Next Article in Journal
A Multiplicative Burr III Distribution for Modeling Lifetime Data and Failure Behaviors
Previous Article in Journal
Research on Fouling Shellfish on Marine Aquaculture Cages Detection Technology Based on an Improved Symmetric Faster R-CNN Detection Algorithm
Previous Article in Special Issue
The Hamiltonian Form of the KdV Equation: Multiperiodic Solutions and Applications to Quantum Mechanics
 
 
Font Type:
Arial Georgia Verdana
Font Size:
Aa Aa Aa
Line Spacing:
Column Width:
Background:
Article

Numerical Simulation of Internal-Wave-Type Systems Under the Fuzzy Caputo Fractional Derivative

1
Department of Mathematics, Nevşehir Hacı Bektaş Veli University, Nevşehir 50300, Türkiye
2
Department of Mathematics and Statistics, College of Science, Imam Mohammad Ibn Saud Islamic University (IMSIU), Riyadh 13317-4233, Saudi Arabia
*
Author to whom correspondence should be addressed.
Symmetry 2025, 17(12), 2108; https://doi.org/10.3390/sym17122108
Submission received: 28 October 2025 / Revised: 1 December 2025 / Accepted: 4 December 2025 / Published: 8 December 2025
(This article belongs to the Special Issue Symmetry and Its Applications in Partial Differential Equations)

Abstract

This research examines the approximate solutions to the system of atmospheric internal-wave (AIW) fuzzy fractional partial differential equations with the gH-Caputo derivative. Atmospheric internal waves are a type of wave that occurs within the Earth’s atmosphere, typically in the lower atmosphere or boundary layer. Vertical displacements of air parcels cause them to occur due to various factors such as wind shear, buoyancy, and topographic effects. These waves can propagate horizontally and vertically and play an important role in atmospheric dynamics, including energy transport, momentum, and pollutants. Using the residual power series method (RPSM), we obtained new effective numerical solutions to the AIW equation system with gH-Caputo derivatives and fuzzy initial conditions. The RPSM solutions are compared with other numerical methods to examine the suggested method’s accuracy and efficiency. Illustrative examples and a comparative analysis of our approach with present methods are given.

1. Introduction

The study of differential equations arising from the majority of problems in the fields of science and engineering falls into the field of partial differential equations (PDEs). The concept of fractional derivative and integral, accepted as a generalization of integer derivative and integral operations studied by Leibniz and Newton, is as old as that of integer derivative and integral. Fractional differential equations (FDEs) are a generalization of differential equations obtained by applying fractional analysis, and what is meant by fractional derivative is any derivative of order. In general, PDEs have been used in many fields such as engineering, natural sciences, mathematical modeling of economics problems, viscoelastic materials, quantum mechanics, signal processing, control, meteorology, finance, and life sciences, and to better understand physical phenomena, the solutions to these equations must be either complete; otherwise, it is essential to obtain approximate solutions in place of complete solutions. Recent advances in nonlinear and fractional dynamical modeling span stable numerical schemes for PDEs [1], iterative frameworks for nonlinear differential systems [2], detailed analyses of near-inertial atmospheric wave energetics [3], and broader climate-related atmospheric interactions [4].
There are many approaches in the literature for fractional derivatives. Some of these are Grünwald–Letnikov, Riemann–Liouville, and Caputo derivatives. It has been observed that the Riemann–Liouville and the Grünwald–Letnikov fractional order derivative definitions are equal under certain conditions. The Caputo derivative approach, suitable for expressing FDEs with initial and limit values containing integer-order derivatives, was introduced to the literature by M. Caputo in 1967. Subsequently, scientists developed a keen interest in modeling fractional problems and establishing approximate solutions for the generated problems. Several techniques are commonly used in the literature to provide approximations for solutions to FDEs. These include the fuzzy traveling wave method [5], the Adomian decomposition method [6], the homotopy analysis method [7], the Sumudu transform method [8], the reproducing kernel Hilbert space method [9], the residual power series method [10], the successive approximations method [11], etc.
As we know, philosophical interpretations such as senses and language have a fuzzy and subjective structure. Since the classical sets arbitrarily separate the physical world into two (i.e., 1 and 0 values in Boolean algebra), they fall short of depicting the hesitant parts of this kind of data. Therefore, the requirement for interpreting the physical world outside these sharp limitations had emerged to represent these fuzzy structures [12]. Fuzzy logic is used in two senses. In the narrow sense, fuzzy logic is a generalization of classical two-valued Aristotelian logic. In a broad sense, it refers to all theories and technologies that use fuzzy sets.
Nowadays, fuzzy logic is used to interpret sensations and language structures in daily life and dynamical systems by employing these reconstituted (fuzzified) data into some distinct methods and models. Fuzzy logic applications in technology have opened new horizons in basic, social, and human sciences, which is why it is increasingly important today. For more details, see some related papers [13,14,15]. Kaleva [16] presented a pioneer work in the field of FDEs by combining the fuzzy concept and differential equations.
In many applications of geophysical fluid dynamics, partial differential equations (PDEs) serve as a fundamental mathematical framework for describing the evolution of wave motion, transport mechanisms, and stratified atmospheric phenomena. In recent decades, fractional calculus has been widely adopted to generalize classical PDE models by incorporating memory and hereditary effects that naturally arise in atmospheric and oceanic dynamics. At the same time, several physical parameters involved in these models are not always known with precision due to measurement limitations and inherent variability, making fuzzy logic a suitable framework for representing such uncertainty. Combining fuzzy sets with fractional differential equations leads to a flexible modeling environment in which both memory effects and parameter imprecision can be systematically represented. Motivated by these considerations, this work investigates a fuzzy fractional formulation of the atmospheric internal-wave system and develops approximate solutions using the residual power series method (RPSM).
Internal waves, called gravitational waves, occur in geophysical fluids rather than their surfaces. The fluid must be stratified for this phenomenon to take place, and each layer’s density and temperature must be the same, fluctuating only with layer height. A wave behaves like a surface wave and propagates horizontally if the intensity varies at a slight vertical height. When there is a uniform layer of air above a significant obstruction, such as a rock, AIWs happen. These waves, which are increasingly used in atmospheric models, have been discovered to significantly impact the atmosphere’s temperature, chemistry, and turbulence. The goal of climate forecasting, a component of agricultural planning and numerical weather forecasting, is to provide broad climate forecasts across lengthy time frames, ranging from weeks to years, to reduce the effects of drought, hurricanes, and air quality forecasting. Systems of PDEs based on physical laws, fluid motion, thermodynamics, and chemistry are used to create climate models, which are often mixes of atmospheric and ocean models. The motion of fluids, which are PDE systems based on a combination of thermodynamic and chemical rules, is typically modeled after those of the atmosphere and ocean. Since the atmosphere is both a gas and a liquid, understanding its characteristics is crucial for more accurate climate forecasting. We must develop more precise simulations to help weather forecasters to understand how these waves operate. The internal-wave phenomenon of the atmosphere is also modeled using shallow water equations. The fluid fluxes in the oceans, along coastlines, and in the atmosphere are described by nonlinear PDE systems called shallow water equations. Lately, Varsoliwala et al. [17] applied the Adomian decomposition method to the AIWs, and Sartanpara et al. [18] proposed an internal-wave model for the atmosphere using the q-Homotopy analysis Shehu transform method. The AIW model adopted from these systems
u t + u u x F v + G w x = 0 , v t + u v x F u + G H = 0 , w t + u w x H v + w u x = 0 ,
where G = 9.8 m s 2 is the gravitational constant, F = 2 ζ sin ( π / 3 ) with ζ = 7.29 × 10 5 rad s 1 , and H denotes the background pressure–gradient constant.
In this model, time is symbolized by t, while space is represented by x. u = u ( x , t ) and v = v ( x , t ) are cartesian velocities that depend on x and t. w is the depth of the fluid. The study of atmospheric internal wave equations is an active area of research in atmospheric science, meteorology, and fluid dynamics. Researchers use mathematical modeling, numerical simulations, and observational data to understand atmospheric internal waves’ behavior, properties, and impacts on weather and climate.
To complete the formulation of the problem, we specify the fuzzy initial and spatial boundary conditions. For each λ ( 0 , 1 ] , the λ -cut representation of the fuzzy initial data is given by
[ u ( x , 0 ) ] λ = [ u λ ( x ) , u λ + ( x ) ] , [ v ( x , 0 ) ] λ = [ v λ ( x ) , v λ + ( x ) ] , [ w ( x , 0 ) ] λ = [ w λ ( x ) , w λ + ( x ) ] .
Here, u λ ( x ) and u λ + ( x ) (similarly for v , w ) denote the left and right bound functions of the fuzzy initial data. In alignment with internal-wave modeling in a horizontally unbounded or sufficiently large stratified domain, we impose homogeneous spatial boundary conditions as follows:
lim x ± u ( x , t ) = 0 , lim x ± v ( x , t ) = 0 , lim x ± w ( x , t ) = 0 .
(Equivalently, these may be enforced on a sufficiently large finite spatial interval in numerical simulations.) These conditions ensure that wave disturbances decay away from the region of interest and yield a well-posed fuzzy fractional initial-boundary value problem.
This system may be viewed as belonging to the broader class of internal-wave-type equations. Mathematically, such models are nonlinear PDE systems with coupled advection and stratification terms. The atmospheric internal-wave equations arise as a particular case, obtained under specific physical parameter choices, but the structural form remains representative of this wider family.
In this study, we have utilized the fuzzy gH-Caputo derivative [19] because the fuzzy gH-Caputo derivative can effectively model systems with uncertain or imprecise parameters. Moreover, complex systems often exhibit nonlinear and non-smooth behavior, which can be challenging to capture accurately using classical differentiation methods. The gH-Caputo derivative, combining fuzzy logic with fractional calculus, offers a powerful tool for modeling and analyzing such systems.
Using fuzzy variables in mathematical analysis gives us more flexibility to produce more accurate results of natural phenomena. We know that FDEs are a fundamental part of fractional analysis applications. FDEs and fuzzy variables help to bring us closer to approximate solutions. This study uses the RPSM to obtain a better optimal approximation solution for fuzzy fractional partial differential equations (FFPDEs). The fuzzy initial conditions employ a parameter transformation, which scales the triangular fuzzy number in the λ -cut interval sense integrated into the RPSM of the provided problems, to show the sturdiness of the RPSM. Here are some recent studies on fractional partial differential equations ()FPDEs): Tong et al. [20] solved a fuzzy delay differential equation, which is represented in fractional form, with the RPSM. Oqielat et al. [21] solved a fuzzy fractional population model using the Laplace residual power series method (LRPSM). Arqub et al. [22], for the purpose of resolving second-order, two-point fuzzy boundary value problems, used the reproducing kernel algorithm. Again, Arqub et al. [23] numerically solved the fuzzy differential equations using the same approach. Alderremy et al. [24] obtained solutions to FPDEs by using the residual power series method (RPSM). In this article, we employed a fuzzy gH-Caputo derivative and the RPSM to solve the FFPDE system of (12). Different approaches can be used to solve such models; for some recent literature, see [19,25].
Motivated by the above-mentioned works, we employed the RPSM under the Caputo derivative to find approximate solutions to fuzzy atmospheric internal-wave FPDEs. RPSM provides a systematic approach for obtaining approximate solutions with high accuracy. Utilizing the power series expansion effectively handles the nonlocal property of fractional derivatives, leading to precise approximations even with a limited number of terms. The method is relatively straightforward to implement. It does not require the discretization of the domain, unlike finite difference or finite element methods. This simplicity makes it flexible and adaptable to various types of FPDEs without significant modifications. Unlike purely numerical methods, RPSM offers semi-analytical solutions. This can provide deeper insights into the behavior of the solution, such as its convergence properties and the impacts of different parameters on the solution.
The system of atmospheric internal-wave equations considered in this study exhibits a particular structural symmetry; namely, each component variable u, v, and w is coupled with each other through similarly organized nonlinear advection and coupling terms. Such mathematical symmetry ensures balanced momentum transfer and the propagation of coherent waves. If the model is embedded in the fractional–fuzzy environment, the intrinsic symmetry is partially destroyed by the introduction of the fuzzy λ -cut intervals and the fractional derivative order α , which causes asymmetric behavior in the domains of temporal memory and uncertainty. Therefore, the present analysis not only maintains the original dynamical symmetry of the classical AIW system but also provides quantification of how the fractional order and fuzziness generate controlled asymmetry, yielding deeper insights into the equilibrium and deviation patterns within internal-wave phenomena.
The present study differs from existing fractional fuzzy internal-wave simulations in several important aspects. First, the model is formulated under the fuzzy Caputo derivative, which allows the simultaneous incorporation of memory effects and uncertainty, something that cannot be achieved under the classical Hukuhara or generalized differentiability settings. Second, the use of the modified RPSM leads to a simple and transparent recursive structure for the approximate solutions, without relying on discretization, mesh selection, or iterative solvers. Finally, the treatment of the triangular fuzzy initial data through their λ -cuts provides a direct and consistent way to track the evolution of uncertainty throughout the wave field. These features together offer a more flexible and effective framework compared to the existing numerical and analytical techniques available for fuzzy fractional internal-wave models.
Atmospheric internal-wave fields are typically reconstructed from observational data that are incomplete, imprecise, or affected by measurement noise. Variations in stratification, unresolved turbulence, remote-sensing limitations, and coarse temporal sampling introduce uncertainty that cannot always be described by classical probabilistic assumptions. In such situations, fuzzy modeling provides a natural and flexible framework because it allows uncertain initial profiles and forcing terms to be represented through membership functions rather than prescribed probability distributions. This approach captures imprecision directly in the dynamical model and enables us to track how the uncertainty propagates through the fractional internal-wave system. For these reasons, incorporating fuzzy uncertainty is not only appropriate but also necessary for a realistic description of atmospheric internal waves.
This study is organized as follows; Section 2 presents the preliminaries on fuzzy numbers and fuzzy fractional partial differential equations. The residual power series method (RPSM) is described in Section 3. In Section 4, the fuzzy fractional atmospheric internal-wave model is formulated and approximate solutions are constructed. Section 5 provides a convergence and residual error analysis for different λ -cuts. Section 6 presents numerical and graphical simulations, including comparisons with existing methods. Finally, Section 7 summarizes the main findings and offers concluding remarks.

