Experimental Investigation on the Energy Properties and Failure Process of Thermal Shock Treated Sandstone Subjected to Coupled Dynamic and Static Loads
Abstract
:1. Introduction
2. Materials and Methodology
2.1. Specimen Preparation
2.2. Thermal Shock Treatment
2.3. Coupled Dynamic and Static Loading Process
3. Experimental Results
3.1. Dynamic Mechanical Response of the Specimens
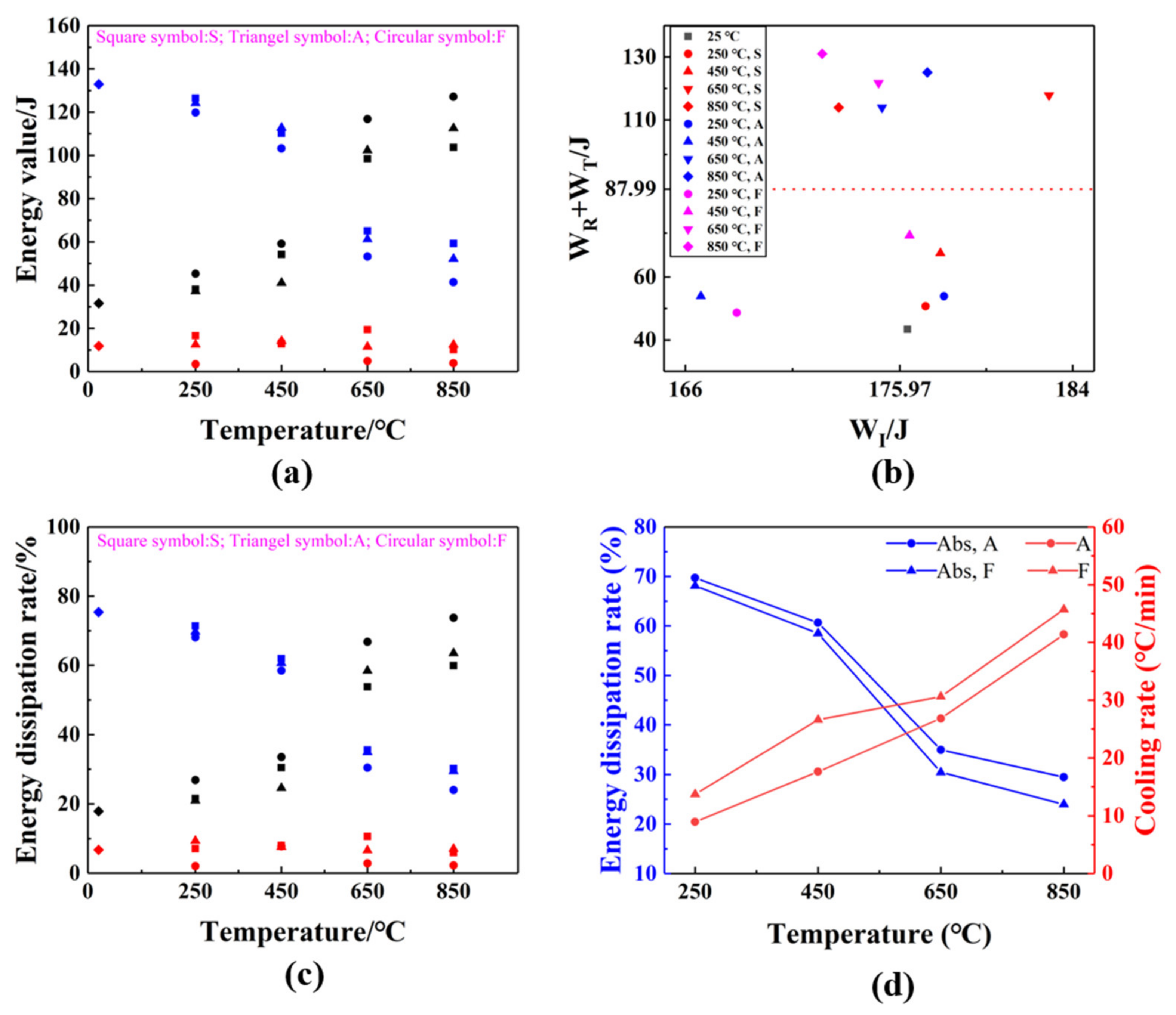
3.2. Energy Curves
3.3. Energy Dissipation Analysis
3.4. Fracture Patterns of the Sandstone Specimens
3.5. Debris Size Analysis
4. Discussion
5. Conclusions
- The dynamic compressive strength and dynamic elastic modulus of sandstone specimens decrease with the increase of heating level and cooling rate.
