Quantum Fisher Information Probing a Quantum-Gas Cavity QED
Abstract
1. Introduction
2. Model Hamiltonian and Quantum Fisher Information
3. Probing Quantum Phase Transition of Hamiltonian (1) via QFI
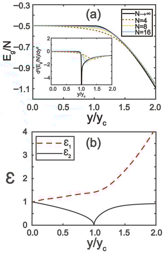
3.1. QFI at Zero Temperature
3.2. The QFI at Finite Temperatures
3.3. Probing Quantum Phase Transition of a Quantum-Gas Cavity QED by Quantum Fisher Information
4. Discussion and Conclusions
Author Contributions
Funding
Data Availability Statement
Acknowledgments
Conflicts of Interest
Appendix A. Derivation of the Effective Hamiltonian of Equation (1)
Appendix B. Effective Low-Energy Hamiltonian of Equation (5) in the Normal Phase
Appendix C. Effective Hamiltonian of Equation (8)
References
- Hammerer, K.; Sørensen, A.S.; Polzik, E.S. Quantum interface between light and atomic ensembles. Rev. Mod. Phys. 2010, 82, 1041. [Google Scholar] [CrossRef]
- Forn-Díaz, P.; Lamata, L.; Rico, E.; Kono, J.; Solano, E. Ultrastrong coupling regimes of light-matter interaction. Rev. Mod. Phys. 2019, 91, 025005. [Google Scholar] [CrossRef]
- Frisk Kockum, A.; Miranowicz, A.; De Liberato, S.; Savasta, S.; Nori, F. Ultrastrong coupling between light and matter. Nat. Rev. Phys. 2019, 1, 19. [Google Scholar] [CrossRef]
- Liu, J.; Liu, M.; Ying, Z.J.; Luo, H.G. Fundamental Models in the Light–Matter Interaction: Quantum Phase Transitions and the Polaron Picture. Adv. Quantum Technol. 2021, 4, 2000139. [Google Scholar] [CrossRef]
- Ritsch, H.; Domokos, P.; Brennecke, F.; Esslinger, T. Cold atoms in cavity-generated dynamical optical potentials. Rev. Mod. Phys. 2013, 85, 553. [Google Scholar] [CrossRef]
- Mivehvar, F.; Piazza, F.; Donner, T.; Ritsch, H. Cavity QED with quantum gases: New paradigms in many-body physics. Adv. Phys. 2021, 70, 1. [Google Scholar] [CrossRef]
- Braak, D. Integrability of the Rabi model. Phys. Rev. Lett. 2011, 107, 100401. [Google Scholar] [CrossRef]
- Pezzè, L.; Smerzi, A.; Oberthaler, M.K.; Schmied, R.; Treutlein, P. Quantum metrology with nonclassical states of atomic ensembles. Rev. Mod. Phys. 2018, 90, 035005. [Google Scholar] [CrossRef]
- Polino, E.; Valeri, M.; Spagnolo, N.; Sciarrino, F. Photonic quantum metrology. AVS Quantum Sci. 2020, 2, 024703. [Google Scholar] [CrossRef]
- Gross, C.; Bloch, I. Quantum simulations with ultracold atoms in optical lattices. Science 2017, 357, 995. [Google Scholar] [CrossRef]
- Dimer, F.; Estienne, B.; Parkins, A.S.; Carmichael, H.J. Proposed realization of the Dicke-model quantum phase transition in an optical cavity QED system. Phys. Rev. A 2007, 75, 013804. [Google Scholar] [CrossRef]
- Baumann, K.; Guerlin, C.; Brennecke, F.; Esslinger, T. Dicke quantum phase transition with a superfluid gas in an optical cavity. Nature 2010, 464, 1301. [Google Scholar] [CrossRef] [PubMed]
- Ashhab, S. Superradiance transition in a system with a single qubit and a single oscillator. Phys. Rev. A—At. Mol. Opt. Phys. 2013, 87, 013826. [Google Scholar] [CrossRef]
- Nagy, D.; Kónya, G.; Szirmai, G.; Domokos, P. Dicke-Model Phase Transition in the Quantum Motion of a Bose–Einstein Condensate in an Optical Cavity. Phys. Rev. Lett. 2010, 104, 130401. [Google Scholar] [CrossRef]
- Lambert, N.; Emary, C.; Brandes, T. Entanglement and the Phase Transition in Single-Mode Superradiance. Phys. Rev. Lett. 2004, 92, 073602. [Google Scholar] [CrossRef] [PubMed]
- Emary, C.; Brandes, T. Quantum Chaos Triggered by Precursors of a Quantum Phase Transition: The Dicke Model. Phys. Rev. Lett. 2003, 90, 044101. [Google Scholar] [CrossRef]
- Emary, C.; Brandes, T. Chaos and the quantum phase transition in the Dicke model. Phys. Rev. E 2003, 67, 066203. [Google Scholar] [CrossRef]
- Baumann, K.; Mottl, R.; Brennecke, F.; Esslinger, T. Exploring Symmetry Breaking at the Dicke Quantum Phase Transition. Phys. Rev. Lett. 2011, 107, 140402. [Google Scholar] [CrossRef]
- Baden, M.P.; Arnold, K.J.; Grimsmo, A.L.; Parkins, S.; Barrett, M.D. Realization of the Dicke Model Using Cavity-Assisted Raman Transitions. Phys. Rev. Lett. 2014, 113, 020408. [Google Scholar] [CrossRef]
- Kongkhambut, P.; Keßler, H.; Skulte, J.; Mathey, L.; Cosme, J.G.; Hemmerich, A. Realization of a Periodically Driven Open Three-Level Dicke Model. Phys. Rev. Lett. 2021, 127, 253601. [Google Scholar] [CrossRef]