2. Preliminaries on Fuzzy Numbers

2.1. Fuzzy Sets and Their Differentiation Using Hukuhara’s Method

In this section, we review fundamental definitions related to fuzzy numbers.
Let W : R [ 0 , 1 ] be a fuzzy set, where W ( q ) denotes the membership degree of q R . A fuzzy real number W ( q ) [ 0 , 1 ] is a function that is upper semi-continuous, convex (i.e., its λ -cuts are compact) and normal. For λ ( 0 , 1 ] , the λ -cut of a fuzzy number W is defined by
[ W ] λ = { q R : W ( q ) λ } .
Additionally, the set
[ W ] 0 = { q R : W ( q ) > 0 } ¯
is called the support of W and is denoted by supp W . A fuzzy sequence is represented by ( w k ) , where k N and each w k is real-valued.
The absolute value of a fuzzy real number W ( q ) is defined as [26,27]:
| W ( q ) | = max { W ( q ) , W ( q ) } , q 0 , 0 , q < 0 .
Let U denote the set of all bounded, closed intervals of the form X = [ X , X + ] . For X , Y U , we write X Y if and only if X Y and X + Y + . We define the metric d ˜ : U × U R as
d ˜ ( X , Y ) = max { | X Y | , | X + Y + | } .
Then, ( U , d ˜ ) forms a complete metric space.
Let R ( I ) denote the set of all bounded, closed intervals in R . For X , Y R ( I ) , define
d ( X , Y ) = sup 0 λ 1 d ˜ ( X λ , Y λ ) ,
where ( R ( I ) , d ) is also a complete metric space [28]. Here, R ( I ) represents the class of all fuzzy real numbers.
Definition 1
([29]). A function W : R [ 0 , 1 ] is called a fuzzy number if it satisfies the following conditions:
1. 
There exists q 0 R such that W ( q 0 ) = 1 .
2. 
For all q , z R and λ ( 0 , 1 ) ,
W ( λ q + ( 1 λ ) z ) min { W ( q ) , W ( z ) } .
3. 
W is upper semi-continuous.
4. 
The set
[ W ] 0 = { q R : W ( q ) > 0 } ¯
is compact.
Lemma 1
([30]). Let W be a fuzzy mapping with λ-cut [ W ] λ = [ W λ , W λ + ] for each λ ( 0 , 1 ] . Then, W λ and W λ + are fuzzy mappings if the following criteria hold:
1. 
W λ is non-decreasing and left-continuous;
2. 
W λ + is non-increasing and right-continuous;
3. 
W λ W λ + .
Definition 2
([31]). Let E be the space of fuzzy numbers. Let D : E × E R denote the Hausdorff distance between fuzzy numbers, defined as
D ( P , Q ) = sup ξ [ 0 , 1 ] max P ( ξ ) Q ( ξ ) , P + ( ξ ) Q + ( ξ ) .
The following properties are satisfied by the metric D in the fuzzy space E if ( D , E ) is a complete metric space:
(1)
D ( A C , B C ) = D ( A , B ) , A , B , C E ,
(2)
D ( l A , l B ) = | l | D ( A , B ) , l R , A , B E ,
(3)
D ( A B , C D ) D ( A , C ) + D ( B , D ) , A , B , C , D E .
Definition 3
([28]). Let f : T E be a fuzzy function; then, the λ -cut set of f is represented by
f ( t , λ ) = f ( t , λ ) , f + ( t , λ ) , λ ( 0 , 1 ] .
Definition 4
([32]). For A , B E , the g H -difference (where g H denotes generalized Hukuhara) between A and B fuzzy numbers is denoted as A g H B , and for C E , the difference is defined by
A g H B = C ( i ) A = B + C , ( i i ) B = A + ( 1 ) C .
Definition 5
([32]). Let J = [ 0 , q 0 ] × [ 0 , p 0 ] R + 2 and f : J E be a fuzzy mapping. Then, the first-order g H -partial derivatives at ( q 0 , p 0 ) are as follows:
f q ( q 0 , p 0 ) = lim h 0 f ( q 0 + h , p 0 ) g H f ( q 0 , p 0 ) h , f p ( q 0 , p 0 ) = lim k 0 f ( q 0 , p 0 + k ) g H f ( q 0 , p 0 ) k ,
where f q ( q 0 , p 0 ) , f p ( q 0 , p 0 ) are in E and the g H -differences f ( q 0 + h , p 0 ) g H f ( q 0 , p 0 ) ,   f ( q 0 , p 0 + k ) g H f ( q 0 , p 0 ) exist.
Definition 6
([32]). For ( q 0 , p 0 ) J , let f : J E be a fuzzy mapping. f is partial g H -differentiable with respect to q (i.e., f q ( q 0 , p 0 ) exists), and then
f q ( q 0 , p 0 ) λ = f λ q ( q 0 , p 0 ) , f λ + q ( q 0 , p 0 ) , if f is f o r m ( 1 ) g H - differentiable with respect to q , f q ( q 0 , p 0 ) λ = f λ + q ( q 0 , p 0 ) , f λ q ( q 0 , p 0 ) , if f is f o r m ( 2 ) g H - differentiable with respect to q ,
for all λ ( 0 , 1 ] . Similarly, f o r m ( 1 ) and f o r m ( 2 ) g H derivatives of f with respect to p at ( q 0 , p 0 ) J are
f p ( q 0 , p 0 ) λ = f λ p ( q 0 , p 0 ) , f λ + p ( q 0 , p 0 ) , if f is f o r m ( 1 ) g H - differentiable with respect to p , f p ( q 0 , p 0 ) λ = f λ + p ( q 0 , p 0 ) , f λ p ( q 0 , p 0 ) , if f is f o r m ( 2 ) g H - differentiable with respect to p .