- As the heating level increases (same cooling rate) or cooling rate increases (same heating level), the absorbed energy decrease, while the reflected energy increases.
- According to the SEM observation, as the heating level elevates or the cooling rate accelerates, the aggravated damage caused by the microcracks increases both in dimension and quantity.
- The development of thermal microcracks facilitates fragmenting the specimen into smaller pieces under the same loading condition. This pattern is more evidently reflected as the heating level goes higher or the cooling rate becomes faster.
Author Contributions
Funding
Data Availability Statement
Conflicts of Interest
References
- Peng, K.; Zhou, J.; Zou, Q.; Zhang, J.; Wu, F. Effects of stress lower limit during cyclic loading and unloading on deformation characteristics of sandstones. Constr. Build. Mater. 2019, 217, 202–215. [Google Scholar] [CrossRef]
- Ni, A.; Xie, H.; Li, S.; Sun, Q.; Huang, D.; Cheng, Y.; Wang, N. The effect of anionic surfactant (SDS) on pore-fracture evolution of acidified coal and its significance for coalbed methane extraction. Adv. Powder Technol. 2019, 30, 940–951. [Google Scholar]
- Guo, Y.; Huang, L.; Li, X.; Chen, J.; Sun, J. Experimental investigation on the effects of thermal treatment on the physical and mechanical properties of shale. J. Nat. Gas Sci. Eng. 2020, 82, 103496. [Google Scholar] [CrossRef]
- Li, X.; Huang, S.; Yin, T.; Li, X.; Peng, K.; Fan, X.; Dang, W.; Huang, L. Dynamic Properties of Thermal Shock Treated Sandstone Subjected to Coupled Dynamic and Static Loads. Minerals 2021, 11, 889. [Google Scholar] [CrossRef]
- Langman, J.B.; Moore, M.L.; Ptacek, C.J.; Smith, L.; Sego, D.; Blowes, D.W. Diavik Waste Rock Project: Evolution of Mineral Weathering, Element Release, and Acid Generation and Neutralization during a Five-Year Humidity Cell Experiment. Minerals 2014, 4, 257–278. [Google Scholar] [CrossRef] [Green Version]
- Chen, J.; Yin, L.M.; Song, R.; Li, L. The Thermal Damage Properties of Mudstone, Gypsum and Rock Salt from Yingcheng, Hubei, China. Minerals 2015, 5, 104–116. [Google Scholar] [CrossRef] [Green Version]
- Cha, M.; Yin, X.; Kneafsey, T.; Johanson, B.; Wu, Y. Cryogenic fracturing for reservoir stimulation—Laboratory studies. J. Pet. Sci. Eng. 2014, 124, 436–450. [Google Scholar] [CrossRef] [Green Version]
- Brotóns, V.; Tomás, R.; Ivorra, S.; Alarcón, J. Temperature influence on the physical and mechanical properties of a porous rock: San julian’s calcarenite. Eng. Geol. 2013, 167, 117–127. [Google Scholar] [CrossRef]
- Sirdesai, N.; Mahanta, B.; Ranjith, P.; Singh, T. Effects of thermal treatment on physico-morphological properties of Indian fine-grained sandstone. Bull. Eng. Geol. Environ. 2019, 78, 883–897. [Google Scholar] [CrossRef]
- Hall, K.; Thorn, C.E. Thermal fatigue and thermal shock in bedrock: An attempt to unravel the geomorphic processes and products. Geomorphology 2014, 206, 1–13. [Google Scholar] [CrossRef]
- Li, X.; Li, B.; Li, X.; Yin, T.; Dang, W. Thermal shock effects on the mechanical behavior of granite exposed to dynamic loading. Arch. Civ. Mech. Eng. 2020, 20, 1–11. [Google Scholar] [CrossRef]
