Modified Red Muds and Slag Based Hydraulic Binders for Zn Removal: A Matrix-Spiking Approach Applied on Clayey Sediments
Abstract
:1. Introduction
2. Material and Methods
2.1. Interaction Procedure
2.1.1. Sediment Spiking
2.1.2. Stabilization Procedure (Sequential Addition)
2.1.3. Adsorbent/Zn Aqueous Interactions
2.2. Analytical Methods
2.2.1. X-ray Fluorescence
2.2.2. X-ray Diffraction
2.2.3. Thermogravimetric Analysis
2.2.4. Particle Size and Specific Area
2.2.5. Bulk Organic Matter Characterization
2.2.6. Molecular Analysis
2.2.7. Metal Content Analysis
2.2.8. Microscopic Observations
2.3. Sorption Modeling
3. Results and Discussions
3.1. Zn Trapping within the Sedimentary Wastes: Magnitude and Pathways
3.2. Implementing SBHB and TERM to Lower Zn Release from the Sedimentary Wastes
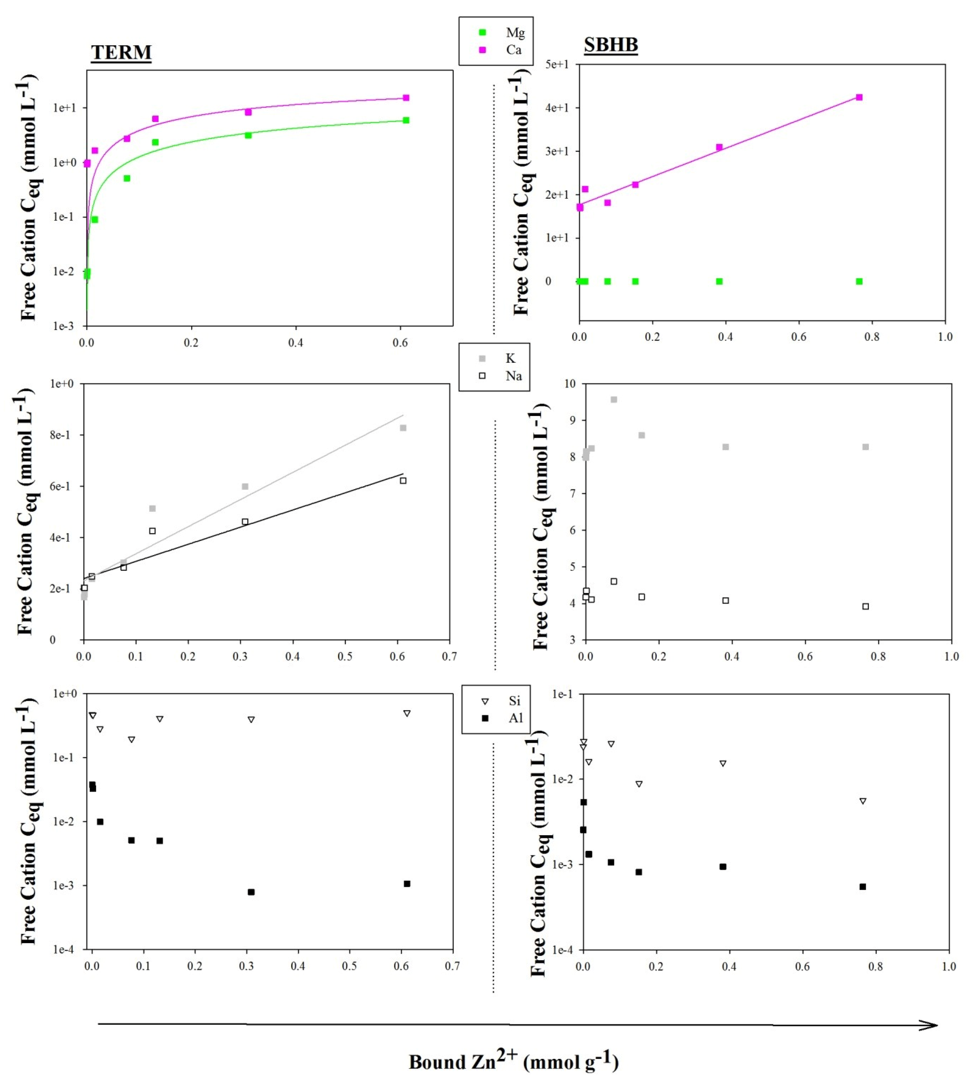
3.3. Zn2+ Binding onto TERM and SBHB: Mechanisms and Background Effects
3.3.1. Binding Mechanisms
Zn/TERM Interactions
SBHB/Zn Interactions
3.3.2. Background (pH and Ionic Strength) Effects
4. Conclusions
Author Contributions
Funding
Institutional Review Board Statement
Informed Consent Statement
Acknowledgments
Conflicts of Interest
References
- Dubois, V.; Abriak, N.E.; Zentar, R.; Ballivy, G. The use of marine sediments as a pavement base material. Waste Manag. 2009, 29, 774–782. [Google Scholar] [CrossRef]
- Miraoui, M.; Zentar, R.; Abriak, N.E. Road material basis in dredged sediment and basic oxygen furnace steel slag. Constr. Build. Mater. 2012, 30, 309–319. [Google Scholar] [CrossRef]
- Wang, D.X.; Abriak, N.E.; Zentar, R.; Xu, W.Y. Solidification/stabilization of dredged marine sediments for road construction. Environ. Technol. 2012, 33, 95–101. [Google Scholar] [CrossRef]
- Faure, A.; Coudray, C.; Anger, B.; Moulin, I.; Colina, H.; Izoret, I.; Théry, F.; Smith, A. Beneficial reuse of dam fine sediments as clinker raw material. Constr. Build. Mater. 2019, 218, 365–384. [Google Scholar] [CrossRef]
- Dang, T.A.; Kamali-Bernard, S.; Prince, W.A. Design of new blended cement based on marine dredged sediment. Constr. Build. Mater. 2013, 41, 602–611. [Google Scholar] [CrossRef]
- Benzerzour, M.; Amar, M.; Abriak, N.E. Design of new blended cement based on marine dredged sediment. Constr. Build. Mater. 2017, 140, 432–444. [Google Scholar] [CrossRef]
- Ferone, C.; Colangelo, F.; Cioffi, R.; Montagnaro, F.; Santoro, L. Use of reservoir clay sediments as raw materials for geopolymer binders. Adv. Appl. Ceram. 2013, 112, 184–189. [Google Scholar] [CrossRef] [Green Version]
