An Experimental Investigation of the Gas Permeability of Tectonic Coal Mineral under Triaxial Loading Conditions
Abstract
:1. Introduction
2. Material and Methods
2.1. Sample Preparation
- (1)
- The sieved coal powders were put into a steel mold (Figure 4a) layer by layer, and each layer was sprayed with water. Specifically, the mass of water accounted for 10% of the total mass of the sample.
- (2)
- The steel mold was placed in the center of a compression machine (Figure 4b).
- (3)
- The compression piston was slowly lowered into the mold to apply compressive stress on the top of sample.
- (4)
- A servo compressive stress of 30 MPa was applied by piston on the top end the sample and the stress was maintained for over 2 h.
- (5)
- The compressed briquette coal sample was taken out and put into an oven (at 50 °C) and dried for 12 h.
- (6)
- (7)
- Due to the unrepeatability of the compression test, which used only one sample, we divided the prepared samples into three groups named A (A1, A2, A3, A4), B (B1, B2, B3) and C (C1, C2, C3) for the gas permeability tests (Table 2). Specifically, samples in group A were used for testing the gas permeability of briquettes under different initial gas pressures. The samples in groups B and C were used for testing the gas permeability of briquettes under different confining pressure-loading conditions and pressure-releasing conditions, respectively.
2.2. Experimental Apparatus and Processes
3. Results and Discussion
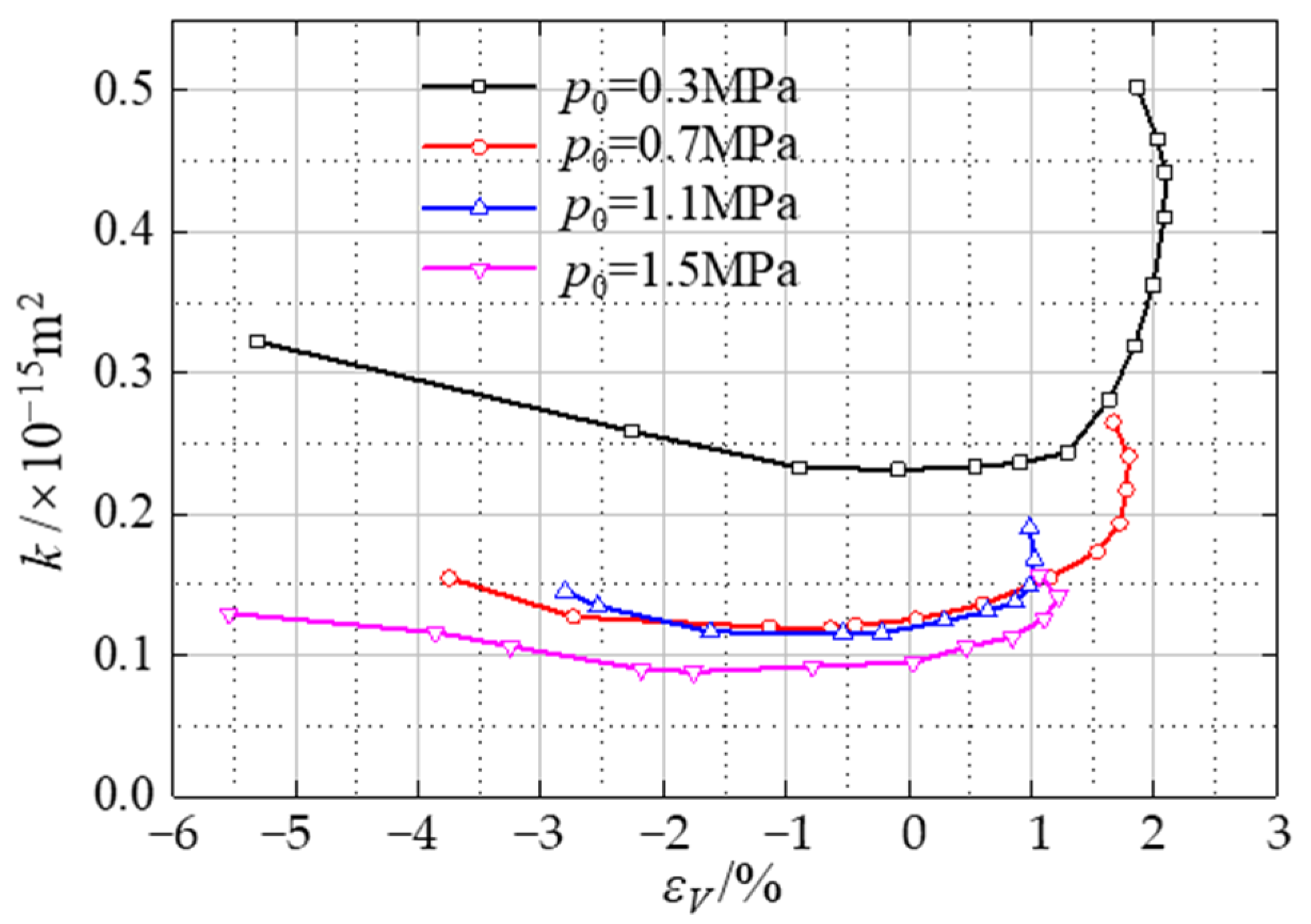
3.1. Effect of Initial Gas Pressure on the Permeability of Tectonic Coal
3.1.1. Failure Response and Gas Permeability Evolution of Samples
3.1.2. Gas Permeability Evolution during Sample Deforming
