Iron Ore Tailing Composition Estimation Using Fused Visible–Near Infrared and Thermal Infrared Spectra by Outer Product Analysis
Abstract
:1. Introduction
2. Materials and Methods
2.1. Tailing Sample Collection
2.2. Spectral Measurement
2.3. Data Preprocessing Method
2.4. Spectral Fusion Method
2.5. Spectroscopic Modeling Method
3. Results and Discussion
3.1. VIS–NIR Spectral and Absorption Characteristics
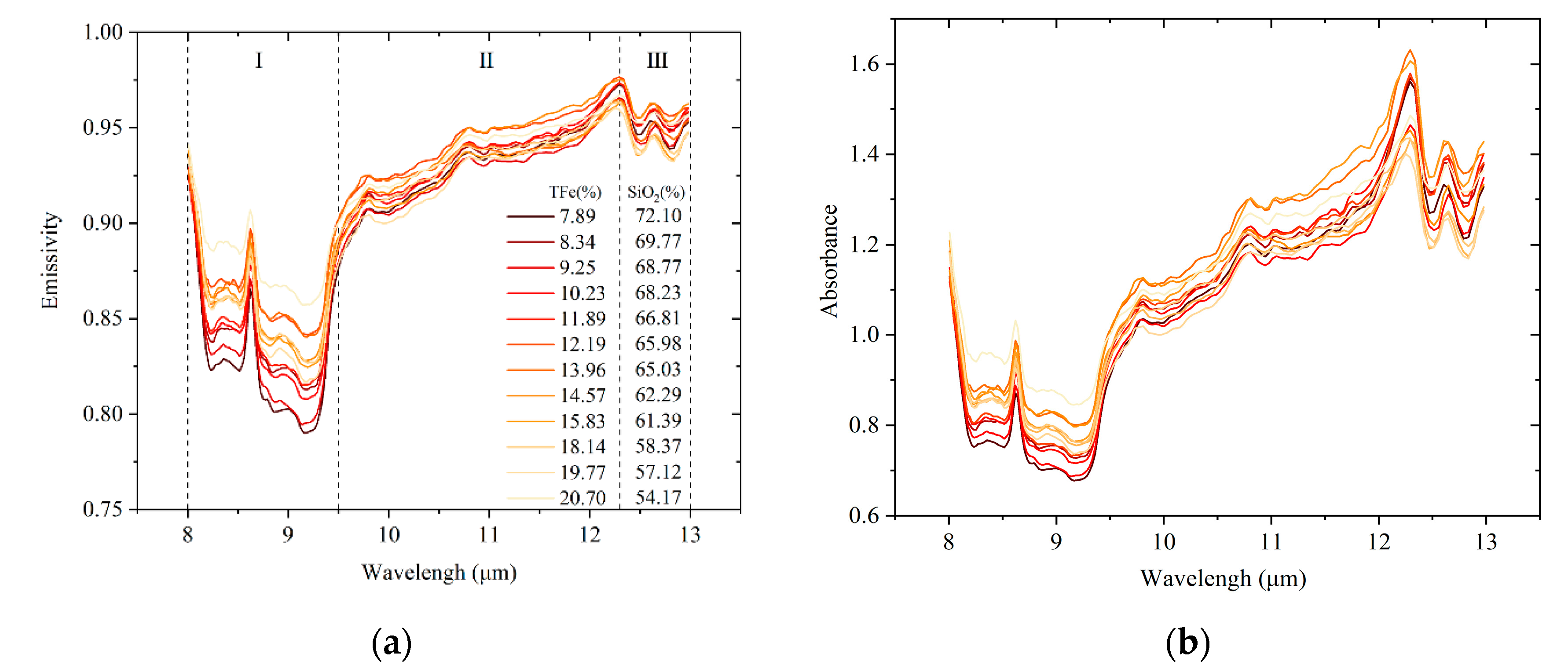
3.2. TIR Spectral and Absorption Characteristics
3.3. Spectral Data Fusion and Coevolution
3.4. Correlation of Spectral Data with TFe and SiO2 Content
3.5. Prediction Accuracy of TFe and SiO2
4. Conclusions
- This study demonstrated that with the VIS–NIR spectra, the sensitive absorption bands of SiO2 occurred in the ranges of 1365–1391 nm and 1410–1623 nm, and those of TFe occurred in the range of 1163–2499 nm. In the TIR domain, the sensitive absorption bands of both SiO2 and TFe were in the ranges of 8–9.4 μm and 10.7–12 μm.
