Preparation of Antimony Sulfide and Enrichment of Gold by Sulfuration–Volatilization from Electrodeposited Antimony
Abstract
:1. Introduction
2. Materials and Methods
2.1. Materials and Device
2.2. Methods
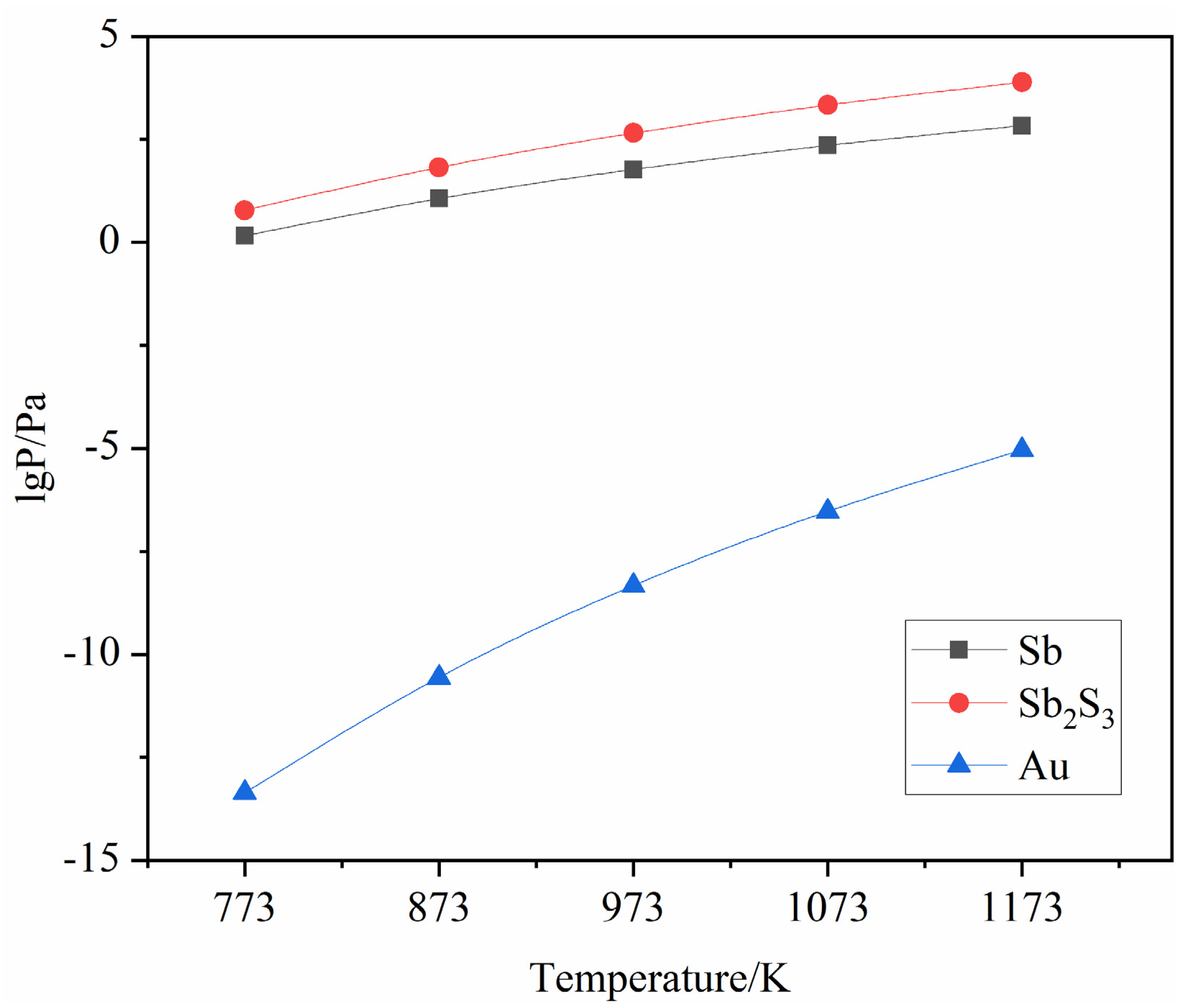
3. Theoretical Calculation
4. Experimental Analysis
4.1. Sulfuration Reaction
4.1.1. Sulfuration Rate Calculation
4.1.2. SEM Analysis
4.1.3. EPMA Analysis
4.1.4. EDS Analysis
4.1.5. Raman Spectroscopy Analysis
4.2. Volatilization Reaction
4.2.1. XPS Analysis
4.2.2. Chemical Composition Analysis
5. Conclusions
Author Contributions
Funding
Data Availability Statement
Conflicts of Interest
References
- Majzlan, J. Primary and secondary minerals of antimony. Antimony 2021, 17–47. [Google Scholar] [CrossRef]
- Dupont, D.; Arnout, S.; Jones, P.T.; Binnemans, K. Antimony Recovery from End-of-Life Products and Industrial Process Residues: A Critical Review. J. Sustain. Metall. 2016, 2, 79–103. [Google Scholar] [CrossRef] [Green Version]
- Zhou, Y.J. Antimony Demand Forecast and Supply-Demand Pattern Analysis. Master’s Thesis, China University of Geosciences, Beijing, China, 2015. [Google Scholar]
- Anderson, C.G. The metallurgy of antimony. Geochemistry 2012, 72, 3–8. [Google Scholar] [CrossRef]
- Grund, S.C.; Hanusch, K.; Breunig, H.J.; Wolf, H.U. Antimony and antimony compounds. In Ullmann’s Encyclopedia of Industrial Chemistry; Wiley-VCH Verlag GmbH & Co. KGaA: Weinheim, Germany, 2000. [Google Scholar] [CrossRef]
- Proenza, J.A.; Torró, L.; Nelson, C.-E. Mineral deposits of Latin America and the Caribbean. Preface. Boletín De La Soc. Geológica 2020, 72, P250820. [Google Scholar] [CrossRef]
- Yuan, B.; Fan, J.T.; Yu, L.H. Situation Analysis and Countermeasures of Antimony Resources in China. China Land Resour. Dly. 2011, 24, 47–49. [Google Scholar]
- Guo, X.Y.; Xin, Y.T.; Wang, H.; Tian, Q.H. Mineralogical characterization and pretreatment for antimony extraction by ozone of antimony-bearing refractory gold concentrates. Trans. Nonferrous Met. Soc. China 2017, 27, 1888–1895. [Google Scholar] [CrossRef]
- Guo, X.Y.; Xin, Y.T.; Wang, H.; Tian, Q.H. Leaching kinetics of antimony-bearing complex sulfides ore in hydrochloric acid solution with ozone. Trans. Nonferrous Met. Soc. China 2017, 27, 2073–2081. [Google Scholar] [CrossRef]
- Chen, J.; Huang, Z.L.; Yang, R.D.; Du, L.J.; Liao, M.Y. Gold and antimony metallogenic relations and ore-forming process of Qinglong Sb (Au) deposit in Youjiang basin, SW China: Sulfide trace elements and sulfur isotopes. Geosci. Front. 2021, 12, 605–623. [Google Scholar] [CrossRef]