2.2. Basic Definitions of FPDEs

Definition 7
([33]). Let r = ( α , β ) ( 0 , 1 ) × ( 0 , 1 ) and u L 1 ( J , R ) . The following formula defines the left-sided mixed Riemann–Liouville integral of order r of u:
I 0 r u ( x , y ) = 1 Γ ( α ) Γ ( β ) 0 x 0 y ( x s ) α 1 ( y t ) β 1 u ( s , t ) d t d s .
In the following, J R + 2 denotes a compact domain with coordinates ( ξ , τ ) , which are used in the abstract formulation of the fuzzy fractional operators to avoid confusion with the physical variables ( x , t ) of the internal-wave model. The mapping u : J E represents a fuzzy-valued function, where E denotes the space of fuzzy numbers. For any λ ( 0 , 1 ] , the λ -cut of u is defined as
[ u ] λ = [ u λ , u λ + ] ,
where u λ ( ξ , τ ) and u λ + ( ξ , τ ) are the left and right bound functions associated with the fuzzy number u ( ξ , τ ) at level λ. The notation  2 u ξ τ g H denotes the generalized Hukuhara (gH) second-order partial derivative, which may appear under two differentiability types: in Case (1), the classical Hukuhara difference is used; in Case (2), the reverse Hukuhara difference is applied.
Definition 8
([33] Fuzzy gH-Caputo fractional derivative). Let J = [ 0 , ξ 0 ] × [ 0 , τ 0 ] R + 2 be a compact domain with coordinates ( ξ , τ ) , and let u : J E be a fuzzy-valued function, where E denotes the space of fuzzy numbers. For a fractional order r = ( α , β ) ( 0 , 1 ] × ( 0 , 1 ] , the fuzzy gH-Caputo fractional derivative of u is defined by
D r u ( ξ , τ ) g H = 1 Γ ( 1 α ) Γ ( 1 β ) 0 ξ 0 τ ( ξ s ) α ( τ t ) β   gH 2 u ( s , t ) s t d t d s ,
where 2 u ξ τ g H denotes the second-order generalized Hukuhara partial derivative defined according to the two differentiability types described above.

3. Analysis of the RPSM

The residual power series method (RPSM) is a semi-analytical technique designed to construct fractional power series solutions for differential equations involving nonlocal operators. In the context of fuzzy fractional PDEs, the method is particularly suitable because it preserves both the memory effects inherent in the Caputo derivative and the uncertainty structure modeled by fuzzy initial data. To adapt the RPSM to the atmospheric internal-wave system defined in (1), we approximate each component function u ( x , t ) , v ( x , t ) , and w ( x , t ) by a truncated fractional power series of the form
u k ( x , t ) = n = 0 k f n ( x ) Γ ( 1 + n α ) t n α , v k ( x , t ) = n = 0 k g n ( x ) Γ ( 1 + n α ) t n α , w k ( x , t ) = n = 0 k h n ( x ) Γ ( 1 + n α ) t n α ,
where f n ( x ) , g n ( x ) , and h n ( x ) denote the unknown coefficient functions to be determined. Substituting these expansions into the residual expressions derived from the system and imposing the conditions
lim t 0 D t ( n 1 ) α Res ( u k ) = 0 , lim t 0 D t ( n 1 ) α Res ( v k ) = 0 , lim t 0 D t ( n 1 ) α Res ( w k ) = 0 ,
yields a recursive structure for the coefficient triplets ( f n , g n , h n ) , which enables constructing higher-order approximate solutions systematically.
To demonstrate the RPSM algorithm principle [34,35], consider the following nonlinear FDE:
h ( x , t ) = D t n α u ( x , t ) + S [ x ] u ( x , t ) + M [ x ] u ( x , t ) ,
where D t n α u ( x , t ) denotes the Caputo fractional derivative of order n α with respect to time t, applied to the function u ( x , t ) for n N , and α ( 0 , 1 ) represents a fractional order. The initial condition is defined as
u ( x , 0 ) = f 0 ( x ) = f ( x ) .
When given a starting condition, S [ x ] is a linear operator and M [ x ] is a nonlinear operator. The RPS technique entails finding the solution Equation (6) as an expansion of a fractional series at t = 0 :
f n 1 ( x ) = g ( x ) = D t ( n 1 ) α u ( x , 0 ) .
A series expansion can be used to represent the solution as follows:
u ( x , t ) = n = 0 f n ( x ) t n α Γ ( 1 + α n ) .
More details about this series expansion can be found in [9]. The k t h truncated series of u ( x , t ) , or u k ( x , t ) , for 0 t < R and 0 < α 1 is therefore found to be as follows:
u k ( x , t ) = f ( x ) + f 1 ( x ) t α Γ ( 1 + α ) + n = 2 k f n ( x ) t n α Γ ( 1 + α n ) , k = 2 , 3 , 4
The residual function and the k t h residual function are first expressed as
R e s u k ( x , t ) = D t n α u ( x , t ) + S [ x ] u ( x , t ) + M [ x ] u ( x , t ) h ( x , t ) , k = 1 , 2 , 3
created in the form. For k = 1 , the expression R e s u 1 ( x , t ) is written. It is evident that R e s u ( x , t ) = 0 for t 0 and lim k R e s u k ( x , t ) = R e s u ( x , t ) . Editing the expression R e s u 1 ( x , 0 ) = 0 for t = 0 f 1 ( x ) results in this expression. In reality, this resulted in D t ( n 1 ) α R e s u k ( x , t ) = 0 for ( n = 1 , 2 , 3 , , k ) . The derivative of a constant is zero in the conformable sense; hence, solving the equation D t ( n 1 ) α R e s u k ( x , 0 ) = 0 yields the desired f n ( x ) coefficients. As a consequence, the u n ( x , t ) approximate solutions may be obtained.