3.1.3. Relationship between Permeability and Initial Gas Pressure of Coal
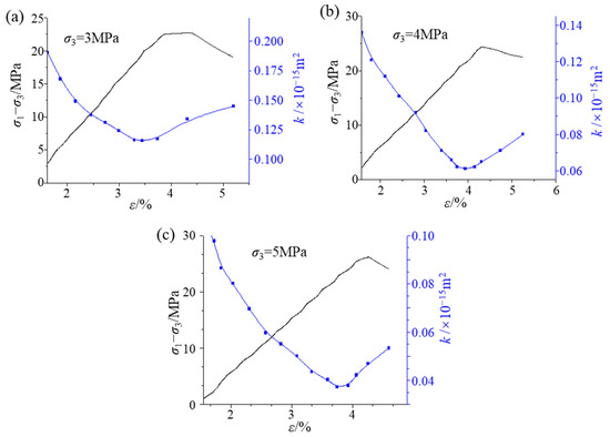
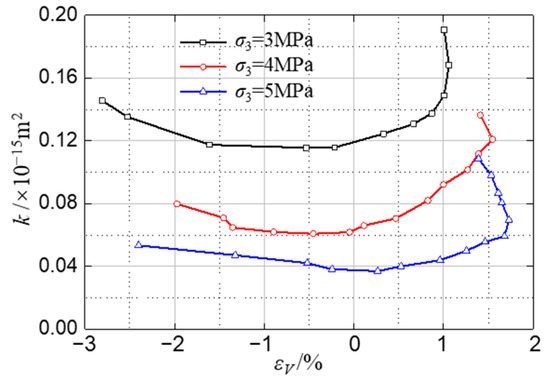
3.2. Effect of Confining Pressure on the Gas Permeability of Tectonic Coal
3.3. Gas Permeability Evolution of Tectonic Coal during Confining Pressure Releasing
4. Conclusions
- (1)
- The gas permeability of tectonic coal was closely related to the change of volumetric strain during triaxial compression process. In the initial sample compaction stage and the elastic deformation stage, the internal pores and cracks in coal were compacted, resulting in a reduction in gas permeability. However, after the yield stage, cracks developed and the volume strain of the sample increased, which led to the increase in gas permeability of the tectonic coal samples.
- (2)
- The gas permeability of the tectonic coal decreased with the increase in initial gas pressure in a negative exponential manner. The permeability could be decreased by 67.32% when the initial gas pressure increased from 0.3 MPa to 1.5 MPa.
- (3)
- During the confining pressure releasing, the coal underwent a period of strain development before it began to fail. Before the yield stage of sample, a small number of cracks were generated in the coal body and the gas permeability increased slowly. After the yield stage, the coal body deformed severely and the cracks in the coal samples further developed, resulting in the quick increase in gas permeability. With the release of further confining pressure, the coal samples could enter the failure stage, where cracks and fractures rapidly developed and expanded and thus resulted in a rapid increase in the gas permeability of the tectonic coal samples.
