Flow Properties Analysis and Identification of a Fly Ash-Waste Rock Mixed Backfilling Slurry
Abstract
:1. Introduction
2. Materials and Methods
2.1. Materials
2.1.1. Material Physical and Chemical Properties
2.1.2. Aggregate Particle Size Distribution
2.2. Tests
2.2.1. Slump and Slump Flow
2.2.2. Mortar Consistency
2.2.3. Layering Degree
2.2.4. Bleeding Rate
3. Test Results and Analysis
3.1. Test Results
3.2. Analysis
3.2.1. Variation in Slump
3.2.2. Variation of Slump Flow
3.2.3. Variation in the Mortar Consistency and Layering Degree
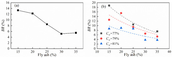
3.2.4. Variation of the Bleeding Rate
4. Principal Component Analysis of the Flow Properties
4.1. Questions
4.2. Principal Component Analysis
- (1)
- Parameter determination and data normalization matrix Z
- (2)
- Calculating the correlation coefficient matrix R
- (3)
- Solving the load matrix A
- (4)
- Rotation factors
- (5)
- Factor score
4.3. Application of the New Indicators
- (1)
- For the F1 > 0 groups (A1, A2, A3, A4, A6, B1, B2, B3, and B5, whereas B7 is misjudged), the bleeding rates are larger than 8%. These groups of slurries cannot satisfy the requirements of a quasi-homogeneous flow. They easily aggravate pipe wear, can cause blockage accidents during pipeline transport, can affect the overall stability of the filling body and endanger mining safety;
- (2)
- For the F1 < 0 and F2 < 0 groups (A5, A7, B4, B6, B8), Table 3 shows that these slurries have a slump value of 15–26 cm and a bleeding rate of 1–6.5%, which generally conforms to the identifications of paste or paste-like slurry proposed by Wu Aixiang’s definition;
- (3)
- For the F1 < 0 and F2 > 0 groups, Table 3 and the observation in the test process, show that these groups are high-density slurries, which is another widely used slurry configuration.
4.4. Verification
5. Conclusions
Author Contributions
Funding
Data Availability Statement
Acknowledgments
Conflicts of Interest
References
- Panchal, S.; Deb, D.; Sreenivas, T. Mill tailings based composites as paste backfill in mines of U-bearing dolomitic limestone ore. J. Rock Mech. Geotech. Eng. 2018, 10, 310–322. [Google Scholar] [CrossRef]
- Chen, Q.; Zhang, Q.; Fourie, A.; Xin, C. Utilization of phosphogypsum and phosphate tailings for cemented paste backfill. J. Environ. Manag. 2017, 201, 19–27. [Google Scholar] [CrossRef] [PubMed]
- Ouattara, D.; Belem, T.; Mbonimpa, M.; Yahia, S. Effect of superplasti-cizers on the consistency and unconfined compressive strength of cemented paste backfills. Constr. Build. Mater. 2018, 181, 59–72. [Google Scholar] [CrossRef]
- Zhang, X.; Qiao, D. Simulation and experiment of pipeline transporta-tion of high density filling slurry with coarse aggregates. Chin. J. Nonferrous Met. 2015, 25, 258–266. [Google Scholar]
- Li, A.; Cao, S.; Liu, H.; Sun, W.; Lu, Y. Critical flow rate for slurry pipeline transportation. Min. Metall. Eng. 2016, 36, 26–29. [Google Scholar]
- Wasp, E.J.; Kenny, J.P.; Gandhi, R.L. Solid-liquid flow slurry pipeline transportation [Pumps, valves, mechanical equipment, economics]. Ser. Bulk Mater. Handl. 1997, 1, 102–184. [Google Scholar]
