Dynamic Properties of Thermal Shock Treated Sandstone Subjected to Coupled Dynamic and Static Loads
Abstract
:1. Introduction
2. Experimental Material and Testing Procedure
2.1. Specimen Preparation
2.2. Thermal Shock Treatment
2.3. Coupled Dynamic and Static Loading Process
3. Results
3.1. Physical Properties of Specimens after TS
3.1.1. Dry Density
3.1.2. P-Wave Velocity
3.1.3. Porosity
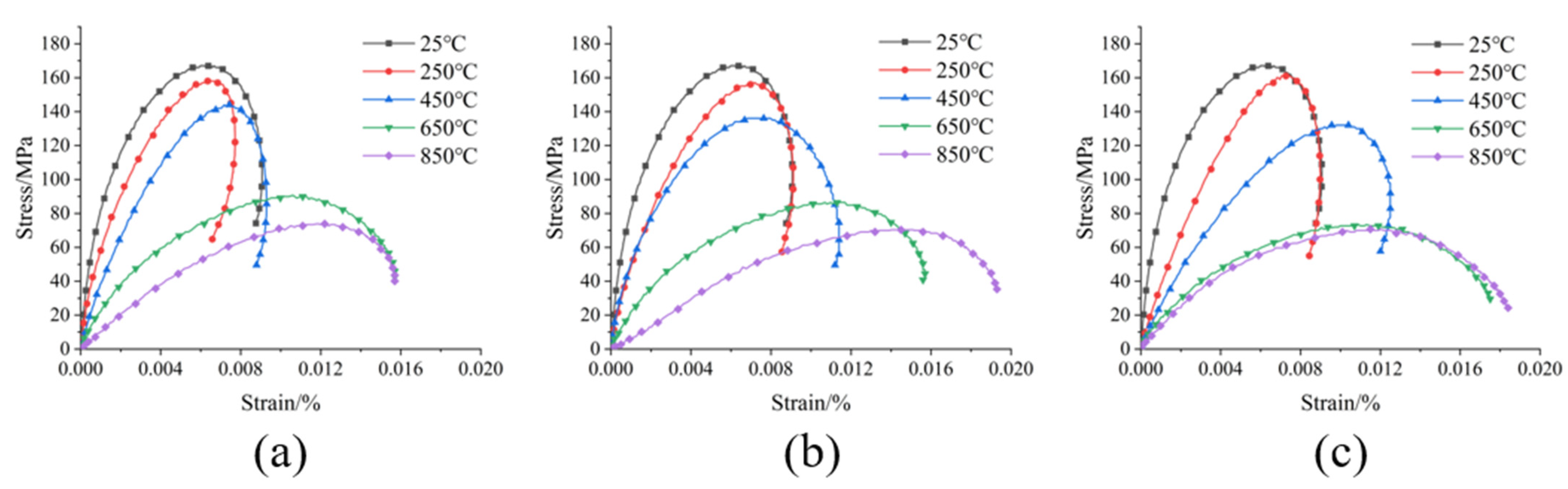
3.2. Dynamic Combined Strength of Sandstone
3.3. Failure Mode of Sandstone under Coupled Dynamic and Static Loads
3.4. Microscopic Characteristics of Sandstone Failure
4. Discussion
4.1. Effect of Quartz Content
4.2. Damage Mechanisms of Sandstone Induced by Thermal Shock
5. Conclusions
- As the heating level increases, the dry density and P-wave velocity of the heated sandstone decrease, while the porosity increases. In particular, a sharp change in the physical properties of sandstone can be observed at 650 °C. At any heating level, the dry density and P-wave velocity of the freezer-cooled sandstone specimens are lower than that of the air-cooled sandstone specimens, whereas the porosity has the opposite trend;
- The dynamic combined strength of sandstone decreases as the heating level rises. For the same heating levels (450–850 °C), the freezer-cooled specimen has lower dynamic combined strength than the air-cooled specimen. In addition, a sharp drop in the dynamic combined strength occurs at the heat temperature of 650 °C, which is believed to be caused by the α-β transition of quartz at 573 °C;
- The failure mode of sandstone changes with the increase in temperature. In addition, higher cooling rates also have a significant impact on the failure mode of sandstone for each heating level. In addition, mainly transgranular fractures occur at lower heating levels such as 250 °C, whereas large amounts of intergranular fractures occur at higher temperatures (450–850 °C);
- The TS condition can occur inside the rock during the air cooling and freezer cooling process. It is understood that the mechanism of TS is affected by many factors. In this work, the mechanism of TS mainly takes into account the combined effect of the non-uniformity of mineral thermal expansion and temperature gradient, both of which promote the development of rock cracks and pores and cause a change in the microstructure. In particular, two typical fracture patterns (orthogonal and polygonal fractures) reflecting the action of TS are observed through SEM, and a kind of transcrystalline step-like fracture morphology is also observed.
