Age and Geochemistry of Late Jurassic Mafic Volcanic Rocks in the Northwestern Erguna Block, Northeast China
Abstract
:1. Introduction
2. Geological Setting and Sample Descriptions
3. Methods
4. Results
4.1. Zircon U-Pb Ages
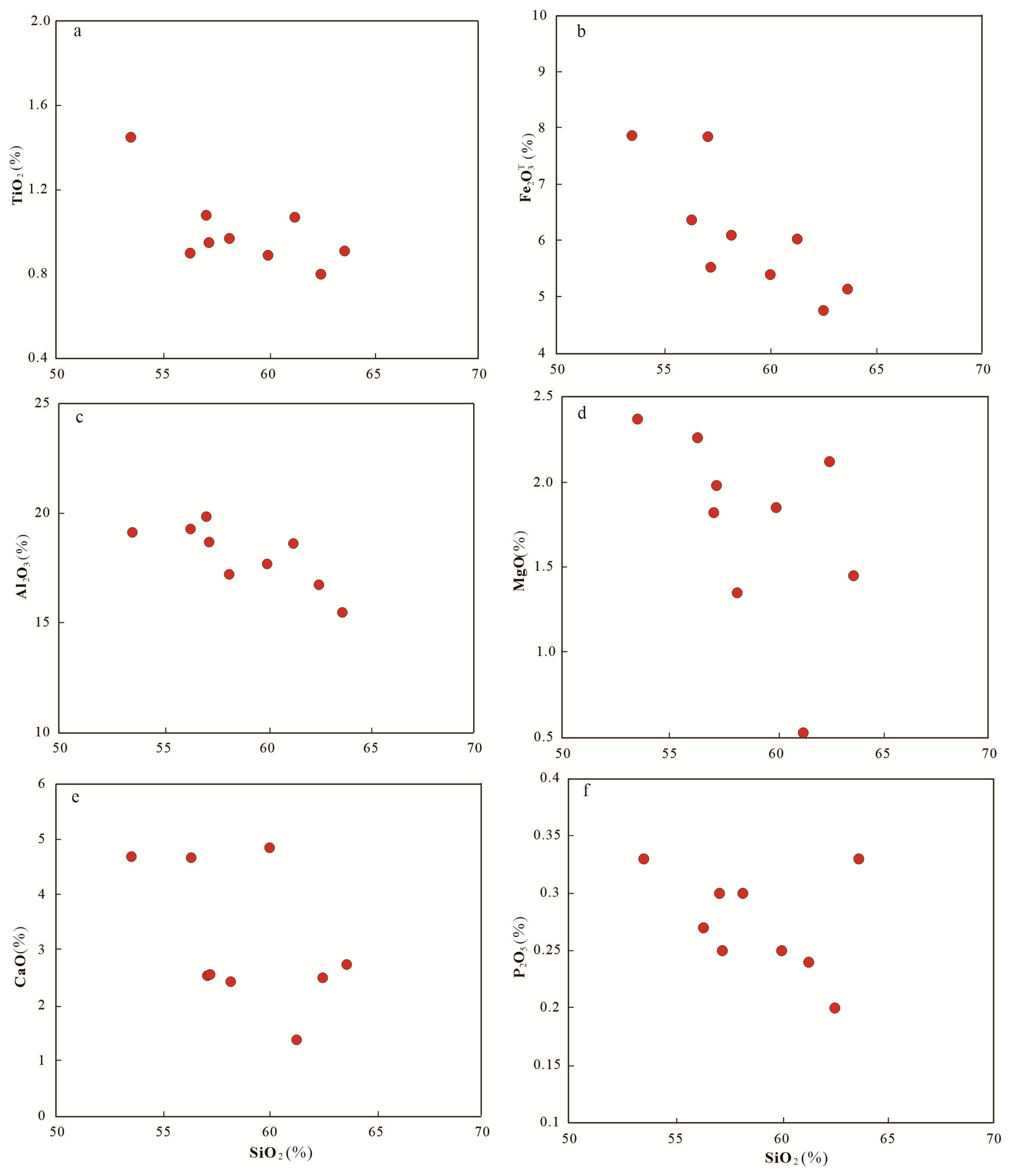
4.2. Whole-Rock Major and Trace Element Composition
5. Discussion
5.1. Ages of Mafic Volcanic Rocks
5.2. Petrogenesis and the Nature of the Magma Source
5.3. Tectonic Background of Andesite Formation
6. Conclusions
- (1)
- The mafic volcanic rocks of the Badaguan area in the northern part of the Da Xing’anling Mountains region formed during the Late Jurassic (157–161 Ma).
