T.S.; Bhattacharya, S.; Song, L.; Agrawal, V.; Sharma, S. Petrophysical Analysis and Mudstone Lithofacies Classification of the HRZ Shale, North Slope, Alaska. J. Pet. Sci. Eng. 2022, 208, 109454. [Google Scholar] [CrossRef]
- Song, Z.; Li, J.; Li, X.; Chen, K.; Wang, C.; Li, P.; Wei, Y.; Zhao, R.; Wang, X.; Zhang, S.; et al. Coupling Relationship between Lithofacies and Brittleness of the Shale Oil Reservoir: A Case Study of the Shahejie Formation in the Raoyang Sag. Geofluids 2022, 2022, 1–17. [Google Scholar] [CrossRef]
- Hou, H.; Shao, L.; Li, Y.; Liu, L.; Liang, G.; Zhang, W.; Wang, X.; Wang, W. Effect of Paleoclimate and Paleoenvironment on Organic Matter Accumulation in Lacustrine Shale: Constraints from Lithofacies and Element Geochemistry in the Northern Qaidam Basin, NW China. J. Pet. Sci. Eng. 2022, 208, 109350. [Google Scholar] [CrossRef]
- Tewari, S.; Dwivedi, U.D. A Comparative Study of Heterogeneous Ensemble Methods for the Identification of Geological Lithofacies. J. Petrol. Explor. Prod. Technol. 2020, 10, 1849–1868. [Google Scholar] [CrossRef] [Green Version]
- Liu, X.Y.; Zhou, L.; Chen, X.H.; Li, J.Y. Lithofacies Identification Using Support Vector Machine Based on Local Deep Multi-Kernel Learning. Pet. Sci. 2020, 17, 954–966. [Google Scholar] [CrossRef]
- Bhattacharya, S.; Carr, T.R.; Pal, M. Comparison of Supervised and Unsupervised Approaches for Mudstone Lithofacies Classification: Case Studies from the Bakken and Mahantango-Marcellus Shale, USA. J. Nat. Gas Sci. Eng. 2016, 33, 1119–1133. [Google Scholar] [CrossRef] [Green Version]
- Buchheim, H.P.; Awramik, S.M. Stevensite, Oolite, and Microbialites in the Eocene Green River Formation, Sanpete Valley, Uinta Basin, Utah. In Proceedings of the AAPG Annual Convention and Exhibition, Houston, TX, USA, 6–9 April 2014; p. 31. [Google Scholar]
- Birdwell, J.E.; Berg, M.D.V.; Johnson, R.C.; Mercier, T.J.; Boehlke, A.R.; Brownfield, M.E. Geological, Geochemical, and Reservoir Characterization of the Uteland Butte Member of the Green River Formation, Uinta Basin, Utah. In Hydrocarbon Source Rocks in Unconventional Plays, Rocky Mountain Region; Rocky Mountain Association of Geologists: Denver, CO, USA, 2016; p. 28. [Google Scholar]
- Johnson, R.C. Petroleum Generation and Migration from the Oil Shale Interval of the Eocene Green River Formation, Uinta Basin, Utah. In Proceedings of the AAPG Pacific Section and Rocky Mountain Section Joint Meeting, Las Vegas, NV, USA, 2 October 2016; p. 62. [Google Scholar]
- Keighley, D.; Flint, S.; Howell, J.; Moscariello, A. Sequence Stratigraphy in Lacustrine Basins: A Model for Part of the Green River Formation (Eocene), Southwest Uinta Basin, Utah, U.S.A. J. Sediment. Res. 2003, 73, 987–1006. [Google Scholar] [CrossRef]
- Navsuu-Milkeviciene, K.T.; Sarg, J.F.; Bartov, Y. Depositional Cycles and Sequences In An Organic-Rich Lake Basin: Eocene Green River Formation, Lake Uinta, Colorado and Utah, U.S.A. J. Sediment. Res. 2017, 87, 210–229. [Google Scholar] [CrossRef]
- Zou, C.; Zhu, R.; Chen, Z.-Q.; Ogg, J.G.; Wu, S.; Dong, D.; Qiu, Z.; Wang, Y.; Wang, L.; Lin, S.; et al. Organic-Matter-Rich Shales of China. Earth-Sci. Rev. 2019, 189, 51–78. [Google Scholar] [CrossRef]
- Sun, L.; Liu, H.; He, W.; Li, G.; Zhang, S.; Zhu, R.; Jin, X.; Meng, S.; Jiang, H. An Analysis of Major Scientific Problems and Research Paths of Gulong Shale Oil in Daqing Oilfield, NE China. Pet. Explor. Dev. 2021, 48, 527–540. [Google Scholar] [CrossRef]