- Compared with individual VIS–NIR or TIR spectra, the OPA-fused absorbance data had a stronger correlation with TFe and SiO2 content. The largest correlation coefficient between TFe and the fusion domain (1181–1409 nm and 2298–2375 nm for VIS–NIR, 8.17–8.27 μm, and 8.37–8.52 μm for TIR) was 0.87. By contrast, the largest correlation coefficient between SiO2 and the fusion domain (1257–1714 nm for VIS–NIR and 8.13–0.54 μm for TIR) was 0.84.
- The combination of RF modeling and OPA-fused spectral data achieved the optimal prediction accuracy of TFe and SiO2 compared with the accuracy obtained through individual spectra. The R2 value increased from 0.70 to 0.91, RMSE decreased from 1.60% to 0.96%, and RPIQ increased from 1.25 to 2.31 for TFe prediction. The R2 value increased from 0.67 to 0.95, RMSE decreased from 2.49% to 0.97%, and RPIQ increased from 2.52 to 6.49 for SiO2 prediction. The RF model performed better than the PLSR and PSO–ELM models, with greater R2 and RPIQ and lower RMSE values.
Author Contributions
Funding
Data Availability Statement
Acknowledgments
Conflicts of Interest
References
- Burritt, R.L.; Christ, K.L. Water risk in mining: Analysis of the samarco dam failure. J. Clean. Prod. 2018, 178, 196–205. [Google Scholar] [CrossRef]
- Kossoff, D.; Dubbin, W.; Alfredsson, M.; Edwards, S.; Macklin, M.; Hudson-Edwards, K.A. Mine tailings dams: Characteristics, failure, environmental impacts, and remediation. Appl. Geochem. 2014, 51, 229–245. [Google Scholar] [CrossRef] [Green Version]
- Zhang, Z.; Hou, T.; Santosh, M.; Li, H.; Li, J.; Zhang, Z.; Song, X.; Wang, M. Spatio-temporal distribution and tectonic settings of the major iron deposits in China: An overview. Ore Geol. Rev. 2014, 57, 247–263. [Google Scholar] [CrossRef]
- Wan, Y.; Hu, X.; Zhong, Y.; Ma, A.; Wei, L.; Zhang, L. In Tailings reservoir disaster and environmental monitoring using the uav-ground hyperspectral joint observation and processing: A case of study in Xinjiang, the belt and road. In Proceedings of the IGARSS 2019—2019 IEEE International Geoscience and Remote Sensing Symposium, Yokohama, Japan, 28 July–2 August 2019; IEEE: Manhattan, NY, USA; pp. 9713–9716. [Google Scholar]
- Dong, L.; Deng, S.; Wang, F. Some developments and new insights for environmental sustainability and disaster control of tailings dam. J. Clean. Prod. 2020, 269, 122270. [Google Scholar] [CrossRef]
- Lyon, R. Analysis of rocks by spectral infrared emission (8 to 25 microns). Econ. Geol. 1965, 60, 715–736. [Google Scholar] [CrossRef]
- Yang, X.; Bao, N.; Li, W.; Liu, S.; Fu, Y.; Mao, Y. Soil nutrient estimation and mapping in farmland based on uav imaging spectrometry. Sensors 2021, 21, 3919. [Google Scholar] [CrossRef]
- Ben-Dor, E.; Inbar, Y.; Chen, Y. The reflectance spectra of organic matter in the visible near-infrared and short wave infrared region (400–2500 nm) during a controlled decomposition process. Remote Sens. Environ. 1997, 61, 1–15. [Google Scholar] [CrossRef]
- Abrams, M.; Rothery, D.; Pontual, A. Mapping in the oman ophiolite using enhanced landsat thematic mapper images. Tectonophysics 1988, 151, 387–401. [Google Scholar] [CrossRef]
- Xiao, D.; Liu, C.; Le, B.T. Detection method of tfe content of iron ore based on visible-infrared spectroscopy and ipso-telm neural network. Infrared Phys. Technol. 2019, 97, 341–348. [Google Scholar] [CrossRef]
