Next Article in Journal
Considering Specific Ion Effects on Froth Stability in Sulfidic Cu-Ni-PGM Ore Flotation
Next Article in Special Issue
Vanadium: A Review of Different Extraction Methods to Evaluate Bioavailability and Speciation
Previous Article in Journal
Scale Effect of Filling on Overburden Migration in Local Filling Stope of Longwall Face in Steeply Dipping Coal Seam
Previous Article in Special Issue
Potential Loss of Toxic Elements from Slope Arable Soil Erosion into Watershed in Southwest China: Effect of Spatial Distribution and Land-Uses
 
 
Font Type:
Arial Georgia Verdana
Font Size:
Aa Aa Aa
Line Spacing:
Column Width:
Background:
Article

Distribution of Heavy Metals in the Commune of Coronel, Chile

1
Faculty of Engineering, Universidad Católica de la Santísima Concepción, Concepción 4090541, Chile
2
Centro de Investigación en Biodiversidad y Ambientes Sustentables (CIBAS), Universidad Católica de la Santísima Concepción, Concepción 4090541, Chile
3
Department of Plant Biology, Faculty of Biology, Universitat de Barcelona, 08028 Barcelona, Spain
*
Author to whom correspondence should be addressed.
Current Address: Graduate Program Department Industrial Engineering, Universidad Católica de la Santísima Concepción, Concepcion 4090541, Chile.
Minerals 2022, 12(3), 320; https://doi.org/10.3390/min12030320
Submission received: 23 December 2021 / Revised: 1 March 2022 / Accepted: 1 March 2022 / Published: 4 March 2022
(This article belongs to the Special Issue Concentration and Distribution of Heavy Metals in Soils)

Abstract

:
Anthropogenic activities often produce different emanations, some of them excessive, producing contamination of the soil, water, and/or air. This article analyzes soil conditions in Coronel, Chile, a commune with a large industrial presence, identifying the sources emitting potentially toxic elements, the degree of soil contamination, and the carcinogenic and non-carcinogenic risks in the area. Ninety-four samples in the study area were analyzed using different methods. Three factors were identified through a principal component analysis (PCA) that explain 83.27% of the variability of the elements. Four factors were identified through the positive matrix factorization (PMF) model, making it possible to identify the polluting sources according to the pattern of elements they contain. The sources of these factors were then identified. The most common elements in the soil with a particularly high degree of contamination are nickel, vanadium, and chromium, the latter of which being the element that poses the greatest carcinogenic and non-carcinogenic risk to children and adults. Additionally, the highest concentrations of chromium and vanadium were identified near industrial areas of the commune.

1. Introduction

Soil contamination is defined as the presence of elements that can change the quality of the soil and its function, and the water cycle, altering the habitat of various organisms, even making it harmful for humans if found in high concentrations [1]. Anthropogenic activities have the greatest impact on ecosystems due to emissions such as vehicular or industrial emissions, which are a source of potentially toxic elements including arsenic (As), cadmium (Cd), chromium (Cr), copper (Cu), nickel (Ni), lead (Pb), vanadium (V), and zinc (Zn).
Residential areas near industrial land are prone to the exposure to various sources of contamination due to the emissions generated. During the 20th century, the main productive activity in the commune of Coronel was coal mining, an activity that directly generates contamination in the immediate area as a result of the waste produced. At present, Coronel is home to a large number of industries and thermoelectric plants, which could be deteriorating the soil quality and continuously exposing the population to particulate matter, given their proximity to residential sectors.
Coal mining began in the area in the mid-19th century, supplying the ships that crossed the Strait of Magellan, later expanding its market within the country when the railroad lines were extended. The use of oil and electric energy caused affected demand for this resource, generating the gradual shutdown of the coal industry [2]. In 1987 the first group of companies was installed in the so-called Parque Empresarial Coronel, and from that point, Coronel grew into an industrial area with over 50 companies today. It is also the main seaport in the Biobío Region.
Identifying the cause of the imbalance of the natural concentrations of elements in the soil, or any other environment, is fundamental if mitigating action is to be taken. However, special care is required when working with concentrations in order to avoid errors of interpretation since, as mentioned by [3], compositional data does not belong to Euclidean space, therefore, statistical comparison tests based on Euclidean distances may produce errors. The main reason for this is the intrinsic constant sum constraint of compositional data. Therefore, when faced with this type of data, first they must be transformed, and then the appropriate multivariate methodology for unrestricted data vectors applied [4].
It is important to point out that only the relationships between the different parts are interpretable and not their origin or the processes that led them to have these observed concentrations. It is therefore necessary to use external variables.
Identifying the sources of emission is just one of many areas of interest when talking about contamination. We must also ask how severe the damage is and if there is a risk of exposure. To answer these questions, first we have to identify and differentiate the concentrations in the soil that are natural from those that are not. This leads to the concept of threshold or background values, which is essential in environmental geochemistry, allowing us to distinguish between natural concentrations of trace elements (TE) and anthropogenic contamination [5]. Based on this, pollution and health risk indicators have been established and will be further developed further on.
Therefore, the objectives of this study are (a) to determine the soil contamination and to identify sources of Cd, Cu, Cr, Ni, V, and Zn in soils in the commune of Coronel and (b) to evaluate the carcinogenic and non-carcinogenic risks to children and adults of those potentially toxic elements.

2. Materials and Methods

2.1. Study Area

The research area is Coronel, Chile, located 533 km south of the capital, Santiago. It is bounded on the west by the Pacific Ocean, on the east by the Coastal Batholith of central Chile and the Biobío River, on the north by the commune of San Pedro de la Paz, and on the south by the communes of Lota and Santa Juana. Coronel has a population of 116,262 and a superficial area of 279 km2 [6].
Figure 1 shows the geographic area and the points where data sampling was performed. The climate in the area is mostly dry and clear in summer, with an average temperature of 15 °C and a maximum temperature of 26 °C, while in the winter, it is cold, rainy, and partly cloudy, with an average temperature of 10 °C and a minimum of 0.4 °C according to data recorded by the air quality and meteorological parameters monitoring stations located in Coronel [7].

