The Role of Foam in Improving the Workability of Sand: Insights from DEM
Abstract
:1. Introduction
2. Slump Test
2.1. Testing Material
2.2. Testing Equipment
2.3. Testing Procedures and Conditions
2.4. Test Results
3. Numerical Simulation
3.1. Numerical Modeling
3.1.1. Slump Barrel
3.1.2. Sand Particles
3.1.3. Foam Particles
3.1.4. Numerical Modeling Procedures
3.2. Parameter Calibration
3.3. Verification of the DEM Model
4. Numerical Modeling Results and Analysis
4.1. Effect of Foam on Particle Contacts
4.1.1. Effect of Foam on the Coordination Number
4.1.2. Effect of Foam on the Number of Particle Contacts
4.1.3. Effect of Foam on the Evolution of Force Chains
4.2. Effect of Foam on Contact Force Distribution
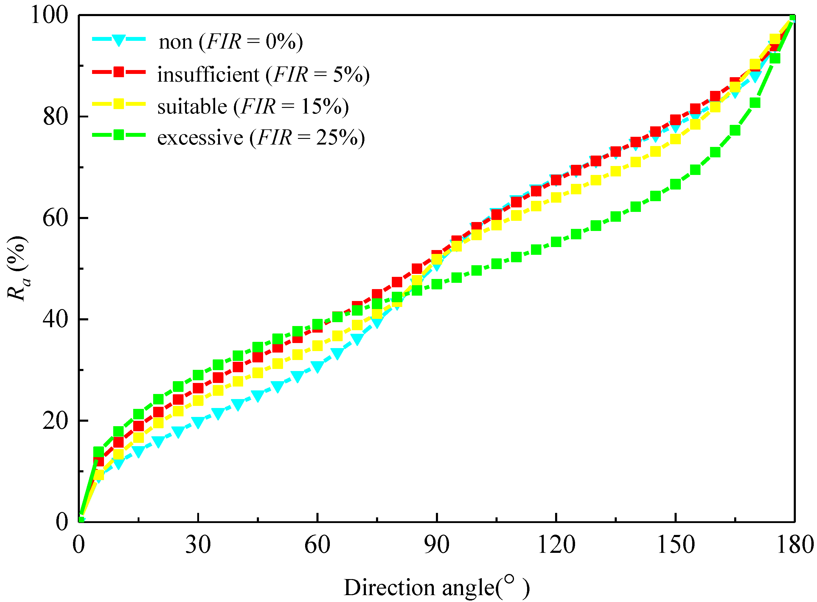
4.2.1. Effect of Foam on the Directional Distribution of Contact Forces
4.2.2. Effect of Foam on the Magnitude of Inter-Particle Contact Forces
5. Conclusions
Author Contributions
Funding
Conflicts of Interest
References
- Song, K.; Wang, B.; Kong, H.; Yuan, D.; Wang, M. Study of foam technology during shield excavation in sandy cobble bed without water. Chin. J. Rock Mech. Eng. 2005, 24, 2327–2332. (In Chinese) [Google Scholar]
- Guglielmetti, V.; Grasso, P.; Mahtab, A.; Xu, S. Mechanized Tunnelling in Urban Areas: Design Methodology and Construction Control; Taylor & Francis: London, UK, 2008. [Google Scholar]
- Psomas, S. Properties of Foam/Sand Mixtures for Tunneling Applications. Master’s Thesis, University of Oxford, London, UK, 2001. [Google Scholar]
- Huang, S.; Wang, S.; Xu, C.; Shi, Y.; Ye, F. Effect of grain gradation on the permeability characteristics of coarse-grained soil conditioned with foam for EPB shield tunneling. KSCE J. Civ. Eng. 2019, 23, 4662–4674. [Google Scholar] [CrossRef]
- Salazar, C.; Todaro, C.; Bosio, F.; Bassini, E.; Ugues, D.; Peila, D. A new test device for the study of metal wear in conditioned granular soil used in EPB shield tunneling. Tunn. Undergr. Space Technol. 2018, 73, 212–221. [Google Scholar] [CrossRef] [Green Version]
- Mori, L.; Mooney, M.; Cha, M. Characterizing the influence of stress on foam conditioned sand for EPB tunneling. Tunn. Undergr. Space Technol. 2018, 71, 454–465. [Google Scholar] [CrossRef]
- Pourmand, S.; Chakeri, H.; Sharghi, M.; Ozcelik, Y. Investigation of soil conditioning tests with three-dimensional numerical modeling. Geotech. Geol. Eng. 2018, 36, 2869–2879. [Google Scholar] [CrossRef]
- Zumsteg, R.; Langmaack, L. Mechanized tunneling in soft soils: Choice of excavation mode and application of soil-conditioning additives in glacial deposits. Engineering 2017, 3, 863–870. [Google Scholar] [CrossRef]
- Wu, Y.; Nazem, A.; Meng, F.; Mooney, M. Experimental study on the stability of foam-conditioned sand under pressure in the EPBM chamber. Tunn. Undergr. Space Technol. 2020, 106, 103590. [Google Scholar] [CrossRef]