- Bishop, J.L.; Dyar, M.D.; Lane, M.D.; Banfield, J.F. Spectral identification of hydrated sulfates on mars and comparison with acidic environments on earth. Int. J. Astrobiol. 2004, 3, 275–285. [Google Scholar] [CrossRef] [Green Version]
- Johnson, J.; Bell, J.F., III; Cloutis, E.; Staid, M.; Farrand, W.; McCoy, T.; Rice, M.; Wang, A.; Yen, A. Mineralogic constraints on sulfur-rich soils from Pancam spectra at Gusev crater, Mars. Geophys. Res. Lett. 2007, 34, 1–6. [Google Scholar] [CrossRef]
- Michalski, J.R.; Cuadros, J.; Bishop, J.L.; Dyar, M.D.; Dekov, V.; Fiore, S. Constraints on the crystal-chemistry of Fe/Mg-rich smectitic clays on Mars and links to global alteration trends. Earth Planet. Sci. Lett. 2015, 427, 215–225. [Google Scholar] [CrossRef] [Green Version]
- Carter, J.; Poulet, F.; Bibring, J.P.; Mangold, N.; Murchie, S. Hydrous minerals on Mars as seen by the CRISM and OMEGA imaging spectrometers: Updated global view. J. Geophys. Res. Planets 2013, 118, 831–858. [Google Scholar] [CrossRef]
- Sánchez-Marañón, M.; Cuadros, J.; Michalski, J.R.; Melgosa, M.; Dekov, V. Identification of iron in Earth analogues of Martian phyllosilicates using visible reflectance spectroscopy: Spectral derivatives and color parameters. Appl. Clay Sci. 2018, 165, 264–276. [Google Scholar] [CrossRef]
- Cuadros, J.; Michalski, J.R.; Bishop, J.L.; Mavris, C.; Fiore, S.; Dekov, V. Mars-rover cameras evaluation of laboratory spectra of Fe-bearing Mars analog samples. Icarus 2022, 371, 114704. [Google Scholar] [CrossRef]
- Cuadros, J.; Sánchez-Marañón, M.; Mavris, C.; Fiore, S.; Bishop, J.L.; Melgosa, M. Color analysis and detection of Fe minerals in multi-mineral mixtures from acid-alteration environments. Appl. Clay Sci. 2020, 193, 105677. [Google Scholar] [CrossRef]
- Wang, D.; Liu, S.-J.; Mao, Y.-C.; Wang, Y.; Li, T.-Z. A Method Based on Thermal Infrared Spectrum for Analysis of SiO2 Content in Anshan-Type Iron. Spectrosc. Spectr. Anal. 2018, 38, 2101–2106. [Google Scholar] [CrossRef]
- Song, L.; Liu, S.; Li, W. Quantitative inversion of fixed carbon content in coal gangue by thermal infrared spectral data. Energies 2019, 12, 1659. [Google Scholar] [CrossRef] [Green Version]
- Song, L.; Liu, S.; Yu, M.; Mao, Y.; Wu, L. A classification method based on the combination of visible, near-infrared and thermal infrared spectrum for coal and gangue distinguishment. Spectrosc. Spectr. Anal. 2017, 37, 416–422. [Google Scholar]
- Desta, F.; Buxton, M.; Jansen, J. Fusion of mid-wave infrared and long-wave infrared reflectance spectra for quantitative analysis of minerals. Sensors 2020, 20, 1472. [Google Scholar] [CrossRef] [Green Version]
- Ng, W.; Minasny, B.; Montazerolghaem, M.; Padarian, J.; Ferguson, R.; Bailey, S.; McBratney, A.B. Convolutional neural network for simultaneous prediction of several soil properties using visible/near-infrared, mid-infrared, and their combined spectra. Geoderma 2019, 352, 251–267. [Google Scholar] [CrossRef]
- Jaillais, B.; Pinto, R.; Barros, A.S.; Rutledge, D.N. Outer-product analysis (OPA) using PCA to study the influence of temperature on NIR spectra of water. Vib. Spectrosc. 2005, 39, 50–58. [Google Scholar] [CrossRef]
- Barros, A.S.; Pinto, R.; Bouveresse, D.J.-R.; Rutledge, D.N. Principal component transform—Outer product analysis in the PCA context. Chemom. Intell. Lab. Syst. 2008, 93, 43–48. [Google Scholar] [CrossRef]