Author Contributions
Funding
Data Availability Statement
Conflicts of Interest
References
- Yin, T.; Bai, L.; Li, X.; Li, X.; Zhang, S. Effect of thermal treatment on the mode I fracture toughness of granite under dynamic and static coupling load. Eng. Fract. Mech. 2018, 199, 143–158. [Google Scholar] [CrossRef]
- Ding, Q.-L.; Ju, F.; Mao, X.-B.; Ma, D.; Yu, B.-Y.; Song, S. Experimental Investigation of the Mechanical Behavior in Unloading Conditions of Sandstone After High-Temperature Treatment. Rock Mech. Rock Eng. 2016, 49, 2641–2653. [Google Scholar] [CrossRef]
- Jin, P.; Hu, Y.; Shao, J.; Liu, Z.; Feng, G.; Song, S. Influence of Temperature on the Structure of Pore–Fracture of Sandstone. Rock Mech. Rock Eng. 2020, 53, 1–12. [Google Scholar] [CrossRef]
- Shang, J.; Jayasinghe, B.; Xiao, F.; Duan, K.; Nie, W.; Zhao, Z. Three-dimensional DEM investigation of the fracture behaviour of thermally degraded rocks with consideration of material anisotropy. Theor. Appl. Fract. Mech. 2019, 104, 104. [Google Scholar] [CrossRef]
- Peng, K.; Shi, S.; Zou, Q.; Wen, Z.; Wang, Y.; Jiang, Z.; Zheng, C. Quantitative Characteristics of Energy Evolution of Gas-Bearing Coal Under Cyclic Loading and its Action Mechanisms on Coal and Gas Outburst. Rock Mech. Rock Eng. 2021, 54, 3115–3133. [Google Scholar] [CrossRef]
- Miao, S.; Li, Y.; Tan, W.; Ren, F. Relation between the in-situ stress field and geological tectonics of a gold mine area in Jiaodong Peninsula, China. Int. J. Rock Mech. Min. Sci. 2012, 51, 76–80. [Google Scholar] [CrossRef]
- Chen, J.; Yin, L.M.; Song, R.; Li, L. The Thermal Damage Properties of Mudstone, Gypsum and Rock Salt from Yingcheng, Hubei, China. Minerals 2015, 5, 104–116. [Google Scholar] [CrossRef] [Green Version]
- Heap, M.J.; Kushnir, A.R.; Vasseur, J.; Wadsworth, F.B.; Harlé, P.; Baud, P.; Kennedy, B.M.; Troll, V.R.; Deegan, F.M. The thermal properties of porous andesite. J. Volcanol. Geotherm. Res. 2020, 398, 106901. [Google Scholar] [CrossRef]
- Xu, T.; Zhou, G.L.; Heap, M.; Zhu, W.C.; Chen, C.F.; Baud, P. The Influence of Temperature on Time-Dependent Deformation and Failure in Granite: A Mesoscale Modeling Approach. Rock Mech. Rock Eng. 2017, 50, 2345–2364. [Google Scholar] [CrossRef]
- Violay, M.; Heap, M.; Acosta, M.; Madonna, C. Porosity evolution at the brittle-ductile transition in the continental crust: Implications for deep hydro-geothermal circulation. Sci. Rep. 2017, 7, 1–10. [Google Scholar] [CrossRef]
- Pimienta, L.; Orellana, L.F.; Violay, M. Variations in Elastic and Electrical Properties of Crustal Rocks with Varying Degree of Microfracturation. J. Geophys. Res. Solid Earth 2019, 124, 6376–6396. [Google Scholar] [CrossRef]
- Riebe, C.S.; Kirchner, J.W.; Finkel, R.C. Erosional and climatic effects on long-term chemical weathering rates in granitic landscapes spanning diverse climate regimes. Earth Planet. Sci. Lett. 2004, 224, 547–562. [Google Scholar] [CrossRef]