4. Solutions of AIWs Model Using a Fuzzy and Fractional Analysis Concepts

Now, as illustrated below, we define the time-fraction model for AIWs. If we take predetermined parameters, the fuzzy-time-fractional AIW model can be written as [18]
D t α u + u u x F v + G w x = 0 , D t α v + u v x F u + G H = 0 , D t α w + u w x H v + w u x = 0 ,
where u = u ( x , t , λ ) , v = v ( x , t , λ ) , w = w ( x , t , λ ) , and λ ( 0 , 1 ] . For fuzzy-fractional model, we can take fuzzy number for the coefficient of the initial condition as
u ( x , 0 ) = a ˜ e x sech 2 ( x ) , v ( x , 0 ) = b ˜ x sech 2 ( 2 x ) , w ( x , 0 ) = c ˜ x 2 sech 2 ( 2 x ) ,
where a ˜ = [ 0 , 1 , 2 ] , b ˜ = [ 1 , 2 , 3 ] , and c ˜ = [ 0 , 1 , 2 ] are the fuzzy triangular numbers. The λ -cuts of these fuzzy numbers are, respectively, [ a ˜ ] λ = [ λ , 2 λ ] , [ b ˜ ] λ = [ λ + 1 , 3 λ ] , and [ c ˜ ] λ = [ λ , 2 λ ] . If all three equations in our system are c a s e ( 1 ) g H -differentiable, then the initial conditions of the systems are obtained from Definition 8 as follows:
[ u ( x , 0 ) ] λ = [ u , u + ] = λ e x sech 2 ( x ) , ( 2 λ ) e x sech 2 ( x ) , [ v ( x , 0 ) ] λ = [ v , v + ] = ( λ + 1 ) x sech 2 ( 2 x ) , ( 3 λ ) x sech 2 ( 2 x ) , [ w ( x , 0 ) ] λ = [ w , w + ] = λ x 2 sech 2 ( 2 x ) , ( 2 λ ) x 2 sech 2 ( 2 x ) ,
and
[ u ( x , 0 ) ] λ = [ u , u + ] = ( 2 λ ) e x sech 2 ( x ) , λ e x sech 2 ( x ) , [ v ( x , 0 ) ] λ = [ v , v + ] = ( 3 λ ) x sech 2 ( 2 x ) , ( λ + 1 ) x sech 2 ( 2 x ) , [ w ( x , 0 ) ] λ = [ w , w + ] = ( 2 λ ) x 2 sech 2 ( 2 x ) , λ x 2 sech 2 ( 2 x ) .
Remark 1.
With the given λ-cuts of the initial conditions, Equation (14) corresponds to two crisp solutions of Equation (12) called lower cut and upper cut solutions, where the lower cut solution depends on u , v , w initial conditions and the upper cut solution depends on u + , v + , w + initial conditions. The same procedure can be followed for the Equation (15) initial conditions. Aside from these two crisp solutions of Equation (12), there are six more crisp solutions of Equation (12) with respect to their differentiability type. There are a total of eight crisp solutions of Equation (12).
From here on, the RPSM will be given in a crisp sense, since we have found the crisp equivalents of the initial conditions for the correspondent fuzzy model.
From Equation (12),
D t α u + u u x F v + G w x = 0 , D t α v + u v x F u + G H = 0 , D t α w + u w x H v + w u x = 0 ,
where are α (0,1] and t = 0 . Now, let us apply the RPSM for the Equation (16) k t h residual functions
R e s u k = D t α u k + ( u k ) ( u k ) x F ( v k ) + G ( w k ) x , R e s v k = D t α v k + ( u k ) ( v k ) x F ( u k ) + G H , R e s w k = D t α w k + ( u k ) ( w k ) x H ( v k ) + ( w k ) ( u k ) x ,
where u k = u k ( x , t , λ ) , v k = v k ( x , t , λ ) , and w k = w k ( x , t , λ ) .
Remark 2.
For the fuzzy fractional system in Equation (12), each fuzzy variable admits a λ-cut representation  [ u ( x , t ) ] λ = [ u λ ( x , t ) , u λ + ( x , t ) ] , and this is similar for v and w. All nonlinear expressions in the residual functions in Equation (17), such as u u x , u v x , u w x , or w u x , are evaluated componentwise on each λ -cut by using standard interval arithmetic. For instance,
[ u u x ] λ = [ u λ , u λ + ] [ ( u λ ) x , ( u λ + ) x ] = min S ( λ ) , max S ( λ ) ,
where S ( λ ) = { u λ ( u λ ) x , u λ ( u λ + ) x , u λ + ( u λ ) x , u λ + ( u λ + ) x } . The same rule is applied to all other nonlinear products appearing in the residual equations. Because each λ-cut evolves independently, the RPSM recursion is performed on the lower and upper bound functions separately. This ensures that the numerical construction of the truncated series is fully consistent with the gH–differentiability notion and that the fuzzy fractional dynamics are computed in a mathematically reproducible way.
Then, Equation (9) poses the solution to the problem as a fractional power series around the initial value t = 0 and lets it show the k- t h truncated series Equation (10).
u k = f ( x ) + n = 1 k f n ( x ) t n α Γ ( 1 + α n ) , v k = g ( x ) + n = 1 k g n ( x ) t n α Γ ( 1 + α n ) , w k = h ( x ) + n = 1 k h n ( x ) t n α Γ ( 1 + α n ) .
The first step is predicated on k = 1 ,
u 1 = f ( x ) + f 1 ( x ) t α Γ ( 1 + α ) , v 1 = g ( x ) + g 1 ( x ) t α Γ ( 1 + α ) , w 1 = h ( x ) + h 1 ( x ) t α Γ ( 1 + α ) ,
and for t = 0 ,
R e s u 1 = f ( x ) f ( x ) + f 1 ( x ) F g ( x ) + G h ( x ) = 0 , R e s v 1 = F f ( x ) + f ( x ) g ( x ) + g 1 ( x ) + G H = 0 , R e s w 1 = h ( x ) f ( x ) + f ( x ) h ( x ) H g ( x ) + h 1 ( x ) = 0 .
By determining the f 1 ( x ) , g 1 ( x ) and h 1 ( x ) values from here,
f 1 ( x ) = f ( x ) f ( x ) + F g ( x ) G h ( x ) , g 1 ( x ) = F f ( x ) f ( x ) g ( x ) G H , h 1 ( x ) = h ( x ) f ( x ) f ( x ) h ( x ) + H g ( x ) .
We find the u 1 , v 1 and w 1 values
u 1 = t α f ( x ) f ( x ) + F g ( x ) G h ( x ) Γ ( α + 1 ) + f ( x ) , v 1 = t α F f ( x ) f ( x ) g ( x ) G H Γ ( α + 1 ) + g ( x ) , w 1 = t α h ( x ) f ( x ) f ( x ) h ( x ) + H g ( x ) Γ ( α + 1 ) + h ( x ) .
Then, for k = 2 , we substitute the second truncated series to obtain f 2 ( x ) , g 2 ( x ) and h 2 ( x ) .
u 2 = f ( x ) + f 1 ( x ) t α Γ ( 1 + α ) + f 2 ( x ) t 2 α Γ ( 1 + 2 α ) , v 2 = g ( x ) + g 1 ( x ) t α Γ ( 1 + α ) + g 2 ( x ) t 2 α Γ ( 1 + 2 α ) , w 2 = h ( x ) + h 1 ( x ) t α Γ ( 1 + α ) + h 2 ( x ) t 2 α Γ ( 1 + 2 α ) ,
and applying the second residual functions R e s u 2 , R e s v 2 and R e s w 2 to both sides D t α for t = 0 ,
R e s u 2 = f 1 ( x ) f ( x ) + f ( x ) f 1 ( x ) + f 2 ( x ) F g 1 ( x ) + G h 1 ( x ) = 0 , R e s v 2 = f 1 ( x ) g ( x ) + f ( x ) g 1 ( x ) F g 1 ( x ) + g 2 ( x ) = 0 , R e s w 1 = h 1 ( x ) f ( x ) + f 1 ( x ) h ( x ) + h ( x ) f 1 ( x ) + f ( x ) h 1 ( x ) H g 1 ( x ) + h 2 ( x ) = 0 .
By determining the f 2 ( x ) , g 2 ( x ) and h 2 ( x ) values from here,
f 2 ( x ) = f 1 ( x ) f ( x ) f ( x ) f 1 ( x ) + F g 1 ( x ) G h 1 ( x ) , g 2 ( x ) = f 1 ( x ) g ( x ) f ( x ) g 1 ( x ) + F g 1 ( x ) , h 2 ( x ) = h 1 ( x ) f ( x ) f 1 ( x ) h ( x ) h ( x ) f 1 ( x ) f ( x ) h 1 ( x ) + H g 1 ( x ) .
We find the u 2 , v 2 and w 2 values,
u 2 = t 2 α f 1 ( x ) f ( x ) f ( x ) f 1 ( x ) + F g 1 ( x ) G h 1 ( x ) Γ ( 2 α + 1 ) + f 1 ( x ) t α Γ ( α + 1 ) + f ( x ) , v 2 = t α t α f 1 ( x ) g ( x ) f ( x ) g 1 ( x ) + F g 1 ( x ) Γ ( 2 α + 1 ) + g 1 ( x ) Γ ( α + 1 ) + g ( x ) , w 2 = t 2 α h 1 ( x ) f ( x ) f 1 ( x ) h ( x ) h ( x ) f 1 ( x ) f ( x ) h 1 ( x ) + H g 1 ( x ) Γ ( 2 α + 1 ) + h 1 ( x ) t α Γ ( α + 1 ) + h ( x ) .
By following the same procedure, we finally calculate the following values:
u 3 = t 3 α f 2 ( x ) f ( x ) Γ ( 2 α + 1 ) f 1 ( x ) f 1 ( x ) Γ ( α + 1 ) 2 f ( x ) f 2 ( x ) + F g 2 ( x ) G h 2 ( x ) Γ ( 3 α + 1 ) + f 2 ( x ) t 2 α Γ ( 2 α + 1 ) + f 1 ( x ) t α Γ ( α + 1 ) + f ( x ) , v 3 = t 3 α f 2 ( x ) g ( x ) Γ ( 2 α + 1 ) f 1 ( x ) g 1 ( x ) Γ ( α + 1 ) 2 f ( x ) g 2 ( x ) + F g 2 ( x ) Γ ( 3 α + 1 ) + g 2 ( x ) t 2 α Γ ( 2 α + 1 ) + g 1 ( x ) t α Γ ( α + 1 ) + g ( x ) , w 3 = h ( x ) + h 1 ( x ) t α Γ ( α + 1 ) + h 2 ( x ) t 2 α Γ ( 2 α + 1 ) + t 3 α h 2 ( x ) f ( x ) f 2 ( x ) h ( x ) h ( x ) f 2 ( x ) f ( x ) h 2 ( x ) + H g 2 ( x ) Γ ( 3 α + 1 ) Γ ( 2 α + 1 ) t 3 α h 1 ( x ) f 1 ( x ) + f 1 ( x ) h 1 ( x ) Γ ( α + 1 ) 2 Γ ( 3 α + 1 ) .
The coefficients f n ( x ) , g n ( x ) , and h n ( x ) , determined recursively from the residual conditions, are substituted into the truncated series in the system (18) to obtain the third-order approximate solutions u 3 , v 3 , and w 3 .
The RPSM surface plots of the approximate solutions are displayed in Figure 1, Figure 2, Figure 3. Table 1 and Table 2 and Figure 4 provide a detailed comparison of the lower and upper λ -cut solutions for different values of λ . As λ increases toward 1, the results show a consistent reduction in the discrepancy between lower and upper cut values, indicating a narrower uncertainty band and a behavior closer to the classical (non-fractional) internal-wave dynamics. Across all spatial locations x, the solutions vary smoothly with respect to λ , confirming that the fractional order directly influences the rate at which the waves evolve. Table 3 compares the RPSM results with the q-HAShTM and HAM solutions previously reported for the same internal-wave model. The values exhibit excellent agreement, with only small deviations across the variables u, v, and w. This demonstrates that the proposed RPSM not only converges reliably but also achieves numerical accuracy comparable to existing semi-analytical techniques. The results support the suitability of the RPSM as an effective tool for simulating fuzzy fractional atmospheric internal waves.
As shown in Table 3, the numerical values obtained using the RPSM are in very close agreement with those reported for the q-HAShTM and HAM approaches. Only small deviations are observed across the variables ( u , v , w ) , confirming that the RPSM achieves a level of accuracy consistent with these benchmark methods. Unlike q-HAShTM and HAM, the RPSM formulation does not require auxiliary convergence-control parameters or integral transforms, resulting in a simpler recursive structure well suited for fuzzy fractional internal-wave problems.

