M-Polynomial and Related Topological Indices of Nanostar Dendrimers
Abstract
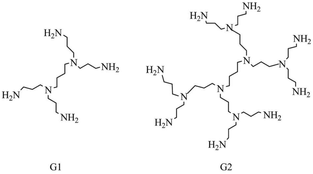
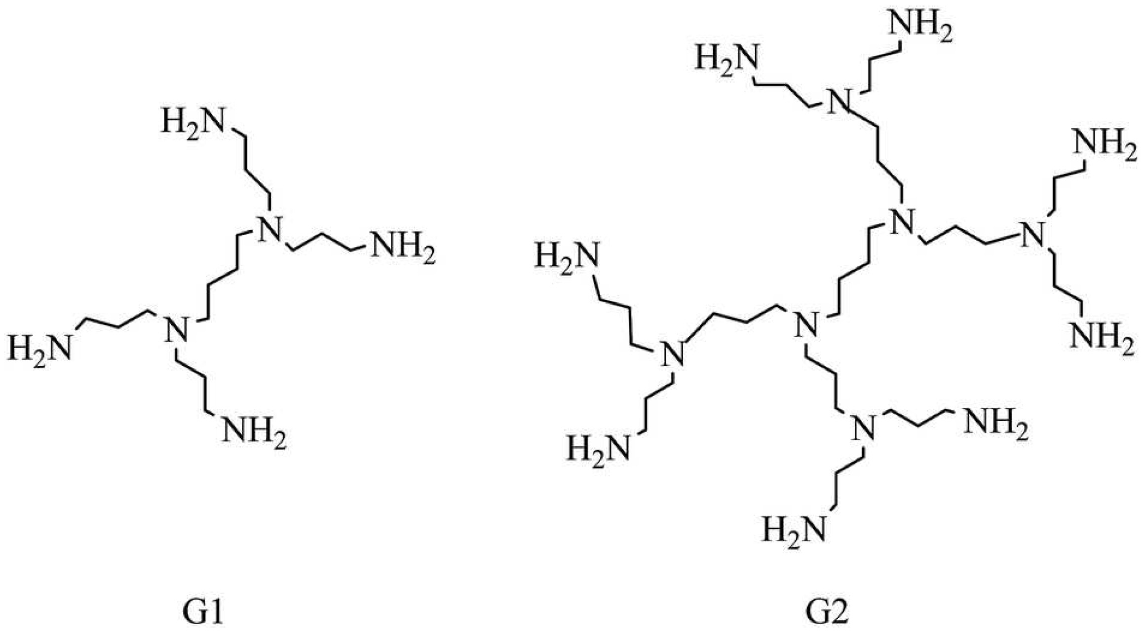
:1. Introduction
2. Main Results
2.1. M-Polynomials
2.2. Surfaces Representing M-Polynomials
2.3. Some Degree-Based Topological Indices
- 1.
- 2.
- 3.
- 4.
- 5.
- 6.
- SDD(G)=
- 2.
- :
- 3.
- :
- 4.
- :
- 5.
- :
- 6.
- :
- 1.
- 2.
- 3.
- 4.
- 5.
- 6.
- SDD(G)=
- :
- :
- :
- :
- :
- :
- 1.
- 2.
- 3.
- 4.
- 5.
- 6.
- :
- :
- :
- :
- :
- :
3. Conclusions
Acknowledgments
Author Contributions
Conflicts of Interest
References
- Chen, Z.; Dehmer, M.; Emmert-Streib, F.; Shi, Y. Entropy bounds for dendrimers. Appl. Math. Comput. 2014, 242, 462–472. [Google Scholar] [CrossRef]
- Gutman, I.; Furtula, B.; Vukicevic, Z.K.; Popivoda, G. On Zagreb Indices and Coindices. MATCH Commun. Math. Comput. Chem. 2015, 74, 5–16. [Google Scholar]
- Gutman, I.; Trinajstic, N. Graph theory and molecular orbitals total ϕ-electron energy of alternant hydrocarbons. Chem. Phys. Lett. 1972, 17, 535–538. [Google Scholar] [CrossRef]
- Ashrafi, A.R.; Mirzargar, M. PI, Szeged and edge Szeged indices of an infinite family of nanostar dendremers. Indian J. Chem. 2008, 47, 538–541. [Google Scholar]
- Diudea, M.V.; Vizitiu, A.E.; Mirzagar, M.; Ashrafi, A.R. Sadhhana polynomial in nano-dendrimers. Carpathian J. Math. 2010, 26, 59–66. [Google Scholar]
- Diudea, M.V.; Katona, G. Advances in Dendritic Macromolecules; JAI Press: Greenwich, CT, USA, 1999; pp. 135–201. [Google Scholar]
- Ashrafi, A.R.; Nikzad, P. Connectivity index of the family of dendrimer nanostar. Dig. J. Nanomater. Biostruct. 2009, 4, 269–273. [Google Scholar]
- Graovac, A.; Ghorbani, M.; Hosseinzadeh, M.A. Computing fifth geometric-arithmetic index for nanostar dendrimers. J. Math. Nanosci. 2011, 1, 33–42. [Google Scholar]
- Galina, H.; Syslo, M.M. Some applications of graph theory to the study of polymer configuration. Discret. Appl. Math. 1988, 19, 167–176. [Google Scholar] [CrossRef]
- Verma, S.; Bras, J.L.; Jain, S.L.; Muzart, J. Thiolyne click on nanostarch: An expedient approach for grafting of oxovanadium schiff base catalyst and its use in the oxidation of alcohols. Appl. Catal. A Gen. 2013, 468, 334–340. [Google Scholar] [CrossRef]
- Verma, V.; Bras, V.L.; Jain, S.L.; Muzart, L. Nanocrystalline starch grafted palladium(II) complex for the Mizoroki Heck reaction. Dalton Trans. 2013, 42, 14454–14459. [Google Scholar] [CrossRef] [PubMed]
- Verma, V.; Tripathi, D.; Gupta, P.; Singh, R.; Bahuguna, G.M.; Chauhan, R.K.; Saran, S.; Jain, S.L. Highly dispersed palladium nanoparticles grafted onto nanocrystalline starch for the oxidation of alcohols using molecular oxygen as an oxidant. Dalton Trans. 2013, 42, 11522–11527. [Google Scholar] [CrossRef] [PubMed]
- Ma, J.; Shi, Y.; Yue, J. The wiener polarity index of graph products. Ars Comb. 2014, 116, 235–244. [Google Scholar]