- Lirer, S.; Liguori, B.; Capasso, I.; Flora, A.; Caputo, D. Mechanical and chemical properties of composite materials made of dredged sediments in a fly-ash based geopolymer. J. Environ. Manag. 2017, 19, 1–7. [Google Scholar] [CrossRef]
- Liu, M.; Zhong, J.; Zheng, X.; Yu, J.; Liu, D.; Fan, C. Fraction distribution and leaching behavior of heavy metals in dredged sediments disposal sites around Meuliang Bayn Lake Taihu (China). Environ. Sci. Pollut. Res. 2018, 25, 9737–9744. [Google Scholar] [CrossRef]
- O’Shea, F.; Cundy, A.B.; Spencer, K.L. Contaminant legacy from historic coastal landfills and their potential as source of diffuse pollution. Mar. Pollut. Bull. 2018, 128, 446–455. [Google Scholar] [CrossRef]
- Zentar, R.; Abriak, N.E.; Dubois, V. Effects of salts and organic matter on Atterberg limits of dredged marine sediments. Appl. Clay Sci. 2009, 42, 391–397. [Google Scholar] [CrossRef]
- Altaee, A.; Smith, R.; Mikhalovsky, S. The feasibility of decontamination of reduced saline sediments from copper using the electrokinetic process. J. Environ. Manag. 2008, 88, 1611–1618. [Google Scholar] [CrossRef]
- Rozas, F.; Castellote, M. Electrokinetic remediation of dredged sediments polluted with heavy metals with different enhancing electrolytes. Electrochim. Acta 2012, 86, 102–109. [Google Scholar]
- Massi, M.; Ceccarini, A.; Iannelli, R.; Iannelli, R. Model Electrokinetic remediation of dredged sediments polluted with heavy metals with different enhancing electrolytes. -based optimization of field-scale electrokinetic treatment of dredged sediments. Chem. Eng. J. 2017, 328, 87–97. [Google Scholar] [CrossRef]
- Benamar, A.; Tian, Y.; Portet-Koltalo, F.; Ammami, M.T.; Giusti-Petrucciani, N.; Song, Y.; Boulangé-Lecomte, C. Enhanced electrokinetic remediation of multi-contaminated dredged sediments and induced effect on their toxicity. Chemosphere 2019, 228, 744–755. [Google Scholar] [CrossRef]
- De Almeida Neto, A.F.; Vieira, M.G.A.; da Silva, M.G.C. Adsorption and desorption processes for copper removal from water using different eluents and calcined clay as adsorbent. J. Water Process. Eng. 2014, 3, 90–97. [Google Scholar] [CrossRef]
- Kwon, H.K.; Jeon, J.Y.; Oh, S.J. Potential for Heavy Metal (Copper and Zinc) Removal from Contaminated Marine Sediments using Microalgae and Light Emitting Diodes. Ocean Sci. J. 2017, 52, 57–66. [Google Scholar] [CrossRef]
- Nastro, R.A.; Gambino, E.; Toscanesi, M.; Arienzo, M.; Ferrara, L.; Trifuoggi, M. Microbial Fuel Cells (MFCs) Remediation Activity of Marine Sediments Sampled at a Dismissed Industrial Site: What Opportunities? J. Clean. Prod. 2019, 235, 1559–1566. [Google Scholar] [CrossRef]