- Langman, J.B.; Moore, M.L.; Ptacek, C.J.; Smith, L.; Sego, D.; Blowes, D.W. Diavik Waste Rock Project: Evolution of Mineral Weathering, Element Release, and Acid Generation and Neutralization during a Five-Year Humidity Cell Experiment. Minerals 2014, 4, 257–278. [Google Scholar] [CrossRef] [Green Version]
- Hall, K.; Thorn, C.E. Thermal fatigue and thermal shock in bedrock: An attempt to unravel the geomorphic processes and products. Geomorphology 2014, 206, 1–13. [Google Scholar] [CrossRef]
- Memari, A.; Azar, M.R.K. Thermo-mechanical shock fracture analysis by meshless method. Theor. Appl. Fract. Mech. 2019, 102, 171–192. [Google Scholar] [CrossRef]
- Zhang, Z.-P.; Shao, Y.-F.; Song, F. Characteristics of crack patterns controlling the retained strength of ceramics after thermal shock. Front. Mater. Sci. China 2010, 4, 251–254. [Google Scholar] [CrossRef]
- Du, K.; Tao, M.; Li, X.-B.; Zhou, J. Experimental Study of Slabbing and Rockburst Induced by True-Triaxial Unloading and Local Dynamic Disturbance. Rock Mech. Rock Eng. 2016, 49, 3437–3453. [Google Scholar] [CrossRef]
- Li, D.; Wang, T.; Cheng, T.-J.; Sun, X.-L. Static and dynamic tensile failure characteristics of rock based on splitting test of circular ring. Trans. Nonferrous Met. Soc. China 2016, 26, 1912–1918. [Google Scholar] [CrossRef]
- Niu, S.Y.; Chen, C.; Zhang, J.Z.; Zhang, F.X.; Wang, F.X.; Sun, A.Q. The Thermal and Dynamic Process of Core→Mantle→Crust and the Metallogenesis of Guojiadian Mantle Branch in Northwestern Jiaodong. Minerals 2019, 9, 249. [Google Scholar] [CrossRef] [Green Version]
- Gong, F.; Jia, H.; Zhang, Z.; Hu, J.; Luo, S. Energy Dissipation and Particle Size Distribution of Granite under Different Incident Energies in SHPB Compression Tests. Shock. Vib. 2020, 2020, 1–14. [Google Scholar] [CrossRef]
- Dong, Z.; Sun, Q.; Ranjith, P.G. Surface properties of grayish-yellow sandstone after thermal shock. Environ. Earth Sci. 2019, 78, 1–13. [Google Scholar] [CrossRef]
- Ghobadi, M.H.; Babazadeh, R. Experimental Studies on the Effects of Cyclic Freezing–Thawing, Salt Crystallization, and Thermal Shock on the Physical and Mechanical Characteristics of Selected Sandstones. Rock Mech. Rock Eng. 2015, 48, 1001–1016. [Google Scholar] [CrossRef]
- Wang, P.; Xu, J.; Liu, S.; Wang, H. Dynamic mechanical properties and deterioration of red-sandstone subjected to repeated thermal shocks. Eng. Geol. 2016, 212, 44–52. [Google Scholar] [CrossRef]
- Yu, P.; Pan, P.-Z.; Feng, G.-L.; Wu, Z.; Zhao, S. Physico-mechanical properties of granite after cyclic thermal shock. J. Rock Mech. Geotech. Eng. 2020, 12, 693–706. [Google Scholar] [CrossRef]
- Li, X.; Li, B.; Li, X.; Yin, T.; Wang, Y.; Dang, W. Thermal shock effects on the mechanical behavior of granite exposed to dynamic loading. Arch. Civ. Mech. Eng. 2020, 20, 1–11. [Google Scholar] [CrossRef]
- Huang, Y.-H.; Yang, S.-Q.; Bu, Y.-S. Effect of thermal shock on the strength and fracture behavior of pre-flawed granite specimens under uniaxial compression. Theor. Appl. Fract. Mech. 2020, 106, 102474. [Google Scholar] [CrossRef]
