Estimation of the Domain of Attraction on Controlled Nonlinear Neutral Complex Networks via Razumikhin Approach
Abstract
1. Introduction
2. Preliminaries and Definitions
3. Main Results
3.1. Estimation of DOA on HNNCNs with Bounded Delays
3.2. Estimation of DOA on HNNCNs with Unbounded Proportional Delay
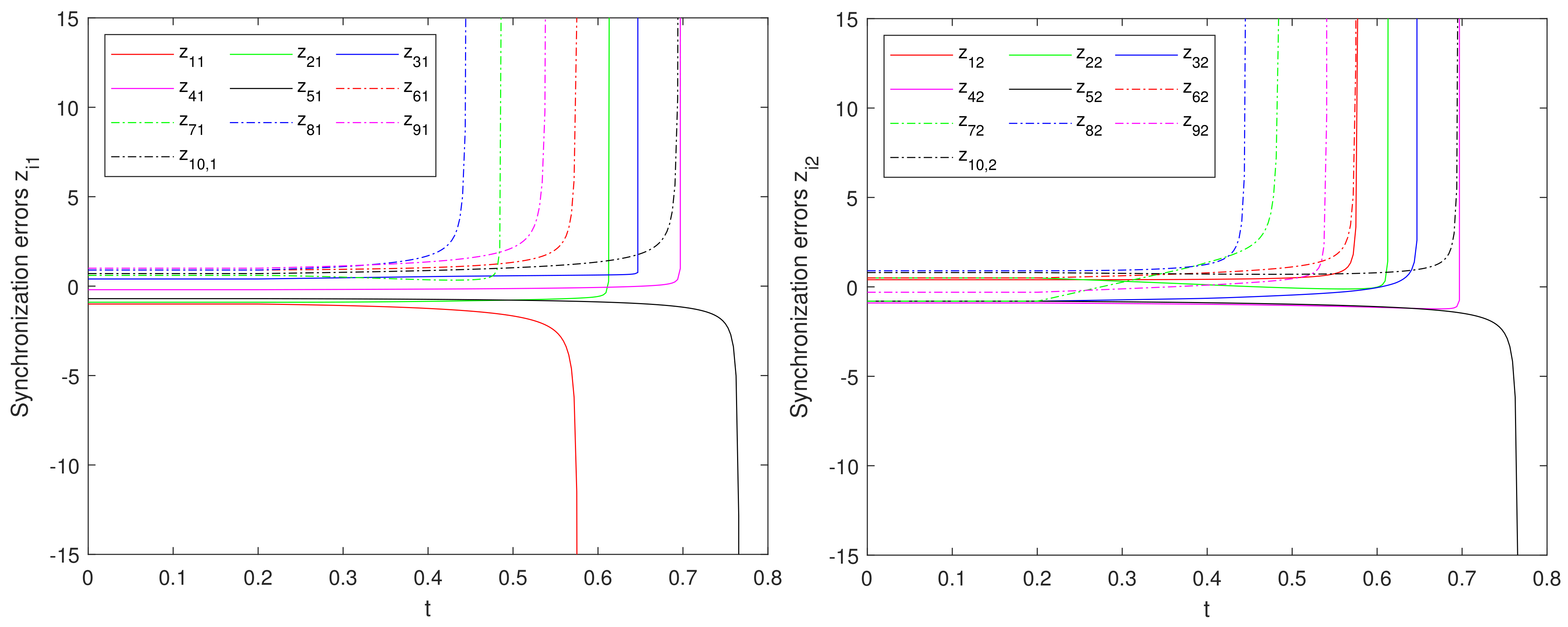
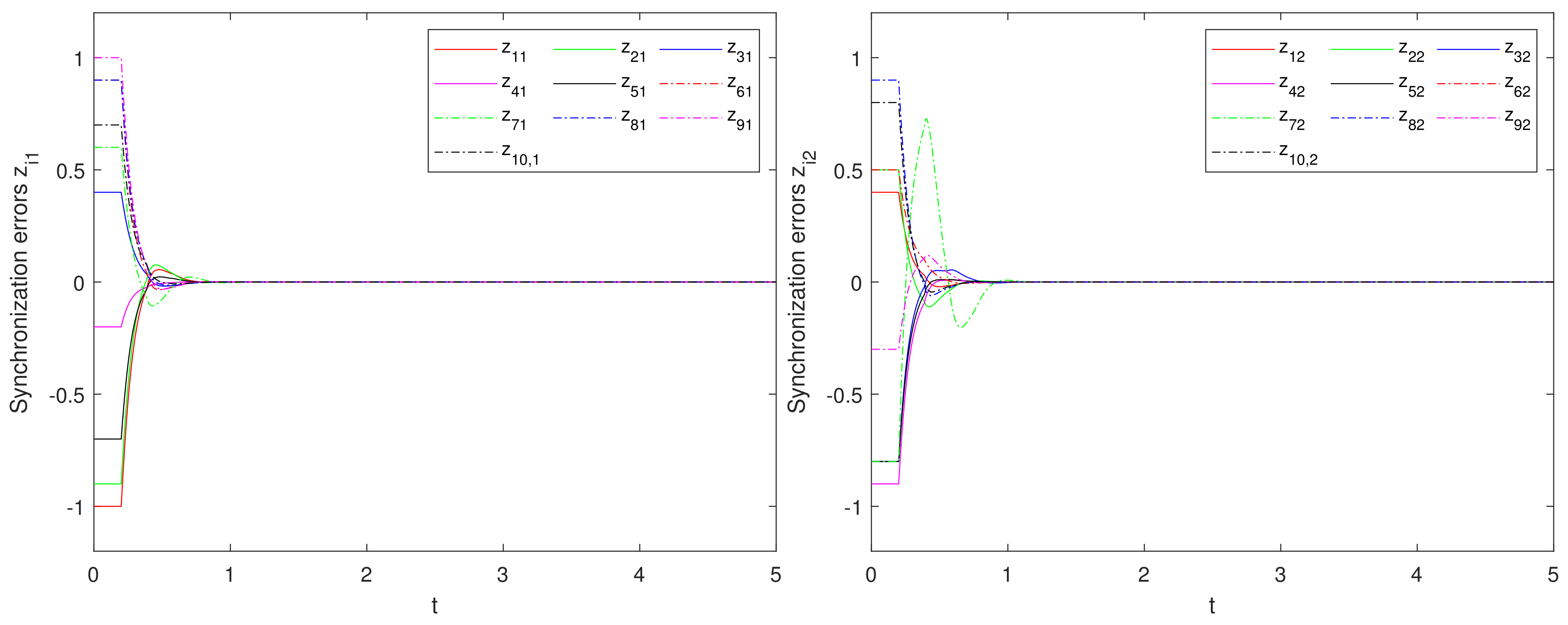
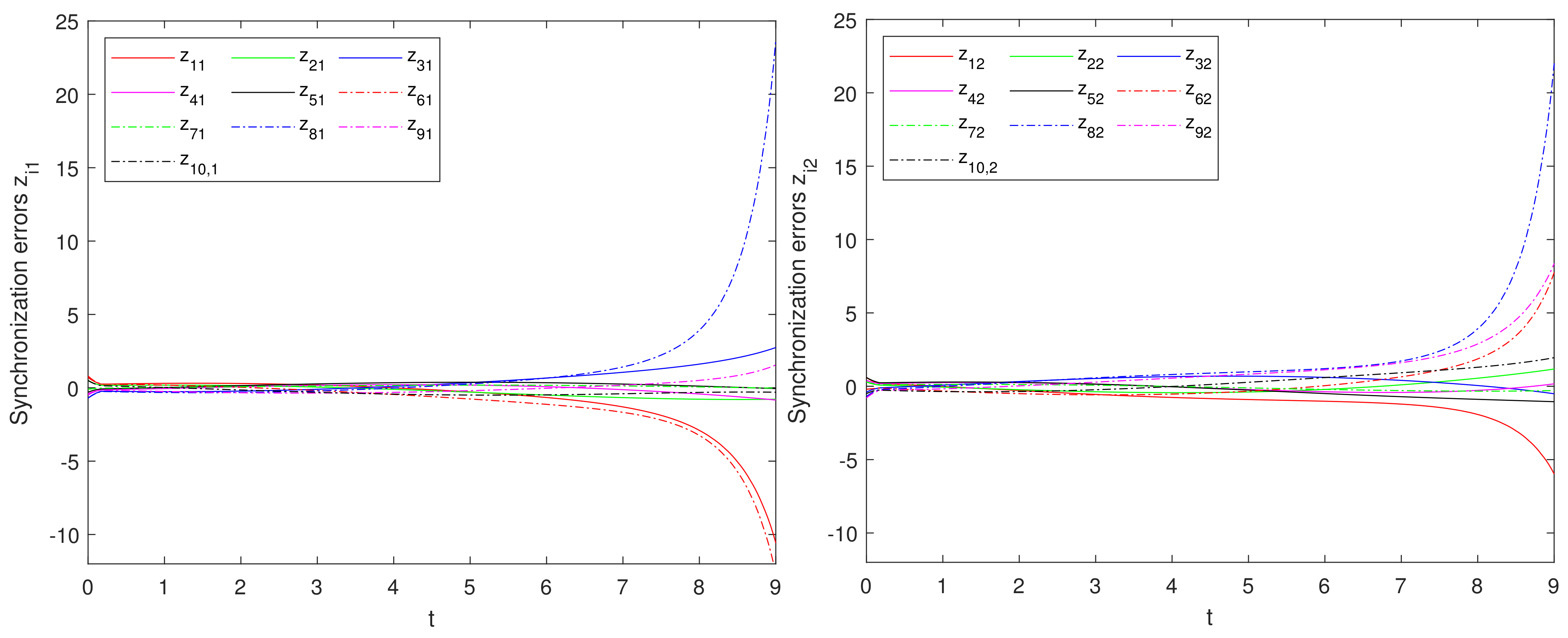
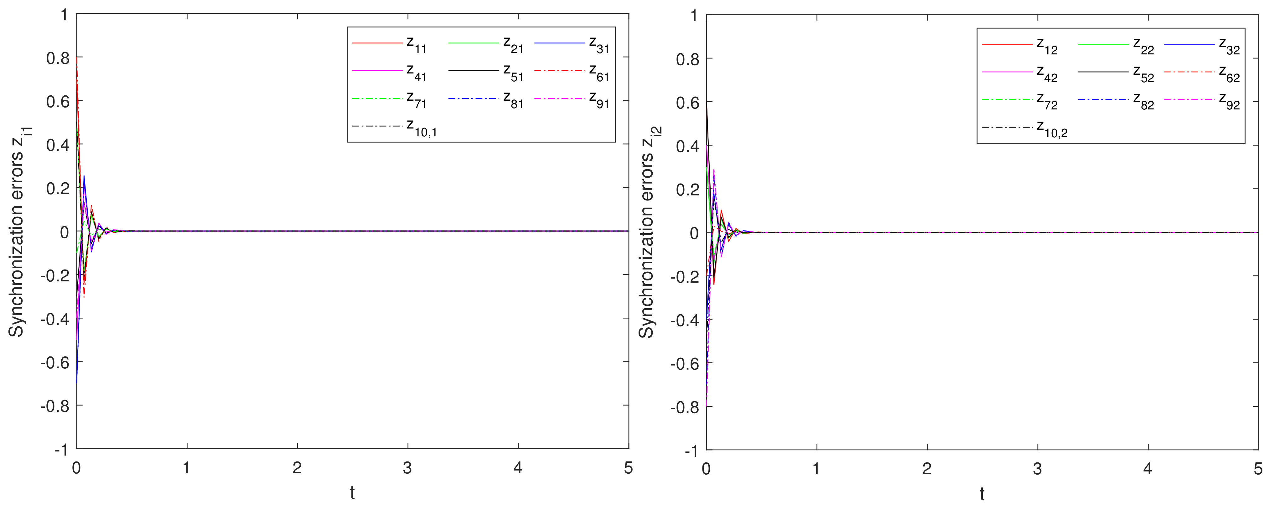
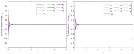
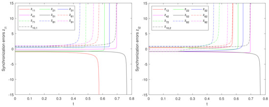
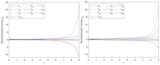
4. Examples and Simulations
5. Conclusions
Author Contributions
Funding
Data Availability Statement
Conflicts of Interest
References
- D’Ambra, J.; Wilson, C.S. Explaining perceived performance of the World Wide Web: Uncertainty and the task-technology fit model. Internet Res. 2004, 14, 294–310. [Google Scholar] [CrossRef]