- Di Natale, C.; Zude-Sasse, M.; Macagnano, A.; Paolesse, R.; Herold, B.; D’Amico, A. Outer product analysis of electronic nose and visible spectra: Application to the measurement of peach fruit characteristics. Anal. Chim. Acta 2002, 459, 107–117. [Google Scholar] [CrossRef]
- Jaillais, B.; Morrin, V.; Downey, G. Image processing of outer-product matrices–A new way to classify samples: Examples using visible/NIR/MIR spectral data. Chemom. Intell. Lab. Syst. 2007, 86, 179–188. [Google Scholar] [CrossRef]
- Maalouly, J.; Eveleigh, L.; Rutledge, D.N.; Ducauze, C.J. Application of 2D correlation spectroscopy and outer product analysis to infrared spectra of sugar beets. Vib. Spectrosc. 2004, 36, 279–285. [Google Scholar] [CrossRef]
- Cécillon, L.; Certini, G.; Lange, H.; Forte, C.; Strand, L.T. Spectral fingerprinting of soil organic matter composition. Org. Geochem. 2012, 46, 127–136. [Google Scholar] [CrossRef]
- Terra, F.S.; Viscarra Rossel, R.A.; Demattê, J.A.M. Spectral fusion by Outer Product Analysis (OPA) to improve predictions of soil organic C. Geoderma 2019, 335, 35–46. [Google Scholar] [CrossRef]
- Rossel, R.V.; Walvoort, D.; McBratney, A.; Janik, L.J.; Skjemstad, J. Visible, near infrared, mid infrared or combined diffuse reflectance spectroscopy for simultaneous assessment of various soil properties. Geoderma 2006, 131, 59–75. [Google Scholar] [CrossRef]
- Summers, D.; Lewis, M.; Ostendorf, B.; Chittleborough, D. Visible near-infrared reflectance spectroscopy as a predictive indicator of soil properties. Ecol. Indic. 2011, 11, 123–131. [Google Scholar] [CrossRef]
- Wang, S.; Guan, K.; Zhang, C.; Lee, D.; Margenot, A.J.; Ge, Y.; Peng, J.; Zhou, W.; Zhou, Q.; Huang, Y. Using soil library hyperspectral reflectance and machine learning to predict soil organic carbon: Assessing potential of airborne and spaceborne optical soil sensing. Remote Sens. Environ. 2022, 271, 112914. [Google Scholar] [CrossRef]
- Kopačková-Strnadová, V.; Rapprich, V.; McLemore, V.; Pour, O.; Magna, T. Quantitative estimation of rare earth element abundances in compositionally distinct carbonatites: Implications for proximal remote-sensing prospection of critical elements. Int. J. Appl. Earth Obs. Geoinf. 2021, 103, 102423. [Google Scholar] [CrossRef]
- Sun, W.; Liu, S.; Zhang, X.; Li, Y. Estimation of soil organic matter content using selected spectral subset of hyperspectral data. Geoderma 2022, 409, 115653. [Google Scholar] [CrossRef]
- Li, H.; Liang, Y.; Xu, Q.; Cao, D. Key wavelengths screening using competitive adaptive reweighted sampling method for multivariate calibration. Anal. Chim. Acta 2009, 648, 77–84. [Google Scholar] [CrossRef] [PubMed]
- Gholizadeh, A.; Borůvka, L.; Saberioon, M.; Vašát, R. Visible, near-infrared, and mid-infrared spectroscopy applications for soil assessment with emphasis on soil organic matter content and quality: State-of-the-art and key issues. Appl. Spectrosc. 2013, 67, 1349–1362. [Google Scholar] [CrossRef] [PubMed]
- Pal, M. Random forest classifier for remote sensing classification. Int. J. Remote Sens. 2005, 26, 217–222. [Google Scholar] [CrossRef]
- Figueiredo, E.M.; Ludermir, T.B. Investigating the use of alternative topologies on performance of the PSO-ELM. Neurocomputing 2014, 127, 4–12. [Google Scholar] [CrossRef]
- Han, F.; Yao, H.-F.; Ling, Q.-H. An improved evolutionary extreme learning machine based on particle swarm optimization. Neurocomputing 2013, 116, 87–93. [Google Scholar] [CrossRef]