- Shen, Y.; Hou, X.; Yuan, J.; Xu, Z.; Hao, J.; Gu, L.; Liu, Z. Thermal deterioration of high-temperature granite after cooling shock: Multiple-identification and damage mechanism. Bull. Int. Assoc. Eng. Geol. 2020, 79, 5385–5398. [Google Scholar] [CrossRef]
- Wu, X.; Huang, Z.; Song, H.; Zhang, S.; Cheng, Z.; Li, R.; Wen, H.; Huang, P.; Dai, X. Variations of Physical and Mechanical Properties of Heated Granite After Rapid Cooling with Liquid Nitrogen. Rock Mech. Rock Eng. 2019, 52, 2123–2139. [Google Scholar] [CrossRef]
- Yavuz, H.; Altindag, R.; Sarac, S.; Ugur, I.; Sengun, N. Estimating the index properties of deteriorated carbonate rocks due to freeze–thaw and thermal shock weathering. Int. J. Rock Mech. Min. Sci. 2006, 43, 767–775. [Google Scholar] [CrossRef]
- Li, X.; Zhang, Z.Y.; Chen, W.; Yin, T.B. Mode I and Mode II Granite Fractures after Distinct Thermal Shock Treatments. J. Mater. Civ. Eng. 2019, 31. [Google Scholar] [CrossRef]
- Li, Q.; Yin, T.; Li, X.; Zhang, S. Effects of rapid cooling treatment on heated sandstone: A comparison between water and liquid nitrogen cooling. Bull. Int. Assoc. Eng. Geol. 2019, 79, 313–327. [Google Scholar] [CrossRef]
- Wang, P.; Xu, J.; Fang, X.; Wen, M.; Zheng, G.; Wang, P. Dynamic splitting tensile behaviors of red-sandstone subjected to repeated thermal shocks: Deterioration and micro-mechanism. Eng. Geol. 2017, 223, 1–10. [Google Scholar] [CrossRef]
- ISRM. Suggested Methods for Determining Water Content, Porosity Density, Absorption and Related Properties and Swelling and Slake-Durability Index Properties. Int. J. Rock Mech. Min. Sci. Geomech. Abstr. 1979, 2, 141–156. [Google Scholar]
- Zhang, Y.; Sun, Q.; Geng, J. Microstructural characterization of limestone exposed to heat with XRD, SEM and TG-DSC. Mater. Charact. 2017, 134, 285–295. [Google Scholar] [CrossRef]
- Zhang, Q.; Zhao, J. A Review of Dynamic Experimental Techniques and Mechanical Behaviour of Rock Materials. Rock Mech. Rock Eng. 2013, 47, 1411–1478. [Google Scholar] [CrossRef] [Green Version]
- Zhou, Z.; Li, X.; Liu, A.; Zou, Y. Stress uniformity of split Hopkinson pressure bar under half-sine wave loads. Int. J. Rock Mech. Min. Sci. 2011, 48, 697–701. [Google Scholar] [CrossRef]
- Li, X.; Lok, T.; Zhao, J.; Zhao, P. Oscillation elimination in the Hopkinson bar apparatus and resultant complete dynamic stress–strain curves for rocks. Int. J. Rock Mech. Min. Sci. 2000, 37, 1055–1060. [Google Scholar] [CrossRef]
- Shen, Y.-J.; Zhang, Y.; Gao, F.; Yang, G.-S.; Lai, X.-P. Influence of Temperature on the Microstructure Deterioration of Sandstone. Energies 2018, 11, 1753. [Google Scholar] [CrossRef] [Green Version]
- Li, X.; Zhou, Z.; Lok, T.-S.; Hong, L.; Yin, T. Innovative testing technique of rock subjected to coupled static and dynamic loads. Int. J. Rock Mech. Min. Sci. 2008, 45, 739–748. [Google Scholar] [CrossRef]
- Dai, F.; Huang, S.; Xia, K.; Tan, Z. Some Fundamental Issues in Dynamic Compression and Tension Tests of Rocks Using Split Hopkinson Pressure Bar. Rock Mech. Rock Eng. 2010, 43, 657–666. [Google Scholar] [CrossRef]