- Zhang, L.; Yang, L.Q.; Groves, D.I.; Sun, S.C.; Liu, Y.; Wang, J.Y.; Li, R.H.; Wu, S.G.; Gao, L.; Guo, J.L.; et al. An overview of timing and structural geometry of gold, gold-antimony and antimony mineralization in the Jiangnan Orogen, southern China. Ore Geol. Rev. 2019, 115, 103173. [Google Scholar] [CrossRef]
- Yang, T.Z.; Xie, B.Y.; Liu, W.F.; Zhang, D.C.; Chen, L. Enrichment of Gold in Antimony Matte by Direct Smelting of Refractory Gold Concentrate. JOM 2018, 70, 1017–1023. [Google Scholar] [CrossRef]
- Rusalev, R.E.; Rogozhnikov, D.A.; Naboichenko, S.S. Investigation of complex treatment of the gold-bearing antimony flotation concentrate. Solid State Phenom. 2018, 284, 863–869. [Google Scholar] [CrossRef]
- Guo, X.D.; Wang, X.J.; Zhao, Y.L.; Tang, M.G.; Xiao, L. Structural characteristics and ore-controlling analysis of Jinlongshan gold-antimony ore belt in Shanxi Province. Depos. Geol. 2014, 33, 387–388. [Google Scholar] [CrossRef]
- Ubaldini, S.; Veglio, F.; Fornari, P.; Abbruzzese, C. Process flow-sheet for gold and antimony recovery from stibnite. Hydrometallurgy 2000, 57, 187–199. [Google Scholar] [CrossRef]
- Yang, T.Z.; Rao, S.; Liu, W.F.; Zhang, D.C.; Chen, L. A selective process for extracting antimony from refractory gold ore. Hydrometallurgy 2017, 169, 571–575. [Google Scholar] [CrossRef]
- Celep, O.; Alp, I.; Deveci, H. Improved gold and silver extraction from a refractory antimony ore by pretreatment with alkaline sulphide leach. Hydrometallurgy 2011, 105, 234–239. [Google Scholar] [CrossRef]
- Zhang, D.C.; Xiao, Q.K.; Liu, W.F.; Chen, L.; Yang, T.Z.; Liu, Y.N. Pressure oxidation of sodium thioantimonite solution to prepare sodium pyroantimonate. Hydrometallurgy 2015, 151, 91–97. [Google Scholar] [CrossRef]
- Zhang, X.F.; Huang, D.X.; Jiang, W.L.; Zha, G.Z.; Deng, J.H.; Deng, P.; Kong, X.F.; Liu, D.C. Selective separation and recovery of rare metals by vulcanization-vacuum distillation of cadmium telluride waste. Sep. Purif. Technol. 2020, 230, 115864. [Google Scholar] [CrossRef]
- Zhang, X.F.; Liu, D.C.; Jiang, W.L.; Xu, W.J.; Deng, P.; Deng, J.H.; Yang, B. Application of multi-stage vacuum distillation for secondary resource recovery: Potential recovery method of cadmium telluride photovoltaic waste. J. Mater. Res. Technol. 2020, 9, 6977–6986. [Google Scholar] [CrossRef]