2.2. Geological Outline

Coronel’s geology is composed of a series of geological units whose ages range from the Upper Paleozoic to the Holocene. The Upper Paleozoic units constitute the basement of the study area, with low-pressure, high-temperature metamorphic rocks such as schists, which progressively change to hornfels and migmatites. The Eocene material includes a sequence of sandstones, siltstones, and clays of the Curanilahue Fm. The upper and lower members of Curanilahue Fm. are of continental origin with coal seams, while the intermediate members are sandstones of marine origin. Finally, the granodiorite and unconsolidated gray sand makes up the fluvial deposits of the present-day terraces. For more details about the geology of Coronel see [8].

2.3. Soil Analysis

The concentrations of the studied elements for this study were obtained from a data base provided by the Ministry of the Environment [8]. The sampling plan consisted of the extraction of composite samples from 5 individual samples of surface soil (0 to 15 cm), focused on areas of interest based on a grid of 600 × 600 m2 in areas of residential and industrial use. It also considers additional samples in educational establishments and background areas (without direct anthropic intervention).
Ninety-four samples were taken and classified as follows: 40 residential areas, 32 industrial areas, 13 educational establishments, and 9 background areas. Quality control and assurance procedures were applied, and the samples were taken in duplicate to be sent to two different laboratories; Agriquem América S.A and ALS S.A. The analysis of the metals to determine concentrations was carried out using the EPA 200.8 method, and an inductively coupled plasma optical emission spectroscopy (ICP-OES) (Spectro Ciro Vision, EVISA, Berlin, Germany) was used. Numerous samples show concentrations of As, Pb, and Hg under the detection limit and were not appropriate for statistical analysis. The detection limits for the six elements under study were: Cd 0.5 mg × kg−1, Cr 10 mg × kg−1, Cu 10 mg × kg−1, Ni 5 mg × kg−1, V 20 mg × kg−1 and Zn 5 mg × kg−1.

2.4. Grouping of Elements

The determination of the sources of contamination of the TE was carried out by grouping elements by applying different statistical methods. The multivariate statistics of the concentrations through PCA and cluster analysis (CA), allowing correlations to be identified and grouped according to their variability and the positive matrix factorization (PMF) method, applied with the PMF software (version 5.0, EPA, Washington, DC, USA), allows the determination of the number of factors that may be causing the variability in the observations and to assign a percentage of incidence of each element in each factor. Thus, it is possible to characterize the factor and attribute it to a specific source through the metals that have the greatest prevalence in the factor. For more details about PMF, see [9,10,11].

2.5. Threshold Values

The threshold value is an essential concept in environmental geochemistry. It establishes the limit or ultimate background value, and any values higher than this represent an anomaly [5]. The calculation of threshold values was performed through the comparison of three methods. First, the MAD (Median Absolute Deviation) method, which uses the median + 2 × MAD [12,13,14]. The second, the upper whisker, which consists of using the upper whisker of a box plot calculated by the third quartile +1.5 interquartile range (IQR) [15], while the third method considers the 95th percentile value [16,17]. The method that generated the lowest background values was selected since a lower threshold identifies a greater number of atypical values, considering that outliers correspond to elevated concentrations of some metals and, therefore, presents a greater risk to health, as long as the measurement is correct.

2.6. Ecological Indexes

The contamination index, the enrichment factor, and the contamination factor can be used to evaluate the condition of contamination and to estimate the impact of anthropogenic activities [18]. They can be calculated from the background concentrations of each element as follows:
Enrichment Factor
E F = C i   C r e f C o i C o r e f        
where Ci is the concentration of the element in the sample, Coi is the corresponding background value, Cref is the concentration of the reference element in the sample, and Coref is the background value of that element (all in mg × kg−1).
Contamination Factor
C F = C i C o i  
with Ci and Coi as defined above.
Using the contamination factor, the degree of contamination (CDEG), which is the sum of the individual factors, is defined as follows
C D E G = C F
The classification for the degree of contamination proposed by [19] was based on eight elements. As this study analyzes only six contaminants, a modification was made according to that proposed by [20].
The geoaccumulation index (Igeo) is another index that is used in this study to determine the degree of soil contamination, which is calculated as
I G E O = L o g 2 ( C i / 1.5 C o i )
Thus, the contamination and ecological indices that will give the degree of soil contamination are determined as shown in Table S1, (see Supplementary Materials for further details).

2.7. Carcinogenic and Non-Carcinogenic Risks

To determine the risk to human health, certain considerations need to be considered. Firstly, the carcinogenic and non-carcinogenic risks. Secondly, the different pathways of exposure to heavy metals (HM). Finally, the physical differences between the subjects being exposed. This study considers three pathways of exposure to trace metals: ingestion, dermal absorption, and inhalation, as well as establishing whether the subjects are adults or children. For this reason, it is necessary to start by determining human intake by ingestion (Ds-ing), dermal absorption (DS-Derm), and inhalation (DS-inh), which are calculated as follows [21]
D S - i n g = C s × I n g R × E F × E D B W × A T 10 6
D S - D e r m = C s × S A × S A F × A B S d × E F × E D B W × A T 10 6
D S - i n h = C s × I n h R × E F × E D P E T × B W × A T
where CS is the total TE concentration in soil (mg × kg−1); IngR = ingestion rate (mg × day−1); EF = exposure frequency (dayyear−1); ED = exposure duration (year); BW = body weight (kg); AT = average exposure time (day), calculated as AT = ED × 365; SA = surface area (cm2); SAF = skin adhesion factor (mg × cm−2); ABSd = dermal absorption factor (dimensionless); InhR = inhalation rate (m3 × day−1); PEF = particulate emission factor (m3 × kg−1).