- Zhao, G.; Shen, Z.; Miao, C.; Man, Z. On improving the conditioning of extreme learning machine: A linear case. In Proceedings of the 2009 7th International Conference on Information, Communications and Signal Processing (ICICS), Macau, China, 8–10 December 2009; pp. 1–5. [Google Scholar]
- Zhu, Q.-Y.; Qin, A.K.; Suganthan, P.N.; Huang, G.-B. Evolutionary extreme learning machine. Pattern Recognit. 2005, 38, 1759–1763. [Google Scholar] [CrossRef]
- You, X.; Yang, S. In Evolutionary Extreme Learning Machine–Based on Particle Swarm Optimization, Advances in Neural Networks–ISNN 2006. In Proceedings of the Third International Symposium on Neural Networks, Chengdu, China, 28 May 2006. [Google Scholar]
- Bao, N.; Liu, S.; Zhou, Y. Predicting particle-size distribution using thermal infrared spectroscopy from reclaimed mine land in the semi-arid grassland of North China. Catena 2019, 183, 104190. [Google Scholar] [CrossRef]
- Salisbury, J.W.; D’Aria, D.M. Emissivity of terrestrial materials in the 8–14 μm atmospheric window. Remote Sens. Environ. 1992, 42, 83–106. [Google Scholar] [CrossRef]
- Savitzky, A.; Golay, M.J. Smoothing and differentiation of data by simplified least squares procedures. Anal. Chem. 1964, 36, 1627–1639. [Google Scholar] [CrossRef]
- Stenberg, B.; Rossel, R.A.V.; Mouazen, A.M.; Wetterlind, J. Visible and near infrared spectroscopy in soil science. Adv. Agron. 2010, 107, 163–215. [Google Scholar]
- Ruff, S.W.; Christensen, P.R.; Barbera, P.W.; Anderson, D.L. Quantitative thermal emission spectroscopy of minerals: A laboratory technique for measurement and calibration. J. Geophys. Res. 1997, 102, 14899–14913. [Google Scholar] [CrossRef]
- Salvaggio, C.; Miller, C.J. Methodologies and protocols for the collection of midwave and longwave infrared emissivity spectra using a portable field spectrometer. In Proceedings of the Algorithms for Multispectral, Hyperspectral, and Ultraspectral Imagery VII, Orlando, FL, USA, 20 August 2001; pp. 539–548. [Google Scholar]
- Wold, S.; Martens, H.; Wold, H. The multivariate calibration problem in chemistry solved by the PLS method. In Matrix Pencils; Springer: Berlin/Heidelberg, Germany, 1983; pp. 286–293. [Google Scholar]
- Ben-Dor, E.; Chabrillat, S.; Demattê, J.A.M.; Taylor, G.; Hill, J.; Whiting, M.; Sommer, S. Using imaging spectroscopy to study soil properties. Remote Sens. Environ. 2009, 113, S38–S55. [Google Scholar] [CrossRef]
- Breiman, L. Random forests. Mach. Learn. 2001, 45, 5–32. [Google Scholar] [CrossRef] [Green Version]
- Huang, G.-B.; Zhu, Q.-Y.; Siew, C.-K. Extreme learning machine: A new learning scheme of feedforward neural networks. In Proceedings of the 2004 IEEE International Joint Conference on Neural Networks (IEEE Cat. No. 04CH37541), Budapest, Hungary, 25–29 July 2004; pp. 985–990. [Google Scholar]
- Eberhart, R.; Kennedy, J. A new optimizer using particle swarm theory. In Proceedings of the MHS’95, Sixth International Symposium on Micro Machine and Human Science, Nagoya, Japan, 4–6 October 1995; pp. 39–43. [Google Scholar]
- Kennedy, J.; Eberhart, R. Particle swarm optimization. In Proceedings of the ICNN’95 International Conference on Neural Networks, Perth, Australia, 27 November–1 December 1995; pp. 1942–1948. [Google Scholar]