5. Convergence and Residual Error Analysis

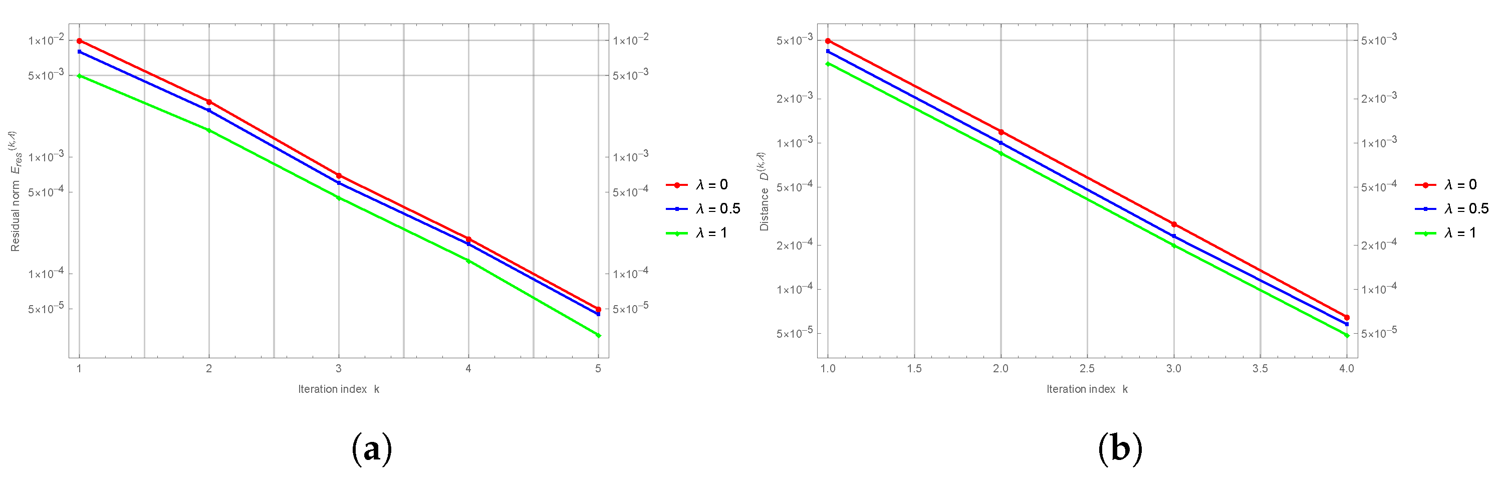
Since the present fuzzy internal-wave model does not admit a closed-form analytical solution, the accuracy and stability of the fuzzy RPSM approximations are assessed through the decay of the residual functions and the distance between successive iterates. For each λ -cut, the RPSM produces a sequence of crisp approximations { u k ( λ ) , v k ( λ ) , w k ( λ ) } k 1 , and the corresponding residual norm is defined as
E res ( k , λ ) = max ( x , t ) Res u k ( λ ) + Res v k ( λ ) + Res w k ( λ ) .
Likewise, the distance between successive iterates is given by
D ( k , λ ) = max ( x , t ) u k + 1 ( λ ) u k ( λ ) + v k + 1 ( λ ) v k ( λ ) + w k + 1 ( λ ) w k ( λ ) .
The first plot of Figure 5 illustrates the logarithmic decay of the residual norms E res ( k , λ ) for several values of λ [ 0 , 1 ] , while the second plot of Figure 5 shows the corresponding behavior of the iterate distances D ( k , λ ) . Both quantities decrease monotonically with respect to the iteration index k, confirming that the fuzzy RPSM generates a rapidly convergent sequence of approximations for all λ -cuts. This behavior verifies the numerical stability of the method and demonstrates that the constructed fuzzy solutions are consistent and reliable even in the absence of an analytical benchmark.

