Detection of Rare Earth Elements in Minerals and Soils by Laser-Induced Breakdown Spectroscopy (LIBS) Using Interval PLS
Abstract
:1. Introduction
2. Materials and Methods
2.1. Samples and Reference Analysis
2.1.1. Geological Overview of Deposits
2.1.2. Preparation of the Synthetic Samples
2.2. Instrumental Set up of LIBS and Measurement Parameters
2.3. Processing and Analysis of Data by Univariate and Multivariate Methods
3. Results
3.1. Structure of REE Spectra
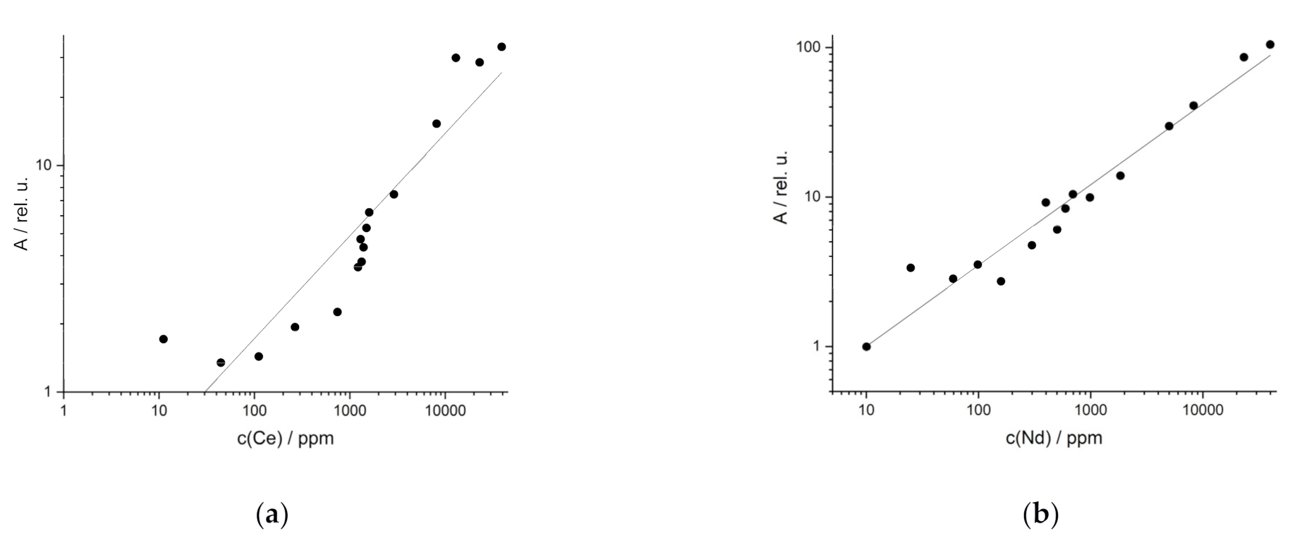
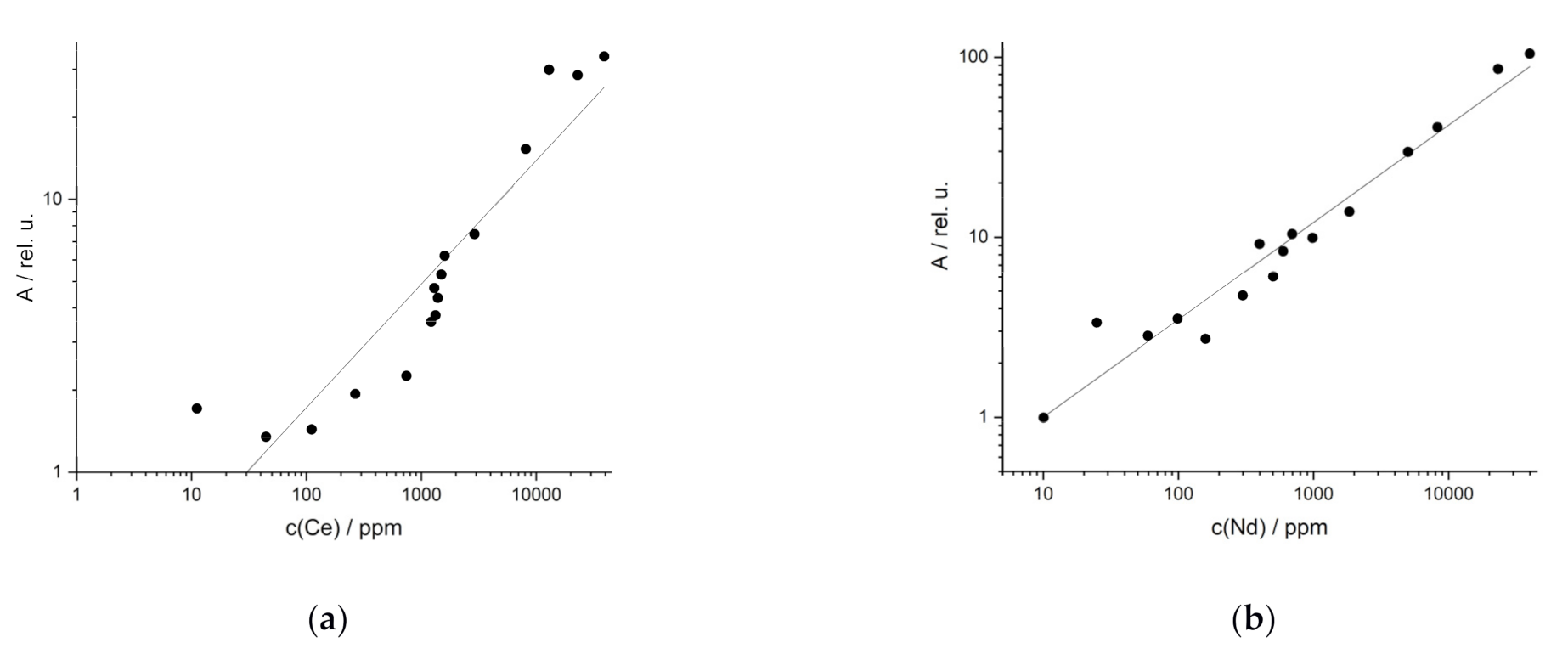
3.2. Univariate Regression
3.2.1. Univariate Regression of Synthetic Samples
3.2.2. Univariate Regression of Field REE Samples
3.3. Characterization of Matrix Effects by Means of PCA
3.4. Interval Partial Least-Squares (iPLS) Regression
4. Summary and Conclusions
Supplementary Materials
Author Contributions
Funding
Data Availability Statement
Conflicts of Interest
References