- Zhou, Y.; Wang, J.; Huang, G.Q. Efficiency and robustness of weighted air transport networks. Transp. Res. Part E Logist. Transp. Rev. 2019, 122, 14–26. [Google Scholar] [CrossRef]
- Wang, Z.; Chen, G.; Liu, L.; Hill, D.J. Cascading risk assessment in power-communication interdependent networks. Phys. A Stat. Mech. Its Appl. 2020, 540, 120496. [Google Scholar] [CrossRef]
- Qian, Y.; Wang, B.; Xue, Y.; Zeng, J.; Wang, N. A simulation of the cascading failure of a complex network model by considering the characteristics of road traffic conditions. Nonlinear Dyn. 2015, 80, 413–420. [Google Scholar] [CrossRef]
- Wenli, F.; Zhigang, L.; Ping, H.; Shengwei, M. Cascading failure model in power grids using the complex network theory. IET Gener. Transm. Dis. 2016, 10, 3940–3949. [Google Scholar] [CrossRef]
- Silva, C.J.; Cantin, G. Synchronization and self-organization in complex networks for a tuberculosis model. Math. Comput. Sci. 2021, 15, 107–120. [Google Scholar] [CrossRef]
- Wan, P.; Zeng, Z. Synchronization of delayed complex networks on time scales via aperiodically intermittent control using matrix-based convex combination method. IEEE Trans. Neural Netw. Learn. Syst. 2021, 34, 2938–2950. [Google Scholar] [CrossRef] [PubMed]
- Zhou, Y.; Zeng, Z. Event-triggered impulsive quasisynchronization of coupled dynamical networks with proportional delay. IEEE Trans. Cybern. 2022, 53, 6479–6490. [Google Scholar] [CrossRef] [PubMed]
- Charakopoulos, A.; Karakasidis, T. Pattern identification for wind power forecasting via complex network and recurrence plot time series analysis. Energy Policy 2019, 133, 110934. [Google Scholar] [CrossRef]
- Wang, Q.; Cao, S.; Xiao, Y. Statistical characteristics of international conflict and cooperation network. Phys. A Stat. Mech. Its Appl. 2019, 535, 122334. [Google Scholar] [CrossRef]
- Gao, P.; Wang, Y.; Peng, Y.; Zhang, L.; Li, S. Tracking control of the nodes for the complex dynamical network with the auxiliary links dynamics. Inf. Sci. 2023, 628, 350–359. [Google Scholar] [CrossRef]
- Xie, T.; Xiong, X. Robustness Analysis of exponential synchronization in complex dynamic networks with deviating arguments and parameter uncertainties. Symmetry 2024, 16, 158. [Google Scholar] [CrossRef]
- Yu, W.; DeLellis, P.; Chen, G.; Di Bernardo, M.; Kurths, J. Distributed adaptive control of synchronization in complex networks. IEEE Trans. Autom. Control 2012, 57, 2153–2158. [Google Scholar] [CrossRef]
- Luo, M.; Liu, X.; Zhong, S.; Cheng, J. Synchronization of stochastic complex networks with discrete-time and distributed coupling delayed via hybrid nonlinear and impulsive control. Chaos Soliton Fract. 2018, 114, 381–393. [Google Scholar] [CrossRef]
- Lv, X.; Cao, J.; Li, X.; Abdel-Aty, M.; Al-Juboori, U.A. Synchronization analysis for complex dynamical networks with coupling delay via event-triggered delayed impulsive control. IEEE Trans. Cybern. 2020, 51, 5269–5278. [Google Scholar] [CrossRef] [PubMed]
- Zhao, L.H.; Wen, S.; