Application of Active Attitude Setting via Auto Disturbance Rejection Control in Ground-Based Full-Physical Space Docking Tests
Abstract
1. Introduction
2. Establishment of Posture Kinematic Models
3. Dead Zone—Design of Hysteresis Relay Controllers and Phase Plane Characteristics Analysis
3.1. Controller Design
3.2. Phase Plane Method
3.3. Analysis of System Disturbance-Free
3.4. Analysis of System Disturbance Presence
4. Design and Analysis of a Dead-Time–Hysteresis Relay Controller Based on Self-Disturbance Suppression Control
4.1. Design of NTD
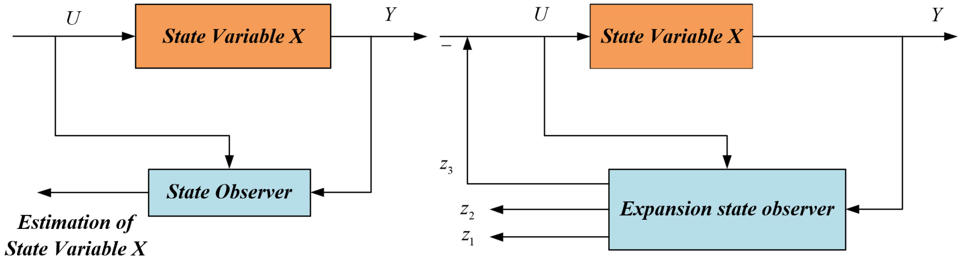
4.2. Design of Observers for Nonlinear Expanding States
4.3. Improved Controller Design and Stability Analysis
4.4. Convergence Analysis of Estimation Errors in Disturbance Models
5. Test Results
5.1. Parameter Selection Specifications and Sensitivity Analysis
- (1)
- Initial static parameters: The deadband threshold, designated as , has been determined to be 0.001, and the hysteresis coefficient, denoted as , has been established as 0.1. These parameters are deduced through phase plane analysis, a method that ensures the system’s convergence to the equilibrium region in the absence of external disturbances. The fast-tracking factor is optimised through NTD transition process planning, balancing response speed and overshoot suppression.
- (2)
- Dynamic adjustment law design: The dynamic adjustment of parameters and incorporates disturbance estimation sensitivity and error normalisation factor , forming Equation (55). In this configuration, guarantees that for each unit increase in , expands by 0.01°, thereby preventing high-frequency actuator switching. Furthermore, imposes limitations on the adaptive range of the lag coefficient, thereby enhancing steady-state accuracy.
- (3)
- NESO Gain Stability Constraints: It is imperative that the , , values satisfy the Routh-Hurwitz conditions to ensure that the observation error remains globally bounded.
- (4)
- Parameter tuning procedure: Initial values are established in accordance with theoretical constraints. Subsequently, a series of parameter sweep simulations are conducted under three typical operating conditions. The optimisation targets encompass a steady-state error of less than ±0.01°, a convergence time of less than 3 s, and the absence of overshoot. The final values align with the data obtained from the ground tests.
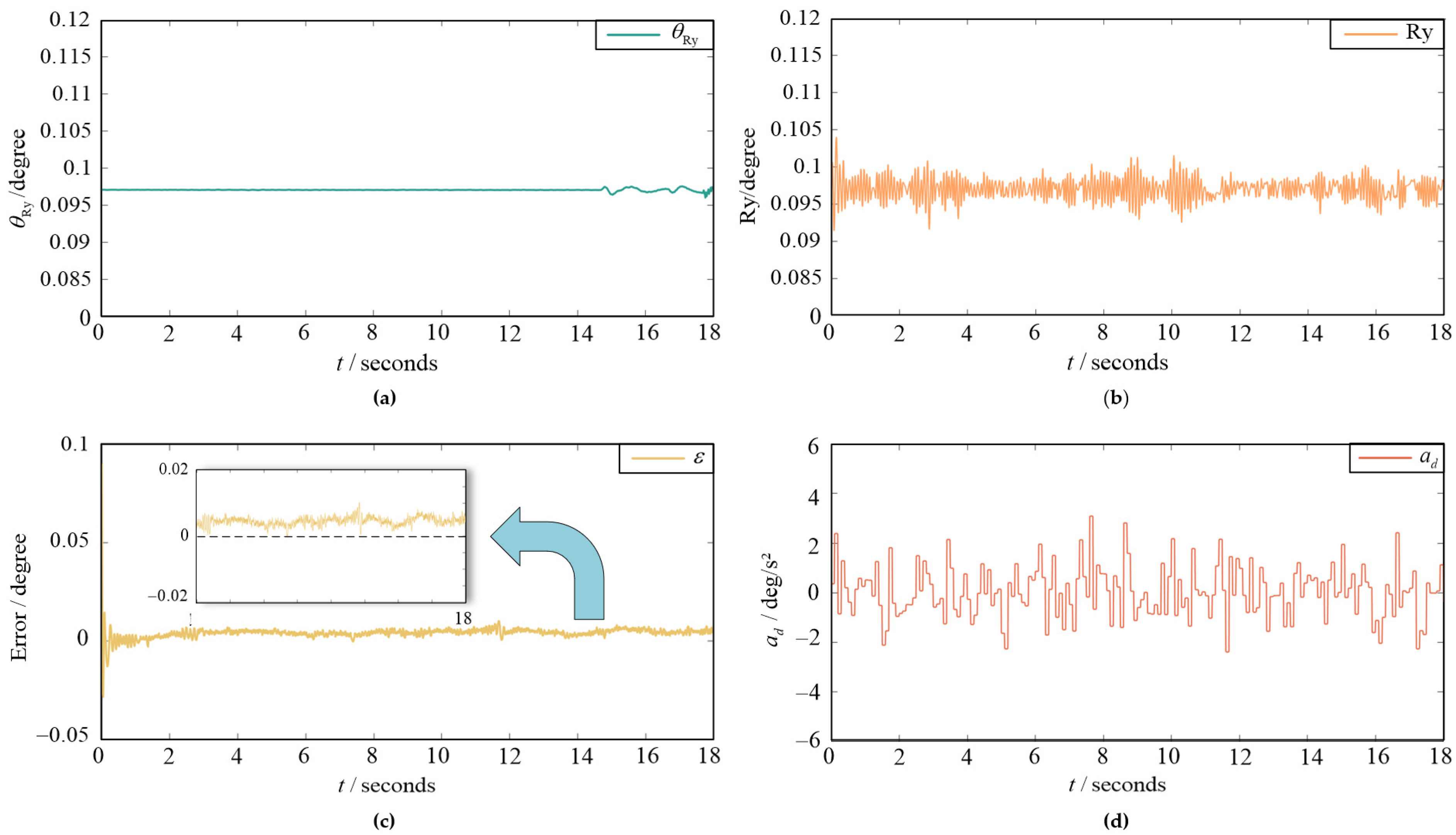
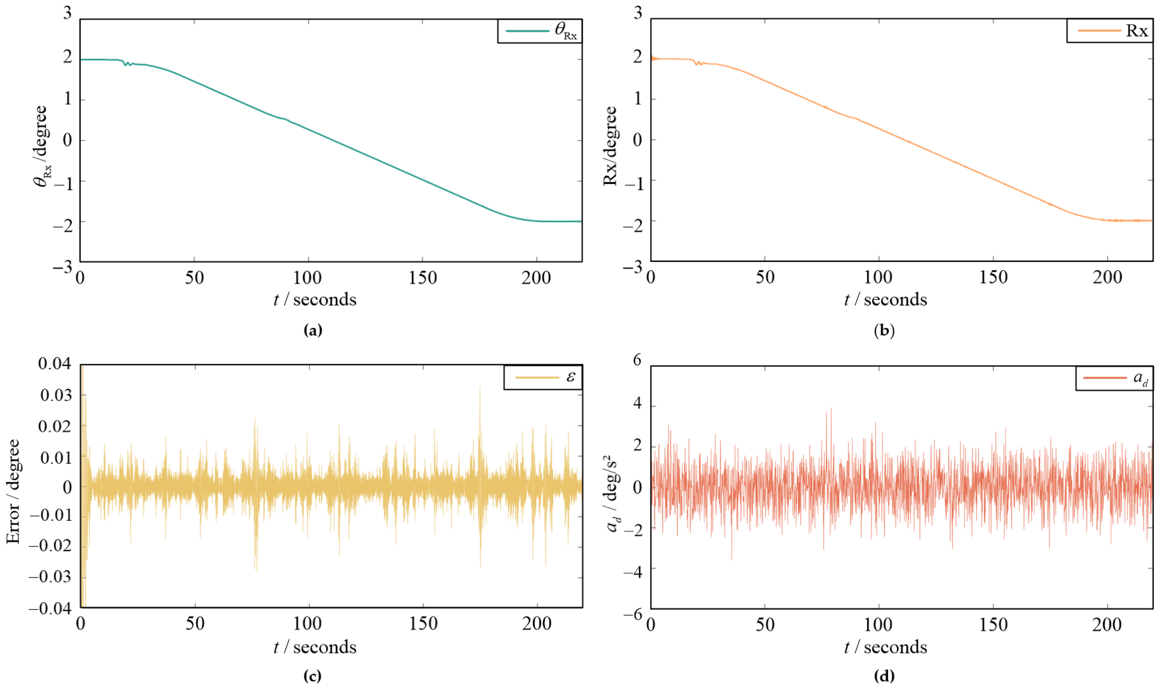
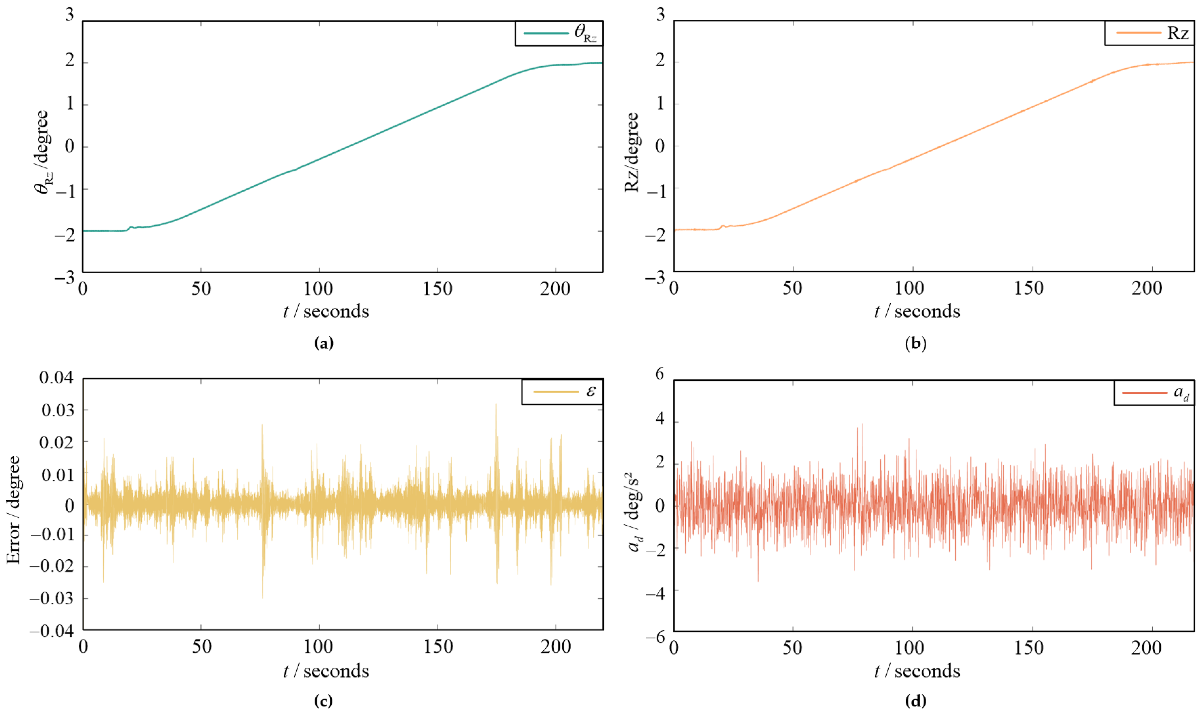
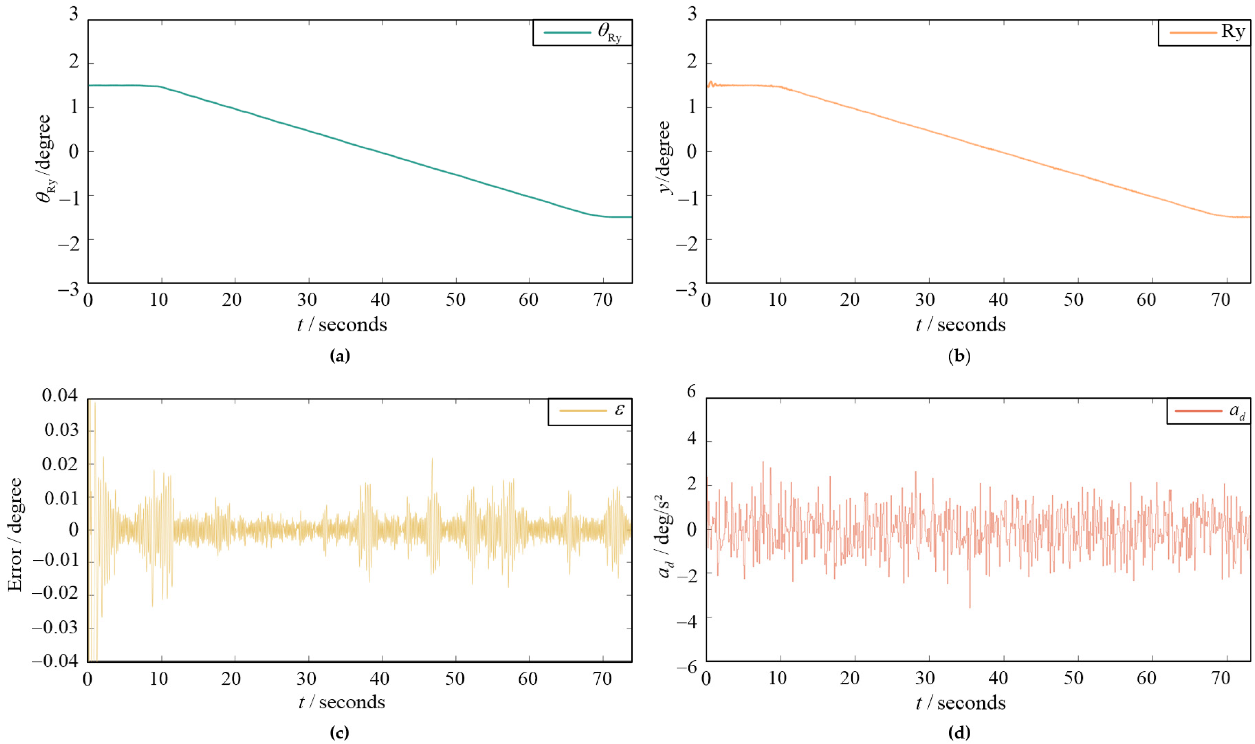
5.2. Standard Posture Configuration
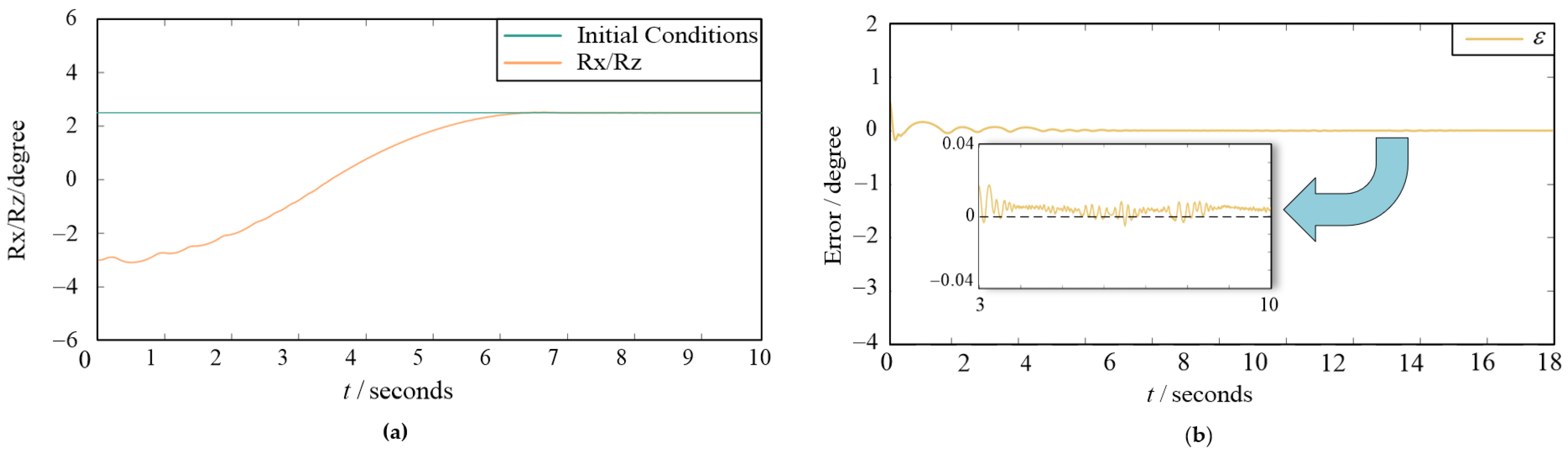
5.3. Stability of the Attitude of the Simulated Connector in Separation Tests
5.4. Establishment of Initial Conditions in Docking Experiments
6. Conclusions
Author Contributions
Funding
Data Availability Statement
Conflicts of Interest
Abbreviations
| ADRC | Auto disturbance rejection control |
| NESO | Nonlinear extended state observer |
| NTD | Nonlinear tracking differentiator |
| DDPG | Deep deterministic policy gradient |
| ESO | Extended state observer |
| DOF | Degree of freedom |
| HIL | Hardware-in-the-loop |
References
- Zhou, J.P. Rendezvous and Docking Technology of Manned Space Flight. Manned Spacefl. 2011, 17, 1–8. [Google Scholar] [CrossRef]
- Jin, F.W. Analysis and Experimental Research of Docking Mechanism Test-Bed System. Master’s Thesis, Harbin Institute of Technology, Harbin, China, 2006. [Google Scholar]
- Zhang, H.; Xiao, Y.Z.; Xu, B.H.; Tao, W.M. Analysis Study on Separation of Aerospace Vehicle and Ground Simulation Test. J. Astronaut. 2008, 29, 1761–1765. [Google Scholar]
- Su, L.; Shi, Y.; Zhang, Z.H.; Liu, Y.; Peng, H.K. The ground test method for spacecraft rendezvous and docking. Spacecr. Environ. Eng. 2014, 31, 277–282. [Google Scholar]