- (2)
- These rocks likely derived from the partial melting of the lithosphere, previously metasomatized by subduction-related fluid with some contribution of subducted sediments.
- (3)
- The studied mafic volcanic rocks likely formed by lithospheric extension after the closure of the Mongol-Okhotsk Ocean.
Supplementary Materials
Author Contributions
Funding
Data Availability Statement
Acknowledgments
Conflicts of Interest
References
- Zhang, J.H.; Gao, S.; Ge, W.C.; Wu, F.Y.; Yang, J.H.; Wilde, S.A.; Li, M. Geochronology of the Mesozoic volcanic rocks in the Great Xingan Range, northeastern China: Implications for subduction induced delamination. Chem. Geol. 2010, 276, 144–165. [Google Scholar] [CrossRef]
- Xu, W.L.; Pei, F.P.; Wang, F.; Meng, E.; Ji, W.Q.; Yang, D.B.; Wang, W. Spatial-temporal relationships of Mesozoic volcanic rocks in NE China: Constrain on tectonic overprinting and transformations between multiple tectonic regimes. J. Asian Earth Sci. 2013, 74, 167–193. [Google Scholar] [CrossRef]
- Liu, Y.J.; Li, W.M.; Feng, Z.Q.; Wen, Q.B.; Neubauer, F.; Liang, C.Y. Review of the Paleozoic tectonics in the eastern part of Central Asian Orogenic Belt. Gondwana Res. 2017, 43, 123–148. [Google Scholar] [CrossRef]
- Ji, Z.; Ge, W.C.; Yang, H.; Bi, J.H.; Yu, Q.; Dong, Y. The late Triassic Andean type andesite from the central Great Xingan Range: Produces of the southward subduction of the Mongol Okhotsk oceanic plate. Acta Petrol. Sin. 2018, 34, 2917–2930, (In Chinese with English Abstract). [Google Scholar]
- Mao, A.Q.; Sun, D.Y.; Yang, D.G.; Tang, Z.Y.; Zheng, H. Petrogenesis and tectonic implications of Early Cretaceous volcanic rocks from the Shanghulin Basin within the north-western Great Xing’an Range, NE China: Constraints from geochronology and geochemistry. Geol. J. 2019, 55, 3476–3496. [Google Scholar] [CrossRef]
- Jin, R.S.; Miao, P.S.; SiMa, X.Z.; Li, J.G.; Zhao, H.L.; Zhao, F.Q.; Feng, X.X.; Chen, Y.; Chen, L.L.; Zhao, L.J. Structure styles of Mesozoic-Cenozoic U-bearing rock series in Northern China. Acta Geol. Sin. 2016, 90, 2104–2116. [Google Scholar] [CrossRef]
- Wang, F.F.; Liu, C.Y.; Qiu, X.W.; Guo, P.; Zhang, S.H.; Cheng, X.H. Characteristics and distribution of world’s identified sandstone-type uranium resources. Acta Geol. Sin. 2017, 91, 2021–2046, (In Chinese with English Abstract). [Google Scholar]
- Wang, W. Geochronology and Geochemistry of the Early Jurassic Volcanic Rocks in the Manzhouli-Erguna Area, NE China, Inner Mongolia. Master’s Thesis, Jilin University, Changchun, China, 2014; pp. 1–100, (In Chinese with English Abstract). [Google Scholar]
- Zhou, J.B.; Wilde, S.A.; Zhao, G.C.; Han, J. Nature and assembly of microcontinental blocks within the Paleo-Asian Ocean. Earth Sci. Rev. 2018, 186, 76–93. [Google Scholar] [CrossRef]
- Zhang, J.H.; Ge, W.C.; Wu, F.Y.; Wilde, S.A.; Yang, J.H.; Liu, X.M. Large-scale Early Cretaceous volcanic events in the northern Great Xing’an Range, northeastern China. Lithos 2008, 102, 138–157. [Google Scholar] [CrossRef]
- Cheng, Y.H.; Li, Y.; Wang, S.Y.; Li, Y.F.; Ao, C.; Li, J.G.; Sun, L.X.; Li, H.L.; Zhang, T.F. Late Cretaceous tectono-magmatic event in Songliao Basin, NE China: New insights from mafic dyke geochronology and geochemistry analysis. Geol. J. 2018, 53, 2991–3008. [Google Scholar] [CrossRef]