- Li, H.L.; Wu, X.Y.; Wang, M.X.; Wang, J.; Wu, S.k.; Yao, X.L.; Li, L. Separation of elemental sulfur from zinc concentrate direct leaching residue by vacuum distillation. Sep. Purif. Technol. 2014, 138, 41–46. [Google Scholar] [CrossRef]
- Zhang, F. Study on Purification of Electrodeposited Antimony Enriched Gold by Vacuum Distillation. Master’s Thesis, Kunming University of Science and Technology, Kunming, China, 2021. [Google Scholar]
- Dai, Y.J. China Antimony Industry; Metallurgical Industry Press: Beijing, China, 2014. [Google Scholar]
- Ouyang, Z. Study on Clean Extraction Process of Reduction and Sulfur Fixation Roasting of Antimony Sulfide Concentrate. Master’s Thesis, Hunan University of Technology, Zhuzhou, China, 2020. [Google Scholar]
- Parise, R.; Katerski, A.; Gromyko, I.; Rapenne, L.; Roussel, H.; Karber, E.; Appert, E.; Krunks, M.; Consonni, V. ZnO/Ti-O2/Sb2S3 Core-Shell Nanowire Heterostructure for Extremely Thin Absorber So-lar Cells. J. Phys. Chem. C 2017, 121, 9672–9680. [Google Scholar] [CrossRef]
- Yoshioka, A.; Nagata, K. Raman spectrum of sulfur under high pressure. J. Phys. Chem. Solids 1995, 56, 581–584. [Google Scholar] [CrossRef]
- Escorcia-Garcia, J.; Becerra, D.; Nair, M.-T.-S.; Nair, P.-K. Heterojunction CdS/Sb2S3 solar cells using antimony sulfide thin films prepared by thermal evaporation. Thin Solid Film. 2014, 569, 28–34. [Google Scholar] [CrossRef]
- Tang, A.; Yang, Q.; Qian, Y.-T. Formation of crystalline stibnite bundles of rods by thermolysis of an antimony (III) diethyldithiocarbamate complex in ethylene glycol. Inorg. Chem. 2003, 42, 8081–8086. [Google Scholar] [CrossRef]
- Briggs, D.; Beamson, G. Primary and secondary oxygen-induced C1S binding-energy shifts in X-Ray photoelectron-spectroscopy of polymers. Anal. Chem. 1992, 64, 1729–1736. [Google Scholar] [CrossRef]
- Salinas-Estevane, P.; Sanchez, E.-M. Preparation of Sb2S3 nanostructures by the ionic Liquid-Assisted low power Sonochemical method. Mater Lett. 2010, 64, 2627–2630. [Google Scholar] [CrossRef]
- Mittal, V.K.; Bera, S.; Narasimhan, S.V.; Velmurugan, S. Sorption of Sb(III) on carbon steel surface in presence of molybdate and selenite in citric acid medium. Appl. Surf. Sci. 2011, 258, 1525–1530. [Google Scholar] [CrossRef]
- Hanafi, Ζ.M.; Ismail, F.M. Colour Problem of Antimony Trisulphide: IV-X-Ray Photoelectron and Diffuse Reflectance. Z. Für Phys. Chem. 1987, 268, 573–577. [Google Scholar] [CrossRef]