- Silva, E.B.; Giasson, É.; Dotto, A.C.; Caten, A.t.; Demattê, J.A.M.; Bacic, I.L.Z.; Veiga, M.d. A regional legacy soil dataset for prediction of sand and clay content with VIS-NIR-SWIR, in southern Brazil. Rev. Bras. Cienc. Solo 2019, 43, 1–20. [Google Scholar] [CrossRef] [Green Version]
- Bellon-Maurel, V.; Fernandez-Ahumada, E.; Palagos, B.; Roger, J.-M.; McBratney, A. Critical review of chemometric indicators commonly used for assessing the quality of the prediction of soil attributes by NIR spectroscopy. TrAC Trends Anal. Chem. 2010, 29, 1073–1081. [Google Scholar] [CrossRef]
- Bishop, J.; Lane, M.; Dyar, M.; Brown, A. Reflectance and emission spectroscopy study of four groups of phyllosilicates: Smectites, kaolinite-serpentines, chlorites and micas. Clay Miner. 2008, 43, 35–54. [Google Scholar] [CrossRef]
- Bishop, J.L.; Pieters, C.M.; Edwards, J.O. Infrared spectroscopic analyses on the nature of water in montmorillonite. Clays Clay Miner. 1994, 42, 702–716. [Google Scholar] [CrossRef]
- Crowley, J.K. Visible and near-infrared (0.4–2.5 μm) reflectance spectra of playa evaporite minerals. J. Geophys. Res. 1991, 96, 16231–16240. [Google Scholar] [CrossRef]
- Crowley, J.; Williams, D.; Hammarstrom, J.; Piatak, N.; Chou, I.-M.; Mars, J. Spectral reflectance properties (0.4–2.5 μm) of secondary Fe-oxide, Fe-hydroxide, and Fe-sulphate-hydrate minerals associated with sulphide-bearing mine wastes. Geochemistry 2003, 3, 219–228. [Google Scholar] [CrossRef]
- Tan, W.; Qin, X.; Liu, J.; Michalski, J.; He, H.; Yao, Y.; Yang, M.; Huang, J.; Lin, X.; Zhang, C. Visible/near infrared reflectance (VNIR) spectral features of ion-exchangeable Rare earth elements hosted by clay minerals: Potential use for exploration of regolith-hosted REE deposits. Appl. Clay Sci. 2021, 215, 106320. [Google Scholar] [CrossRef]
- Clark, R.N.; King, T.V.; Klejwa, M.; Swayze, G.A.; Vergo, N. High spectral resolution reflectance spectroscopy of minerals. J. Geophys. Res. 1990, 95, 12653–12680. [Google Scholar] [CrossRef] [Green Version]
- Cloutis, E.A.; Hawthorne, F.C.; Mertzman, S.A.; Krenn, K.; Craig, M.A.; Marcino, D.; Methot, M.; Strong, J.; Mustard, J.F.; Blaney, D.L. Detection and discrimination of sulfate minerals using reflectance spectroscopy. Icarus 2006, 184, 121–157. [Google Scholar] [CrossRef]
- Yang, H.; Zhang, L.-F.; Huang, Z.-Q.; Zhang, X.-W.; Tong, Q.-X. Quantitative inversion of rock SiO2 content based on thermal infrared emissivity spectrum. Spectrosc. Spectr. Anal. 2012, 32, 1611–1615. [Google Scholar]
- Zhao, D.; Arshad, M.; Wang, J.; Triantafilis, J. Soil exchangeable cations estimation using Vis-NIR spectroscopy in different depths: Effects of multiple calibration models and spiking. Comput. Electron. Agric. 2021, 182, 105990. [Google Scholar] [CrossRef]
- Xu, D.; Chen, S.; Viscarra Rossel, R.A.; Biswas, A.; Li, S.; Zhou, Y.; Shi, Z. X-ray fluorescence and visible near infrared sensor fusion for predicting soil chromium content. Geoderma 2019, 352, 61–69. [Google Scholar] [CrossRef]
- Bao, N.; Liu, S.; Yang, T.; Cao, Y. Characterization and prediction of soil organic matter content in reclaimed mine soil using visible and near-infrared diffuse spectroscopy. Arid Land Res. Manag. 2021, 35, 1–18. [Google Scholar] [CrossRef]
- De Santana, F.B.; de Souza, A.M.; Poppi, R.J. Visible and near infrared spectroscopy coupled to random forest to quantify some soil quality parameters. Spectrochim. Acta Part A Mol. Biomol. Spectrosc. 2018, 191, 454–462. [Google Scholar] [CrossRef]