- Ge, W.C.; Lin, Q.; Sun, D.Y.; Wu, F.Y.; Li, X.H. Geochemical research into origins of two types of mesozoic rhyolites in Daxing’anling. Earth Sci. 2000, 25, 172–178, (In Chinese with English Abstract). [Google Scholar]
- Zhao, Z.H.; Sun, D.Y.; Gou, J.; Ren, Y.S.; Fu, C.L.; Zhang, X.Y.; Wang, X.; Liu, X.M. Chronology and geochemistry of volcanic rocks in Tamulangou Formation from Southern Manzhouli, Inner—Mongolia. J. Jilin Univ. (Earth Sci. Ed.) 2011, 41, 1865–1879, (In Chinese with English Abstract). [Google Scholar]
- Lin, Q.; Ge, W.C.; Sun, D.Y.; Wu, F.Y. Geomechanical significance of the Mesozoic volcanics in Northeast Asia. Chin. J. Geophys. 1999, 42, 75–84, (In Chinese with English Abstract). [Google Scholar]
- Lin, Q.; Ge, W.C.; Sun, D.Y.; Wu, F.Y.; Chong, K.W.; Kyung, D.M.; Myung, S.J.; Moon, W.W.; Chi, S.K.; Sung, H.Y. Tectonic significance of Mesozoic volcanic rocks in Northeastern China. Sci. Geol. Sin. 1998, 33, 129–139, (In Chinese with English Abstract). [Google Scholar]
- Deng, J.F.; Mo, X.X.; Zhao, H.L.; Wu, Z.X.; Luo, Z.H.; Su, S.G. A new model for the dynamic evolution of Chinese lithosphere: Continental roots-plume tectonics. Earth Sci. Rev. 2004, 65, 223–275. [Google Scholar] [CrossRef]
- Lin, Q.; Ge, W.C.; Cao, L.; Sun, D.Y.; Lin, J.G. Geochemistry of Mesozoic volcanic rocks in Daxing’Anling: The bimodal volcanic rocks. Geochimic 2003, 32, 208–222, (In Chinese with English Abstract). [Google Scholar]
- Wang, P.J.; Chen, F.K.; Shen, S.M. Geochemical and Nd-Sr-Pbisotopic composition of Mesozoic volcanic rocks in the Songliao basin, NE China. Geochem. J. 2006, 40, 149–159. [Google Scholar] [CrossRef] [Green Version]
- Zhang, J.H.; Ge, W.C.; Wu, F.Y.; Liu, X.M. Mesozoic bimodal volcanic suite in Zhalantun of the Da Hinggan Range and its geological significance: Zircon U-Pb age and Hf isotopic constraints. Acta Geol. Sin. 2006, 80, 58–69. [Google Scholar]
- Chen, L.L.; Cheng, Z.G. Petrology and zircon chronology of the Dorolj in Hinggan League, Inner Mongolia. Geol. China 2015, 42, 891–908, (In Chinese with English Abstract). [Google Scholar]
- Zhang, L.C.; Chen, Z.G.; Zhou, X.H.; Ying, J.F.; Zhang, Y.T. Characteristics of deep sources andtectonic-magmatic evolution of the early Cretaceous volcanics in Genhe area. Da-Hinggan Mountains: Constraints of Sr-Nd-Pb-Hf isotopic geochemistry. Act. Petrol. Sinic. 2007, 23, 2823–2835, (In Chinese with English abstract). [Google Scholar]
- Li, J.Y. Permian geodynamic setting of Northeast China and adjacent regions: Closure of the Paleo Asian Ocean and subduction of the Paleo Pacific Plate. J. Asian Earth Sci. 2006, 26, 207–224. [Google Scholar] [CrossRef]
- Wang, W.; Tang., J.; Xu, W.L.; Wang, F. Geochronology and geochemistry of Early Jurassic volcanic rocks in the Erguna Massif, northeast China: Petrogenesis and implications for the tectonic evolution of the Mongol–Okhotsk suture belt. Lithos 2015, 218–219, 73–86. [Google Scholar] [CrossRef]