- Liu, B.; Wang, H.; Fu, X.; Bai, Y.; Bai, L.; Jia, M.; He, B. Lithofacies and Depositional Setting of a Highly Prospective Lacustrine Shale Oil Succession from the Upper Cretaceous Qingshankou Formation in the Gulong Sag, Northern Songliao Basin, Northeast China. AAPG Bulletin 2019, 103, 405–432. [Google Scholar] [CrossRef] [Green Version]
- Liu, C.; Wang, Z.; Guo, Z.; Hong, W.; Dun, C.; Zhang, X.; Li, B.; Wu, L. Enrichment and Distribution of Shale Oil in the Cretaceous Qingshankou Formation, Songliao Basin, Northeast China. Mar. Pet. Geol. 2017, 86, 751–770. [Google Scholar] [CrossRef]
- Wang, P.-J.; Mattern, F.; Didenko, N.A.; Zhu, D.-F.; Singer, B.; Sun, X.-M. Tectonics and Cycle System of the Cretaceous Songliao Basin: An Inverted Active Continental Margin Basin. Earth-Sci. Rev. 2016, 159, 82–102. [Google Scholar] [CrossRef] [Green Version]
- Zhang, J.; Guo, J.; Li, Y.; Sun, Z. 3D-Basin Modeling of the Changling Depression, NE China: Exploring Petroleum Evolution in Deep Tight Sandstone Reservoirs. Energies 2019, 12, 1043. [Google Scholar] [CrossRef] [Green Version]
- Wu, H.; Zhang, S.; Jiang, G.; Huang, Q. The Floating Astronomical Time Scale for the Terrestrial Late Cretaceous Qingshankou Formation from the Songliao Basin of Northeast China and Its Stratigraphic and Paleoclimate Implications. Earth Planet. Sci. Lett. 2009, 278, 308–323. [Google Scholar] [CrossRef]
- Dean, W.E.; Gardner, J.V.; Piper, D.Z. Inorganic Geochemical Indicators of Glacial-Interglacial Changes in Productivity and Anoxia on the California Continental Margin. Geochim. Cosmochim. Acta 1997, 61, 4507–4518. [Google Scholar] [CrossRef]
- Folk, R.L. Petrology of Sedimentary Rocks; Hemphill Publishing Company: Austin, TX, USA, 1980; ISBN 978-0-914696-14-8. [Google Scholar]
- Ingram, R.L. Fissility of mudrocks. GSA Bull. 1953, 64, 869–878. [Google Scholar] [CrossRef]
- O’Brien, N.R.; Slatt, R.M. Argillaceous Rock Atlas; Springer Science & Business Media: Berlin/Heidelberg, Germany, 2012; ISBN 978-1-4612-3422-7. [Google Scholar]
- Potter, P.E.; Maynard, J.B.; Depetris, P.J. Mud and Mudstones: Introduction and Overview; Springer Science & Business Media: Berlin/Heidelberg, Germany, 2005; ISBN 978-3-540-27082-9. [Google Scholar]
- Stow, D.A.V. Sedimentary Rocks in the Field: A Color Guide; Gulf Professional Publishing: Houston, TX, USA, 2005; ISBN 978-0-12-369451-5. [Google Scholar]
- Schieber, J.; Zimmerle, W.; Sethi, P.S. Shales and Mudstones, Vol. 1: Basin Studies, Sedimentology, and Palentology; E. Schweizerbart’sche: Stuttgart, Germany, 1998; ISBN 978-3-510-65181-8. [Google Scholar]
- Lazar, O.R.; Bohacs, K.M.; Macquaker, J.H.S.; Schieber, J.; Demko, T.M. Capturing Key Attributes of Fine-Grained Sedimentary Rocks In Outcrops, Cores, and Thin Sections: Nomenclature and Description Guidelines. J. Sediment. Res. 2015, 85, 230–246. [Google Scholar] [CrossRef] [Green Version]
- Li, M.; Wu, S.; Hu, S.; Zhu, R.; Meng, S.; Yang, J. Lamination Texture and Its Effects on Reservoir and Geochemical Properties of the Palaeogene Kongdian Formation in the Cangdong Sag, Bohai Bay Basin, China. Minerals 2021, 11, 1360. [Google Scholar] [CrossRef]
- Li, M.; Chen, X. A Comparison of Geological Characteristics of the Main Continental Shale Oil in China and the U.S. Lithosphere 2021, 2021, 3377705. [Google Scholar] [CrossRef]