- Skulte, J.; Kongkhambut, P.; Rao, S.; Mathey, L.; Keßler, H.; Hemmerich, A.; Cosme, J.G. Condensate Formation in a Dark State of a Driven Atom-Cavity System. Phys. Rev. Lett. 2023, 130, 163603. [Google Scholar] [CrossRef]
- Müller, K.; Strunz, W.T. Genuine Quantum Effects in Dicke-Type Models at Large Atom Numbers. Phys. Rev. Lett. 2025, 135, 123602. [Google Scholar] [CrossRef]
- Larson, J.; Irish, E.K. Some remarks on ‘superradiant’ phase transitions in light-matter systems. J. Phys. A Math. Theor. 2017, 50, 174002. [Google Scholar] [CrossRef]
- Dicke, R.H. Coherence in Spontaneous Radiation Processes. Phys. Rev. 1954, 93, 99. [Google Scholar] [CrossRef]
- Hepp, K.; Lieb, E.H. On the superradiant phase transition for molecules in a quantized radiation field: The dicke maser model. Ann. Phys. 1973, 76, 360. [Google Scholar] [CrossRef]
- Wang, Y.K.; Hioe, F.T. Phase Transition in the Dicke Model of Superradiance. Phys. Rev. A 1973, 7, 831. [Google Scholar] [CrossRef]
- Braunstein, S.L.; Caves, C.M. Statistical distance and the geometry of quantum states. Phys. Rev. Lett. 1994, 72, 3439. [Google Scholar] [CrossRef] [PubMed]
- Pezzé, L.; Smerzi, A. Entanglement, Nonlinear Dynamics, and the Heisenberg Limit. Phys. Rev. Lett. 2009, 102, 100401. [Google Scholar] [CrossRef]
- Genoni, M.G.; Olivares, S.; Paris, M.G.A. Optical Phase Estimation in the Presence of Phase Diffusion. Phys. Rev. Lett. 2011, 106, 153603. [Google Scholar] [CrossRef] [PubMed]
- Ma, J.; Huang, Y.X.; Wang, X.; Sun, C.P. Quantum Fisher information of the Greenberger-Horne-Zeilinger state in decoherence channels. Phys. Rev. A 2011, 84, 022302. [Google Scholar] [CrossRef]
- Hauke, P.; Heyl, M.; Tagliacozzo, L.; Zoller, P. Measuring multipartite entanglement through dynamic susceptibilities. Nat. Phys. 2016, 12, 778. [Google Scholar] [CrossRef]
- Strobel, H.; Muessel, W.; Linnemann, D.; Zibold, T.; Hume, D.B.; Pezzè, L.; Smerzi, A.; Oberthaler, M.K. Fisher information and entanglement of non-Gaussian spin states. Science 2014, 345, 424. [Google Scholar] [CrossRef] [PubMed]
- Wang, T.L.; Wu, L.N.; Yang, W.; Jin, G.R.; Lambert, N.; Nori, F. Quantum Fisher information as a signature of the superradiant quantum phase transition. New J. Phys. 2014, 16, 063039. [Google Scholar] [CrossRef]
- Tang, S.B.; Qin, H.; Liu, B.B.; Wang, D.Y.; Cui, K.; Su, S.L.; Yan, L.L.; Chen, G. Enhancement of quantum sensing in a cavity-optomechanical system around the quantum critical point. Phys. Rev. A 2023, 108, 053514. [Google Scholar] [CrossRef]
- Hwang, M.J.; Puebla, R.; Plenio, M.B. Quantum Phase Transition and Universal Dynamics in the Rabi Model. Phys. Rev. Lett. 2015, 115, 180404. [Google Scholar] [CrossRef]
- Günter, G.; Anappara, A.A.; Hees, J.; Sell, A.; Biasiol, G.; Sorba, L.; De Liberato, S.; Ciuti, C.; Tredicucci, A.; Leitenstorfer, A.; et al. Sub-cycle switch-on of ultrastrong light–matter interaction. Nature 2009, 458, 178. [Google Scholar] [CrossRef] [PubMed]


Disclaimer/Publisher’s Note: The statements, opinions and data contained in all publications are solely those of the individual author(s) and contributor(s) and not of MDPI and/or the editor(s). MDPI and/or the editor(s) disclaim responsibility for any injury to people or property resulting from any ideas, methods, instructions or products referred to in the content. |
© 2025 by the authors. Licensee MDPI, Basel, Switzerland. This article is an open access article distributed under the terms and conditions of the Creative Commons Attribution (CC BY) license (https://creativecommons.org/licenses/by/4.0/).
Share and Cite
Zhu, L.; Wang, Q.; Liang, Z. Quantum Fisher Information Probing a Quantum-Gas Cavity QED. Symmetry 2025, 17, 1918. https://doi.org/10.3390/sym17111918
Zhu L, Wang Q, Liang Z. Quantum Fisher Information Probing a Quantum-Gas Cavity QED. Symmetry. 2025; 17(11):1918. https://doi.org/10.3390/sym17111918
Chicago/Turabian StyleZhu, Lehan, Qian Wang, and Zhaoxin Liang. 2025. "Quantum Fisher Information Probing a Quantum-Gas Cavity QED" Symmetry 17, no. 11: 1918. https://doi.org/10.3390/sym17111918
APA StyleZhu, L., Wang, Q., & Liang, Z. (2025). Quantum Fisher Information Probing a Quantum-Gas Cavity QED. Symmetry, 17(11), 1918. https://doi.org/10.3390/sym17111918