- Mahamat Ahmat, A.; Mamindy-Pajany, Y. Over-sulfated soils and sediments treatment: A brief discussion on performance disparities of biological and non-biological methods throughout the literature. Waste Manag. Res. 2021, 39, 528–545. [Google Scholar] [CrossRef]
- Choi, H.J.; Yu, S.W.; Kim, K.H. Efficient use of Mg-modified zeolite in the treatment of aqueous solution contaminated with heavy metal toxic ions. J. Taiwan Inst. Chem. Eng. 2016, 63, 482–489. [Google Scholar] [CrossRef]
- Burakov, A.E.; Galunin, E.V.; Burakova, I.V.; Kucherova, A.E.; Agarwal, S.; Tkachev, A.G.; Gupta, V.K. Adsorption of heavy metals on conventional and nanostructured materials for wastewater treatment purposes: A review. Ecotoxicol. Environ. Saf. 2018, 148, 702–712. [Google Scholar] [CrossRef]
- Windom, H.L.; Schropp, S.J.; Calder, F.D.; Ryan, J.D.; Smith, R.G., Jr.; Burney, L.C.; Lewis, F.G.; Rawlinson, C.H. Natural Trace Metal Concentrations in Estuarine and Coastal Marine Sediments of the Southeastern United States. Environ. Sci. Technol. 1989, 23, 314–320. [Google Scholar] [CrossRef]
- Bhuyan, M.S.; Bakar, M.A.; Akhtar, A.; Hossain, M.B.; Ali, M.M.; Islam, M.S. Heavy metal contamination in surface water and sediment of the Meghna River, Bangladesh. Environ. Nanotechnol. Monit. Manag. 2017, 8, 273–279. [Google Scholar] [CrossRef]
- Vu, C.T.; Lin, C.; Shern, C.C.; Yeh, G.; Le, V.G.; Tran, H.T. Contamination, ecological risk and source apportionment of heavy metals in sediments and water of a contaminated river in Taiwan. Ecol. Indic. 2017, 82, 32–42. [Google Scholar] [CrossRef]
- Jacquiod, S.; Cyriaque, V.; Riber, L.; As-Soud, W.A.; Gillan, D.C.; Wattiez, R.; Sorensen, S.J. Long-term industrial metal contamination unexpectedly shaped diversity and activity response of sediment microbiome. J. Hazard. Mater. 2018, 344, 299–307. [Google Scholar] [CrossRef]
- Pandey, L.K.; Park, J.; Son, D.H.; Kim, W.; Islam, M.S.; Choi, S.; Lee, H.; Han, T. Assessment of metal contamination in water and sediments from major rivers in South Korea from 2008 to 2015. Sci. Total Environ. 2019, 651, 323–333. [Google Scholar] [CrossRef] [PubMed]
- Saher, N.U.; Sidiqqui, A.S. Occurrence of heavy metals in sediment and their bioaccumulation in sentinel crab (Macrophthalmus depressus) from highly impacted coastal zone. Chemosphere 2019, 221, 89–98. [Google Scholar] [CrossRef] [PubMed]
