Magnetic Susceptibility of Spider Webs and Dust: Preliminary Study in Wrocław, Poland
Abstract
1. Introduction
2. Materials and Methods
2.1. Study Area
2.2. Spider Characteristics
2.3. Sample Collection
2.4. Analytical Procedures
2.5. Statistics
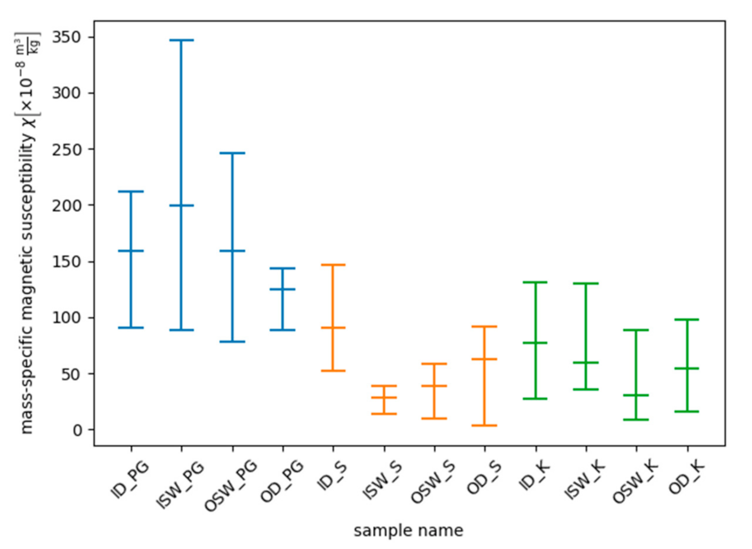
3. Results and Discussion
4. Conclusions
Supplementary Materials
Author Contributions
Funding
Conflicts of Interest
References
- Jordanova, D.; Jordanova, N.; Lanos, P.; Petrov, P.; Tsacheva, T. Magnetism of outdoor and indoor settled dust and its utilization as a tool for revealing the effect of elevated particulate air pollution on cardiovascular mortality. Geochem. Geophys. Geosyst. 2012, 13, 8. [Google Scholar] [CrossRef]
- Donaldson, K.; Tran, L.; Jimenez, L.A.; Duffin, R.; Newby, D.E.; Mills, N.L.; MacNee, W.; Stone, V. Combustion-derived nanoparticles: A review of their toxicology following inhalation exposure. Part. Fibre Toxicol. 2005, 2, 10. [Google Scholar] [CrossRef] [PubMed]
- Mitchell, R.; Maher, B.A. Evaluation and application of biomagnetic monitoring of traffic-derived particulate pollution. Atmos. Environ. 2009, 43, 2095–2103. [Google Scholar] [CrossRef]
- Kim, W.; Doh, S.-J.; Park, Y.-H.; Yun, S.-T. Two-year magnetic monitoring in conjunction with geochemical and electron microscopic data of roadside dust in Seoul, Korea. Atmos. Environ. 2007, 41, 7627–7641. [Google Scholar] [CrossRef]
- Muxworthy, A.R.; Matzka, J.; Petersen, N. Comparison of magnetic parameters of urban atmospheric particulate matter with pollution and meteorological data. Atmos. Environ. 2001, 35, 4379–4386. [Google Scholar] [CrossRef]
- Muxworthy, A.R.; Matzka, J.; Davila, A.F.; Petersen, N. Magnetic signature of daily 1595 sampled urban atmospheric particles. Atmos. Environ. 2003, 37, 4163–4169. [Google Scholar] [CrossRef]
- Gómez-Paccard, M.; McIntosh, G.; Villasante-Marcos, V.; Lopez, M.L.O.; Rodríguez-Fernández, J.; Gomez-Sal, J. Low-temperature and high magnetic field measurements of atmospheric particulate matter. J. Magn. Magn. Mater. 2004, 272, 2420–2421. [Google Scholar] [CrossRef]
- Szczepaniak-Wnuk, I.; Górka-Kostrubiec, B. Magnetic particles in indoor dust as marker of pollution emitted by different outside sources. Stud. Geophys. Geod. 2016, 60, 297–315. [Google Scholar] [CrossRef]
- Sagnotti, L.; Taddeucci, J.; Winkler, A.; Cavallo, A. Compositional, morphological, and hysteresis characterization of magnetic airborne particulate matter in Rome, Italy. Geochem. Geophys. Geosyst. 2009, 10, 8. [Google Scholar] [CrossRef]
- Jeleńska, M.; Górka-Kostrubiec, B.; Werner, T.; Kądziałko-Hofmokl, M.; Szczepaniak-Wnuk, I.; Gonet, T.; Szwarczewski, P. Evaluation of indoor/outdoor urban air pollution by magnetic, chemical and microscopic studies. Atmos. Pollut. Res. 2017, 8, 754–766. [Google Scholar] [CrossRef]
- Wan, D.; Han, Z.; Yang, J.; Yang, G.; Liu, X. Heavy metal pollution in settled dust associated with different urban functional areas in a heavily air-polluted city in North China. Int. J. Environ. Res. Public Health 2016, 13, 1119. [Google Scholar] [CrossRef] [PubMed]
- Márton, E.; Zajzon, N.; Lautner, P.; Sipos, P.; Szentmarjay, T.; Pethe, M. Magnetic monitoring, geochemical and mineralogical analysis of settled dust from North and Central Transdanubia, Hungary. Central Eur. Geol. 2012, 55, 347–364. [Google Scholar] [CrossRef]