6. Results and Discussion

In this section, the numerical and graphical simulations of the system of atmospheric internal-wave equations are presented. In Figure 1, Figure 2, Figure 3, Figure 4, under some numerical values for the results, 3D, contour, and 2D surface plots are presented.
  • Figure 1 represents RPSM solution surface plots of u 3 ( x , t , λ ) for (a) α = 1 , (b) α = 0.85 , and (c) α = 0.75 for λ = 1 , 0 x 2 , and 0.2 t 1 .
  • Figure 2 represents RPSM solution surface plots of v 3 ( x , t , λ ) for (a) α = 1 , (b) α = 0.85 , and (c) α = 0.75 for λ = 1 , 0 x 2 , and 0.2 t 1 .
  • Figure 3 represents RPSM solution surface plots of w 3 ( x , t , λ ) for (a) α = 1 , (b) α = 0.85 , and (c) α = 0.75 for λ = 1 , 0 x 2 , and 0.2 t 1 .
  • Figure 4 represents (a) u 3 ( x , t , λ ) and u 3 + ( x , t , λ ) , (b) v 3 ( x , t , λ ) and v 3 + ( x , t , λ ) , and (c) w 3 ( x , t , λ ) and w 3 + ( x , t , λ ) RPSM lower and upper cut solution surface plots for α = 1 , x = 0.5 , and λ ( 0 , 1 ] .
  • Table 1, Table 2 represent a comparison of RPSM lower and upper cut solutions for r = 0.5 , x = 4.9 , 5.0 , 5.1 , α = 0.75 , 0.85 , 0.95 , and 0.2 t 1 .
  • Table 3 represents a comparison of q-HAShTM [18], H A M [18], and R P S M solutions for λ = 1 , α = 1 , t = 0.02 , 0.04 , and 0.2 x 1 .
The fuzziness parameter λ has a direct impact on the extent of the uncertainty band in the solutions that are computed. Fuzzy initial conditions are articulated in terms of their λ -cuts; thus, every λ ( 0 , 1 ] produces a pair of lower and upper solution surfaces corresponding to it. Intervals become wider for smaller values of λ , which signify larger uncertainty in the initial atmospheric state, while larger λ values shrink this spread and hence lead to a narrower uncertainty band. This system allows the model to measure how the uncertainty in the initial wave amplitude and velocity affects the fractional dynamical system, thus providing a more adaptable representation of internal-wave behavior under incomplete or inaccurate observational data.
The fractional order α is a significant factor in determining the overall behavior of atmospheric internal waves. The Caputo derivative with memory effects implies that the smaller α leads to more slow energy transfer between the stratified fluid layers considering stronger temporal memory. The surface plots show that the reduction in α results in decreases in wave height and sharpness; hence, more smooth wave profiles are produced. On the other hand, the values of α becoming close to 1 bring back dynamics that are very similar to those of the classical non-fractional internal-wave model, with quicker propagation, higher peaks, and sharper gradients. Therefore, α is the tool used for simulating the memory effects caused by turbulence, stratification, and non-resolved atmospheric variabilty, which are the source of a richer description of wave transport phenomena.
For the internal-wave model under consideration, the physical requirement w ( x , t ) > 0 corresponds to maintaining a positive layer depth throughout the evolution. This property is preserved by the proposed RPSM-based fuzzy fractional formulation. Since the series coefficients are generated recursively from the initial fuzzy profiles, which are nonnegative for all λ -cuts, each subsequent term in the expansion remains bounded and does not introduce a sign reversal. As a consequence, the approximate solutions obtained from the truncated RPSM series satisfy w ( x , t ) > 0 over the entire computational domain and for all fractional orders α and fuzziness levels λ examined in this study. This confirms that the method is physically consistent with the positivity requirement of the depth field.

7. Conclusions

In this study, a numerical technique, the residual power series method, was used to approximately solve fuzzy fractional systems of AIW equations. Numerical and graphical simulations were offered to comprehend the behavior of a fuzzy fractional system and its solutions. We utilized fuzzy initial conditions in the fuzzy triangular number form, and the RPSM provided comparable convergence characteristics and results when we compared it with the q-HAShTM and HAM solutions of earlier investigations. The combination of the RPSM and Caputo’s fractional derivative offers an improved convergence rate in AIW equations. All findings show how effective employing the RPSM is for comprehending AIW’s behavior. Moreover, the suggested approach is considered solid and efficient and could be helpful for describing the physical characteristics of different nonlinear phenomena. One of the limitations of this study is that the degree of fuzzification depends on the uncertainty assumptions adopted by the modeler of the system. So, while handling the data, the amount of uncertainty is changeable. When real-life data is used, one should be careful about the information that is taken into account. Also, the operators that constitute the fuzzy approach may cause some difficulties while handling FFDSs. Finally, to visualize the dynamic behavior of the system, some graphical representations and two tables were offered to indicate the validity and strength of the present technique. Understanding the behavior of atmospheric internal waves and their interactions with larger-scale atmospheric circulation is essential for improving weather and climate predictions and for applications in areas such as aviation, air quality, and climate change studies. Research in this field continues to advance our understanding of the complex dynamics of atmospheric internal waves and their role in shaping Earth’s atmosphere. Our research attempts to provide insight into the issues above. In light of all our research, it is helpful to incorporate the RPSM with FFPDEs to comprehend the behavior of internal atmospheric waves better. In future works, one can delve into the topic of granular differentiability to solve such fuzzy models.

Author Contributions

Conceptualization, S.A., R.T.A., M.Ş. and M.G.; Methodology, R.T.A., M.Ş. and M.G.; Software, S.A., R.T.A., M.Ş. and M.G.; Validation, S.A., R.T.A., M.Ş. and M.G.; Formal analysis, S.A., R.T.A., M.Ş. and M.G.; Writing—original draft, S.A., R.T.A., M.Ş. and M.G.; Writing—review & editing, S.A., R.T.A., M.Ş. and M.G. All authors have read and agreed to the published version of the manuscript.

Funding

This work was supported and funded by the Deanship of Scientific Research at Imam Mohammad Ibn Saud Islamic University (IMSIU) (grant number IMSIU-DDRSP2502).

Data Availability Statement

Data sharing does not apply to this article as no data sets were generated or analyzed during the current study.

Conflicts of Interest

The authors declare no conflicts of interest.