- Paches, M.; Martinez-Guijarro, R.; Aguado, D.; Ferrer, J. Assessment of the impact of heavy metals in sediments along the Spanish Mediterranean coastline: Pollution indices. Environ. Sci. Pollut. Res. 2019, 26, 10887–10901. [Google Scholar] [CrossRef]
- Vidal-Durà, A.; Burke, I.T.; Stewart, D.I.; Mortimer, R.J.G. Reoxidation of estuarine sediments during simulated resuspension events: Effects on nutrient and trace metal mobilization. Estuar. Coast. Shelf Sci. 2018, 207, 40–55. [Google Scholar] [CrossRef]
- Richards, C.M.; van Puffelen, J.L.; Pallud, C. Effects of sediment resuspension on the oxidation of acid-volatile sulfides and release of metals (iron, manganese, zinc) in pescadero estuary (CA, USA). Environ. Toxicol. Chem. 2017, 37, 993–1006. [Google Scholar] [CrossRef]
- Xie, M.; Alsina, M.A.; Yuen, J.; Packman, A.I.; Gaillard, J.F. Effects of resuspension on the mobility and chemical speciation of zinc in contaminated sediments. J. Hazard. Mater. 2019, 364, 300–308. [Google Scholar] [CrossRef]
- Cervi, E.C.; Hudson, M.; Rentschler, A.; Burton, G.A. Metal Toxicity During Short-Term Sediment Resuspension and Redeposition in a Tropical Reservoir. Environ. Toxicol. Chem. 2019, 38, 1476–1485. [Google Scholar] [CrossRef] [PubMed]
- Ciutat, A.; Boudou, A. Bioturbation effects on cadmium and zinc transfers from a contaminated sediment and on metal bioavailability to benthic bivalves. Environ. Toxicol. Chem. 2003, 22, 1574–1581. [Google Scholar] [CrossRef]
- Schaller, J. Bioturbation/bioirrigation by Chironomus plumosus as main factor controlling elemental remobilization from aquatic sediments? Chemosphere 2014, 107, 336–343. [Google Scholar] [CrossRef]
- He, Y.; Men, B.; Yang, X.; Li, Y.; Xu, H.; Wang, D. Relationship between heavy metals and dissolved organic matter released from sediment by bioturbation/bioirrigation. J. Environ. Sci. 2019, 75, 216–223. [Google Scholar] [CrossRef]
- Vandevivere, P.; Hammes, F.; Verstraete, W.; Feijtel, T.; Schowanek, D. Metal Decontamination of Soil, Sediment, and Sewage Sludge by Means of Transition Metal Chelant S,S.-EDDS. J. Environ. Eng. 2001, 127, 802–811. [Google Scholar] [CrossRef]
- Meegoda, J.N.; Batagoda, J.H.; Aluthgun-Hewage, S. Briefing: In situ decontamination of sediments using ozone nanobubbles and ultrasound. J. Environ. Eng. Sci. 2017, 1, 1–3. [Google Scholar] [CrossRef]
- Batagoda, J.H. Decontamination of the Passaic River Sediments Using Ultrasound with Ozone Nano-Bubbles. Ph.D. Thesis, New Jersey Institute of Technology, Newark, NJ, USA, 2018. Available online: https://digitalcommons.njit.edu/dissertations/1368 (accessed on 3 September 2021).