- Altenberger, U.; Oberhänsli, R. Vom Atom Zum Hightec-Produkt. Minerale Der Seltenerdelemente Als Rohstoffe. PdN Chem. Schule/Mineralien Erze 2012, 7, 6–12. [Google Scholar]
- Sicius, H. Seltenerdmetalle: Lanthanoide Und Dritte Nebengruppe; Essentials; Springer Fachmedien Wiesbaden: Wiesbaden, Germany, 2015; ISBN 978-3-658-09839-1. [Google Scholar]
- Balaram, V. Rare Earth Elements: A Review of Applications, Occurrence, Exploration, Analysis, Recycling, and Environmental Impact. Geosci. Front. 2019, 10, 1285–1303. [Google Scholar] [CrossRef]
- Marscheider-Weidemann, F.; Langkau, S.; Hummen, T.; Erdmann, L.; Tercero Espinoza, L.; Angerer, G.; Marwede, M.; Benecke, S. Rohstoffe für Zukunftstechnologien 2016.—DERA Rohstoffinformationen 28: 353 S., Berlin. Available online: https://www.deutsche-rohstoffagentur.de/DERA/DE/Downloads/Studie_Zukunftstechnologien-2016.pdf?__blob=publicationFile&v=3 (accessed on 6 November 2021).