- Yagiz, S. P-wave velocity test for assessment of geotechnical properties of some rock materials. Bull. Mater. Sci. 2011, 34, 947–953. [Google Scholar] [CrossRef]
- Zhang, W.; Sun, Q.; Hao, S.; Geng, J.; Lv, C. Experimental study on the variation of physical and mechanical properties of rock after high temperature treatment. Appl. Therm. Eng. 2016, 98, 1297–1304. [Google Scholar] [CrossRef]
- Van der Molen, I. The shift of the α-β transition temperature of quartz associated with the thermal expansion of granite at high pressure. Tectonophysics 1981, 73, 323–342. [Google Scholar] [CrossRef]
- Antao, S.M. Quartz: Structural and thermodynamic analyses across the α-β transition with origin of negative thermal expansion (NTE) in β quartz and calcite. Acta Crystallogr. Sect. B 2016, 72, 249–262. [Google Scholar] [CrossRef] [PubMed]
- Ericksen, J.L. On the Theory of the α–β Phase Transition in Quartz. J. Elast. Phys. Sci. Solids. 2001, 63, 61–86. [Google Scholar]
- Parsons, W.H.; Johnson, W.H. Factors Affecting the Thermal Expansion of Concrete Aggregate Materials. Am. Concr. Inst. J. Proc. 1944, 40, 457–466. [Google Scholar]
- Wu, X.; Huang, Z.; Zhang, S.; Cheng, Z.; Li, R.; Song, H.; Wen, H.; Huang, P. Damage Analysis of High-Temperature Rocks Subjected to LN2 Thermal Shock. Rock Mech. Rock Eng. 2019, 52, 2585–2603. [Google Scholar] [CrossRef]
- Kranz, R.L. Microcracks in rocks: A review. Tectonophysics 1983, 100, 449–480. [Google Scholar] [CrossRef]
- Zhang, Y.; Zhao, G.-F.; Li, Q. Acoustic emission uncovers thermal damage evolution of rock. Int. J. Rock Mech. Min. Sci. 2020, 132, 104388. [Google Scholar] [CrossRef]
















| Diameter of Bars (mm) | Incident Bar length (mm) | Absorbing Bar Length (mm) | Transmission Bar Length (mm) | Elastic Modulus of the Bars (GPa) | Poisson’s Ratio of the Bars | P-Wave Velocity of the Bars (m/s) | Density of the Bars (kg/m3) |
|---|---|---|---|---|---|---|---|
| 50 | 2000 | 500 | 1500 | 240 | 0.28 | 5400 | 7800 |
| Test Performed | Thin Section Analysis and X-ray Diffraction Test | |||||
|---|---|---|---|---|---|---|
| Specimen conditions | Sandstone specimen before TS | |||||
| Results obtained | Mineral composition of the specimen | |||||
| Test performed | TS treatment | |||||
| Heating level | 25 °C | 250 °C | 450 °C | 650 °C | 850 °C | |
| Cooling method | Stove cooling | Air cooling | Freezer cooling | |||
| Specimen conditions | Sandstone specimens damaged due to TS treatments | |||||
| Results obtained | Cooling rates of different cooling methods | |||||
| Test performed | Physical parameter test (before and after TS) | |||||
| Specimen conditions | Sandstone specimens before TS (not damaged), and specimens after TS treatments (damaged) | |||||
| Results obtained | Dry density | P-wave velocity | Porosity | Volume | ||
| Test performed | Coupled dynamic and static loads mechanical test | |||||
| Specimen conditions | Damaged sandstone specimens after TS treatments | |||||
| Results obtained | Dynamic combined strength | |||||
| Test performed | Scanning electron microscope observation | |||||