References

  1. Bo, Y.; Tian, D.; Liu, X.; Jin, Y. Discrete Maximum Principle and Energy Stability of the Compact Difference Scheme for Two-Dimensional Allen–Cahn Equation. J. Funct. Spaces 2022, 2022, 8522231. [Google Scholar] [CrossRef]
  2. Li, Y.; Rui, Z.; Hu, B. Monotone iterative and quasilinearization method for a nonlinear integral impulsive differential equation. AIMS Math. 2025, 10, 21–37. [Google Scholar] [CrossRef]
  3. Zhang, Z.; Qiu, C.; Wang, D.; Chen, Z.; Hibiya, T.; Xie, X.; Yu, X. Kinetic Energetic Exchange between Near-Inertial Waves and Mesoscale Eddy/Diurnal Tide during Typhoon Rai. J. Phys. Oceanogr. 2025, 55, 1033–1050. [Google Scholar] [CrossRef]
  4. Zhu, Z.; Lu, R.; Yu, B.; Li, T.; Yeh, S. A moderator of tropical impacts on climate in Canadian Arctic Archipelago during boreal summer. Nat. Commun. 2024, 15, 8644. [Google Scholar] [CrossRef]
  5. Ghaffari, M.; Allahviranloo, T.; Abbasbandy, S.; Azhini, M. Generalized Hukuhara conformable fractional derivative and its application to fuzzy fractional partial differential equations. Soft Comput. 2022, 26, 2135–2146. [Google Scholar] [CrossRef]
  6. Duan, J.S.; Chaolu, T.; Rach, R.; Lu, L. The Adomian decomposition method with convergence acceleration techniques for nonlinear fractional differential equations. Comput. Math. Appl. 2013, 66, 728–736. [Google Scholar] [CrossRef]
  7. Kurt, A.; Tasbozan, O.; Cenesiz, Y. Homotopy analysis method for conformable Burgers–Korteweg-de Vries equation. Bull. Math. Sci. Appl. 2016, 17, 10–52. [Google Scholar] [CrossRef]
  8. Pandey, R.K.; Mishra, H.K. Homotopy analysis Sumudu transform method for time-fractional third-order dispersive partial differential equation. Adv. Comput. Math. 2017, 43, 365–383. [Google Scholar] [CrossRef]
  9. Arqub, O.A.; Al-Smadi, M. Fuzzy conformable fractional differential equations: Novel extended approach and new numerical solutions. Soft Comput. 2020, 24, 12501–12522. [Google Scholar] [CrossRef]
  10. Alquran, M. Analytical solutions of fractional foam drainage equation by residual power series method. Math. Sci. 2014, 8, 153–160. [Google Scholar] [CrossRef]
  11. Hoa, N.V. On the initial value problem for fuzzy differential equations of non-integer order α ∈ (1,2). Soft Comput. 2020, 24, 935–954. [Google Scholar] [CrossRef]
  12. Zadeh, L.A. Fuzzy sets. Inf. Control 1965, 8, 338–353. [Google Scholar] [CrossRef]
  13. Atpınar, S.; Zararsız, Z.; Şengönül, M. The entropy value for ECG of the sport horses. IEEE Trans. Fuzzy Syst. 2016, 25, 1168–1174. [Google Scholar] [CrossRef]
  14. Salahshour, S.; Ahmadian, A.; Chan, C.S. A novel technique for solving fuzzy differential equations of fractional order using Laplace and integral transforms. In Proceedings of the IEEE International Conference on Fuzzy Systems (FUZZ-IEEE), Vancouver, BC, Canada, 24–29 July 2016; pp. 1473–1477. [Google Scholar]
  15. Senol, M.; Atpinar, S.; Zararsiz, Z.; Salahshour, S.; Ahmadian, A. Approximate solution of time-fractional fuzzy partial differential equations. Comput. Appl. Math. 2019, 38, 18. [Google Scholar] [CrossRef]
  16. Kaleva, O. Fuzzy differential equations. Fuzzy Sets Syst. 1987, 24, 301–317. [Google Scholar] [CrossRef]
  17. Varsoliwala, A.C.; Singh, T.R. Mathematical modeling of atmospheric internal waves phenomenon and its solution by Elzaki Adomian decomposition method. J. Ocean Eng. Sci. 2022, 7, 203–212. [Google Scholar] [CrossRef]
  18. Sartanpara, P.P.; Meher, R. A robust fuzzy-fractional approach for the atmospheric internal wave model. J. Ocean Eng. Sci. 2023, 8, 308–322. [Google Scholar] [CrossRef]
  19. Arshad, M.; Khan, S.; Khan, H.; Ali, H.; Ali, I. Fractional analysis of non-linear fuzzy partial differential equations by using a direct procedure. Sci. Rep. 2024, 14, 9627. [Google Scholar] [CrossRef]
  20. Tong, Q.; Zang, Y.; Zhang, J. The Residual Power Series Method for Solving the Fractional Fuzzy Delay Differential Equation. In Advances in Natural Computation, Fuzzy Systems and Knowledge Discovery; Springer: Cham, Switzerland, 2020; pp. 847–855. [Google Scholar]
  21. Oqielat, M.N.; Eriqat, T.; Ogilat, O.; Odibat, Z.; Al-Zhour, Z.; Hashim, I. Approximate solutions of fuzzy fractional population dynamics model. Eur. Phys. J. Plus 2022, 137, 982. [Google Scholar] [CrossRef]
  22. Arqub, O.A.; Al-Smadi, M.; Momani, S.; Hayat, T. Application of reproducing kernel algorithm for solving second-order, two-point fuzzy boundary value problems. Soft Comput. 2017, 21, 7191–7206. [Google Scholar] [CrossRef]
  23. Arqub, O.A.; Al-Smadi, M.; Momani, S.; Hayat, T. Numerical solutions of fuzzy differential equations using reproducing kernel Hilbert space method. Soft Comput. 2016, 20, 3283–3302. [Google Scholar] [CrossRef]
  24. Alderremy, A.; Khan, H.; Khan, Q.; Kumam, P.; Aly, S.; Ahmad, S.; Sitthithakerngkiet, K. The solutions of nonlinear fractional partial differential equations by using a novel technique. Open Phys. 2022, 20, 750–763. [Google Scholar] [CrossRef]
  25. Eriqat, T.; Saadeh, R.; El-Ajou, A.; Qazza, A.; Oqielat, M.A.N.; Ghazal, A. A new analytical algorithm for uncertain fractional differential equations in the fuzzy conformable sense. AIMS Math. 2024, 9, 9641–9681. [Google Scholar] [CrossRef]
  26. Kaleva, O.; Seikkala, S. On fuzzy metric spaces. Fuzzy Sets Syst. 1984, 12, 215–229. [Google Scholar] [CrossRef]
  27. Tripathy, B.K.; Nanda, S. Absolute value of fuzzy real numbers and fuzzy sequence spaces. J. Fuzzy Math. 2000, 8, 883–892. [Google Scholar]
  28. Puri, M.L.; Ralescu, D.A. Differentials of fuzzy functions. J. Math. Anal. Appl. 1983, 91, 552–558. [Google Scholar] [CrossRef]
  29. Goetschel, J.R.; Voxman, W. Elementary fuzzy calculus. Fuzzy Sets Syst. 1986, 18, 31–43. [Google Scholar] [CrossRef]
  30. Bede, B. Mathematics of Fuzzy Sets and Fuzzy Logic; Springer: Berlin, Germany, 2013. [Google Scholar]
  31. Diamond, P.; Kloeden, P. Metric Spaces of Fuzzy Sets: Theory and Applications; World Scientific: Singapore, 1994. [Google Scholar]
  32. Hukuhara, M. Integration des applications mesurables dont la valeur est un compact convexe. Funkc. Ekvacioj 1967, 10, 205–223. [Google Scholar]
  33. Abbas, S.; Benchohra, M.; N’Guérékata, G.M. Topics in Fractional Differential Equations; Springer: Berlin, Germany, 2012. [Google Scholar]
  34. Şenol, M.; Alquran, M.; Kasmaei, H.D. On the comparison of perturbation-iteration algorithm and residual power series method to solve fractional Zakharov–Kuznetsov equation. Results Phys. 2018, 9, 321–327. [Google Scholar] [CrossRef]
  35. Şenol, M.; Iyiola, O.S.; Kasmaei, H.D.; Akinyemi, L. Efficient analytical techniques for solving time-fractional nonlinear coupled Jaulent–Miodek system with energy-dependent Schrödinger potential. Adv. Differ. Equ. 2019, 2019, 462. [Google Scholar] [CrossRef]
Figure 1. Surface plots of RPSM solution u 3 ( x , t , λ ) for (a) α = 1 , (b) α = 0.85 , and (c) α = 0.75 , λ = 1 for Equation (14) initial conditions.
Figure 1. Surface plots of RPSM solution u 3 ( x , t , λ ) for (a) α = 1 , (b) α = 0.85 , and (c) α = 0.75 , λ = 1 for Equation (14) initial conditions.
Symmetry 17 02108 g001
Figure 2. Surface plots of RPSM solution v 3 ( x , t , λ ) for (a) α = 1 , (b) α = 0.85 , and (c) α = 0.75 , λ = 1 for Equation (14) initial conditions.
Figure 2. Surface plots of RPSM solution v 3 ( x , t , λ ) for (a) α = 1 , (b) α = 0.85 , and (c) α = 0.75 , λ = 1 for Equation (14) initial conditions.
Symmetry 17 02108 g002
Figure 3. Surface plots of RPSM solution w 3 ( x , t , λ ) for (a) α = 1 , (b) α = 0.85 , (c) α = 0.75 , and λ = 1 for Equation (14) initial conditions.
Figure 3. Surface plots of RPSM solution w 3 ( x , t , λ ) for (a) α = 1 , (b) α = 0.85 , (c) α = 0.75 , and λ = 1 for Equation (14) initial conditions.
Symmetry 17 02108 g003
Figure 4. Surface plots of RPSM approximate lower and upper cut solutions (a) u 3 ( x , t , λ ) and u 3 + ( x , t , λ ) , (b) v 3 ( x , t , λ ) and v 3 + ( x , t , λ ) , and (c) w 3 ( x , t , λ ) and w 3 + ( x , t , λ ) of Equation (27) for initial conditions of Equation (14), α = 1 , x = 0.5 , and λ ( 0 , 1 ] .
Figure 4. Surface plots of RPSM approximate lower and upper cut solutions (a) u 3 ( x , t , λ ) and u 3 + ( x , t , λ ) , (b) v 3 ( x , t , λ ) and v 3 + ( x , t , λ ) , and (c) w 3 ( x , t , λ ) and w 3 + ( x , t , λ ) of Equation (27) for initial conditions of Equation (14), α = 1 , x = 0.5 , and λ ( 0 , 1 ] .
Symmetry 17 02108 g004
Figure 5. The convergence characteristics of the fuzzy RPSM for selected λ -cuts. (a) Residual norm E res ( k , λ ) versus the iteration index k. (b) Distance D ( k , λ ) between successive approximations.
Figure 5. The convergence characteristics of the fuzzy RPSM for selected λ -cuts. (a) Residual norm E res ( k , λ ) versus the iteration index k. (b) Distance D ( k , λ ) between successive approximations.
Symmetry 17 02108 g005
Table 1. A comparison of RPSM lower cut solutions of Equation (14) initial conditions for λ = 0.5 .
Table 1. A comparison of RPSM lower cut solutions of Equation (14) initial conditions for λ = 0.5 .
α = 0.75 α = 0.85 α = 0.95
x t u 3 v 3 w 3 u 3 v 3 w 3 u 3 v 3 w 3
0.2 0.0149661 0.000102815 1.50325 × 10 7 0.0149531 0.000085088 1.49990 × 10 7 0.0149420 0.000069921 1.49653 × 10 7
0.4 0.0150178 0.000172855 1.51439 × 10 7 0.0150031 0.000153301 1.51307 × 10 7 0.0149895 0.000134996 1.51092 × 10 7
4.9 0.6 0.0150637 0.000234260 1.51944 × 10 7 0.0150499 0.000216349 1.52085 × 10 7 0.0150363 0.000198391 1.52100 × 10 7
0.8 0.0151063 0.000290653 1.52020 × 10 7 0.0150949 0.000276261 1.52433 × 10 7 0.0150828 0.000260719 1.52713 × 10 7
1.0 0.0151468 0.000343592 1.51754 × 10 7 0.0151387 0.000333944 1.52407 × 10 7 0.0151291 0.000322265 1.52951 × 10 7
0.2 0.0135355 0.000102786 1.0449 × 10 7 0.0135249 0.000085058 1.04375 × 10 7 0.0135158 0.000069892 1.04224 × 10 7
0.4 0.0135775 0.000172825 1.04726 × 10 7 0.0135656 0.000153272 1.04849 × 10 7 0.0135546 0.000134967 1.04866 × 10 7
5.0 0.6 0.0136149 0.000234229 1.04436 × 10 7 0.0136037 0.000216319 1.04824 × 10 7 0.0135926 0.000198361 1.05080 × 10 7
0.8 0.0136495 0.000290623 1.03762 × 10 7 0.0136402 0.000276230 1.04389 × 10 7 0.0136304 0.000260688 1.04892 × 10 7
1.0 0.0136823 0.000343561 1.02772 × 10 7 0.0136758 0.000333914 1.03589 × 10 7 0.0136681 0.000322235 1.04319 × 10 7
0.2 0.0122422 0.000102766 7.25236 × 10 8 0.0122335 0.000085039 7.25463 × 10 8 0.0122262 0.000069872 7.25125 × 10 8
0.4 0.0122764 0.000172805 7.22061 × 10 8 0.0122668 0.000153251 7.24885 × 10 8 0.0122578 0.000134947 7.26528 × 10 8
5.1 0.6 0.0123068 0.000234209 7.14183 × 10 8 0.0122978 0.000216299 7.19600 × 10 8 0.0122888 0.000198341 7.23655 × 10 8
0.8 0.0123349 0.000290602 7.02744 × 10 8 0.0123275 0.000276210 7.10339 × 10 8 0.0123195 0.000260668 7.16746 × 10 8
1.0 0.0123616 0.000343540 6.88336 × 10 8 0.0123563 0.000333893 6.97512 × 10 8 0.0123501 0.000322214 7.05940 × 10 8
Table 2. A comparison of RPSM upper cut solutions of Equation (14) initial conditions for λ = 0.5 .
Table 2. A comparison of RPSM upper cut solutions of Equation (14) initial conditions for λ = 0.5 .
α = 0.75 α = 0.85 α = 0.95
x t u 3 + v 3 + w 3 + u 3 + v 3 + w 3 + u 3 + v 3 + w 3 +
0.2 0.0453481 0.000102882 4.61503 × 10 7 0.0452278 0.000085154 4.61503 × 10 7 0.0451266 0.000069986 4.61503 × 10 7
0.4 0.0458305 0.000172928 4.80823 × 10 7 0.0456898 0.000153372 4.80823 × 10 7 0.0455613 0.000135066 4.80823 × 10 7
4.9 0.6 0.0462702 0.000234337 5.01014 × 10 7 0.0461318 0.000216425 5.01014 × 10 7 0.0459978 0.000198465 5.01014 × 10 7
0.8 0.0466884 0.000290736 5.22164 × 10 7 0.0465659 0.000276342 5.22164 × 10 7 0.0464402 0.000260798 5.22164 × 10 7
1.0 0.0470942 0.000343680 5.44359 × 10 7 0.0469975 0.000334031 5.44359 × 10 7 0.0468904 0.000322350 5.44359 × 10 7
0.2 0.0409733 0.000102831 3.20790 × 10 7 0.0408756 0.000085103 3.20790 × 10 7 0.0407931 0.000069936 3.20790 × 10 7
0.4 0.0413648 0.000172874 3.32678 × 10 7 0.0412511 0.000153319 3.32678 × 10 7 0.0411470 0.000135014 3.32678 × 10 7
5.0 0.6 0.0417202 0.000234281 3.44879 × 10 7 0.0416091 0.000216370 3.44879 × 10 7 0.0415013 0.000198411 3.44879 × 10 7
0.8 0.0420570 0.000290678 3.57437 × 10 7 0.0419596 0.000276285 3.57437 × 10 7 0.0418592 0.000260742 3.57437 × 10 7
1.0 0.0423827 0.000343619 3.70395 × 10 7 0.0423069 0.000333971 3.70395 × 10 7 0.0422223 0.000322291 3.70395 × 10 7
0.2 0.0370259 0.000102797 2.22867 × 10 7 0.0369464 0.000085069 2.22867 × 10 7 0.0368793 0.000069902 2.22867 × 10 7
0.4 0.0373439 0.000172838 2.30092 × 10 7 0.0372519 0.000153284 2.30092 × 10 7 0.0371675 0.000134979 2.30092 × 10 7
5.1 0.6 0.0376316 0.000234244 2.37317 × 10 7 0.0375423 0.000216333 2.37317 × 10 7 0.0374553 0.000198374 2.37317 × 10 7
0.8 0.0379033 0.000290639 2.44561 × 10 7 0.0378257 0.000276246 2.44561 × 10 7 0.0377452 0.000260703 2.44561 × 10 7
1.0 0.0381653 0.000343578 2.51846 × 10 7 0.0381056 0.000333931 2.51846 × 10 7 0.0380386 0.000322251 2.51846 × 10 7
Table 3. A comparison of the q-HAShTM [18], the H A M [18], and the R P S M solutions.
Table 3. A comparison of the q-HAShTM [18], the H A M [18], and the R P S M solutions.
u 3 v 3 w 3
t x q-HAShTM HAM RPSM q-HAShTM HAM RPSM q-HAShTM HAM RPSM
0.2 1.10345 1.10026 1.10403 0.31350 0.31429 0.313643 0.02743 0.02692 0.02745
0.4 1.12217 1.22755 1.22231 0.44743 0.44903 0.447443 0.08309 0.08354 0.08316
0.02 0.6 1.29362 1.29910 1.29335 0.38158 0.38186 0.381517 0.10943 0.11002 0.10940
0.8 1.27512 1.27677 1.27483 0.25593 0.25545 0.255932 0.09984 0.09996 0.09981
1.0 1.18159 1.18095 1.18152 0.15097 0.15052 0.150998 0.07460 0.07448 0.07460
0.2 1.03947 1.02669 1.04412 0.28319 0.28633 0.284228 0.02167 0.01962 0.02180
0.4 1.15555 1.17863 1.15984 0.44442 0.45081 0.444475 0.07582 0.07764 0.07641
0.04 0.6 1.27934 1.30162 1.27748 0.39661 0.39769 0.395999 0.10788 0.11023 0.10764
0.8 1.30276 1.30933 1.30042 0.27200 0.27005 0.271926 0.10311 0.10360 0.10285
1.0 1.22286 1.22029 1.22226 0.16156 0.15974 0.161702 0.07880 0.07832 0.07876
Disclaimer/Publisher’s Note: The statements, opinions and data contained in all publications are solely those of the individual author(s) and contributor(s) and not of MDPI and/or the editor(s). MDPI and/or the editor(s) disclaim responsibility for any injury to people or property resulting from any ideas, methods, instructions or products referred to in the content.