- Gaft, M.; Raichlin, Y.; Pelascini, F.; Panzer, G.; Motto Ros, V. Imaging Rare-Earth Elements in Minerals by Laser-Induced Plasma Spectroscopy: Molecular Emission and Plasma-Induced Luminescence. Spectrochim. Acta Part B At. Spectrosc. 2019, 151, 12–19. [Google Scholar] [CrossRef]
- Walters, A.; Lusty, P.; Hill, A. Rare Earth Elements; British Geological Survey: Nottingham, UK, 2011. [Google Scholar]
- Mehmood, M. Rare Earth Elements—A Review. J. Ecol. Nat. Resour. 2018, 2. [Google Scholar] [CrossRef]
- Romppanen, S.; Häkkänen, H.; Kaski, S. Singular Value Decomposition Approach to the Yttrium Occurrence in Mineral Maps of Rare Earth Element Ores Using Laser-Induced Breakdown Spectroscopy. Spectrochim. Acta B 2017, 134, 69–74. [Google Scholar] [CrossRef]
- Erdmann, L.; Behrendt, S. Kritische Rohstoffe Für Deutschland. Izt 2011, 1–13. Available online: https://www.izt.de/fileadmin/publikationen/54416.pdf (accessed on 6 November 2021).
- Brown, T.J. World Mineral Production; British Geological Survey: Nottingham, UK, 2020; ISBN 9780511763175. [Google Scholar]
- Goodenough, K.M.; Wall, F.; Merriman, D. The Rare Earth Elements: Demand, Global Resources, and Challenges for Resourcing Future Generations. Nat. Resour. Res. 2018, 27, 201–216. [Google Scholar] [CrossRef] [Green Version]
- Müller, S.; Meima, J.A.; Rammlmair, D. Detecting REE-Rich Areas in Heterogeneous Drill Cores from Storkwitz Using LIBS and a Combination of K-Means Clustering and Spatial Raster Analysis. J. Geochem. Explor. 2021, 221, 106697. [Google Scholar] [CrossRef]
- Bhatt, C.R.; Jain, J.C.; Goueguel, C.L.; McIntyre, D.L.; Singh, J.P. Determination of Rare Earth Elements in Geological Samples Using Laser-Induced Breakdown Spectroscopy (LIBS). Appl. Spectrosc. 2018, 72, 114–121. [Google Scholar] [CrossRef]
- Zawisza, B.; Pytlakowska, K.; Feist, B.; Polowniak, M.; Kita, A.; Sitko, R. Determination of Rare Earth Elements by Spectroscopic Techniques: A Review. J. Anal. At. Spectrom. 2011, 26, 2373–2390. [Google Scholar] [CrossRef]
- Fabre, C.; Devismes, D.; Moncayo, S.; Pelascini, F.; Trichard, F.; Lecomte, A.; Bousquet, B.; Cauzid, J.; Motto-Ros, V. Elemental Imaging by Laser-Induced Breakdown Spectroscopy for the Geological Characterization of Minerals. J. Anal. At. Spectrom. 2018, 33, 1345–1353. [Google Scholar] [CrossRef]
- Labutin, T.A.; Zaytsev, S.M.; Popov, A.M.; Zorov, N.B. A Novel Approach to Sensitivity Evaluation of Laser-Induced Breakdown Spectroscopy for Rare Earth Elements Determination. J. Anal. At. Spectrom. 2016, 31, 2223–2226. [Google Scholar] [CrossRef]
- Anderson, R.B.; Morris, R.V.; Clegg, S.M.; Humphries, S.D.; Wiens, R.C.; Bell III, J.F.; Mertzman, S.A. Partial Least Squares and Neural Networks for Quantitative Calibration of Laser-Induced Breakdown Spectroscopy (LIBs) of Geologic Samples. In Proceedings of the Lunar and Planetary Science, The Woodlands, TX, USA, 1–5 March 2010. [Google Scholar]