- Rad, L.R.; Momeni, A.; Ghazani, B.F.; Irani, M.; Mahmoudi, M.; Noghreh, B. Removal of Ni2+ and Cd2+ ions from aqueous solutions using electrospun PVA/zeolite nanofibrous adsorbent. Chem. Eng. J. 2014, 256, 119–127. [Google Scholar] [CrossRef]
- Altin, O.; Özbelge, H.O.; Dogu, T. Use of general purpose adsorption isotherms for heavy metal metal-clay mineral interactions. J. Colloid Interface Sci. 1998, 198, 130–140. [Google Scholar] [CrossRef]
- Bertagnolli, C.; Kleinübing, S.J.; da Silva, M.G.C. Preparation and characterization of a Brazilian bentonite clay for removal of copper in porous beds. Appl. Clay Sci. 2011, 53, 73–79. [Google Scholar] [CrossRef]
- Gupta, V.K.; Moradi, O.; Tyagi, I.; Agarwal, S.; Sadegh, H.; Shahryari-Ghoshekandi, R.; Garshasbi, A. Study on the removal of heavy metal ions from industry waste by carbon nanotubes: Effect of the surface modification: A review. Crit. Rev. Environ. Sci. Technol. 2015, 46, 93–118. [Google Scholar] [CrossRef]
- Lucena, R.; Simonet, B.M.; Cárdenas, S.; Valcárcel, M. Potential of nanoparticles in sample preparation. J. Chromatogr. A 2011, 1218, 620–637. [Google Scholar] [CrossRef]
- Huang, Z.H.; Zheng, X.; Lv, W.; Wang, M.; Yang, Q.H.; Kang, F. Adsorption of Lead (II) Ions from Aqueous Solution on Low-Temperature Exfoliated Graphene Nanosheets. Langmuir 2011, 27, 7558–7562. [Google Scholar] [CrossRef] [PubMed]
- Cong, H.P.; Ren, X.C.; Wang, P.; Yu, S.H. Macroscopic Multifunctional Graphene-Based Hydrogels and Aerogels by a Metal Ion Induced Self-Assembly Process. ACS Nano 2012, 6, 2693–2703. [Google Scholar] [CrossRef] [PubMed]
- Singh, S.P.; Ma, L.Q.; Harris, W.G. Heavy Metal Interactions with Phosphatic Clay. J. Environ. Qual. 2001, 30, 1961–1968. [Google Scholar] [CrossRef] [Green Version]
- Krikorian, N.; Martin, D.F. Extraction of Selected Heavy Metals Using Modified Clays. J. Environ. Sci. Health Part A 2005, 40, 601–608. [Google Scholar] [CrossRef]
- Scribot, C. Etude du Potentiel de Valorisation de la Bauxaline® en Matériaux de Construction et de Dépollution. Ph.D. Thesis, Lille University, Lille, France, 2017; p. 227. [Google Scholar]
- Mahamat Ahmat, A.; Mamindy-Pajany, Y.; Nadah, J. Lowring sulfates from SO42—Rich geomaterials: A few tests regarding the hydraulic binders pathway. Int. J. Environ. Sci. Technol. 2021, 18, 2661–2674. [Google Scholar] [CrossRef]
- Espitalié, J.; Laporte, J.L.; Madec, M.; Marquis, F.; Leplat, P.; Paulet, J.; Boutefeu, A. Méthode rapide de caractérisation des roches mères, de leur potentiel pétrolier et de leur degré d’évolution. Rev. L’inst. Fr. Pét. 1977, 32, 23–42. [Google Scholar] [CrossRef]
- Mahamat Ahmat, A.; Boussafir, M.; Le Milbeau, C.; Guégan, R.; Valdès, J.; Guiñez, M.; Le Forestier, L. Organic matter-clay interaction along a seawater column of the eastern Pacific upwelling system (Antofagasta bay, Chile): Implications for source rock organic matter preservation. Mar. Chem. 2016, 179, 23–33. [Google Scholar] [CrossRef] [Green Version]
- Mahamat Ahmat, A.; Boussafir, M.; Le Milbeau, C.; Guégan, R.; De Oliveira, T.; Le Forestier, L. Organic matter and Clay interaction in a meromictic lake: Implication for source rock OM preservation. Org. Geochem. 2017, 109, 45–57. [Google Scholar] [CrossRef] [Green Version]
- Özcan, A.S.; Erdem, B.; Özcan, A. Adsorption of acid blue 193 from aqueous solutions onto BTMA-bentonite. Colloids Surf. A Physicochem. Eng. Asp. 2005, 266, 73–81. [Google Scholar] [CrossRef]