- Zajzon, N.; Márton Péterné Szalay, E.; Sipos, P.; Pethe, M.; Németh, T.; Kovácsné Kis, V. Tracking magnetic pollutants by integrated mineralogical and magnetic analyses of airborne particles in urban environment. Carpathian J. Earth Environ. Sci. 2013, 8, 221–229. [Google Scholar]
- Cao, L.; Appel, E.; Hu, S.; Ma, M. An economic passive sampling method to detect particulate pollutants using magnetic measurements. Environ. Pollut. 2015, 205, 97–102. [Google Scholar] [CrossRef]
- Hofman, J.; Maher, B.A.; Muxworthy, A.R.; Wuyts, K.; Castanheiro, A.; Samson, R. Biomagnetic monitoring of atmospheric pollution: A review of magnetic signatures from biological sensors. Environ. Sci. Technol. 2017, 51, 6648–6664. [Google Scholar] [CrossRef]
- Salo, H.; Bućko, M.S.; Vaahtovuo, E.; Limo, J.; Mäkinen, J.; Pesonen, L.J. Biomonitoring of air pollution in SW Finland by magnetic and chemical measurements of moss bags and lichens. J. Geochem. Explor. 2012, 115, 69–81. [Google Scholar] [CrossRef]
- Kodnik, D.; Winkler, A.; Carniel, F.C.; Tretiach, M. Biomagnetic monitoring and element content of lichen transplants in a mixed land use area of NE Italy. Sci. Total Environ. 2017, 595, 858–867. [Google Scholar] [CrossRef]
- Flanders, P.J. Collection, measurement, and analysis of airborne magnetic particulates from pollution in the environment (invited). J. Appl. Phys. 1994, 75, 5931–5936. [Google Scholar] [CrossRef]
- Hose, G.C.; James, J.; Gray, M. Spider webs as environmental indicators. Environ. Pollut. 2002, 120, 725–733. [Google Scholar] [CrossRef]
- Xiao-Li, S.; Yu, P.; Hose, G.; Jian, C.; Feng-Xiang, L. Spider webs as indicators of heavy metal pollution in air. Bull. Environ. Contam. Toxicol. 2006, 76, 271–277. [Google Scholar] [CrossRef]
- Rybak, J.; Olejniczak, T. Accumulation of polycyclic aromatic hydrocarbons (PAHs) on the spider webs in the vicinity of road traffic emissions. Environ. Sci. Pollut. Res. 2014, 21, 2313–2324. [Google Scholar] [CrossRef] [PubMed]
- Rybak, J. Accumulation of major and trace elements in spider webs. Water Air Soil Pollut. 2015, 226, 1–12. [Google Scholar] [CrossRef] [PubMed]
- Rachwał, M.; Rybak, J.; Rogula-Kozłowska, W. Magnetic susceptibility of spider webs as a proxy of airborne metal pollution. Environ. Pollut. 2018, 234, 543–551. [Google Scholar] [CrossRef] [PubMed]
- Foelix, R.F. Biology of Spiders; Oxford University Press: Oxford, UK, 2011; Volume 14. [Google Scholar]
- Roberts, M.J. Spiders of Britain and Northern Europe; Harper Collins: London, UK, 1995. [Google Scholar]
- Stojanowska, A.; Rybak, J.; Bożym, M.; Olszowski, T.; Bihałowicz, J.S. Spider Webs and Lichens as Bioindicators of Heavy Metals: A comparison study in the vicinity of a copper smelter (Poland). Sustainability 2020, 12, 8066. [Google Scholar] [CrossRef]
- Shapiro, S.S.; Wilk, M.B. An analysis of variance test for normality (Complete Samples). Biometrika 1965, 52, 591. [Google Scholar] [CrossRef]
- Welch, B.L. The Generalization of ‘Student’s’ Problem when Several Different Population Variances are Involved. Biometrika 1947, 34, 28. [Google Scholar] [CrossRef]
- Wilcoxon, F. Individual comparisons by ranking methods. Biom. Bull. 1945, 1, 80. [Google Scholar] [CrossRef]
- Wasserman, L. All of Statistics: A Concise Course in Statistical Inference Brief Contents. Simulation 2004. [Google Scholar] [CrossRef]