- Erler, A.; Riebe, D.; Beitz, T.; Löhmannsröben, H.G.; Gebbers, R. Soil Nutrient Detection for Precision Agriculture USING Handheld Laser-Induced Breakdown Spectroscopy (LIBS) and Multivariate Regression Methods (PLSR, Lasso and GPR). Sensors 2020, 20, 418. [Google Scholar] [CrossRef] [Green Version]
- Andersen, C.M.; Bro, R. Variable Selection in Regression—A Tutorial. J. Chemom. 2010, 24, 728–737. [Google Scholar] [CrossRef]
- Nørgaard, L.; Saudland, A.; Wagner, J.; Nielsen, J.P.; Munck, L.; Engelsen, S.B. Interval Partial Least-Squares Regression (iPLS): A Comparative Chemometric Study with an Example from near-Infrared Spectroscopy. Appl. Spectrosc. 2000, 54, 413–419. [Google Scholar] [CrossRef]
- Sánchez-Esteva, S.; Knadel, M.; Kucheryavskiy, S.; de Jonge, L.W.; Rubæk, G.H.; Hermansen, C.; Heckrath, G. Combining Laser-Induced Breakdown Spectroscopy (LIBS) and Visible near-Infrared Spectroscopy (Vis-NIRS) for Soil Phosphorus Determination. Sensors 2020, 20, 5419. [Google Scholar] [CrossRef]
- Andersson, S.S.; Wagner, T.; Jonsson, E.; Fusswinkel, T.; Leijd, M.; Berg, J.T. Origin of the High-Temperature Olserum-Djupedal REE-Phosphate Mineralisation, SE Sweden: A Unique Contact Metamorphic-Hydrothermal System. Ore Geol. Rev. 2018, 101, 740–764. [Google Scholar] [CrossRef]
- Fullerton, W. REE Mineralisation and Metasomatic Alteration in the Olserum Metasediments. Master’s Thesis, Lund University, Lund, Sweden, 2014. [Google Scholar]
- Russell, R.V. Porphyroblastic Differentiation in Fleck Gneiss from Västervik, Sweden. Geologiska Föreningen i Stockholm Förhandlingar 1969, 91, 217–282. [Google Scholar] [CrossRef]
- Gavelin, S. The Västervik Area in South-Eastern Sweden. Studies in Proterozoic Sedimentation, High-Grade Metamorphism and Granitization; Sveriges Geologiska Undersökning: Uppsala, Sweden, 1984; Volume 32. [Google Scholar]
- Adamson, O.J. The Petrology of the Norra Kärr District: An Occurrence of Alkaline Rocks in Southern Sweden. GFF 1944, 437, 113–255. [Google Scholar] [CrossRef]
- Sieg, L. Distribution of Rare Earth Elements in Rocks, Soils and Plants from Olserum and Norra Kärr, Sweden. Master’s Thesis, University of Potsdam, Potsdam, Germany, 2016, unpublished. [Google Scholar]
- Sjöqvist, A.S.L.; Cornell, D.H.; Andersen, T.; Christensson, U.I.; Berg, J.T. Magmatic Age of Rare-Earth Element and Zirconium Mineralisation at the Norra Kärr Alkaline Complex, Southern SWEDEN, Determined by U–Pb and Lu–Hf Isotope Analyses of Metasomatic Zircon and Eudialyte. Lithos 2017, 294–295, 73–86. [Google Scholar] [CrossRef]