- Liu, R.; Zhang, B.; Mei, D.; Zhang, H.; Liu, J. Adsorption of methyl violet from aqueous solution by halloysite nanotubes. Desalination 2011, 268, 111–116. [Google Scholar] [CrossRef]
- Sansalone, J.; Ying, G. Partitioning and granulometric distribution of metal leachate from urban traffic dry deposition particulate matter subject to acidic rainfall and runoff retention. Water Res. 2008, 42, 4146–4162. [Google Scholar] [CrossRef] [PubMed]
- Mandzhieva, S.; Minkina, T.; Pinskiy, D.; Bauer, T.; Sushkova, S. The role of soil’s particle-size fractions in the adsorption of heavy metals. Eurasian J. Soil Sci. 2014, 3, 197–205. [Google Scholar] [CrossRef]
- Hills, A.W.D. The mechanism of thermal decomposition of calcium carbonate. Chem. Eng. Sci. 1968, 23, 297–320. [Google Scholar] [CrossRef]
- L’vov, B.V. Mechanism of thermal decomposition of alkaline-earth carbonates. Thermochim. Acta 1997, 303, 161–170. [Google Scholar] [CrossRef]
- Mohamed, M.; Yasup, S.; Maitra, S. Decomposition study of calcium carbonate in cockle shell. J. Eng. Sci. Technol. 2012, 7, 1–10. [Google Scholar]
- Shuman, L.M. The effect of soil properties on zinc adsorption by soils. Soils Sci. Soc. Am. 1975, 39, 454–458. [Google Scholar] [CrossRef]
- Young, L.B.; Harvey, H.H. The relative importance of manganese and iron oxides and organic matter in the sorption of trace metals by surficial lake sediments. Geochim. Cosmochim. Acta 1992, 56, 1175–1186. [Google Scholar] [CrossRef]
- Lin, J.G.; Chen, S.Y. The relationship between adsorption of heavy metals and organic matter in river sediments. Environ. Int. 1998, 24, 345–352. [Google Scholar] [CrossRef]
- Pérez-Novo, C.; Pateiro-Moure, M.; Osorio, F.; Novoa-Munoz, J.C.; Lopez-Periago, E.; Arias-Estévez, M. Influence of organic matter removal on competitive and noncompetitive adsorption of copper and zinc in acid soils. J. Colloid Interface Sci. 2008, 322, 33–40. [Google Scholar] [CrossRef]
- Mizutani, K.; Fisher-Power, L.M.; Shi, Z.; Cheng, T. Cu and Zn adsorption to a terrestrial sediment: Influence of solid-tosolution ratio. Chemosphere 2017, 175, 341–349. [Google Scholar] [CrossRef]
- Ören, A.K.; Kaya, A. Factors affecting adsorption characteristics of Zn2+ on two natural zeolites. J. Hazard. Mater. 2006, B131, 59–65. [Google Scholar] [CrossRef] [PubMed]
- Sen, T.K.; Gomez, D. Adsorption of zinc (Zn2+) from aqueous solution on natural bentonite. Desalination 2011, 267, 286–294. [Google Scholar] [CrossRef]
- Clare, K.E.; Sherwood, P.T. The effect of organic matter on the setting on soil-cement mixtures. J. Appl. Chem. 1954, 4, 625–630. [Google Scholar] [CrossRef]
- Clare, K.E.; Sherwood, P.T. Further studies on the effect of organic matter on the setting of soil-cement mixtures. J. Appl. Chem. 1956, 6, 317–324. [Google Scholar] [CrossRef]
- Tremblay, H.; Duchesne, J.; Locat, J.; Leroueil, S. Influence of the nature of organic compounds on fine soil stabilization with cement. Can. Geotech. J. 2002, 39, 535–546. [Google Scholar] [CrossRef]
- Chen, H.; Wang, Q. The behavior of organic matter in the process of soft soil stabilization using cement. Bull. Eng. Geol. Environ. 2006, 65, 445–448. [Google Scholar] [CrossRef]
- Ma, C.; Chen, B. Effect of organic matter on strength development of self-compacting earth-based construction stabilized with cement-based composites. Constr. Build. Mater. 2016, 123, 414–423. [Google Scholar] [CrossRef]
- Pan, Y.; Rossabi, J.; Pan, C.; Xie, X. Stabilization/solidification characteristics of organic clay contaminated by lead when using cement. J. Hazard Mater. 2019, 362, 132–139. [Google Scholar] [CrossRef]