2.7.1. Non-Carcinogenic Risk

From the above, the non-carcinogenic risk of each element of the sample can be obtained as follows
H I i = H Q i n g + H Q D e r m + H Q I n h
with
H Q I n g = D S - I n g / R f D o
H Q D e r m = D S - D e r m / R f D D e r m
H Q I n h = D S - I n h / R f D I n h
and
R f D D e r m = R f D o × A B S G I
R f D I n h = R f C × 20 m 3   / d a y B W
where RfDo is the oral reference dose (i.e., by soil ingestion), RfDDerm soil dermal absorption reference dose, RfDInh airborne soil particulate inhalation reference dose (all in mg × kg−1 × day−1), and RfC reference concentration (mg × m−3).
Finally, the cumulative systemic risk from exposure to all HMs is given by
H I S = H I i
HQ and/or HIi values higher than one indicate significant risk to human health.
The factors and values used in this work to calculate DS-Ing, DS-Derm, and DS-Inh in adults and children are shown in Table S2 [22].

2.7.2. Carcinogenic Risk

The carcinogenic risk (CRSi) is given by the following equation, which also considers the three pathways of intake as follows
C R S i = C R I n g + C R D e r m + C R I n h
where CRing, CRDerm, CRinh are the cancer risks related to each pathway (dimensionless) and are obtained from the relation
C R I n g = D S - I n g × O S F
C R D e r m = D S - D e r m × D S F  
C R I n h = D S - I n h × I S F
with DIng, DDerm, and DInh as previously determined; OSF is the oral slope factor (mg TE kg−1 BW day−1)−1; DSF is the dermal slope factor (mg T E kg−1 BW day−1)−1; ISF is the inhalation slope factor (mg TE kg−1 BW day−1)−1, determined from
D S F = O S F / A B S G I
I S F = U R × B W × 10 3 × ( u g / m g ) / 20 ( m 3 / d a y )
As with the non-carcinogenic risk, the cumulative or total carcinogenic risk is calculated as
C R S = C R S i
CRSi or CRi > 1.0 × 10−4 indicates significant carcinogenic risk to human health, while values less than 1.0 × 10−6 indicate that exposure is not harmful [23].
Table S3 shows the values of the factors used in the carcinogenic risk calculations [24,25,26,27].

3. Results and Discussion

3.1. Univariate Data Analysis

A statistical summary of the concentrations of Cd, Cr, Cu, Ni, V, and Zn is shown in Table 1 showing the average content of the metals in the soil, the standard deviation, coefficient of variation, skewness, and median and quartiles for each element. We can see that the average concentration of V is the highest (114 mg × kg−1). However, the coefficient of variation (CV) for this element, Cr, Cu, and Ni exceeds 80%, so the average is not representative of the data for these assemblages. Cd has a low coefficient of variation (12%), which could indicate that it is an element that is naturally present. The world soil average concentrations [28] are shown as reference values.
The average concentrations of Cd, Ni, and V in this study are within the highest reported among those presented in Table 2 for urban soils, while Cu presents the lowest value. Natural composition of the soil and anthropic activities carried out in the area could explain the great difference between metal concentrations.
The mean concentration of Cd in this study was higher than all the mean values shown in Table 2. Meanwhile, Ni reports a mean value similar to the studies conducted in Talcahuano [29], Hualpén [30], and Concepción [31], all coastal cities and communes belonging to the same province of this study and with the presence of industries such as fishing, steelmaking, refineries, and cement, among others. The mean Zn concentration was the lowest among those observed, with a value similar to Concepción.
In addition, an exploratory data analysis was performed by generating EDA plots for the concentrations of each element. These diagrams display the distribution of the data in the form of histograms and show the presence of outliers in boxplots and scatter plots.
Table 2. Median concentrations (mg × kg−1) reported in publications on urban soils in Chilean cities.
Table 2. Median concentrations (mg × kg−1) reported in publications on urban soils in Chilean cities.
CitySamplesCdCrCuNiVZnReference
Talcahuano76ND39.151.231.9ND246[29]
Tomé100.324.131.610.9ND65.1[31]
Concepción150.317.026.524.1ND50.0[31]
Quintero y Puchuncaví5650.26ND13.512.8157136[32]
Arica400ND5.6174.742130[14]
Hualpén51ND1524339891.8[30]
Taltal1250.6419.3766.821.1120.97224.1[33]
Coronel943.113.116.524.695.150.6This study
As observed in Figure S1 (see Supplementary Materials for further details), most of the elements—with the exception of Cd—have an asymmetric, unimodal distribution, and a clear leftward bias. Cadmium, on the other hand, has lesser unimodal asymmetry and its data is more centrally distributed. It is observed in the boxplot and scatter plot the presence of atypical data for each of the elements, extreme values that are necessary to identify and avoid errors [34].
Additionally, Table 3 shows the descriptive statistics of the elements studied separated by soil use as residential or industrial. Vanadium stands out, with a higher mean concentration in industrial versus residential areas. In contrast, the average concentration of Zn tends to be higher in residential areas.

3.2. Multivariate Analysis

Principal component analysis is a tool that allows us to group the original variables, possibly correlated, generating new uncorrelated variables. In this way, an attempt is made to describe a data set in terms of new, uncorrelated variables (“components”). The components are ordered according to the amount of original variance they describe, making the technique useful for reducing the dimensionality of a data set. To achieve this, since we are dealing with compositional data, it was first necessary to perform the closure of the data, generating vectors of observations that maintain the sum constant and preserving the original proportions between the variables.
Table 4 shows that three components explain more than 80% of the variability. The elbow rule is a widely used graphical method to determine the number of components to be selected (Figure S2). In addition, loading elements with absolute values higher than 0.35 were considered to describe the principal composition of each factor.
Principal component one (PC1) explains 49.3% of the variance with high loadings of Ni and Cr, both elements are usually related to the parent material so this component may be linked to a natural factor at the time of soil formation [35,36]. Figure 2 clearly shows how these two elements are very close to the axis of PC1, and clear isolation between Ni and the other elements can be seen. Principal component two (PC2) explains approximately 20% of the total variance, highlighting V with a negative charge and Cu and Zn with positive charges, these last two elements are also grouped in the cluster analysis Figure 3. Finally, principal component three (PC3) represents 13.97% of the variance, with Cr and Zn having positive values and Cd, Cu, and V having similar negative charges. Chromium, Cu, V, and Zn show a high load in two PCs, indicating two sources.
The variation matrix of the closed data was transformed into a distance matrix using the ward.D method. A dendrogram was generated (Figure 3) for the cluster analysis in which two groups composed of Cd–V–Cr and Cu–Zn can be seen at the second level. Nickel was finally incorporated in a third level, corresponding to the fact that it is the only element that had a significant loading value in only the first principal component and as seen in the biplot. Therefore, it is possible to attribute it to only one source of origin. In contrast, Cr, Cu, V, and Zn could come from more than one source.