- Dong, Y.; Ge, W.C.; Yang, H.; Wang, Q.; Zhang, Y.; Su, L. Geochronology and geochemistry of Early Cretaceous volcanic rocks from the Baiyingaolao Formation in the central Great Xing’an Range, NE China, and its tectonic implications. Lithos 2016, 205, 168–184. [Google Scholar] [CrossRef]
- Tang, J.; Xu, W.L.; Wang, F.; Wang, W.; Xu, M.J.; Zhang, Y.H. Geochronology and geochemistry of Neoproterozoic magmatism in the Erguna Massif, NE China: Petrogenesis and implications for the breakup of the Rodinia supercontinent. Precambrian Res. 2013, 224, 597–611. [Google Scholar] [CrossRef]
- Mi, K.; Liu, Z.; Li, C.; Liu, R.; Wang, J.; Peng, R. Origin of the Badaguan porphyry Cu-Mo deposit, Inner Mongolia, northeast China: Constraints from geology, isotope geochemistry and geochronology. Ore Geol. Rev. 2017, 81, 154–172. [Google Scholar] [CrossRef]
- Li, Y.; Wang, J.; Han, Z.; Hou, X.G.; Wang, S.Y. Zircon U-Pb dating and petrogensis of the early Jurassic Rhyolite in Badaguan from Northern of Daxinganling Mountains. Geol. China 2017, 47, 346–357, (In Chinese with English Abstract). [Google Scholar]
- Liu, H.C.; Li, Y.L.; He, H.Y.; Huangfu, P.P.; Liu, Y.Z. Two-phase southward subduction of the Mongol-Okhotsk oceanic plate constrained by Permian-Jurassic granitoids in the Erguna and Xing’an massifs (NE China). Lithos 2018, 304–307, 347–361. [Google Scholar] [CrossRef]
- Ge, W.C.; Wu, F.Y.; Zhou, C.Y.; Abdel Rahman, A.A. Emplacement age of the Tahe granite and its constraints on the tectonic nature of the Erguna block in the northern part of the Da Xing’an Range. Chin. Sci. Bull. 2005, 50, 2097–2105. [Google Scholar] [CrossRef]
- IMBGMR (Inner Mongolia Bureau of Geology Mineral Resources). Stratigraphy (Lithostratigraphic) of Nei Mongol Autonomous Region; China University of Geosciences Press: Wuhan, China, 1996; p. 344, (In Chinese with English Abstract). [Google Scholar]
- Yang, Y.T.; Guo, Z.X.; Song, C.C.; Li, X.B.; He, S. A short-lived but significant Mongol-Okhotsk collisional orogeny in latest Jurassic-earliest Cretaceous. Gondwana Res. 2015, 28, 1096–1116. [Google Scholar] [CrossRef]
- Lin, T.; Ji, F.; Bian, H.Y.; Sun, K.; Zhang, S.J.; Biao, S.H. Exhumation time of basement-uplift constrained by ages of the detrital zircons from Paleozoic clastic rocks in Fulin area, Great Hinggan Mountains. Geol. Rev. 2015, 61, 402–414. [Google Scholar]
- Miao, L.C.; Liu, D.Y.; Zhang, F.Q.; Fan, W.M.; Shi, Y.R.; Xie, H.Q. Zircon SHRIMP U–Pb ages of the“Xinghuadukou Group” in Hanjiayuanzi and Xinlin areas and the “Zhalantun Group” in Inner Mongolia, Da Hinggan mountains. Chin. Sci. Bull. 2007, 52, 1112–1134. [Google Scholar] [CrossRef]
- Deng, C.Z.; Li, G.H. The Cu-Mo mineralization of the Late Jurassic porphyry in the Northern Great Xing’an Range: Constraints from zircon U-Pb ages of the Ore-Causative Granites. Acta Geol. 2019, 93, 236–237. [Google Scholar] [CrossRef] [Green Version]
- Gou, J.; Sun, D.Y.; Ren, Y.S.; Liu, Y.J.; Zhang, S.Y.; Fu, C.L.; Liu, X.M. Petrogenesis and geodynamic setting of Neoproterozoic and Late Paleozoic magmatism in the Manzhouli-Erguna area of Inner Mongolia, China: Geochronological, geochemical and Hf isotopic evidence. J. Asian Earth Sci. 2013, 67–68, 114–137. [Google Scholar] [CrossRef]