- Arnarson, T.S.; Keil, R.G. Mechanisms of pore water organic matter adsorption to montmorillonite. Mar. Chem. 2000, 71, 309–320. [Google Scholar] [CrossRef]
- Keil, R.G.; Mayer, L.M. Mineral matrices and organic matter. Treatise Geochem. 2014, 12, 337–359. [Google Scholar]
- Mahamat Ahmat, A.; Thiebault, T.; Guégan, R. Phenolic acids interactions with clay minerals: A spotlight on the adsorption mechanisms of Gallic Acid onto montmorillonite. Appl. Clay Sci. 2019, 180, 105188. [Google Scholar] [CrossRef] [Green Version]
- Brigatti, M.F.; Corradini, F.; Franchini, G.C.; Mazzoni, S.; Medici, L.; Poppi, L. Interaction between montmorillonite and pollutants from industrial waste-waters exchange of Zn2 + and Pb2 + from aqueous solutions. Appl. Clay Sci. 1995, 9, 383–395. [Google Scholar] [CrossRef]
- Ide, Y.; Ochi, N.; Ogawa, M. Effective and Selective Adsorption of Zn2+ from Seawater on a Layered Silicate. Angew. Chem. 2011, 123, 680–682. [Google Scholar] [CrossRef]








| Sediments | Surface Area (m2 g−1) | TOC (%) | HI (mg HC g−1 TOC) | OI (mg CO2/g−1 TOC) | Lipidic Fraction (mg g−1) | pH | Main Mineralogical Content | 
|---|---|---|---|---|---|---|---|
| Lille | 2.09 | 6.78 | 452 | 98 | 15.89 | 7.8 | Quartz; Calcite; Muscovite; Albite; Orthoclase; Illite; Montmorillonite | 
| ASL | 4.69 | 1.15 | 201 | 128 | 1.90 | 7.7 | Quartz; Calcite; Orthoclase; Muscovite; Albite; Diopside | 
| Saint-Omer | 7.18 | 1.43 | 284 | 119 | 2.36 | 8.1 | Quartz; Calcite; Brushite; Muscovite, Microcline | 
| Langmuir | Freundlich | Dubnin-Radushkovitch | |||||||||||
|---|---|---|---|---|---|---|---|---|---|---|---|---|---|
| a | b | r2 | qmax | KL | a | b | r2 | KF | a | b | r2 | KDR | |
| pH 7 | 0.05 | 0.04 | 0.98 | 15.75 | 1.59 | 0.44 | 2.19 | 0.52 | 0.12 | 0.0006 | −0.97 | 0.66 | 0.38 | 
| pH 2 | 0.08 | 0.09 | 0.95 | 12.41 | 0.90 | 0.23 | 0.51 | 0.51 | 0.06 | 0.015 | −1.65 | 0.89 | 0.16 | 
| Publisher’s Note: MDPI stays neutral with regard to jurisdictional claims in published maps and institutional affiliations. | 
© 2021 by the authors. Licensee MDPI, Basel, Switzerland. This article is an open access article distributed under the terms and conditions of the Creative Commons Attribution (CC BY) license (https://creativecommons.org/licenses/by/4.0/).
Share and Cite
Mahamat Ahmat, A.; Maherzi, W.; Le Milbeau, C.; Benzerzour, M.; Abriak, N.-E. Modified Red Muds and Slag Based Hydraulic Binders for Zn Removal: A Matrix-Spiking Approach Applied on Clayey Sediments. Minerals 2021, 11, 1189. https://doi.org/10.3390/min11111189
Mahamat Ahmat A, Maherzi W, Le Milbeau C, Benzerzour M, Abriak N-E. Modified Red Muds and Slag Based Hydraulic Binders for Zn Removal: A Matrix-Spiking Approach Applied on Clayey Sediments. Minerals. 2021; 11(11):1189. https://doi.org/10.3390/min11111189
Chicago/Turabian StyleMahamat Ahmat, Adoum, Walid Maherzi, Claude Le Milbeau, Mahfoud Benzerzour, and Nor-Edine Abriak. 2021. "Modified Red Muds and Slag Based Hydraulic Binders for Zn Removal: A Matrix-Spiking Approach Applied on Clayey Sediments" Minerals 11, no. 11: 1189. https://doi.org/10.3390/min11111189
APA StyleMahamat Ahmat, A., Maherzi, W., Le Milbeau, C., Benzerzour, M., & Abriak, N.-E. (2021). Modified Red Muds and Slag Based Hydraulic Binders for Zn Removal: A Matrix-Spiking Approach Applied on Clayey Sediments. Minerals, 11(11), 1189. https://doi.org/10.3390/min11111189
 
         
                                                



 
       