3.3. Positive Matrix Factorization

Different runs were performed in PMF to find the best solution. It was verified that with four factors, the model reaches a good solution since with five factors the improvement of the Q value is no longer significant. The distribution of the residuals of each variable (TE concentration) of the model is normally distributed with its deviations within ±2σ, reaffirming the solution (Figure 4).
From Table 5, it can be seen that factor 1 mainly contributes to the presence of Ni (89.3%) and, in second place, to the presence of Cd and V (20.4% and 34.9%, respectively). The highest concentrations generated by this factor are Ni and V (Table 6). It has been mentioned that elements such as Ni, V, Co, Cr, and Cu may have a geogenic origin [37]. Therefore, this factor could be related to a natural source.
Copper is mainly contributed to by factor 2 (with 73.8%), followed by Zn and Cr (33.7% and 32.0%, respectively). Traffic contributes to Cr and Cu concentrations. Additionally, Cu and Zn are wear indicators for brakes and tires [38]. Another study shows that exhaust emissions and brake wear contribute to the presence of Cu [39]. As a result, this second factor can be interpreted as a vehicular source.
Factor 3 mainly contributes to the concentrations of Cd, Cr, and V (48.6%, 40.4%, and 44.1%, respectively) and to a minor extent to Cu (20.6%) in the soil. The predominant elements in this factor are V (78.2%) followed by Cu (11.3%). Diesel consumption and petrochemical plants are often responsible for V contamination [40].
The chemical composition of coal ash causes high quantities of trace elements such as V, Cu, and Cr in the soil [41]. As mentioned above, there are coal and diesel thermoelectric plants close to residential areas in the commune of Coronel. Their locations coincide with the distribution and points of highest concentration of V, so this factor could be related to the generation of energy produced by thermoelectric plants. More detailed studies are necessary to determine the source of V.
The contribution of factor 4 to the presence of Zn in the soils in Coronel is 65.5%. It also considers contributions to Cd, Cr, Ni, and V (25.7%, 13.7%, 10.7%, and 16.2%, respectively). Zinc is an element used for the coating and alloying of different materials given its versatility [42]. Chromium is a metal widely used in metal alloys for its corrosion resistance [43]. Similarly, vanadium is used in metallurgy as an alloying element [44]. It was shown that compost from urban waste produces a high concentration of Zn and Cd [45]. Consequently, factor 4 is a mixed source composed of different origins such as dockyards, workshops, landfills, dumps, and micro-dumps, among others.

3.4. Threshold Values and Ecological Indices

Three methods were used to determine the threshold and background values for each element studied. As mentioned above, the lower the threshold value, the greater the number of outliers identified and, as a precautionary principle, the higher the concentrations, the greater the risk there is to health.
Table 7 shows the results obtained from the application of each method for each element under study. Of the different values provided, the MAD method delivers the lowest threshold value in all cases.
The threshold value is not only a value used to establish a reference or limit to differentiate high concentrations from “normal” ones, considering that the natural presence of any element varies according to the type of soil under study, but is also used to calculate ecological indices, such as those presented in this article. In this way, it is possible to identify areas that could be affected by external factors.
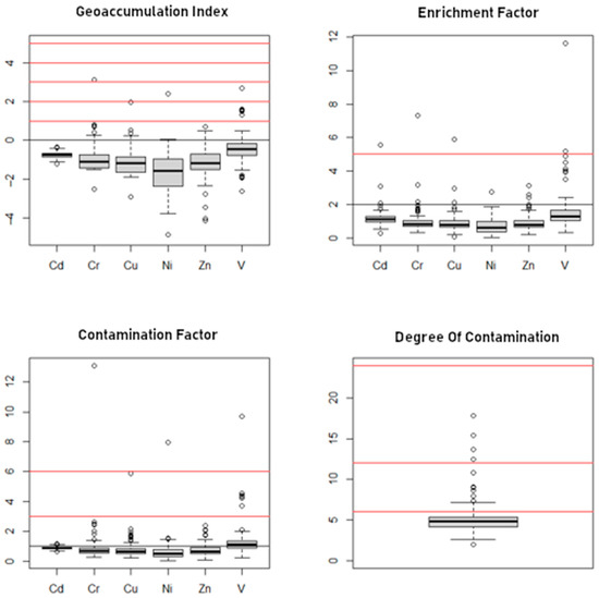
Figure 5 shows the boxplots of each ecological index for the different elements under study, from which we can highlight the following:
  • The geoaccumulation index shows that Cr presents a value that indicates a highly contaminated soil, followed by elements such as Ni and V with moderate to very high contamination.
  • The enrichment factor shows a significant enrichment of Cd, Cr, Cu, and V, with V having the highest number of moderate values.
  • As for the contamination factor, Cr, Ni, and V stand out with a particularly high contamination value. Cu and V also show high values.
  • According to the values obtained for CDEG, four values describe considerable contamination, followed by thirteen soil samples showing moderate contamination.