- Gorbatschev, R. The Transscandinavian Igneous Belt—Introduction and Background; Högdahl, K., Eklund, U.B., Andersson, O., Eds.; Geological Survey of Finland: Espoo, Finland, 2004; ISBN 9516908896. [Google Scholar]
- Atanasova, P.; Marks, M.A.W.; Heinig, T.; Krause, J.; Gutzmer, J.; Markl, G. Distinguishing Magmatic and Metamorphic Processes in Peralkaline Rocks of the Norra Kärr Complex (Southern Sweden) Using Textural and Compositional Variations of Clinopyroxene and Eudialyte-Group Minerals. J. Petrol. 2017, 58, 361–384. [Google Scholar] [CrossRef] [Green Version]
- Sjöqvist, A.S.L. Agpaitic Rocks of the Norra Kärr Alkaline Complex: Chemistry, Origin, and Age of Eudialyte-Hosted Zirconium and Rare-Earth Element Ore. Licentiate Thesis, University of Gothenburg, Gothenburg, Sweden, 2015. [Google Scholar]
- Törneboh, A.E. Katapleiitsyenit, En Nyupptäckt Varietet Af Nefelinsyenit I Sverige. Geologiska Föreningen i Stockholm Förhandlingar 1906, 28, 415–417. [Google Scholar] [CrossRef]
- Andersen, T. Magmatic Fluids in the Fen Carbonatite Complex, S.E. Norway. Contrib. Mineral. Petrol. 1986, 93, 491–503. [Google Scholar] [CrossRef]
- Andersen, T. Compositional Variation of Some Rare Earth Minerals from the Fen Complex (Telemark, SE Norway): Implications for the Mobility of Rare Earths in a Carbonatite System. Mineral. Mag. 1986, 50, 503–509. [Google Scholar] [CrossRef] [Green Version]
- Tilley, C.E. Die Eruptivgesteine Des Kristianiagebietes. IV: Das Fengebiet in Telemark, Norwegen. By, W.C. Brøgger. Vid. Selsk. Skrifter, I.M.N.Kl. No. 9, pp. 1–408. 1920. Geol. Mag. 1921, 58, 549–554. [Google Scholar] [CrossRef] [Green Version]
- Ließmann, W. Der Karbonatit-Alkaligesteins-Komplex von Fen. Aufschluss 2004, 55, 305–320. [Google Scholar]
- Mitchell, R.H.; Brunfelt, A.O. Rare Earth Element Geochemistry of the Fen Alkaline Complex, Norway. Contrib. Mineral. Petrol. 1975, 52, 247–259. [Google Scholar] [CrossRef]
- Köllner, N. Verwitterungsprofile Des FEN-Komplexes, Südnorwegen. Diploma Thesis, University of Potsdam, Potsdam, Germany, unpublished. 2015. [Google Scholar]
- Kramida, A.; Ralchenko, Y.; Reader, J.; NIST ASD Team. NIST Atomic Spectra Database (Version 5.8) 2020; National Institute of Standards and Technology: Gaithersburg, MD, USA, October 2020. [Google Scholar]
- Grotzinger, J.; Jordan, T. Press/Siever Allgemeine Geologie; Springer Spektrum: Heidelberg, Germany, 2017; ISBN 9783662483411. [Google Scholar]
- Guezenoc, J.; Bassel, L.; Gallet-Budynek, A.; Bousquet, B. Variables Selection: A Critical Issue for Quantitative Laser-Induced Breakdown Spectroscopy. Spectrochim. Acta Part B At. Spectrosc. 2017, 134, 6–10. [Google Scholar] [CrossRef]










| Species | Spectral Lines |
|---|---|
| Ce II | 380.15 nm, 394.27 nm *, 413.38 nm, 413.76 nm |