- Chen, W.; Gu, D.; Gao, Q. Criterion of high concentration slurry and its laminar flow transport characteristics. Chin. J. Nonferrous Met. 1995, 5, 35–39. [Google Scholar]
- Fall, M.; Célestin, J.; Sen, H.F. Potential use of densified polymer-pastefill mixture as waste containment barrier materials. Waste Manag. 2010, 30, 2570–2578. [Google Scholar] [CrossRef] [PubMed]
- Sun, H.; Jie, H.; Liu, W.; Huang, Y.; Yang, B. Analysis of characteristic pa-rameters of self-flowing pastefill systems. Nonferrous Met. 2000, 52, 7–10. [Google Scholar]
- Zhang, L.; Zhang, J.; Hassani, F.P.; Zhang, X. Slump tests for yield stress of paste tailings. Met. Mine 2017, 1, 30–36. [Google Scholar]
- Li, X.; Du, J.; Gao, L.; He, S.; Gan, L.; Sun, C.; Shi, Y. Immobilization of phosphogypsum for cemented paste backfill and its environmental effect. J. Clean. Prod. 2017, 156, 137–146. [Google Scholar] [CrossRef]
- Wu, A.; Wang, H. Theory and Technology of Paste Filling in Metal Mine; Science Press: Beijing, China, 2015; pp. 35–79. [Google Scholar]
- Koohestani, B.; Darban, A.K.; Mokhtari, P. A comparison between the in-fluence of superplasticizer and organosilanes on different properties of cemented paste backfill. Constr. Build. Mater. 2018, 173, 180–188. [Google Scholar] [CrossRef]
- Panchal, S.; Deb, D.; Sreenivas, T. Variability in rheology of cemented paste backfill with hydration age, binder and superplasticizer dosages. Adv. Powder Technol. 2018, 29, 2211–2220. [Google Scholar] [CrossRef]
- Mangane, M.B.C.; Argane, R.; Trauchessec, T.; Lecomte, A.; Benzaazoua, M. Influence of superplasticizers on mechanical properties and workability of cemented paste backfill. Miner. Eng. 2018, 116, 3–14. [Google Scholar] [CrossRef]
- Yang, Y.L.; Du, Y.J.; Reddy, K.R.; Fan, R.D. Phosphate-amended sand/Ca-bentonite mixtures as slurry trench wall backfills: Assess-ment of workability, compressibility and hydraulic conductivity. Appl. Clay Sci. 2016, 142, 120–127. [Google Scholar] [CrossRef]
- Ma, K.; Feng, J.; Long, G.; Xie, Y.; Chen, X. Improved mix design method of self-compacting concrete based on coarse aggregate average diame-ter and slump flow. Constr. Build. Mater. 2017, 143, 566–573. [Google Scholar] [CrossRef]
- Creber, K.; Mcguinness, M.; Kermani, M.F.; Hassani, F.P. Investigation into changes in pastefill properties during pipeline transport. Int. J. Miner. Process. 2017, 163, 35–44. [Google Scholar] [CrossRef]







| Compositions | SiO2 | Al2O3 | CaO | MgO | Fe2O3 | TiO2 | P2O5 | K2O | Na2O | Cr2O3 | SO3 | PbO | NiO |
|---|---|---|---|---|---|---|---|---|---|---|---|---|---|
| Waste rock/% | 36.31 | 3.39 | 3.86 | 28.15 | 16.32 | 0.02 | - | 0.24 | 0.03 | 0.01 | 0.23 | 0.02 | 0.20 |
| Fly ash/% | 38.38 | 19.57 | 3.13 | 0.82 | 22.91 | 1.23 | 0.64 | 0.64 | 0.97 | 0.01 | 1.87 | 0.14 | - |
| Fly Ash Proportion | d10/μm | d30/μm | d50/μm | d60/μm | d90/μm | dav/μm | d95/μm | Cu | Cc | Index n |
|---|---|---|---|---|---|---|---|---|---|---|
| 0% | 143.2 | 926.2 | 2993.6 | 4281.8 | 8897.1 | 2711.2 | 10,209 | 29.9 | 1.4 | 0.56 |
| 15% | 37 | 320.1 | 1983.6 | 3357.4 | 8608 | 2310 | 9731.5 | 90.7 | 0.8 | 0.43 |
| 20% | 26.4 | 192 | 1602.3 | 2994.1 | 8486.5 | 2176.4 | 9538.5 | 113.4 | 0.5 | 0.38 |
| 25% | 19.5 | 109.7 | 1207.3 | 2598.5 | 8351.5 | 2042.7 | 9333.4 | 133.3 | 0.2 | 0.35 |