3.5. Human Health Risk

Carcinogenic and non-carcinogenic risk indicators are established for both children and adults [21].
For the non-cancer risk to children (Figure 6a), most of the sample concentrations are below the significant risk limit, with the exception of one observation for Cr and V. The sum of the total risk for each sample is also within the limit with the exception of four samples. For the non-carcinogenic risk in adults (Figure 6b), all elements are within the safe limit, as is the total sum risk, so there would be no non-carcinogenic risk for adults in the commune. Vanadium is the element that contributes the most to the non-carcinogenic risk, both in children and adults. Chromium presents some degree of carcinogenic risk, although not significant (Figure 6c). Only one observation has a significant risk (>1.0 × 10−4) for this element, but, overall, the values are below the average of the risk interval. The values for the other elements indicate that no harmful exposure is present.
In the case of carcinogenic risk in adults (Figure 6d), it is similar to that in children, although with lower values. All elements, with the exception of Cr, are below the carcinogenic risk limits. Therefore, Cr is the element that contributes most to the total carcinogenic risk in adults and children, with all of its observations above the non-significant risk limit. Future research should determine the bioavailable fraction as the amount of chemicals that could be assimilated by the human body from the PTE in soils.

3.6. Spatial Distribution

ArcGIS is a global geographic information system platform, which uses one of the most advanced spatial interpolation techniques, Kriging, to estimate the spatial distribution and properties of the soil [46]. The software allows the user to geographically locate each observed concentration and generate a hotspot map to compare the distribution of different elements in the studied area.
This functionality was used to present the concentrations of Cd, Cr, Cu, Ni, V, and Zn (Figure 7) using the ordinary Kriging method in version 10.5 of ArcGIS. The ranges were divided into the 25th, 50th, 75th, 90th, and 95th percentiles.
Figure 7 shows that the distribution of Cd in the area has a higher concentration in the central coastal zone of the commune, where a large number of industries are located, such as fishing, food production, mining, landfills and/or dumps, and power generation plants (Figure 8).
Chromium tends to have a higher concentration towards the southeast portion of the commune, while it is lower in the central coastal zone. This coincides with the predominance in the zone of sand and aggregate extraction. Copper has a similar distribution to Zn with higher concentration towards the south of the commune. The area with the highest concentration is in the southern coastal sector, corresponding to the port of Coronel, where there is a strong presence of port companies and fishing, in addition to two thermoelectric plants. The highest concentrations of Ni are found in the north of the commune where the industrial zones are located, with thermoelectric plants, shipyards, workshops, food production, and businesses related to the logistics and transport and timber industries. The granodiorite of the local rocks could include Ni [47]. The granodiorite in Coronel has concentrations of Ni and V, as reported in [48]. Finally, the distribution of V is concentrated in two places: the northern coast, where the industrial zones are located, and the central–south coast of the commune, where coal mining was a major activity during the last century and is today home to a range of industries including electricity generation. As noted in the geology description, the study area has coals seams and it pointed out that carbonaceous rocks have shown an accumulation of V [49].

4. Conclusions

This study analyzed different aspects of heavy metal contamination in the commune of Coronel, Chile. The results of the statistical analysis and PMF showed that the presence of Ni in the area corresponds to a geogenic factor, while V concentrations can be attributed to two sources: (a) it could be from the presence of power generation plants or (b) of geogenic origin. In addition, anthropogenic activities influence the variation in elements such as Cd, Cr, Cu, and Zn. Four factors were determined with PMF. Factor 1 represented by a geogenic origin was composed mainly of Ni and V. Factor 2 represented by vehicular emissions with Cu, Cr, and Zn. Factor 3 could be attributed to power generation from thermoelectric plants, and Factor 4 attributed to a mixed source from various origins. The soil presented mostly moderate contamination (60.6% of the samples), with specific areas having considerable contamination, mainly attributable to the presence of vanadium and cadmium, both elements linked to emissions from industrial sources. This degree of contamination does not present a systematic or carcinogenic health risk in adults, but children are more prone to suffer from non-carcinogenic diseases. Finally, this work provides information that may be of interest to many researchers and policy makers, mainly in the implementation of public policies on the control and measurement of heavy metals.

Supplementary Materials

The following are available online at https://www.mdpi.com/article/10.3390/min12030320/s1, Figure S1: Edaplots of Cd, Cr, Cu, Ni, V and Zn concentrations in mg/kg, Figure S2: Cumulative variance explained by component, Table S1: Classification of soil contamination according to contamination indexes, Table S2: Values of the factors used in the equations referred to intake, Table S3: Factos used for the calculation of carcinogenic risk.

Author Contributions

Conceptualization, P.T., O.C., J.M. and N.R.; methodology, P.T., J.M., O.C. and N.R.; software, P.T., J.M. and N.R.; investigation, P.T., O.C., J.M. and N.R.; data curation, P.T., O.C. and J.M.; writing—original draft preparation, J.M.; writing—review and editing, P.T., O.C., J.M. and N.R.; project administration, P.T., O.C., J.M. and N.R. All authors have read and agreed to the published version of the manuscript.

Funding

This research received no external funding.

Data Availability Statement

The data that support the findings of this work are available from the corresponding author (O.C.) upon request.

Acknowledgments

We thank the anonymous reviewers for their careful reading of our manuscript and their comments, which have greatly improved this manuscript.

Conflicts of Interest

The authors declare no conflict of interest.