- Wang, Z.; Yu, Y.Y.; Jin, X.L.; Xu, Z.F.; Gao, Z.G.; Yang, N.; Liu, L.L. Data and Knowledge Fusion-driven Digital Twin Experiment for Space Docking Mechanisms. Aerosp. Shanghai (Chin. Engl.) 2025, 42, 144–156+176. [Google Scholar] [CrossRef]
- Peng, L.K.; Wang, C.Y.; Lv, B.J.; Chen, J.; Huang, B.; Pan, W. Review on key technologies of ship maneuvering simulator based on motion platform. Ship Sci. Technol. 2025, 47, 1–6. [Google Scholar]
- Zhao, S.Q.; Peng, F.Y.; Su, J.T.; Sun, H.; Yan, R.; Tang, X.W.; Zhang, T.; Li, Z.P. A self-adaptive agent for flexible posture planning in robotic milling system. J. Manuf. Syst. 2024, 75, 228–245. [Google Scholar] [CrossRef]
- Yan, K.; Ma, B.L. A unified controller of global trajectory tracking and posture regulation for a car-like mobile robot. Int. J. Robust Nonlinear Control 2024, 34, 8590–8604. [Google Scholar] [CrossRef]
- Khan, S.A.; Shiyou, Y.; Ali, A.; Rao, S.W.; Fahad, S.; Jing, W.; Tong, J.J.; Tahir, M. Active attitude control for microspacecraft; A survey and new embedded designs. Adv. Space Res. 2022, 69, 3741–3769. [Google Scholar] [CrossRef]
- Zuo, H.W.; Shen, Q.; Ouyang, S.R.; Razoumny, V.Y.; Razoumny, Y.N.; Wu, S.F. Adaptive fault-tolerant attitude control on SO(3) under multiple attitude constraints and finite sequential actuator faults. Acta Astronaut. 2025, 228, 370–383. [Google Scholar] [CrossRef]
- Zhang, S.X.; Liu, Y.H.; Hu, X.R.; Zheng, L.M.; Zheng, S.Y. Fully Informed Fuzzy Logic System Assisted Adaptive Differential Evolution Algorithm for Noisy Optimization. IEEE Trans. Fuzzy Syst. 2025, 33, 1876–1888. [Google Scholar] [CrossRef]