Author Contributions
Funding
Data Availability Statement
Conflicts of Interest
References
- Flores, R.M. Coalbed methane: From hazard to resource. Int. J. Coal Geol. 1998, 35, 3–26. [Google Scholar] [CrossRef]
- Wu, C.; Yuan, C.; Wen, G.; Han, L.; Liu, H. A dynamic evaluation technique for assessing gas output from coal seams during commingling production within a coalbed methane well: A case study from the Qinshui Basin. Int. J. Coal Sci. Technol. 2020, 7, 122–132. [Google Scholar] [CrossRef] [Green Version]
- Cheng, Y.; Pan, Z. Reservoir properties of Chinese tectonic coal: A review. Fuel 2020, 260, 116350. [Google Scholar] [CrossRef]
- Tu, Q.; Cheng, Y.; Ren, T.; Wang, Z.; Lin, J.; Lei, Y. Role of tectonic coal in coal and gas outburst behavior during coal mining. Rock Mech. Rock Eng. 2019, 52, 4619–4635. [Google Scholar] [CrossRef]
- Zhang, S.; Lu, L.; Wang, Z.; Wang, S. A physical model study of surrounding rock failure near a fault under the influence of footwall coal mining. Int. J. Coal Sci. Technol. 2020, 8, 1–15. [Google Scholar] [CrossRef]
- Xue, D.; Zhou, J.; Liu, Y.; Gao, L. On the excavation-induced stress drop in damaged coal considering a coupled yield and failure criterion. Int. J. Coal Sci. Technol. 2020, 7, 58–67. [Google Scholar] [CrossRef] [Green Version]
- Ju, Y.; Zhang, Q.; Zheng, J.; Wang, J.; Chang, C.; Gao, F. Experimental study on CH4 permeability and its dependence on interior fracture networks of fractured coal under different excavation stress paths. Fuel 2017, 202, 483–493. [Google Scholar] [CrossRef]
- Guo, R.; Akkutlu, K.M.; Kantzas, A. Laboratory investigation on the permeability of coal during primary and enhanced coalbed methane production. J. Can. Pet. Technol. 2008, 47, 27–32. [Google Scholar] [CrossRef]
- Connell, L.D.; Sander, R.; Pan, Z.; Camilleri, M.; Heryanto, D. History matching of enhanced coal bed methane laboratory core flood tests. Int. J. Coal Geol. 2011, 87, 128–138. [Google Scholar] [CrossRef]
- Yan, F.; Xu, J.; Lin, B.; Peng, S.; Zou, Q.; Zhang, X. Changes in pore structure and permeability of anthracite coal before and after high-voltage electrical pulses treatment. Powder Technol. 2019, 343, 560–567. [Google Scholar] [CrossRef]
- Zhang, Z.T.; Ru, Z.; Liu, J.F.; Liu, X.H.; Li, J.W. Permeability evolution of unloaded coal samples at different loading rates. Therm. Sci. 2014, 18, 1497–1504. [Google Scholar] [CrossRef]
- Wu, X.; Peng, Y.; Xu, J.; Yan, Q.; Nie, W.; Zhang, T. Experimental study on evolution law for particle breakage during coal and gas outburst. Int. J. Coal Sci. Technol. 2020, 7, 97–106. [Google Scholar] [CrossRef] [Green Version]
- Valliappan, S.; Wohua, Z. Role of gas energy during coal outbursts. Int. J. Numer. Methods Eng. 1999, 44, 875–895. [Google Scholar] [CrossRef]
- Xinfu, L.; Chunhua, L.; Guoqiang, L. Dynamic behavior of coalbed methane flow along the annulus of single-phase production. Int. J. Coal Sci. Technol. 2019, 6, 547–555. [Google Scholar]
- Zhang, B.; Kang, J.; Kang, T.; Kang, G.; Zhao, G. Molecular dynamics simulations of CH4 diffusion in kaolinite: Influence of water content. Int. J. Coal Sci. Technol. 2019, 6, 556–563. [Google Scholar] [CrossRef] [Green Version]
- Yuan, R.; Chen, C.; Wei, X.; Li, X. Heat–fluid–solid coupling model for gas-bearing coal seam and numerical modeling on gas drainage promotion by heat injection. Int. J. Coal Sci. Technol. 2019, 6, 564–576. [Google Scholar] [CrossRef] [Green Version]
- Huang, Q.; Yin, G.; Jiang, Y.; Yi, J. Gas seepage characteristics of briquette samples in a stress field. J. Chongqing Univ. 2008, 31, 1436–1440. [Google Scholar]
- Yin, G.; Jiang, C.; Li, X.; Wang, W.; Cai, B. An experimental study of gas permeabilities of outburst and nonoutburst coals under complete stress-strain process. Rock Soil Mech. 2011, 32, 1613–1619. [Google Scholar]