- Lee, S.; Choi, H.; Cha, K.; Chung, H. Random forest as a potential multivariate method for near-infrared (NIR) spectroscopic analysis of complex mixture samples: Gasoline and naphtha. Microchem. J. 2013, 110, 739–748. [Google Scholar] [CrossRef]
- Afanador, N.L.; Smolinska, A.; Tran, T.N.; Blanchet, L. Unsupervised random forest: A tutorial with case studies. J. Chemom. 2016, 30, 232–241. [Google Scholar] [CrossRef]
- Gambill, D.R.; Wall, W.A.; Fulton, A.J.; Howard, H.R. Predicting USCS soil classification from soil property variables using Random Forest. J. Terramechanics 2016, 65, 85–92. [Google Scholar] [CrossRef]
- Belgiu, M.; Drăguţ, L. Random forest in remote sensing: A review of applications and future directions. ISPRS J. Photogramm. Remote Sens. 2016, 114, 24–31. [Google Scholar] [CrossRef]












| Input Spectral Region | Tailings Content | Model | R2 | RMSE (%) | RPIQ | |
|---|---|---|---|---|---|---|
| VIS–NIR | 1365–1391 nm 1410–1623 nm | SiO2 | PLSR | 0.75 | 2.53 | 2.22 |
| RF | 0.86 | 1.51 | 4.15 | |||
| PSO–ELM | 0.87 | 1.49 | 3.91 | |||
| 1163–2499 nm | TFe | PLSR | 0.77 | 1.36 | 1.48 | |
| RF | 0.86 | 1.08 | 2.05 | |||
| PSO–ELM | 0.85 | 1.03 | 1.88 | |||
| TIR | 8–9.4 μm 10.7–12 μm | SiO2 | PLSR | 0.55 | 3.04 | 1.84 |
| RF | 0.67 | 2.49 | 2.52 | |||
| PSO–ELM | 0.60 | 2.88 | 1.99 | |||
| TFe | PLSR | 0.70 | 1.60 | 1.25 | ||
| RF | 0.54 | 1.88 | 1.18 | |||
| PSO–ELM | 0.62 | 1.83 | 1.14 | |||
| Fused | Bands of |r|≥ 0.80 | SiO2 | PLSR | 0.74 | 2.16 | 2.59 |
| RF | 0.95 | 0.97 | 6.49 | |||
| PSO–ELM | 0.94 | 1.32 | 2.33 | |||
| TFe | PLSR | 0.84 | 1.22 | 1.64 | ||
| RF | 0.91 | 0.96 | 2.31 | |||
| PSO–ELM | 0.89 | 1.14 | 1.75 | |||
| Augmentation | 1365–1391 nm 1410–1623 nm 8–9.4 μm 10.7–12 μm | SiO2 | PLSR | 0.74 | 2.18 | 1.89 |
| RF | 0.90 | 1.28 | 4.90 | |||
| PSO–ELM | 0.88 | 1.72 | 3.40 | |||
| 1163–2499 nm 8–9.4 μm 10.7–12 μm | TFe | PLSR | 0.82 | 1.17 | 2.11 | |
| RF | 0.87 | 1.10 | 2.02 | |||
| PSO–ELM | 0.86 | 1.07 | 1.52 | |||
Publisher’s Note: MDPI stays neutral with regard to jurisdictional claims in published maps and institutional affiliations. |
© 2022 by the authors. Licensee MDPI, Basel, Switzerland. This article is an open access article distributed under the terms and conditions of the Creative Commons Attribution (CC BY) license (https://creativecommons.org/licenses/by/4.0/).
Share and Cite
Bao, N.; Lei, H.; Cao, Y.; Liu, S.; Gu, X.; Zhou, B.; Fu, Y. Iron Ore Tailing Composition Estimation Using Fused Visible–Near Infrared and Thermal Infrared Spectra by Outer Product Analysis. Minerals 2022, 12, 382. https://doi.org/10.3390/min12030382
Bao N, Lei H, Cao Y, Liu S, Gu X, Zhou B, Fu Y. Iron Ore Tailing Composition Estimation Using Fused Visible–Near Infrared and Thermal Infrared Spectra by Outer Product Analysis. Minerals. 2022; 12(3):382. https://doi.org/10.3390/min12030382
Chicago/Turabian StyleBao, Nisha, Haimei Lei, Yue Cao, Shanjun Liu, Xiaowei Gu, Bin Zhou, and Yanhua Fu. 2022. "Iron Ore Tailing Composition Estimation Using Fused Visible–Near Infrared and Thermal Infrared Spectra by Outer Product Analysis" Minerals 12, no. 3: 382. https://doi.org/10.3390/min12030382
APA StyleBao, N., Lei, H., Cao, Y., Liu, S., Gu, X., Zhou, B., & Fu, Y. (2022). Iron Ore Tailing Composition Estimation Using Fused Visible–Near Infrared and Thermal Infrared Spectra by Outer Product Analysis. Minerals, 12(3), 382. https://doi.org/10.3390/min12030382