- Weaire, D.; Phelan, R. The physics of foam. J. Phys. Condens. Matter 1999, 8, 9519–9524. [Google Scholar] [CrossRef]
- Budach, C.; Thewes, M. Application ranges of EPB shields in coarse ground based on laboratory research. Tunn. Undergr. Space Technol. 2015, 50, 296–304. [Google Scholar] [CrossRef]
- Houlsby, G.; Mair, R.; Borghi, X.; Merritt, A.; Pena, M. Easing the way: Soil conditioning. Tunn. Tunn. Int. 2003, 35, 48–50. [Google Scholar]
- Peila, D.; Oggeri, C.; Vinai, R. Screw conveyor device for laboratory tests on conditioned soil for EPB tunneling operations. J. Geotech. Geoenviron. Eng. 2007, 133, 1622–1625. [Google Scholar] [CrossRef]
- Xu, Q.; Zhang, L.; Zhu, H.; Gong, Z.; Liu, J.; Zhu, Y. Laboratory tests on conditioning the sandy cobble soil for EPB shield tunnelling and its field application. Tunn. Undergr. Space Technol. 2020, 105, 103512. [Google Scholar] [CrossRef]
- Wang, S.; Hu, Q.; Wang, H.; Thewes, M.; Ge, L.; Yang, J.; Liu, P. Permeability characteristics of poorly graded sand conditioned with foam in different conditioning states. J. Test. Eval. 2020, 49, 20190539. [Google Scholar] [CrossRef]
- Hu, Q.; Wang, S.; Qu, T.; Xu, T.; Huang, S.; Wang, H. Effect of hydraulic gradient on the permeability characteristics of foam-conditioned sand for mechanized tunnelling. Tunn. Undergr. Space Technol. 2020, 99, 103377. [Google Scholar] [CrossRef]
- Peila, D.; Oggeri, C.; Borio, L. Using the slump test to assess the behavior of conditioned soil for EPB tunneling. Environ. Eng. Geosci. 2009, 15, 167–174. [Google Scholar] [CrossRef]
- Malusis, M.; Barben, E.; Evans, J. Hydraulic conductivity and compressibility of soil-bentonite backfill amended with activated carbon. J. Geotech. Geoenviron. Eng. 2009, 135, 664–672. [Google Scholar] [CrossRef]
- Boone, S.; Artigiani, E.; Shirlaw, J.; Ginanneschi, R.; Leinala, T.; Kochmanova, N. Use of ground conditioning agents for Earth Pressure Balance machine tunnelling. In Proceedings of the French Tunnelling and Underground Space Association, Chambéry, France, 10–12 October 2005; pp. 313–319. [Google Scholar]
- Huang, Z.; Wang, C.; Dong, J.; Zhou, J.; Yang, J.; Li, Y. Conditioning experiment on sand and cobble soil for shield tunneling. Tunn. Undergr. Space Technol. 2019, 87, 187–194. [Google Scholar] [CrossRef]
- Williamson, G.; Traylor, M.; Higuchi, M. Soil conditioning for EPB shield tunneling on the South Bay Ocean Outfall. In Proceedings of the Rapid Excavation and Tunneling Conference, Orlando, FA, USA, 21–23 June 1999; pp. 897–926. [Google Scholar]
- Martinelli, D.; Peila, D.; Campa, E. Feasibility study of tar sands conditioning for earth pressure balance tunnelling. J. Rock Mech. Geotech. Eng. 2015, 7, 684–690. [Google Scholar] [CrossRef] [Green Version]
- Peron, J.; Marcheselli, P. Construction of the ‘Passante Ferroviario’link in Milan, Italy, lots 3P, 5P and 6P: Excavation by large earth pressure balanced shield with chemical foam injection. Tunnelling 1994, 94, 679–707. [Google Scholar]