References

  1. Sun, Y.; Li, H.; Guo, G.; Semple, K.T.; Jones, K.C. Soil contamination in China: Current priorities, defining background levels and standards for heavy metals. J. Environ. Manag. 2019, 251, 109512. [Google Scholar] [CrossRef] [PubMed]
  2. Memoria Chilena, Biblioteca Nacional de Chile, [En Línea]. Available online: http://www.memoriachilena.gob.cl/602/w3-article-734.html (accessed on 3 April 2021).
  3. Aitchison, J. The Statistical Analysis of Compositional Data; Chapman and Hall: London, UK, 1986; p. 416. [Google Scholar]
  4. Reyment, R.A. On stability of compositional canonical variate vector components. Geol. Soc. Lond. Spec. Publ. 2006, 264, 59–66. [Google Scholar] [CrossRef] [Green Version]
  5. Reimann, C.; de Caritat, P. Establishing geochemical background variation and threshold values for 59 elements in Australian surface soil. Sci. Total Environ. 2017, 578, 633–648. [Google Scholar] [CrossRef] [PubMed] [Green Version]
  6. Instituto Nacional de Estadistica Chile. Resultados Censo 2017. 2017. [En Línea]. Available online: http://resultados.censo2017.cl/Region?R=R08 (accessed on 28 March 2021).
  7. Ecoronel. [En Línea]. Available online: http://www.ecoronel.cl/atlas-ambiental-de-coronel/medio-fisico/clima-comunal/ (accessed on 3 April 2021).
  8. IdeAmbiente. Sistema Nacional de Información Ambiental. 2017; [En Línea]. Available online: http://catalogador.mma.gob.cl:8080/geonetwork/srv/spa/resources.get?uuid=45818b85-2511-49ae-aef0-69250c5b05ea&fname=Informe%20Final_Coronel_2017.pdf&access=public (accessed on 28 March 2021).
  9. Comero, S.; Capitani, L.; Gawlik, B.M. Positive Matrix Factorisation (PMF). JRC Sci. Technol. Rep. 2009, 59, 3–59. [Google Scholar]
  10. Paatero, P.; Tapper, U. Analysis of different modes of factor analysis as least squares fit problems. Chemom. Intell. Lab. Syst. 1993, 18, 183–194. [Google Scholar] [CrossRef]
  11. Hopke, P.K. A guide to positive matrix factorization. Workshop UNMIX PMF Appl. PM2 2000, 5, 600. [Google Scholar]
  12. Reimann, C.; Filzmoser, P.; Garrett, R.G. Background and threshold: Critical comparison of methods of determination. Sci. Total Environ. 2005, 346, 1–16. [Google Scholar] [CrossRef]
  13. Teng, Y.; Ni, S.; Wang, J.; Zuo, R.; Yang, J. A geochemical survey of trace elements in agricultural and non-agricultural topsoil in Dexing area, China. J. Geochem. Explor. 2010, 104, 118–127. [Google Scholar] [CrossRef]
  14. Tume, P.; Roca, N.; Rubio, R.; King, R.; Bech, J. An assessment of the potentially hazardous element contamination in urban soils of Arica, Chile. J. Geochem. Explor. 2018, 184, 345–357. [Google Scholar] [CrossRef]
  15. Jarva, J.; Tarvainen, T.; Reinikainen, J.; Eklund, M. TAPIR-Finnish national geochemical baseline database. Sci. Total Environ. 2010, 408, 4385–4395. [Google Scholar] [CrossRef]
  16. Johnson, C.C.; Ander, E.L.; Cave, M.R.; Palumbo-Roe, B. Normal background concentrations (NBCs) of contaminants in English soils: Final project report. Br. Geol. Surv. 2012; unpublished. [Google Scholar]
  17. Ander, E.L.; Johnson, C.C.; Cave, M.R.; Palumbo-Roe, B.; Nathanail, C.P.; Lark, R.M. Mathodology for the determination of normal background concentrations of contaminants in English soil. Sci. Total Environ. 2013, 454, 604–618. [Google Scholar] [CrossRef] [PubMed] [Green Version]
  18. Loska, K.; Wiechula, D.; Korus, I. Metal contamination of farming soils affected by industry. Environ. Int. 2004, 30, 159–165. [Google Scholar] [CrossRef]
  19. Hakanson, L. An ecological risk index for aquatic pollution control a sedimentological approach. Water Res. 1980, 14, 975–1001. [Google Scholar] [CrossRef]
  20. Zhang, J.; Deng, H.; Wang, D.; Chen, Z.; Xu, S. Toxic heavy metal contamination and risk assessment of street dust in small towns of Shanghai suburban area, China. Environ. Sci. Pollut. Res. 2013, 20, 323–332. [Google Scholar] [CrossRef]
  21. USEPA. Supplemental Guidance for Developing Soil Screening Levels for Superfund Sites; USEPA: Washington, DC, USA, 2002.
  22. USEPA. Dermal Exposure Assessment: Principles and Applications; EPA/600/6-88/005Cc; Office of Health and Environmental Assessment: Washington, DC, USA, 1992.
  23. USEPA. Role of the Baseline Risk Assessment in Superfund Remedy Selection Decisions; USEPA: Washington, DC, USA, 1991.
  24. EPA. Regional Screening Levels (RSLs) Generic Tables; EPA: Washington, DC, USA, 2020.
  25. EPA. Risk Assessment Guidance for Superfund. Volume I: Human Health Evaluation Manual (Part E, Supplemental Guidance for Dermal Risk Assessment); Environmental Protection Agency: Washington, DC, USA, 2004.
  26. RAIS. The Risk Assessment Information System; Toxicity Profiles RAGs a Format for Copper-CAS Number 7440508; RAIS: Washington, DC, USA, 2020. Available online: https://rais.ornl.gov/tox/profiles/copper_ragsa.html (accessed on 25 March 2021).
  27. Stern, A. A quantitative assessment of the carcinogenicity of hexavalent chromium by the oral route and its relevance to human exposure. Environ. Res. 2010, 110, 798–807. [Google Scholar] [CrossRef]