- Mei, Y.; Zhen, W.; Bobo, L. Experiments study on the briquette permeability with temperature and effective stress change. Saf. Coal Mines 2012, 43, 8–11. [Google Scholar]
- Wierzbicki, M.; Konečný, P.; Kožušníková, A. Permeability changes of coal cores and briquettes under tri-axial stress conditions. Arch. Min. Sci. 2014, 59, 1131–1140. [Google Scholar] [CrossRef] [Green Version]
- Kudasik, M. Investigating permeability of coal samples of various porosities under stress conditions. Energies 2019, 12, 762. [Google Scholar] [CrossRef] [Green Version]
- Zhao, J.; Tang, D.; Qin, Y.; Xu, H.; Liu, Y.; Wu, H. Characteristics of methane (CH4) diffusion in coal and its influencing factors in the Qinshui and Ordos basins. Energy Fuels 2018, 32, 1196–1205. [Google Scholar] [CrossRef]
- Dong, J.; Cheng, Y.; Wang, L.; Guo, P. Establishment of the equivalent structural model for the tectonic coal and some implications for the methane migration. RSC Adv. 2020, 10, 9791–9797. [Google Scholar] [CrossRef]
- Li, G.; Wang, Y.; Wang, J.; Zhang, H.; Shen, W.; Jiang, H. Coupled Effects of Stress, Moisture Content and Gas Pressure on the Permeability Evolution of Coal Samples: A Case Study of the Coking Coal Resourced from Tunlan Coalmine. Water 2021, 13, 1653. [Google Scholar] [CrossRef]
- Geng, J.; Cao, L.; Zhong, C.; Zhang, S. An experimental study on preparation of reconstituted tectonic coal samples: Optimization of preparation conditions. Energies 2021, 14, 2846. [Google Scholar] [CrossRef]
- Gao, D.; Sang, S.; Liu, S.; Geng, J.; Wang, T.; Sun, T. Investigation of the energy evolution of tectonic coal under triaxial cyclic loading with different loading rates and the underlying mechanism. Energies 2021, 14, 8124. [Google Scholar] [CrossRef]












| Properties | Detail | Unit | Value |
|---|---|---|---|
| Physical | Density, ρ | g/cm3 | 1.36 |
| Porosity, φ | % | 2.86 | |
| Proximate analysis | Air-dried moisture, Mad | % | 0.63 |
| Dry base ash, Aad | % | 6.86 | |
| Dry ash-free volatiles, Vdaf | % | 26.09 |
| Group | NO. | Diameter/mm | Height/mm | Weight/g | Density/g⋅cm−3 |
|---|---|---|---|---|---|
| A | A1 | 50.23 | 99.78 | 266.79 | 1.35 |
| A2 | 50.06 | 100.32 | 270.37 | 1.37 | |
| A3 | 50.25 | 99.74 | 268.87 | 1.36 | |
| A4 | 50.28 | 100.21 | 268.48 | 1.35 | |
| B | B1 | 49.92 | 100.16 | 268.43 | 1.37 |
| B2 | 50.18 | 99.82 | 268.34 | 1.36 | |
| B3 | 50.06 | 99.94 | 269.35 | 1.37 | |
| C | C1 | 49.94 | 100.25 | 272.81 | 1.39 |
| C2 | 50.17 | 100.43 | 269.87 | 1.36 | |
| C3 | 50.22 | 100.26 | 265.98 | 1.34 |
Publisher’s Note: MDPI stays neutral with regard to jurisdictional claims in published maps and institutional affiliations. |
© 2022 by the authors. Licensee MDPI, Basel, Switzerland. This article is an open access article distributed under the terms and conditions of the Creative Commons Attribution (CC BY) license (https://creativecommons.org/licenses/by/4.0/).
Share and Cite
Chen, Z.; Li, G.; Wang, Y.; Li, Z.; Chi, M.; Zhang, H.; Tian, Q.; Wang, J. An Experimental Investigation of the Gas Permeability of Tectonic Coal Mineral under Triaxial Loading Conditions. Minerals 2022, 12, 70. https://doi.org/10.3390/min12010070
Chen Z, Li G, Wang Y, Li Z, Chi M, Zhang H, Tian Q, Wang J. An Experimental Investigation of the Gas Permeability of Tectonic Coal Mineral under Triaxial Loading Conditions. Minerals. 2022; 12(1):70. https://doi.org/10.3390/min12010070
Chicago/Turabian StyleChen, Zhaoying, Guofu Li, Yi Wang, Zemin Li, Mingbo Chi, Hongwei Zhang, Qingling Tian, and Junhui Wang. 2022. "An Experimental Investigation of the Gas Permeability of Tectonic Coal Mineral under Triaxial Loading Conditions" Minerals 12, no. 1: 70. https://doi.org/10.3390/min12010070
APA StyleChen, Z., Li, G., Wang, Y., Li, Z., Chi, M., Zhang, H., Tian, Q., & Wang, J. (2022). An Experimental Investigation of the Gas Permeability of Tectonic Coal Mineral under Triaxial Loading Conditions. Minerals, 12(1), 70. https://doi.org/10.3390/min12010070