- Paolo, B.; Alessandro, P.; Andrea, B.; Matteo, G.; Michele, M. Thermal stability of woolly erionite-k and considerations about the heat-induced behaviour of the erionite group. Minerals 2018, 8, 28. [Google Scholar]
- Edoardo, R.; Kant, M.; Claudio, M.; Saar, M.; Philipp, R. The effects of high heating rate and high temperature on the rock strength: Feasibility study of a thermally assisted drilling method. Rock Mech. Rock Eng. 2018, 51, 2957–2964. [Google Scholar]
- Zheng, F.; Zhuang, X.; Zheng, H.; Jiao, Y.; Rabczuk, T. Discontinuous deformation analysis with distributed bond for the modelling of rock deformation and failure. Comput. Geotech. 2021, 139, 104413. [Google Scholar] [CrossRef]
- Wang, Z.; Hao, S.; Zheng, J.; Tian, N.; Zha, F.; Shi, H. Study on energy properties and failure behaviors of heat-treated granite under static and dynamic compression. Mech. Adv. Mater. Struct. 2020, 27, 462–472. [Google Scholar] [CrossRef]
- Li, M.; Gang, L.; Mao, X. Dynamic fracture and energy consumption characteristics of coal-series sandstone after heat treatment. Therm. Sci. 2019, 23, 248. [Google Scholar] [CrossRef]
- Zhang, R.; Jing, L.; Ma, Q. Experimental Study on Thermal Damage and Energy Evolution of Sandstone after High Temperature Treatment. Shock. Vib. 2018, 2018, 1–9. [Google Scholar] [CrossRef]
- Wang, Z.; Tian, N.; Wang, J.; Yang, S.; Liu, G. Mechanical response and energy dissipation analysis of heat-treated granite under repeated impact loading. Comput. Mater. Contin. 2019, 59, 275–296. [Google Scholar] [CrossRef] [Green Version]
- Shu, H.; Yin, T.; Li, X.; Yin, Z.; Tang, L. Effect of thermal treatment on energy dissipation of granite under cyclic impact loading. Trans. Nonferrous Met. Soc. China 2019, 29, 385–396. [Google Scholar] [CrossRef]
- ISRM. Suggested methods for determining water content, porosity density, absorption and related properties and swelling and slake-durability index properties. Int. J. Rock Mech. Min. Sci. Geomech. Abstr. 1979, 2, 141–156. [Google Scholar]
- Li, X.; Zhang, Z.; Chen, W.; Yin, T. Mode I and Mode II Granite Fractures after Distinct Thermal Shock Treatments. J. Mater. Civ. Eng. 2019, 31, 06019001. [Google Scholar] [CrossRef]
- Li, X.; Zhou, Z.; Lok, T.-S.; Hong, L.; Yin, T. Innovative testing technique of rock subjected to coupled static and dynamic loads. Int. J. Rock Mech. Min. Sci. 2008, 45, 739–748. [Google Scholar] [CrossRef]
- Gong, F.; Jia, H.; Zhang, Z.; Hu, J.; Luo, S. Energy Dissipation and Particle Size Distribution of Granite under Different Incident Energies in SHPB Compression Tests. Shock. Vib. 2020, 2020, 1–14. [Google Scholar] [CrossRef]
- Zhang, Z.; Kou, S.; Jiang, L.; Lindqvist, P. Effects of loading rate on rock fracture: Fracture characteristics and energy partitioning. Int. J. Rock Mech. Min. Sci. 2000, 37, 745–762. [Google Scholar] [CrossRef]
- Van der Molen, I. The shift of the α-β transition temperature of quartz associated with the thermal expansion of granite at high pressure. Tectonophysics 1981, 73, 323–342. [Google Scholar] [CrossRef]