  28. Kabata-Pendias, A. Trace Elements in Soils and Plants, 4th ed.; CRC Press: Boca Raton, FL, USA, 2011. [Google Scholar]
  29. Tume, P.; King, R.; González, E.; Bustamante, G.; Reverter, F.; Roca, N.; Bech, J. Trace element concentrations in schoolyard soils from the port city of Talcahuano, Chile. J. Geochem. Explor. 2014, 147, 229–236. [Google Scholar] [CrossRef]
  30. Tume, P.; González, E.; Reyes, F.; Fuentes, J.P.; Roca, N.; Bech, J.; Medina, G. Sources analysis and health risk assessment of trace elements in urban soils of Hualpen, Chile. Catena 2019, 175, 304–316. [Google Scholar] [CrossRef]
  31. Rodríguez-Oroz, D.; Vidal, R.; Lambert, F.; Quiero, F. Metal concentrations and source identification in Chilean public children’s playgrounds. Environ. Monit. Assess. 2018, 190, 703. [Google Scholar] [CrossRef]
  32. Tume, P.; Barrueto, K.; Olguin, M.; Torres, J.; Cifuentes, J.; Ferrano, F.; Roca, N.; Bech, J.; Cornejo, O. The influence of the industrial area on the pollution outside its borders: A case study from Quintero and Puchuncavi districts, Chile. Environ. Geochem. Health 2020, 42, 2557–2572. [Google Scholar] [CrossRef]
  33. Reyes, A.; Thiombane, M.; Panico, A.; Daniele, L.; Lima, A.; di Bonito, M.; De Vivo, B. Source patterns of potentially toxic elements (PTEs) and mining activity contamination level in soils of Taltal city (northern Chile). Environ. Geochem. Health 2020, 42, 2573–2594. [Google Scholar] [CrossRef]
  34. Thiombane, M.; Zuzolo, D.; Cicchella, D.; Albanese, S.; Lima, A.; Cavaliere, M.; De Vivo, B. Soil geochemical follow-up in the Cilento World Heritage Park (Campania, Italy) through exploratory compositional data analysis and C-A fractal model. J. Geochem. Explor. 2018, 189, 85–99. [Google Scholar] [CrossRef]
  35. Tanić, M.N.; Ćujić, M.R.; Gajić, B.A.; Daković, M.Z.; Dragović, S.D. Content of the potentially harmful elements in soil around the major coal-fired power plant in Serbia: Relation to soil characteristics, evaluation of spatial distribution and source apportionment. Environ. Earth Sci. 2018, 77, 1–14. [Google Scholar] [CrossRef]
  36. Xiao, R.; Wang, S.; Li, R.; Wans, J.J.; Zhang, Z. Soil heavy metal contamination and health risks associated with artisanal gold mining in Tongguan, Shaanxi, China. Ecotoxicol. Environ. Saf. 2017, 141, 17–24. [Google Scholar] [CrossRef] [PubMed]
  37. Jiang, H.-H.; Cai, L.-M.; Wen, H.-H.; Luo, J. Characterizing pollution and source identification of heavy metals in soils using geochemical baseline and PMF approach. Sci. Rep. 2020, 10, 2045–2322. [Google Scholar] [CrossRef] [Green Version]
  38. Fomba, K.W.; Pinxteren, V.D.; Müller, K.; Spindler, G.; Herrmann, H. Assessment of trace metal levels in size-resolved particulate matter in the area of Leipzig. Atmos. Environ. 2018, 176, 60–70. [Google Scholar] [CrossRef]
  39. van der Gon, H.D.; Hulskotte, J.; Visschedijk, A.; Schaap, M. A revised estimate of copper emissions from road transport in UNECE-Europe and its impact on predicted copper concentrations. Atmos. Environ. 2007, 41, 8697–8710. [Google Scholar] [CrossRef]
  40. Querol, X.; Viana, M.; Alastuey, A.; Amato, F.; Moreno, T.; Castillo, S.; Pey, J.; de la Rosa, J.; de la Campa, A.S.; Artiñano, B.; et al. Source origin of trace elements in PM from regional background, urban and industrial sites of Spain. Atmos. Environ. 2007, 41, 7219–7231. [Google Scholar] [CrossRef]
  41. Ruhl, L.S. Geochemical and Isotopic Characterization of Coal Combustion Residuals: Implications for Potential Environmental Impacts. Doctoral Dissertation, Duke University, Durham, NC, USA, 2012. [Google Scholar]
  42. Lapushkina, E.; Yuan, S.; Mary, N.; Adrien, J.; Ogawa, K.; Normand, B. Contribution in optimization of Zn Cold-sprayed coating dedicated to corrosion applications. Surf. Coat. Technol. 2020, 400, 126193. [Google Scholar] [CrossRef]
  43. Wang, X.-Z.; Fan, H.-Q.; Muneshwar, T.; Cadien, K.; Luo, J.-L. Balancing the corrosion resistance and through-plane electrical conductivity of Cr coating via oxygen plasma treatment. J. Mater. Sci. Technol. 2021, 61, 75–84. [Google Scholar] [CrossRef]
  44. Larsson, M.A.; Baken, S.; Gustafsson, J.P.; Hadialhejazi, G.; Smolders, E. Vanadium bioavailability and toxicity to soil microorganisms and plants. Environ. Toxicol. Chem. 2013, 32, 2266–2273. [Google Scholar] [CrossRef] [Green Version]
  45. Rosal, A.; Pérez, J.P.; Arcos, M.A.; Dios, M. La Incidencia de Metales Pesados en Compost de Residuos Sólidos Urbanos y en su uso Agronómico en España. Inf. Tecnol. 2007, 18, 75–82. [Google Scholar] [CrossRef]
  46. Webster, R.; Oliver, M.A. A tutorial guide to geostatistics: Computing and modelling variograms and kriging. Catena 2014, 113, 56–59. [Google Scholar]
  47. Painecur, P.; Muñoz, A.; Tume, P.; Melipichun, T.; Ferraro, F.X.; Roca, N.; Bech, J. Distribution of potentially harmful elements in attic dust from the City of Coronel (Chile). Environ. Geochem. Health 2022, 2022, 1–10. [Google Scholar] [CrossRef] [PubMed]
  48. Hidalgo, M. Evaluation of Concentrations of Heavy Metals in Sediments of Coronel Bay; Universidad de Concepción (Chile): Concepción, Chile, 2017. [Google Scholar]