- Reza, M.K.; Prater-Bennette, A.; Asif, M.S. Robust Multimodal Learning With Missing Modalities via Parameter-Efficient Adaptation. IEEE Trans. Pattern Anal. Mach. Intell. 2025, 47, 742–754. [Google Scholar] [CrossRef] [PubMed]
- Faraji, B.; Gheisarnejad, M.; Yalsavar, M.; Khooban, M.H. An Adaptive ADRC Control for Parkinsons Patients Using Machine Learning. IEEE Sens. J. 2021, 21, 8670–8678. [Google Scholar] [CrossRef]
- Peng, L.H.; Xiong, X.Y.; Wang, L.J. Research on yarn tension control technology for knitting underwear machine based on adaptive ADRC. Sci. Rep. 2025, 15, 9750. [Google Scholar] [CrossRef] [PubMed]
- Han, J.Q. Auto Disturbances Rejection Control Technique. Front. Sci. 2007, 1, 24–31. [Google Scholar]
- Gao, Z.Q. Scaling and bandwidth-parameterization based controller tuning. In Proceedings of the Annual American Control Conference (ACC 2003), Denver, CO, USA, 4 June 2003; pp. 4989–4996. [Google Scholar]
- Stankovic, M.; Ting, H.; Madonski, R. From PID to ADRC and back: Expressing error-based active disturbance rejection control schemes as standard industrial 1DOF and 2DOF controllers. Asian J. Control 2024, 26, 2796–2806. [Google Scholar] [CrossRef]
- Li, Z.G.; Liang, S.; Guo, M.M.; Zhang, H.; Wang, H.; Li, Z.B.; Li, H.Y. ADRC-Based Underwater Navigation Control and Parameter Tuning of an Amphibious Multirotor Vehicle. IEEE J. Ocean. Eng. 2024, 49, 775–792. [Google Scholar] [CrossRef]