- Antao, S.M. Quartz: Structural and thermodynamic analyses across the α-β transition with origin of negative thermal expansion (NTE) in β quartz and calcite. Acta Crystallogr. Sect. B 2016, 72, 249–262. [Google Scholar] [CrossRef] [PubMed]
- Wang, X.; Wu, B.; Wang, Q. Online SEM investigation of microcrack characteristics of concretes at various temperatures. Cem. Concr. Res. 2005, 35, 1385–1390. [Google Scholar] [CrossRef]
- Sjh, A.; Yk, B.; Tsy, B. Development of microcracks in granitic rock by liquid co2 fracturing. Int. J. Rock Mech. Min. Sci. 2021, 146, 104876. [Google Scholar]
- Long, K.; Zhang, Z.; Ring, U.; Faulkner, D.; Gamage, R. Microcracks development and porosity evolution in sandstone, sichuan basin, china: An experimental approach. Bull. Eng. Geol. Environ. 2021, 10, 7717–7729. [Google Scholar] [CrossRef]
















| Diameter of the Bar (mm) | 50 |
| Incident bar length (mm) | 2000 |
| Absorbing bar length (mm) | 500 |
| Transmission bar length (mm) | 1500 |
| Elastic modulus (GPa) | 240 |
| Poisson’s ratio | 0.28 |
| P-wave velocity (m/s) | 5400 |
| Density (kg/m3) | 7800 |
| Temperature (°C) | EI (J) | ER (J) | ET (J) | EA (J) |
|---|---|---|---|---|
| 25 | 176.32 | 31.57 | 11.82 | 132.93 |
| Stove-cooled | ||||
| 250 | 177.16 | 38.18 | 12.54 | 126.44 |
| 450 | 177.85 | 54.17 | 13.48 | 110.20 |
| 650 | 182.90 | 98.41 | 19.42 | 65.07 |
| 850 | 173.13 | 110.67 | 10.18 | 52.28 |
| Air-cooled | ||||
| 250 | 178.02 | 37.27 | 16.63 | 124.12 |
| 450 | 177.72 | 57.01 | 12.91 | 107.80 |
| 650 | 175.14 | 102.38 | 11.52 | 61.24 |
| 850 | 177.25 | 112.59 | 12.45 | 52.21 |
| Freezer-cooled | ||||
| 250 | 168.39 | 50.32 | 3.38 | 114.69 |
| 450 | 176.42 | 59.11 | 14.14 | 103.17 |
| 650 | 174.98 | 116.81 | 4.91 | 53.26 |
| 850 | 172.36 | 127.13 | 3.89 | 41.34 |
Publisher’s Note: MDPI stays neutral with regard to jurisdictional claims in published maps and institutional affiliations. |
© 2021 by the authors. Licensee MDPI, Basel, Switzerland. This article is an open access article distributed under the terms and conditions of the Creative Commons Attribution (CC BY) license (https://creativecommons.org/licenses/by/4.0/).
Share and Cite
Li, X.; Huang, S.; Yin, T.; Li, X.; Peng, K.; Fan, X. Experimental Investigation on the Energy Properties and Failure Process of Thermal Shock Treated Sandstone Subjected to Coupled Dynamic and Static Loads. Minerals 2022, 12, 25. https://doi.org/10.3390/min12010025
Li X, Huang S, Yin T, Li X, Peng K, Fan X. Experimental Investigation on the Energy Properties and Failure Process of Thermal Shock Treated Sandstone Subjected to Coupled Dynamic and Static Loads. Minerals. 2022; 12(1):25. https://doi.org/10.3390/min12010025
Chicago/Turabian StyleLi, Xiang, Si Huang, Tubing Yin, Xibing Li, Kang Peng, and Xiaodong Fan. 2022. "Experimental Investigation on the Energy Properties and Failure Process of Thermal Shock Treated Sandstone Subjected to Coupled Dynamic and Static Loads" Minerals 12, no. 1: 25. https://doi.org/10.3390/min12010025
APA StyleLi, X., Huang, S., Yin, T., Li, X., Peng, K., & Fan, X. (2022). Experimental Investigation on the Energy Properties and Failure Process of Thermal Shock Treated Sandstone Subjected to Coupled Dynamic and Static Loads. Minerals, 12(1), 25. https://doi.org/10.3390/min12010025