- Donskaya, T.V.; Gladkochub, D.P.; Mazukabzov, A.M. Late Paleozoic-Mesozoic subduction-related magmatism at the southern margin of the Siberian continent and the 150 million-year history of the Mongol-Okhotsk Ocean. J. Asian Earth Sci. 2013, 62, 79–97. [Google Scholar] [CrossRef]
- Sorokin, A.A.; Kudryashov, N.M.; Li, J.Y.; Zhuravlev, D.Z.; Yan, P.; Sun, G.H.; Gao, L.M. Early Paleozoic granitoids in the eastern margin of the Argun terrane, Amur area: First geochemical and geochronologic data. Petrology 2004, 12, 367–376. [Google Scholar]
- Sorokin, A.A.; Zaika, V.A.; Kovach, V.P.; Kotov, A.B.; Xu, W.; Yang, H. Timing of closure of the eastern Mongol-Okhotsk Ocean: Constraints from U-Pb and Hf isotopic data of detrital zircons from metasediments along the Dzhagdy Transect. Gondwana Res. 2020, 81, 58–78. [Google Scholar] [CrossRef]
- Anderson, T. Correction of common lead in U-Pb analyses that do not report 204Pb. Chem. Geol. 2002, 192, 59–79. [Google Scholar] [CrossRef]
- Belousova, E.A.; Griffin, W.L.; O’Reilly, S.Y. Igneous zircon: Trace element composition as an indicator of source rock type. Contrib. Mineral. Petrol. 2002, 143, 602–622. [Google Scholar] [CrossRef]
- Maniar, P.D.; Piccoli, P.M. Tectonic discrimination of granitoids. Geol. Soc. Am. Bull. 1989, 101, 635–643. [Google Scholar] [CrossRef]
- Sun, S.S.; McDonough, W.F. Chemical and Isotopic Systematics of Oceanic Basalts: Implications for Mantle Composition and Processes. In Magmatism in Ocean Basins; Saunders, A.D., Norry, M.J., Eds.; Geological Society of Special Publication: London, UK, 1989; Volume 27, pp. 313–345. [Google Scholar]
- Chen, L.; Zhao, Z.F. Origin of continental arc andesites: The composition of source rocks is the key. J. Asian Earth Sci. 2017, 145, 217–232. [Google Scholar] [CrossRef]
- Yu, Q.; Ge, W.C.; Zhang, J.; Zhao, G.C.; Zhang, Y.L.; Yang, H. Geochronology, petrogenesis and tectonic implication of Late Paleozoic volcanic rocks from the Dashizhai Formation in Inner Mongolia, NE China. Gondwana Res. 2017, 43, 164–177. [Google Scholar] [CrossRef]
- Zheng, H.; Sun, X.M.; Wan, K.; Wang, P.J.; He, S.; Zhang, X.Q. Structure and tectonic evolution of the Late Jurassic–Early Cretaceous Wandashan accretionary complex, NE China. Int. Geol. Rev. 2019, 61, 17–38. [Google Scholar] [CrossRef]
- Lee, C.T.A.; Lee, T.C.; Wu, C.T. Modeling the compositional evolution of recharging, evacuating, and fractionating (REFC) magmas Chambers: Implications for differentiation of arc magmas. Geochim. Cosmochim. Acta 2014, 143, 8–22. [Google Scholar] [CrossRef]
- Guo, F.; Nakamuru, E.; Fan, W.M.; Kobayoshi, K.; Li, C.W. Generation of Palaeocene adakitic andesites by magma mixing in Yanji area, NE China. J. Petrol. 2007, 48, 661–692. [Google Scholar] [CrossRef]
- Jung, S.; Hoernes, S.; Mezger, K. Synorogenic melting of mafic lower crust: Constraints from geochronology, petrology and Sr, Nd, Pb and O isotope geochehemistry of quartz diorites (Damara orogen, Namibia). Contrib. Mineral. Petrol. 2002, 143, 551–566. [Google Scholar] [CrossRef]
- Rapp, R.P.; Watson, E.B. Dehydration melting of metabasalt at 8~32kbar: Implications for continental growth and crust mantle recycling. J. Petrol. 1995, 36, 891–931. [Google Scholar] [CrossRef]