| 30% | 15.5 | 82.2 | 819.3 | 2167 | 8195.8 | 1909 | 9100.7 | 139.8 | 0.2 | 0.33 |
| 35% | 12.8 | 73.6 | 501.1 | 1699.9 | 8016.7 | 1775.3 | 8842.5 | 132.8 | 0.2 | 0.31 |
| 100% | 2.7 | 15.8 | 35.5 | 47.5 | 109.2 | 46.2 | 131.5 | 17.6 | 1.9 | 0.57 |
| Scheme | Results | |||||||
|---|---|---|---|---|---|---|---|---|
| No. | Fw/% | Bw/(kg m3) | Cw/% | S/cm | SF/cm | MC/cm | LD/cm | BR/% |
| A1 | 15 | 270 | 77 | 24.8 | 87.5 | 12.25 | 2.5 | 18.76 |
| A2 | 15 | 290 | 79 | 25.5 | 82 | 11.8 | 2.7 | 12.57 |
| A3 | 15 | 310 | 81 | 23.7 | 66 | 11.6 | 3.8 | 8.7 |
| A4 | 25 | 270 | 79 | 28 | 75 | 11.35 | 2.95 | 9.42 |
| A5 | 25 | 290 | 81 | 25.6 | 54 | 9.5 | 3.25 | 5.5 |
| A6 | 25 | 310 | 77 | 28 | 76 | 11.9 | 1.8 | 10.52 |
| A7 | 35 | 270 | 81 | 24.5 | 42 | 9.9 | 3.65 | 3.74 |
| A8 | 35 | 290 | 77 | 28.5 | 71 | 10.5 | 0.5 | 7.49 |
| A9 | 35 | 310 | 79 | 27.5 | 54 | 10.85 | 2.2 | 5.27 |
| B1 | 20 | 290 | 79 | 27.5 | 69 | 11.8 | 2.3 | 20.41 |
| B2 | 20 | 290 | 81 | 27.7 | 65 | 11.9 | 1.6 | 11.8 |
| B3 | 20 | 310 | 79 | 27.5 | 75 | 11.6 | 1.7 | 10.52 |
| B4 | 20 | 310 | 81 | 25.2 | 56 | 10.65 | 2.45 | 6.18 |
| B5 | 30 | 290 | 79 | 27.3 | 64 | 12.5 | 2.25 | 7.82 |
| B6 | 30 | 290 | 81 | 25.5 | 46 | 10.65 | 3 | 4.03 |
| B7 | 30 | 310 | 79 | 27 | 64 | 12.9 | 4.25 | 5.32 |
| B8 | 30 | 310 | 81 | 24.2 | 42 | 10.2 | 4.35 | 3.52 |
| No. | A1 | A2 | A3 | A4 | A5 | A6 | A7 | A8 | A9 |
|---|---|---|---|---|---|---|---|---|---|
| F1 | 2.018 | 1.115 | 0.523 | 0.286 | −1.242 | 0.517 | −1.414 | −0.700 | −0.927 |
| F2 | −0.773 | −0.459 | −1.653 | 0.425 | −0.263 | 0.969 | −0.937 | 2.165 | 0.801 |
| NO. | B1 | B2 | B3 | B4 | B5 | B6 | B7 | B8 | |
| F1 | 1.195 | 0.312 | 0.381 | −0.675 | 0.332 | −1.094 | 0.565 | −1.190 | |
| F2 | 0.345 | 0.940 | 0.893 | −0.154 | 0.394 | −0.331 | −0.872 | −1.489 |
| d10/mm | d30/mm | d50/mm | d60/mm | Cement Content/% | Cw/% | S/cm | SF/cm | MC/cm | LD/cm | BR/cm |
|---|---|---|---|---|---|---|---|---|---|---|
| 0.083 | 0.139 | 0.245 | 0.273 | 20 | 70 | 22.2 | 77 | 8.7 | 5.1 | 8.5 |
Publisher’s Note: MDPI stays neutral with regard to jurisdictional claims in published maps and institutional affiliations. |
© 2021 by the authors. Licensee MDPI, Basel, Switzerland. This article is an open access article distributed under the terms and conditions of the Creative Commons Attribution (CC BY) license (https://creativecommons.org/licenses/by/4.0/).
Share and Cite
Wei, H.; Xiao, B.; Gao, Q. Flow Properties Analysis and Identification of a Fly Ash-Waste Rock Mixed Backfilling Slurry. Minerals 2021, 11, 576. https://doi.org/10.3390/min11060576
Wei H, Xiao B, Gao Q. Flow Properties Analysis and Identification of a Fly Ash-Waste Rock Mixed Backfilling Slurry. Minerals. 2021; 11(6):576. https://doi.org/10.3390/min11060576
Chicago/Turabian StyleWei, Hanbo, Bolin Xiao, and Qian Gao. 2021. "Flow Properties Analysis and Identification of a Fly Ash-Waste Rock Mixed Backfilling Slurry" Minerals 11, no. 6: 576. https://doi.org/10.3390/min11060576
APA StyleWei, H., Xiao, B., & Gao, Q. (2021). Flow Properties Analysis and Identification of a Fly Ash-Waste Rock Mixed Backfilling Slurry. Minerals, 11(6), 576. https://doi.org/10.3390/min11060576