- Python Software Fundation. Python Language Reference; Version 3.7; Python Software Foundation: Beaverton, OR, USA, 2020. [Google Scholar]
- McKinney, W. Data Structures for Statistical Computing in Python. In Proceedings of the 9th Python in Science Conference, Austin, TX, USA, 28 June–3 July 2010. [Google Scholar]
- Virtanen, P.; Gommers, R.; Oliphant, T.E.; Haberland, M.; Reddy, T.; Cournapeau, D.; Burovski, E.; Peterson, P.; Weckesser, W.; Bright, J.; et al. SciPy 1.0: Fundamental algorithms for scientific computing in Python. Nat. Methods 2020, 17, 261–272. [Google Scholar] [CrossRef]
- Hunter, J.D. Matplotlib: A 2D Graphics Environment. Comput. Sci. Eng. 2007, 9, 90–95. [Google Scholar] [CrossRef]
- Mejía-Echeverry, D.; Chaparro, M.A.E.; Trujillo, J.D.; Miranda, A.G.C.; Chaparro, M.A.E. Magnetic Biomonitoring as a Tool for Assessment of Air Pollution Patterns in a Tropical Valley Using Tillandsia sp. Atmosphere 2018, 9, 283. [Google Scholar] [CrossRef]
- Marié, D.C.; Chaparro, M.A.E.; Irurzun, M.A.; Lavornia, J.M.; Marinelli, C.; Cepeda, R.; Böhnel, H.N.; Miranda, A.G.C.; Sinito, A.M. Magnetic mapping of air pollution in Tandil city (Argentina) using the lichen Parmotrema pilosum as biomonitor. Atmos. Pollut. Res. 2016, 7, 513–520. [Google Scholar] [CrossRef]
- Górka-Kostrubiec, B.; Jelenska, M.; Król, E. Magnetic signature of indoor air pollution: Household dust study. Acta Geophys. 2014, 62, 1478–1503. [Google Scholar] [CrossRef]
- Malara, P.; Fischer, A.; Malara, B. Selected toxic and essential heavy metals in impacted teeth and the surrounding mandibular bones of people exposed to heavy metals in the environment. J. Occup. Med. Toxicol. 2016, 11, 1–11. [Google Scholar] [CrossRef] [PubMed]
- Vollrath, F.; Edmonds, D. Consequences of electrical conductivity in an orb spider’s capture web. Naturwissenschaften 2013, 100, 1163–1169. [Google Scholar] [CrossRef] [PubMed]
- Samu, F.; Matthews, G.A.; Lake, D.; Vollrath, F. Spider webs are efficient collectors of agrochemical spray. Pestic. Sci. 1992, 36, 47–51. [Google Scholar] [CrossRef]
- Culbard, E.; Thornton, I.; Watt, J.; Wheatley, M.; Moorcroft, S.; Thompson, M. Metal Contamination in British Urban Dusts and Soils. J. Environ. Qual. 1988, 17, 226–234. [Google Scholar] [CrossRef]
- Rasmussen, P.; Subramanian, K.; Jessiman, B. A multi-element profile of house dust in relation to exterior dust and soils in the city of Ottawa, Canada. Sci. Total Environ. 2001, 267, 125–140. [Google Scholar] [CrossRef]
- Arar, S.; Al-Hunaiti, A.; Masad, M.; Maragkidou, A.; Wraith, D.; Hussein, T. Elemental Contamination in Indoor Floor Dust and Its Correlation with PAHs, Fungi, and Gram+/− Bacteria. Int. J. Environ. Res. Public Health 2019, 16, 3552. [Google Scholar] [CrossRef]
- Kulmala, M.; Asmi, A.; Pirjola, L. Indoor air aerosol model: The effect of outdoor air, filtration and ventilation on indoor concentrations. Atmos. Environ. 1999, 33, 2133–2144. [Google Scholar] [CrossRef]
- Weschler, C.J.; Shields, H. The effects of ventilation, filtration, and outdoor air on the composition of indoor air at a telephone office building. Environ. Int. 1989, 15, 593–604. [Google Scholar] [CrossRef]
- Castro, D.; Slezakova, K.; Delerue-Matos, C.; Alvim-Ferraz, M.C.; Morais, S.; Pereira, M.C. Contribution of traffic and tobacco smoke in the distribution of polycyclic aromatic hydrocarbons on outdoor and indoor PM2.5. Glob. Nest J. 2010, 12, 3–11. [Google Scholar]