- Sun, D.Y.; Gou, J.; Ren, Y.S.; Fu, C.L.; Wang, X.; Liu, X.M. Zircon U-Pb dating and study on geochemistry of volcanic rocks in Manitu Formation from southern Manchuria, Inner Mongolia. Acta Petrol. Sin. 2011, 27, 3083–3094, (In Chinese with English Abstract). [Google Scholar]
- Sun, D.Y.; Gou, J.; Wang, T.H.; Ren, Y.S.; Liu, Y.J.; Guo, H.Y.; Zhao, C.H. Geochronological and geochemical constraints on the Erguna massif basement, NE China-Subduction history of the Mongol-Okhotsk oceanic crust. Int. Geol. Rev. 2013, 55, 1801–1816. [Google Scholar] [CrossRef]
- Wang, T.H.; Zhang, S.Y.; Sun, D.Y.; Gou, J.; Ren, Y.S.; Wu, P.F.; Liu, X.M. Zircon U-Pb ages and Hf isotopic characteristics of Mesozoic granitoids from southern Manzhouli, Inner Mongolia. Glob. Geol. 2014, 33, 26–33, (In Chinese with English Abstract). [Google Scholar]
- Tang, J.; Xu, W.L.; Wang, F.; Zhao, S.; Li, Y. Geochronology, geochemistry, and deformation history of Late Jurassic–Early Cretaceous intrusive rocks in the Erguna Massif, NE China: Constraints on the late Mesozoic tectonic evolution of the Mongol–Okhotsk Orogenic belt. Tectonophysics 2015, 658, 91–110. [Google Scholar] [CrossRef]
- Shi, L.; Zheng, C.Q.; Yao, W.G.; Li, J.; Cui, F.; Gao, F.H.; Han, X.M. Geochronological framework and tectonic setting of the granitic magmatism in the Chaihe–Moguqi region, central Great Xing’an Range, China. J. Asian Earth Sci. 2015, 113, 443–453. [Google Scholar] [CrossRef]
- Gou, J.; Sun, D.Y.; Liu, Y.J.; Ren, Y.S.; Zhao, Z.H.; Liu, X.M. Geochronology, petrogenesis, and tectonic setting of Mesozoic volcanic rocks, southern Manzhouli area, Inner Mongolia. Int. Geol. Rev. 2013, 55, 1029–1048. [Google Scholar] [CrossRef]
- Woodhead, J.D.; Eggins, S.M.; Johnson, R.W. Magma Genesis in the New Britain Island Arc: Further Insights into Melting and Mass Transfer Processes. J. Petrol. 1998, 39, 1641–1668. [Google Scholar] [CrossRef]
- Goswamin, T.K. Subduction related magmatic constrains fromm the REE pattern in the Lohit Batholith, Aranachal Pradesh, India. Geosciences 2013, 3, 128–141. [Google Scholar]
- Gou, J. Geochronology, Petrogenesis and Tectonic Setting of Mesozoic Volcanic Rocks, Southern Manzhouli. Ph.D. Dissertation, Jilin University, Changchun, China, 2013; pp. 1–89. [Google Scholar]
- Defant, M.J.; Drummond, M.S. Derivation of some modern magmas by melting of young subducted lithosphere. Nature 1990, 347, 662–665. [Google Scholar] [CrossRef]
- Wang, Z.H. The Mesozoic Early Cenozoic Tectono Magmatic Evolution of the Nadanhada Terrance. Ph.D. Dissertation, Jilin University, Changchun, China, 2017; pp. 1–100, (In Chinese with English Abstract). [Google Scholar]
- Tang, J.; Xu, W.L.; Wang, F.; Wang, W.; Xu, M.J.; Zhang, Y.H. Geochronology and geochemistry of Early–Middle Triassic magmatism in the Erguna Massif, NE China: Constraints on the tectonic evolution of the Mongol-Okhotsk suture belt. Lithos 2014, 184–187, 1–16. [Google Scholar] [CrossRef]
- Chen, Z.G.; Zhang, L.C.; Lu, B.Z.; Li, Z.L.; Wu, H.Y.; Xiang, P.; Huang, S.W. Geochronology and geochemistry of the Taipingchuan copper-molybdenum deposit in Inner Mongolia, and its geological significances. Acta Petrol. Sin. 2010, 26, 1437–1449, (In Chinese with English Abstract). [Google Scholar] [CrossRef]