- Zhang, P.; Shi, Z.Y.; Yu, B.; Qi, H.J. Research on a Sensorless ADRC Vector Control Method for a Permanent Magnet Synchronous Motor Based on the Luenberger Observer. Processes 2024, 12, 906. [Google Scholar] [CrossRef]
- Li, J.; Lu, Y.; He, J.R.; Xie, P.Y.; Li, Y.W. Overshoot Suppression of Hydraulic Actuation Based on the Integrating Flow Compensation: Applied to Lift Tracking Control of an Engine Variable Valve Actuator. IEEE Trans. Autom. Sci. Eng. 2025, 22, 21686–21700. [Google Scholar] [CrossRef]
- Zhang, R.X.; Yang, R.; Jia, F.H.; Chang, F.; Zhao, W.; Yao, Y.T.; Lin, G.C.; Zhang, X.L.; Yuan, W.J.; Liu, L.W. Working range extension and overshoot suppression strategies for flexible strain sensors based on a “Kirigami-Sensor-Kirigami” serial system with high conformability. Sens. Actuators A Phys. 2025, 391, 116570. [Google Scholar] [CrossRef]
- Liu, C.Y.; Xiong, W.L. Multi-objective Optimization Control of Wastewater Treatment Process Based on Overshoot Suppression Strategy. Inf. Control 2024, 53, 250–260+272. [Google Scholar] [CrossRef]
- Liu, Y.Z.; Chen, L.Q. Nonlinear Vibration; Higher Education Press: Beijing, China, 2001. [Google Scholar]


















| Core Methodology | Key Experimental Data | ||||
|---|---|---|---|---|---|
| Establish an equivalence relationship between PID and ADRC, representing the error-based ADRC scheme as a standard 1DOF/2DOF controller. | Performance indicators | PI/PID | ADRC | ||
| Disturbance suppression level (dB) | −40 (1 rad/s, second-order system) | 60 (1 rad/s, second-order system) | |||