- Jancsecz, S.; Krause, R.; Langmaack, L. Advantages of soil conditioning in shield tunnelling: Experiences of LRTS Izmir; Alten, T., Broch, E., Eds.; Balkema: Rotterdam, The Netherlands, 1999; pp. 865–875. [Google Scholar]
- Vinai, R.; Oggeri, C.; Peila, D. Soil conditioning of sand for EPB applications: A laboratory research. Tunn. Undergr. Space Technol. 2008, 23, 308–317. [Google Scholar] [CrossRef]
- Bezuijen, A.; Schaminee, P.; Kleinjan, J. Additive testing for earth pressure balance shields. In Twelfth European Conference on Soil Mechanics and Geotechnical Engineering (Proceedings) The Netherlands Society of Soil Mechanics and Geotechnical Engineering; Ministry of Transport, Public Works and Water Management; van den Berg Machinefabriek, A.P., Fugro, N.V., Delft, G., Eds.; Holland Railconsult: Utrecht, The Netherlands, 1999; Volume 3. [Google Scholar]
- Azimi, A. Analysis of slump test for sand–foam mixtures. J. Mater. Civ. Eng. 2017, 29, 04017109. [Google Scholar] [CrossRef]
- Martinelli, D.; Winderholler, R.; Peila, D. Undrained behaviour of granular soils conditioned for EPB tunneling—A new experimental procedure. Geomech. Tunn. 2017, 10, 81–89. [Google Scholar] [CrossRef]
- Zhao, B.; Liu, D.; Jiang, B. Soil conditioning of waterless sand–pebble stratum in EPB tunnel construction. Geotech. Geol. Eng. 2018, 36, 2495–2504. [Google Scholar] [CrossRef]
- Freimann, S.; Schröer, M.; Thewes, M. Experimental investigation of the flow behaviour of conditioned soils for EPB tunnelling in closed mode. In Tunnels and Underground Cities: Engineering and Innovation Meet Archaeology, Architecture and Art; Freimann, S., Schröer, M., Thewes, M., Eds.; Taylor & Francis: London, UK, 2019; pp. 2109–2118. [Google Scholar]
- Wang, H.; Wang, S.; Zhong, J.; Qu, T.; Liu, Z.; Xu, T.; Liu, P. Undrained compressibility characteristics and pore pressure calculation model of foam-conditioned sand. Tunn. Undergr. Space Technol. 2021, 118, 104161. [Google Scholar] [CrossRef]
- Wang, S.; Liu, P.; Gong, Z.; Yang, P. Auxiliary air pressure balance mode for EPB shield tunneling in water-rich gravelly sand strata: Feasibility and soil conditioning. Case Stud. Constr. Mater. 2022, 16, e00799. [Google Scholar] [CrossRef]
- ASTM. ASTM D2434-68; ASTM (American Society for Testing and Materials): West Conshohocken, PA, USA, 2006. [Google Scholar]
- Sebastiani, D.; Vilardi, G.; Bavasso, I.; Di, P.L.; Miliziano, S. Classification of foam and foaming products for EPB mechanized tunnelling based on half-life time. Tunn. Undergr. Space Technol. 2019, 92, 103044. [Google Scholar] [CrossRef]
- Avunduk, E.; Copur, H.; Tolouei, S.; Tumac, D.; Balci, C.; Bilgin, N.; Shaterpour–Mamaghani, A. Possibility of using torvane shear testing device for soil conditioning optimization. Tunn. Undergr. SpaceTechnol. 2021, 107, 103665. [Google Scholar] [CrossRef]