- Gheorghiu, A.; Lampre, I.; Dupont, S.; Senemaud, C.; Raghni, M.E.I.; Lippens, P.E.; Olivier-Fourcade, J. Electronic structure of chalcogenide compounds from the system Tl2S-Sb2S3 studied by XPS and XES. J. Alloys Compd. 1995, 28, 143–147. [Google Scholar] [CrossRef]
- Kohiki, S.; Ohmura, T.; Kusao, K. Appraisal of a new charge correction method in X-ray photoelectron spectroscopy. J. Electron. Spectrosc. Relat. Phenom. 1983, 31, 85–90. [Google Scholar] [CrossRef]










| Element | Na | Fe | As | Se | Sb | Au 1 |
|---|---|---|---|---|---|---|
| Content/wt% | 0.400 | 0.170 | 0.044 | 0.033 | 93.690 | 38 |
| Substance | Saturation Vapour Pressure/Pa | ||||
|---|---|---|---|---|---|
| 773 K | 873 K | 973 K | 1073 K | 1173 K | |
| Sb | 1.45 | 11.44 | 59.13 | 225.05 | 674.15 |
| Sb2S3 | 5.98 | 66.65 | 447.58 | 2127.46 | 7752.19 |
| Au | 4.38 × 10−14 | 2.79 × 10−11 | 4.65 × 10−9 | 2.96 × 10−7 | 9.19 × 10−6 |
| Type | Content/wt% | |||||
|---|---|---|---|---|---|---|
| Na | Fe | As | Se | Sb | Au 1 | |
| Volatile | 0.054 | 0.003 | 0.037 | 0.017 | 73.180 | 0 |
| Remains | 2.500 | 0.150 | 0.000 | 0.018 | 68.950 | 60 |
Publisher’s Note: MDPI stays neutral with regard to jurisdictional claims in published maps and institutional affiliations. |
© 2022 by the authors. Licensee MDPI, Basel, Switzerland. This article is an open access article distributed under the terms and conditions of the Creative Commons Attribution (CC BY) license (https://creativecommons.org/licenses/by/4.0/).
Share and Cite
Wang, W.; Wang, S.; Yang, J.; Cao, C.; Hou, K.; Xia, L.; Zhang, J.; Xu, B.; Yang, B. Preparation of Antimony Sulfide and Enrichment of Gold by Sulfuration–Volatilization from Electrodeposited Antimony. Minerals 2022, 12, 264. https://doi.org/10.3390/min12020264
Wang W, Wang S, Yang J, Cao C, Hou K, Xia L, Zhang J, Xu B, Yang B. Preparation of Antimony Sulfide and Enrichment of Gold by Sulfuration–Volatilization from Electrodeposited Antimony. Minerals. 2022; 12(2):264. https://doi.org/10.3390/min12020264
Chicago/Turabian StyleWang, Wei, Shuai Wang, Jia Yang, Chengsong Cao, Kanwen Hou, Lixin Xia, Jun Zhang, Baoqiang Xu, and Bin Yang. 2022. "Preparation of Antimony Sulfide and Enrichment of Gold by Sulfuration–Volatilization from Electrodeposited Antimony" Minerals 12, no. 2: 264. https://doi.org/10.3390/min12020264
APA StyleWang, W., Wang, S., Yang, J., Cao, C., Hou, K., Xia, L., Zhang, J., Xu, B., & Yang, B. (2022). Preparation of Antimony Sulfide and Enrichment of Gold by Sulfuration–Volatilization from Electrodeposited Antimony. Minerals, 12(2), 264. https://doi.org/10.3390/min12020264