| Disturbance recovery time (s) | 2.5 (First-order system) | 1.8 (First-order system) | |||
| An anti-interference control (ADRC) approach was employed to construct a series-connected motion controller, with particle swarm optimisation (PSO) introduced for rapid parameter tuning. | Performance indicators | PID | SMC | ADRC | |
| Trajectory deviation (m) | 0.12 | 0.15 | 0.08 | ||
| Recovery time (s) | 2 | 3 | 1 | ||
| Attitude angle fluctuation range (°) | [−1.5°, 1.5°] | [−3°, 3°] | [−1.6°, 1.6°] | ||
| Recovery time (s) | 2 | 3 | 1 | ||
| Design of a Sensorless ADRC Vector Control Method Based on the Luenberger Observer for Permanent Magnet Synchronous Motors. | Performance indicators | PI | ADRC | ||
| Comparison of Speed Errors Under Load Disturbance | −15~7.5 r/min | −18~−3 r/min | |||
| Torque Fluctuation Comparison | 3.5~5.5 Nm | 4~4.5 Nm | |||
| Speed steady-state fluctuation | 850~880 r/min | 880~915 r/min | |||
| System Parameters | Data | System Parameters | Data |
|---|---|---|---|
| 0.1 | −20 | ||
| 0.01 | −300 | ||
| 0.001 | −20 | ||
| 0.01 | 5 | ||
| 5 |
| System Parameters | Data | System Parameters | Data |
|---|---|---|---|
| 0.1 | −60 | ||
| 0.01 | −1000 | ||
| 0.001 | −60 | ||
| 0.01 | 14 | ||
| 1 |
| System Parameters | Data | System Parameters | Data |
|---|---|---|---|
| 0.1 | −40 | ||
| 0.01 | −1000 | ||
| 0.001 | −40 | ||
| 0.01 | 10 | ||
| 0.5 |