| La I | 418.73 nm * |
| La II | 387.16 nm *, 394.91 nm, 403.16 nm |
| Nd II | 380.53 nm, 386.34 nm, 430.22 nm * |
| Y I | 410.24 nm, 407.73 nm *, 412.82 nm |
| Species | λ/nm | LOD/ppm | R² | Species | λ/nm | LOD/ppm | R² |
|---|---|---|---|---|---|---|---|
| in rocks | best results | other lines | |||||
| Ce II | 413.76 | 115 | 0.91 | Ce II | 413.38 | 120 | 0.90 |
| Ce II | 456.23 | 130 | 0.90 | ||||
| La II | 379.08 | 3180 | 0.99 | La II | 399.57 | 7700 | 0.99 |
| La II | 433.37 | 3500 | 0.99 | ||||
| Nd II | 386.34 | 158 | 0.98 | Nd II | 380.53 | 28500 | 0.91 |
| Y I | 412.82 | 61 | 0.97 | Y I | 410.24 | 65 | 0.97 |
| Y II | 488.36 | 50 | 0.97 | ||||
| in soils | best results | other lines | |||||
| Ce II | 413.76 | 285 | 0.99 | Ce II | 413.38 | 290 | 0.98 |
| Ce II | 456.23 | 270 | 0.99 | ||||
| La II | 404.29 | 160 | 0.97 | La I | 550.13 | 210 | 0.95 |
| La I | 624.99 | 200 | 0.95 | ||||
| Nd II | 386.34 | 414 | 0.96 | ||||
| Y II | 488.36 | 227 | 0.98 | Y II | 363.31 | 270 | 0.95 |
| Y II | 437.49 | 290 | 0.94 | ||||
| Species | λ/nm | LOD/ppm | R² | Species | λ/nm | LOD/ppm | R² |
|---|---|---|---|---|---|---|---|
| in rocks | best results | other lines | |||||
| Ce II | 413.76 | 218 | 0.79 | Ce II | 380.15 | 290 | 0.75 |
| Ce II | 446.02 | 210 | 0.7 | ||||
| La II | 408.67 | 199 | 0.82 | La II | 404.29 | 180 | 0.79 |
| La II | 433.37 | 220 | 0.77 | ||||
| Nd II | 325.91 | 1090 | 0.56 | Nd II | 386.34 | 250 | 0.41 |
| Nd II | 325.91 | 1230 | 0.47 | ||||
| Y II | 437.49 | 117 | 0.85 | Y I | 412.82 | 160 | 0.82 |
| Y II | 321.68 | 140 | 0.80 | ||||
| in soils | best results | other lines | |||||
| Ce I | 594.08 | 359 | 0.51 | Ce I | 560.12 | 500 | 0.41 |
| Ce I | 571.9 | 470 | 0.41 | ||||
| La II | 404.29 | 294 | 0.52 | La II | 433.37 | 540 | 0.48 |
| La I | 624.99 | 860 | 0.44 | ||||
| Nd II | 325.91 | 592 | 0.43 | Nd II | 380.53 | 410 | 0.16 |
| Nd II | 386.34 | 800 | 0.34 | ||||
| Y I | 297.45 | 296 | 0.43 | Y II | 321.68 | 350 | 0.33 |
| Y I | 410.24 | 600 | 0.20 | ||||
| Species | # Intervals | Interval Width/nm | iPLS: R² | PLS: R² |
|---|---|---|---|---|
| # Components | Element Line/nm | RMSECV | RMSECV | |
| synthetical samples in rocks | ||||
| Ce II | 3000 intervals | 0.02 | 0.98 | 0.88 |
| VIS | 10 components | 507.50 | 1500 ppm | 3719 ppm |
| La II | 20 intervals | 20.35 | 0.99 | 0.99 |
| VIS | 4 components | 398.8, 399.57, 403.2, 404.29, 407.7, 408.67 | 490 ppm | 391 ppm |
| Nd II | 1 interval | 490.56 | 0.98 | 0.96 |
| VIS | 3 components | 380.53 | 1650 ppm | 2250 ppm |
| Y II | 3000 intervals | 0.05 | 0.99 | 0.73 |
| UV | 10 components | 324.20 | 590 ppm | 5130 ppm |
| synthetical Samples in Soils | ||||
| Ce II | 2000 intervals | 0.20 | 0.99 | 0.93 |
| VIS | 12 components | 407.90, 408.00 | 280ppm | 840 ppm |