- Espitalie, J.; Madec, M.; Tissot, B.; Mennig, J.J.; Leplat, P. Source Rock Characterization Method for Petroleum Exploration. In Proceedings of the Offshore Technology Conference, Houston, TX, USA, 2 May 1977; Offshore Technology Conference: Houston, TX, USA, 1977. [Google Scholar]
- Wu, S.; Li, S.; Yuan, X.; Yang, Z.; Li, A.; Cui, J.; Pan, S.; Mao, Z.; Su, L.; Zhou, Y. Fluid Mobility Evaluation of Tight Sandstones in Chang 7 member of Yanchang Formation, Ordos Basin. J. Earth Sci. 2021, 32, 850–862. [Google Scholar] [CrossRef]
- Guan, M.; Wu, S.; Hou, L.; Jiang, X.; Ba, D.; Hua, G. Paleoenvironment and Chemostratigraphy Heterogenity of the Cretaceous Organic-Rich Shales. Adv. Geo-Energy Res. 2021, 5, 444–455. [Google Scholar] [CrossRef]
- Jiang, X.; Wu, S.; Hou, L.; Zhang, J.; Guan, M.; Zhai, F.; Guo, J.; Su, L.; Liao, F.; Ding, L. Porosity Evolution in Lacustrine Organic-Matter-Rich Shales with High Claly Minerals Content. Front. Earth Sci. 2021, 9, 7660936. [Google Scholar] [CrossRef]
- Jarvie, D.M. Shale Resource Systems for Oil and GasPart 2𒀔Shale-Oil Resource Systems. In Shale Reservoirs—Giant Resources for the 21st Century; American Association of Petroleum Geologists: Tulsa, OK, USA, 2012; ISBN 978-1-62981-011-9. [Google Scholar]









| Elements | Si (wt%) | Al (wt%) | Ca (wt%) | Fe (wt%) |
| 1.00–32.10 24.00 | 0.20–9.00 5.20 | 0.40–38.80 3.80 | 0.30–33.40 3.70 | |
| K (wt%) | Mg (wt%) | Mn (wt%) | ||
| 0.04–6.10 3.00 | 0.40–7.70 1.20 | 0.00–0.50 0.10 |
| Lithofacies | TOC (wt%) | Clay (wt%) | Quartz (wt%) | K-Feldspar (wt%) | Calcite (wt%) |
|---|---|---|---|---|---|
| FS(19) | 0.69–2.72 1.62 | 23.90–54.30 39.97 | 26.10–43.30 33.05 | 0.20–3.70 1.28 | 0.00–10.6 3.11 |
| CS(31) | 1.55–4.20 2.22 | 30.70–55.10 46.72 | 21.40–36.20 29.11 | 0.30–1.60 0.90 | 0.00–4.00 1.29 |
| BS(14) | 0.96–2.47 1.78 | 15.40–50.50 35.48 | 28.40–38.90 33.87 | 0.20–1.00 0.65 | 0.70–27.50 8.17 |
| MS(10) | 0.88–2.76 1.75 | 30.30–53.30 41.11 | 22.60–33.80 29.21 | 0.40–1.70 0.87 | 1.10–27.10 7.60 |
Publisher’s Note: MDPI stays neutral with regard to jurisdictional claims in published maps and institutional affiliations. |
© 2022 by the authors. Licensee MDPI, Basel, Switzerland. This article is an open access article distributed under the terms and conditions of the Creative Commons Attribution (CC BY) license (https://creativecommons.org/licenses/by/4.0/).
Share and Cite
Cai, Y.; Zhu, R.; Luo, Z.; Wu, S.; Zhang, T.; Liu, C.; Zhang, J.; Wang, Y.; Meng, S.; Wang, H.; et al. Lithofacies and Source Rock Quality of Organic-Rich Shales in the Cretaceous Qingshankou Formation, Songliao Basin, NE China. Minerals 2022, 12, 465. https://doi.org/10.3390/min12040465
Cai Y, Zhu R, Luo Z, Wu S, Zhang T, Liu C, Zhang J, Wang Y, Meng S, Wang H, et al. Lithofacies and Source Rock Quality of Organic-Rich Shales in the Cretaceous Qingshankou Formation, Songliao Basin, NE China. Minerals. 2022; 12(4):465. https://doi.org/10.3390/min12040465
Chicago/Turabian StyleCai, Yi, Rukai Zhu, Zhong Luo, Songtao Wu, Tianshu Zhang, Chang Liu, Jingya Zhang, Yongchao Wang, Siwei Meng, Huajian Wang, and et al. 2022. "Lithofacies and Source Rock Quality of Organic-Rich Shales in the Cretaceous Qingshankou Formation, Songliao Basin, NE China" Minerals 12, no. 4: 465. https://doi.org/10.3390/min12040465
APA StyleCai, Y., Zhu, R., Luo, Z., Wu, S., Zhang, T., Liu, C., Zhang, J., Wang, Y., Meng, S., Wang, H., & Zhang, Q. (2022). Lithofacies and Source Rock Quality of Organic-Rich Shales in the Cretaceous Qingshankou Formation, Songliao Basin, NE China. Minerals, 12(4), 465. https://doi.org/10.3390/min12040465