- Galli, M.; Thewes, M. Rheological characterisation of foam-conditioned sands in EPB tunneling. Int. J. Civ. Eng. 2019, 17, 145–160. [Google Scholar] [CrossRef]
- ASTM. ASTM C 143/C 143Ma-2005; ASTM (American Society for Testing and Materials): West Conshohocken, PA, USA, 2005. [Google Scholar]
- Svanberg, A.; Larsson, S.; Mki, R.; Jonsén, P. Full-scale simulation and validation of wear for a mining rope shovel bucket. Minerals 2021, 11, 623. [Google Scholar] [CrossRef]
- Yu, C.; Geng, R.; Wang, X. A numerical study of separation performance of vibrating flip-flow screens for cohesive particles. Minerals 2021, 11, 631. [Google Scholar] [CrossRef]
- Zhang, F.; Wang, C.; Chang, J.; Feng, H. DEM analysis of cyclic liquefaction behaviour of cemented sand. Comput. Geotech. 2022, 142, 104572. [Google Scholar] [CrossRef]
- Qu, T.; Feng, Y.T.; Zhao, T.; Wang, M. Calibration of linear contact stiffnesses in discrete element models using a hybrid analytical-computational framework. Powder Technol. 2019, 356, 795–807. [Google Scholar] [CrossRef]
- Zheng, D.; Song, W.; Cao, S.; Li, J.; Sun, L. Investigation on dynamical mechanics energy dissipation, and microstructural characteristics of cemented tailings backfill under shpb tests. Minerals 2021, 11, 542. [Google Scholar] [CrossRef]
- Bisserik, A.; Kim, J.; Satyanaga, A.; Moon, S.W. Characterization of CSA cemented-treated sands via discrete element method. In AIP Conference Proceedings; AIP Publishing LLC: Melville, NY, USA, 2021; Volume 2441, p. 030001. [Google Scholar]
- Maeda, M.; Kushiyama, K. Use of compact shield tunneling method in urban underground construction. Tunn. Undergr. Space Technol. 2005, 20, 159–166. [Google Scholar] [CrossRef]
- Chen, R.; Tang, L.; Ling, D.; Chen, Y. Face stability analysis of shallow shield tunnels in dry sandy ground using the discrete element method. Comput. Geotech. 2011, 38, 187–195. [Google Scholar] [CrossRef]
- Qu, T.; Wang, S.; Fu, J.; Hu, Q.; Zhang, X. Numerical examination of EPB shield tunneling–induced responses at various discharge ratios. J. Perform. Constr. Facil. 2019, 33, 04019035. [Google Scholar] [CrossRef]
- Mak, J.; Chen, Y.; Sadek, M. Determining parameters of a discrete element model for soil–tool interaction. Soil Tillage Res. 2012, 118, 117–122. [Google Scholar] [CrossRef]
- Wang, J.; He, C.; Wang, C.; Chen, Z.Q.; Tang, R. Face stability analysis of EPB shield tunnel in sand. Chin. J. Geotech. Eng. 2018, 40, 177–185. (In Chinese) [Google Scholar]
- Hu, G. Analysis and Simulation of Particle System with Discrete Element Method; Wuhan University of Technology Press: Wuhan, China, 2010. (In Chinese) [Google Scholar]
- Sun, Q.; Huang, J. Structure and stability of liquid foam. Physics 2006, 35, 1050–1054. (In Chinese) [Google Scholar]
- Clausius, R. On the moving force of heat, and the laws regarding the nature of heat itself which are dudecible therefrom. Philos. Mag. 1851, 2, 1–21. [Google Scholar] [CrossRef]