- Chen, Z.G.; Zhang, L.C.; Wan, B.; Zhang, Y.B.; Wu, H.Y. Geochemistry amd geological significances of ore-foeming porphyry with low Sr and Yb value in Wunugetushancopper-mdybednum deposit, Inner Mongolia. Acta Petrol. Sin. 2008, 24, 115–128, (In Chinese with English Abstract). [Google Scholar]
- Zhao, Q.; Xiao, R.G.; Zhang, D.H.; Wang, J.P.; Zhang, Y.F.; Li, P.P. Petrogenesis and tectonic setting of ore-associated intrusive rocks in the Baiyinnuoer Zn–Pb deposit, southern Great Xing’an Range (NE China): Constraints from zircon U–Pb dating, geochemistry, and Sr–Nd–Pb isotopes. Minerals 2020, 10, 19. [Google Scholar] [CrossRef] [Green Version]
- Gou, J.; Sun, D.Y.; Qin, Z. Late Jurassic–Early Cretaceous tectonic evolution of the Great Xing’an Range:Geochronological and geochemical evidence from granitoids and volcanic rocks in the Erguna Block, NE China. Int. Geol. Rev. 2019, 61, 1842–1863. [Google Scholar] [CrossRef]
- Gou, J.; Sun, D.Y.; Ren, Y.S.; Hou, X.G.; Yang, D.G. Geochemical and Hf isotopic compositions of Late Triassic–Early Jurassic intrusions of the Erguna Block, Northeast China: Petrogenesis and tectonic implications. Int. Geol. Rev. 2017, 59, 347–367. [Google Scholar] [CrossRef]
- Li, L.; Xiong, X.L.; Liu, X.C. Nb/Ta fractionnation by amphiboel in hydrous basaltic system: Implications for arc magma evoluction and contiental crust formation. J. Petrol. 2017, 58, 3–328. [Google Scholar]
- Bailey, J.C. Geochemical criteria for a refined tectonic discrimination of orogenic and esites. Chem. Geol. 1981, 32, 139–154. [Google Scholar] [CrossRef]
- Wood, D.A. The applications of a Th-Hf/3-Nb/12 diagram to problems of tectono magmatic classification and to establishing the nature of crustal contamination of basaltic lavas of the British Tertiary volcanic province. Earth Planet. Sci. Lett. 1998, 50, 11–30. [Google Scholar] [CrossRef]









Publisher’s Note: MDPI stays neutral with regard to jurisdictional claims in published maps and institutional affiliations. |
© 2021 by the authors. Licensee MDPI, Basel, Switzerland. This article is an open access article distributed under the terms and conditions of the Creative Commons Attribution (CC BY) license (https://creativecommons.org/licenses/by/4.0/).
Share and Cite
Li, Y.; Nie, F.-J.; Yan, Z.-B. Age and Geochemistry of Late Jurassic Mafic Volcanic Rocks in the Northwestern Erguna Block, Northeast China. Minerals 2021, 11, 1010. https://doi.org/10.3390/min11091010
Li Y, Nie F-J, Yan Z-B. Age and Geochemistry of Late Jurassic Mafic Volcanic Rocks in the Northwestern Erguna Block, Northeast China. Minerals. 2021; 11(9):1010. https://doi.org/10.3390/min11091010
Chicago/Turabian StyleLi, Yan, Feng-Jun Nie, and Zhao-Bin Yan. 2021. "Age and Geochemistry of Late Jurassic Mafic Volcanic Rocks in the Northwestern Erguna Block, Northeast China" Minerals 11, no. 9: 1010. https://doi.org/10.3390/min11091010
APA StyleLi, Y., Nie, F.-J., & Yan, Z.-B. (2021). Age and Geochemistry of Late Jurassic Mafic Volcanic Rocks in the Northwestern Erguna Block, Northeast China. Minerals, 11(9), 1010. https://doi.org/10.3390/min11091010