- Rybak, J.; Rogula-Kozłowska, W.; Jureczko, I.; Rutkowski, R. Monitoring of indoor polycyclic aromatic hydrocarbons using spider webs. Chemosphere 2019, 218, 758–766. [Google Scholar] [CrossRef] [PubMed]
- Rutkowski, R.; Rybak, J.; Rogula-Kozłowska, W.; Bełcik, M.; Piekarska, K.; Jureczko, I. Mutagenicity of indoor air pollutants adsorbed on spider webs. Ecotoxicol. Environ. Saf. 2019, 171, 549–557. [Google Scholar] [CrossRef] [PubMed]
- Xue, M.; Wang, S.; Huang, C. Determination of heavy metals (Pb,Cd,Cr and Hg) in printed paper as food packaging materials and analysis of their sources. CIESC J. 2010, 12, 32. [Google Scholar]
- Gunawardana, C.; Goonetilleke, A.; Egodawatta, P.; Dawes, L.A.; Kokot, S. Source characterisation of road dust based on chemical and mineralogical composition. Chemosphere 2012, 87, 163–170. [Google Scholar] [CrossRef]


| Name of Site | Site | Coordinates | Samples |
|---|---|---|---|
| S | Siemiradzkiego st. (Śródmieście district). Outdoor: tenement house neighborhood. Indoor: room (gas heating located in the kitchen) without smoking residents (number of inhabitants: 3). | 51°06′04.2″ N 17°05′41.0″ E | Outdoor: T. ferruginea webs (n = 4), URD (n = 4). Indoor: E. atrica webs (n = 4), filters (n = 4). |
| PG | Grunwaldzki Square. Outdoor: the city center; bushes near the university building (height 0.5 m). Indoor: the environmental laboratory in a building belonging to Wrocław University of Science and Technology. | 51°06′36.5″ N 17°03′25.1″ E | Outdoor: A. labyrinthica webs (n = 4), URD (n = 4). Indoor: E. atrica webs (n = 4), filters (n = 4). |
| K | Kamieńskiego st. Outdoor: outside of the prosthetic laboratory; bushes near the laboratory (height 0.5 m). Indoor: room where all types of prosthetic work are prepared (dentures, implants, etc.) | 51°09′15.9″ N 17°02′39.1″ E | Outdoor: A. labyrinthica webs (n = 4), URD (n = 4). Indoor: E. atrica webs (n = 4), filters (n = 4). |
| ISW/OSW | ID/OD | |
|---|---|---|
| PG | ||
| S | ||
| K |
Publisher’s Note: MDPI stays neutral with regard to jurisdictional claims in published maps and institutional affiliations. |
© 2020 by the authors. Licensee MDPI, Basel, Switzerland. This article is an open access article distributed under the terms and conditions of the Creative Commons Attribution (CC BY) license (http://creativecommons.org/licenses/by/4.0/).
Share and Cite
Rutkowski, R.; Bihałowicz, J.S.; Rachwał, M.; Rogula-Kozłowska, W.; Rybak, J. Magnetic Susceptibility of Spider Webs and Dust: Preliminary Study in Wrocław, Poland. Minerals 2020, 10, 1018. https://doi.org/10.3390/min10111018
Rutkowski R, Bihałowicz JS, Rachwał M, Rogula-Kozłowska W, Rybak J. Magnetic Susceptibility of Spider Webs and Dust: Preliminary Study in Wrocław, Poland. Minerals. 2020; 10(11):1018. https://doi.org/10.3390/min10111018
Chicago/Turabian StyleRutkowski, Radosław, Jan Stefan Bihałowicz, Marzena Rachwał, Wioletta Rogula-Kozłowska, and Justyna Rybak. 2020. "Magnetic Susceptibility of Spider Webs and Dust: Preliminary Study in Wrocław, Poland" Minerals 10, no. 11: 1018. https://doi.org/10.3390/min10111018
APA StyleRutkowski, R., Bihałowicz, J. S., Rachwał, M., Rogula-Kozłowska, W., & Rybak, J. (2020). Magnetic Susceptibility of Spider Webs and Dust: Preliminary Study in Wrocław, Poland. Minerals, 10(11), 1018. https://doi.org/10.3390/min10111018