  49. George, R.B.W.; Breit, N. Vanadium accumulation in carbonaceous rocks: A review of geochemical controls during deposition and diagenesis. Chem. Geol. 1991, 9, 83–97. [Google Scholar]
Figure 1. Map of the study area showing the sampling sites in the commune of Coronel, Chile.
Figure 1. Map of the study area showing the sampling sites in the commune of Coronel, Chile.
Minerals 12 00320 g001
Figure 2. Biplot first 3 main components.
Figure 2. Biplot first 3 main components.
Minerals 12 00320 g002
Figure 3. Dendrogram of Cluster analysis of heavy metals.
Figure 3. Dendrogram of Cluster analysis of heavy metals.
Minerals 12 00320 g003
Figure 4. Summary of the PMF result, source profiles, and source contributions of heavy metals from soil.
Figure 4. Summary of the PMF result, source profiles, and source contributions of heavy metals from soil.
Minerals 12 00320 g004
Figure 5. Graphs of ecological indicators.
Figure 5. Graphs of ecological indicators.
Minerals 12 00320 g005
Figure 6. Carcinogenic and non-carcinogenic risk in children and adults. (a) Non-Carcinogenic Risk Children, (b) Non-Carcinogenic Risk Adults, (c) Carcinogenic Risk Children and (d) Carcinogenic Risk Adults.
Figure 6. Carcinogenic and non-carcinogenic risk in children and adults. (a) Non-Carcinogenic Risk Children, (b) Non-Carcinogenic Risk Adults, (c) Carcinogenic Risk Children and (d) Carcinogenic Risk Adults.
Minerals 12 00320 g006
Figure 7. Spatial distribution of Cd, Cr, Cu, Ni, V, and Zn concentrations, in mg × kg−1.
Figure 7. Spatial distribution of Cd, Cr, Cu, Ni, V, and Zn concentrations, in mg × kg−1.
Minerals 12 00320 g007
Figure 8. Location of contaminating sources by sector.
Figure 8. Location of contaminating sources by sector.
Minerals 12 00320 g008
Table 1. Summary statistics of heavy metals’ concentrations (mg × kg−1) in Coronel.
Table 1. Summary statistics of heavy metals’ concentrations (mg × kg−1) in Coronel.
ElementMeanSDCVSkewnessPercentileMaxWorld Soil
2550759095Average
Cd3.10.360.120.392.93.03.23.63.84.00.41
Cr17.625.911.477.8410.813.117.127.038.225059.5
Cu19.616.770.865.2112.116.520.833.943.414938.9
Ni31.641.381.317.0214.724.637.356.367.039029
V1141020.894.6575.895.0115144336838129
Zn58.632.430.551.5739.950.669.194.513318470
Table 3. Descriptive statistics of element concentrations by soil use.
Table 3. Descriptive statistics of element concentrations by soil use.
Land UseElementMeanSDKurtosisSkewnessMin.PercentileMax.
255075
ResidentialCd3.10.43.40.42.22.93.03.24.0
n = 53Cr14.17.59.52.15.011.212.915.447.2
Cu18.910.44.41.35.013.017.321.549.1
Ni25.113.53.10.42.516.224.333.263.9
V92.156.616.03.320.868.985.0100.5366.1
Zn65.031.14.91.36.946.958.178.3159.1
IndustrialCd3.10.33.60.42.42.93.03.23.9
n = 32Cr22.942.826.54.95.010.313.519.0250.0
Cu21.625.421.14.25.011.015.420.3149.0
Ni33.122.12.10.52.515.828.950.075.9
V156.1151.614.23.347.995.0108.3134.5838.0
Zn51.131.810.82.56.536.342.553.3183.7
Table 4. Factor matrix, Principal Component Analysis.
Table 4. Factor matrix, Principal Component Analysis.
ElementMain Components
Comp.1Comp.2Comp.3
Cd0.140.03−0.35
Cr0.36−0.280.70
Cu0.340.52−0.36
Ni−0.84−0.07−0.01
V0.13−0.65−0.35
Zn−0.120.460.36
variance (%)49.2920.0313.97
accumulated variance (%)49.2969.3283.29
Table 5. Percentage of contribution of the source to the total of each heavy metal.
Table 5. Percentage of contribution of the source to the total of each heavy metal.
ElementFactor 1Factor 2Factor 3Factor 4
Cd20.45.348.625.7
Cr13.932.040.413.7
Cu5.673.820.60.0
Ni89.30.00.010.7
V34.94.844.116.2
Zn0.833.70.065.5
Table 6. Percentage of heavy metal contribution per source.
Table 6. Percentage of heavy metal contribution per source.
ElementFactor 1Factor 2Factor 3Factor 4
Cd1.10.43.01.4
Cr3.310.811.33.4
Cu1.732.87.60.0
Ni41.40.00.05.2
V51.810.378.225.2
Zn0.745.80.064.8
Table 7. Threshold values in mg × kg−1.
Table 7. Threshold values in mg × kg−1.
MethodCdCrCuNiZnV
MAD3.4019.1025.2048.9076.3086.30
Upper Wisk3.7626.4333.8371.10112.74140.50
P-953.7838.1643.3767.02133.19338.34
Publisher’s Note: MDPI stays neutral with regard to jurisdictional claims in published maps and institutional affiliations.

Share and Cite

MDPI and ACS Style

Maurelia, J.; Cornejo, O.; Tume, P.; Roca, N. Distribution of Heavy Metals in the Commune of Coronel, Chile. Minerals 2022, 12, 320. https://doi.org/10.3390/min12030320

AMA Style

Maurelia J, Cornejo O, Tume P, Roca N. Distribution of Heavy Metals in the Commune of Coronel, Chile. Minerals. 2022; 12(3):320. https://doi.org/10.3390/min12030320

Chicago/Turabian Style

Maurelia, Jorge, Oscar Cornejo, Pedro Tume, and Núria Roca. 2022. "Distribution of Heavy Metals in the Commune of Coronel, Chile" Minerals 12, no. 3: 320. https://doi.org/10.3390/min12030320

APA Style

Maurelia, J., Cornejo, O., Tume, P., & Roca, N. (2022). Distribution of Heavy Metals in the Commune of Coronel, Chile. Minerals, 12(3), 320. https://doi.org/10.3390/min12030320

Note that from the first issue of 2016, this journal uses article numbers instead of page numbers. See further details here.

Article Metrics

Back to TopTop