| Specimen conditions | Small pieces of rock chips obtained from the fragments of the sandstone specimens after mechanical tests | |||||
| Results obtained | Microscopic fracture, crack, and pore of specimen | |||||
| Parameter | Temperature (°C) | |||
|---|---|---|---|---|
| 250 | 450 | 650 | 850 | |
| Stove-cooled | ||||
| 2.441 | 2.410 | 2.319 | 2.241 | |
| 0.014 | 0.002 | 0.004 | 0.024 | |
| Air-cooled | ||||
| 2.438 | 2.400 | 2.308 | 2.217 | |
| 0.006 | 0.003 | 0.004 | 0.017 | |
| Freezer-cooled | ||||
| 2.430 | 2.389 | 2.294 | 2.206 | |
| 0.021 | 0.006 | 0.013 | 0.010 |
| Parameter | Temperature (°C) | |||
|---|---|---|---|---|
| 250 | 450 | 650 | 850 | |
| Stove-cooled | ||||
| 2.808 | 2.522 | 1.756 | 1.124 | |
| 0.086 | 0.107 | 0.017 | 0.042 | |
| Air-cooled | ||||
| 2.500 | 2.358 | 1.487 | 1.107 | |
| 0.274 | 0.279 | 0.230 | 0.080 | |
| Freezer-cooled | ||||
| 2.373 | 2.134 | 1.292 | 1.088 | |
| 0.287 | 0.187 | 0.225 | 0.115 |
| Parameter | Temperature (°C) | |||
|---|---|---|---|---|
| 250 | 450 | 650 | 850 | |
| Stove-cooled | ||||
| 5.57 | 6.24 | 9.03 | 10.29 | |
| 0.19 | 0.10 | 0.0076 | 0.52 | |
| Air-cooled | ||||
| 5.59 | 6.39 | 9.48 | 10.91 | |
| 0.13 | 0.0079 | 0.30 | 1.53 | |
| Freezer-cooled | ||||
| 5.66 | 6.54 | 10.08 | 11.16 | |
| 0.11 | 0.24 | 0.92 | 0.71 |
| Parameter | Temperature (°C) | ||||
|---|---|---|---|---|---|
| 25 | 250 | 450 | 650 | 850 | |
| Untreated | |||||
| PUCS | 167.6 | ||||
| Stove-cooled | |||||
| PUCS | 158.1 | 144.8 | 89.5 | 73.8 | |
| Air-cooled | |||||
| PUCS | 148.5 | 132.0 | 86.4 | 70.3 | |
| Freezer-cooled | |||||
| PUCS | 161.3 | 131.6 | 72.3 | 68.2 |
Publisher’s Note: MDPI stays neutral with regard to jurisdictional claims in published maps and institutional affiliations. |
© 2021 by the authors. Licensee MDPI, Basel, Switzerland. This article is an open access article distributed under the terms and conditions of the Creative Commons Attribution (CC BY) license (https://creativecommons.org/licenses/by/4.0/).
Share and Cite
Li, X.; Huang, S.; Yin, T.; Li, X.; Peng, K.; Fan, X.; Dang, W.; Huang, L. Dynamic Properties of Thermal Shock Treated Sandstone Subjected to Coupled Dynamic and Static Loads. Minerals 2021, 11, 889. https://doi.org/10.3390/min11080889
Li X, Huang S, Yin T, Li X, Peng K, Fan X, Dang W, Huang L. Dynamic Properties of Thermal Shock Treated Sandstone Subjected to Coupled Dynamic and Static Loads. Minerals. 2021; 11(8):889. https://doi.org/10.3390/min11080889
Chicago/Turabian StyleLi, Xiang, Si Huang, Tubing Yin, Xibing Li, Kang Peng, Xiaodong Fan, Wengang Dang, and Linchong Huang. 2021. "Dynamic Properties of Thermal Shock Treated Sandstone Subjected to Coupled Dynamic and Static Loads" Minerals 11, no. 8: 889. https://doi.org/10.3390/min11080889
APA StyleLi, X., Huang, S., Yin, T., Li, X., Peng, K., Fan, X., Dang, W., & Huang, L. (2021). Dynamic Properties of Thermal Shock Treated Sandstone Subjected to Coupled Dynamic and Static Loads. Minerals, 11(8), 889. https://doi.org/10.3390/min11080889