| La II | 2000 intervals | 0.19 | 0.96 | 0.24 |
| VIS | 6 components | 394.90 | 0.42% | 3205 ppm |
| Nd II | 3000 intervals | 0.16 | 0.95 | 0.73 |
| VIS | 7 components | 532.00 | 0.45% | 1903 ppm |
| Y II / I | 800 intervals | 0.46 | 0.98 | 0.95 |
| VIS | 4 components | 374.80, 374.90 | 480 ppm | 827 ppm |
| Species | # Intervals | Interval Width/nm | iPLS: R² |
|---|---|---|---|
| # Components | Element Line/nm | RMSECV | |
| field samples in rocks | |||
| Ce II | 2000 intervals | 0.288 | 0.92 |
| VIS | 18 components | 639.30 | 1680 ppm |
| La I | 5000 intervals | 0.078 | 0.92 |
| VIS | 3 components | 495.00 | 760 ppm |
| Nd I | 400 intervals | 1.30 | 0.89 |
| VIS | 15 components | 521.30 | 1000 ppm |
| Y I | 1000 intervals | 0.52 | 0.91 |
| VIS | 4 components | 552.76 | 870 ppm |
| field samples in soils | |||
| Ce II | 400 intervals | 1.24 | 0.83 |
| VIS | 12 components | 502.30 | 1000 ppm |
| La II | 1800 intervals | 0.269 | 0.93 |
| VIS | 11 components | 497.00 | 350 ppm |
| Nd II | 1000 intervals | 0.164 | 0.83 |
| VIS | 12 components | 307.50 | 420 ppm |
| Y II | 2100 intervals | 0.17 | 0.84 |
| VIS | 11 components | 371.00 | 200 ppm |
Publisher’s Note: MDPI stays neutral with regard to jurisdictional claims in published maps and institutional affiliations. |
© 2021 by the authors. Licensee MDPI, Basel, Switzerland. This article is an open access article distributed under the terms and conditions of the Creative Commons Attribution (CC BY) license (https://creativecommons.org/licenses/by/4.0/).
Share and Cite
Rethfeldt, N.; Brinkmann, P.; Riebe, D.; Beitz, T.; Köllner, N.; Altenberger, U.; Löhmannsröben, H.-G. Detection of Rare Earth Elements in Minerals and Soils by Laser-Induced Breakdown Spectroscopy (LIBS) Using Interval PLS. Minerals 2021, 11, 1379. https://doi.org/10.3390/min11121379
Rethfeldt N, Brinkmann P, Riebe D, Beitz T, Köllner N, Altenberger U, Löhmannsröben H-G. Detection of Rare Earth Elements in Minerals and Soils by Laser-Induced Breakdown Spectroscopy (LIBS) Using Interval PLS. Minerals. 2021; 11(12):1379. https://doi.org/10.3390/min11121379
Chicago/Turabian StyleRethfeldt, Nina, Pia Brinkmann, Daniel Riebe, Toralf Beitz, Nicole Köllner, Uwe Altenberger, and Hans-Gerd Löhmannsröben. 2021. "Detection of Rare Earth Elements in Minerals and Soils by Laser-Induced Breakdown Spectroscopy (LIBS) Using Interval PLS" Minerals 11, no. 12: 1379. https://doi.org/10.3390/min11121379
APA StyleRethfeldt, N., Brinkmann, P., Riebe, D., Beitz, T., Köllner, N., Altenberger, U., & Löhmannsröben, H.-G. (2021). Detection of Rare Earth Elements in Minerals and Soils by Laser-Induced Breakdown Spectroscopy (LIBS) Using Interval PLS. Minerals, 11(12), 1379. https://doi.org/10.3390/min11121379