- Xiao, Q.; Xiao, Y.; Xiao, Z.; Wei, W.; Lianghai, L. Detailed design of an SMA-actuated self-locking device for rotary feed structure. Smart Mater. Struct. 2016, 25, 035032. [Google Scholar] [CrossRef]

















| No. | Wt (%) | FIR (%) | Slump Value (cm) | Extension Value (cm) |
|---|---|---|---|---|
| 1 | 10 | 0 | 5.7 | 19.7 |
| 2 | 10 | 5 | 5.5 | 17.8 |
| 3 | 10 | 15 | 4.9 | 13.7 |
| 4 | 10 | 25 | 10.8 | 18.7 |
| Particle size (mm) | 0.25–0.5 | 0.5–1.0 | 1–2.5 | 2.5–5.0 |
| Proportion (%) | 16.7% | 23.6% | 44.4% | 15.3% |
| No. | Conditioning State | Contact | kn (N/m) | ks (N/m) | fric | σc (kN/m2) |
|---|---|---|---|---|---|---|
| 1 | Non | sand-sand | 3.67 × 105 | 3.67 × 105 | 0.86 | 0 |
| 2 | Insufficient | sand-sand | 3.67 × 105 | 3.67 × 105 | 0.73 | 0 |
| foam-foam | 3.21 × 10−2 | 3.21 × 10−2 | 0.01 | 35.4 | ||
| foam-sand | 3.21 × 10−2 | 3.21 × 10−2 | 0.31 | 21.6 | ||
| 3 | Suitable | sand-sand | 3.67 × 105 | 3.67 × 105 | 0.53 | 0 |
| foam-foam | 3.21 × 10−2 | 3.21 × 10−2 | 0.01 | 35.4 | ||
| foam-sand | 3.21 × 10−2 | 3.21 × 10−2 | 0.28 | 21.6 | ||
| 4 | Excessive | sand-sand | 3.67 × 105 | 3.67 × 105 | 0.32 | 0 |
| foam-foam | 3.21 × 10−2 | 3.21 × 10−2 | 0.01 | 35.4 | ||
| foam-sand | 3.21 × 10−2 | 3.21 × 10−2 | 0.23 | 21.6 |
| No. | Conditioning State | Physical Slump Value (cm) | Numerical Slump Value (cm) | Error (%) | Physical Extension Value (cm) | Numerical Extension Value (cm) | Error (%) |
|---|---|---|---|---|---|---|---|
| 1 | Non | 5.7 | 5.5 | 3.5 | 19.7 | 18.6 | 5.6 |
| 2 | Insufficient | 5.5 | 5.1 | 7.2 | 17.8 | 17.4 | 2.2 |
| 3 | Suitable | 4.9 | 4.7 | 4.1 | 13.7 | 14.1 | 2.9 |
| 4 | Excessive | 10.8 | 10.3 | 4.6 | 18.7 | 19.6 | 4.8 |
Publisher’s Note: MDPI stays neutral with regard to jurisdictional claims in published maps and institutional affiliations. |
© 2022 by the authors. Licensee MDPI, Basel, Switzerland. This article is an open access article distributed under the terms and conditions of the Creative Commons Attribution (CC BY) license (https://creativecommons.org/licenses/by/4.0/).
Share and Cite
Liu, Z.; Wang, S.; Qu, T.; Geng, X. The Role of Foam in Improving the Workability of Sand: Insights from DEM. Minerals 2022, 12, 186. https://doi.org/10.3390/min12020186
Liu Z, Wang S, Qu T, Geng X. The Role of Foam in Improving the Workability of Sand: Insights from DEM. Minerals. 2022; 12(2):186. https://doi.org/10.3390/min12020186
Chicago/Turabian StyleLiu, Zhengri, Shuying Wang, Tongming Qu, and Xueyu Geng. 2022. "The Role of Foam in Improving the Workability of Sand: Insights from DEM" Minerals 12, no. 2: 186. https://doi.org/10.3390/min12020186
APA StyleLiu, Z., Wang, S., Qu, T., & Geng, X. (2022). The Role of Foam in Improving the Workability of Sand: Insights from DEM. Minerals, 12(2), 186. https://doi.org/10.3390/min12020186