- Siddiqi, M.K.; Imran, M.; Ahmad, A. On Zagreb indices, zagreb polynomials of some nanostar dendrimers. Appl. Math. Comput. 2016, 280, 132–136. [Google Scholar] [CrossRef]
- West, D.B. An Introduction of Graph Theory; Prentice-Hall: Upper Saddle River, NJ, USA, 1996. [Google Scholar]
- Du, W.; Li, X.; Shi, Y. Algorithms and extremal problem on Wiener polarity index. MATCH Commun. Math. Comput. Chem. 2009, 62, 235–244. [Google Scholar]
- Ma, J.; Shi, Y.; Wang, Z.; Yue, J. On wiener polarity index of bicyclic networks. Sci. Rep. 2016, 6. [Google Scholar] [CrossRef] [PubMed]
- Wiener, H. Structural determination of paraffin boiling points. J. Am. Chem. Soc. 1947, 69, 17–20. [Google Scholar] [CrossRef] [PubMed]
- Dobrynin, A.A.; Entringer, R.; Gutman, I. Wiener index of trees: Theory and applications. Acta Appl. Math. 2011, 66, 211–249. [Google Scholar] [CrossRef]
- Gutman, I.; Polansky, O.E. Mathematical Concepts in Organic Chemistry; Springer-Verlag: New York, NY, USA, 1986. [Google Scholar]
- Xu, K.; Liu, M.; Das, K.C.; Gutman, I.; Furtula, B. A survey on graphs extremal with respect to distance-based topological indices. MATCH Commun. Math. Comput. Chem. 2014, 71, 461–508. [Google Scholar]
- Vasilyev, A. Upper and Lower bounds of symmetric division deg index. Iranian J. Math. Chem. 2014, 5, 19–98. [Google Scholar]
- Li, X.; Shi, Y. A Survey on the Randic Index. MATCH Commun. Math. Comput. Chem. 2008, 59, 127–156. [Google Scholar]
- Rucker, G.; Rucker, C. On topological indices, boiling points, and cycloalkanes. J. Chem. Inform. Comput. Sci. 1999, 39, 788–802. [Google Scholar] [CrossRef]
- Hao, J. Theorems about Zagreb indices and modified Zagreb indices. MATCH Commun. Math. Comput. Chem. 2011, 65, 659–670. [Google Scholar]
- Klavzar, S.; Deutsch, E. M-Polynomial and degree-based topological indices. Iranian J. Math. Chem. 2015, 6, 93–102. [Google Scholar]







| Topological Index | Derivation from | |
|---|---|---|
| First Zagreb | ||
| Second Zagreb | ||
| General Randić | ||
| General Randić | ||
| Symmetric Division Index |
© 2016 by the authors; licensee MDPI, Basel, Switzerland. This article is an open access article distributed under the terms and conditions of the Creative Commons Attribution (CC-BY) license (http://creativecommons.org/licenses/by/4.0/).
Share and Cite
Munir, M.; Nazeer, W.; Rafique, S.; Kang, S.M. M-Polynomial and Related Topological Indices of Nanostar Dendrimers. Symmetry 2016, 8, 97. https://doi.org/10.3390/sym8090097
Munir M, Nazeer W, Rafique S, Kang SM. M-Polynomial and Related Topological Indices of Nanostar Dendrimers. Symmetry. 2016; 8(9):97. https://doi.org/10.3390/sym8090097
Chicago/Turabian StyleMunir, Mobeen, Waqas Nazeer, Shazia Rafique, and Shin Min Kang. 2016. "M-Polynomial and Related Topological Indices of Nanostar Dendrimers" Symmetry 8, no. 9: 97. https://doi.org/10.3390/sym8090097
APA StyleMunir, M., Nazeer, W., Rafique, S., & Kang, S. M. (2016). M-Polynomial and Related Topological Indices of Nanostar Dendrimers. Symmetry, 8(9), 97. https://doi.org/10.3390/sym8090097