Disclaimer/Publisher’s Note: The statements, opinions and data contained in all publications are solely those of the individual author(s) and contributor(s) and not of MDPI and/or the editor(s). MDPI and/or the editor(s) disclaim responsibility for any injury to people or property resulting from any ideas, methods, instructions or products referred to in the content. |
© 2026 by the authors. Licensee MDPI, Basel, Switzerland. This article is an open access article distributed under the terms and conditions of the Creative Commons Attribution (CC BY) license.
Share and Cite
Zhang, X.; Tian, Y.; Jiang, Z.; Xu, Z.; Liu, M.; Bai, X. Application of Active Attitude Setting via Auto Disturbance Rejection Control in Ground-Based Full-Physical Space Docking Tests. Symmetry 2026, 18, 174. https://doi.org/10.3390/sym18010174
Zhang X, Tian Y, Jiang Z, Xu Z, Liu M, Bai X. Application of Active Attitude Setting via Auto Disturbance Rejection Control in Ground-Based Full-Physical Space Docking Tests. Symmetry. 2026; 18(1):174. https://doi.org/10.3390/sym18010174
Chicago/Turabian StyleZhang, Xiao, Yonglin Tian, Zainan Jiang, Zhigang Xu, Mingyang Liu, and Xinlin Bai. 2026. "Application of Active Attitude Setting via Auto Disturbance Rejection Control in Ground-Based Full-Physical Space Docking Tests" Symmetry 18, no. 1: 174. https://doi.org/10.3390/sym18010174
APA StyleZhang, X., Tian, Y., Jiang, Z., Xu, Z., Liu, M., & Bai, X. (2026). Application of Active Attitude Setting via Auto Disturbance Rejection Control in Ground-Based Full-Physical Space Docking Tests. Symmetry, 18(1), 174. https://doi.org/10.3390/sym18010174