Share and Cite

MDPI and ACS Style

Atpinar, S.; Alqahtani, R.T.; Şenol, M.; Gençyiğit, M. Numerical Simulation of Internal-Wave-Type Systems Under the Fuzzy Caputo Fractional Derivative. Symmetry 2025, 17, 2108. https://doi.org/10.3390/sym17122108

AMA Style

Atpinar S, Alqahtani RT, Şenol M, Gençyiğit M. Numerical Simulation of Internal-Wave-Type Systems Under the Fuzzy Caputo Fractional Derivative. Symmetry. 2025; 17(12):2108. https://doi.org/10.3390/sym17122108

Chicago/Turabian Style

Atpinar, Sevda, Rubayyi T. Alqahtani, Mehmet Şenol, and Mehmet Gençyiğit. 2025. "Numerical Simulation of Internal-Wave-Type Systems Under the Fuzzy Caputo Fractional Derivative" Symmetry 17, no. 12: 2108. https://doi.org/10.3390/sym17122108

APA Style

Atpinar, S., Alqahtani, R. T., Şenol, M., & Gençyiğit, M. (2025). Numerical Simulation of Internal-Wave-Type Systems Under the Fuzzy Caputo Fractional Derivative. Symmetry, 17(12), 2108. https://doi.org/10.3390/sym17122108

Note that from the first issue of 2016, this journal uses article numbers instead of page numbers. See further details here.

Article Metrics

Back to TopTop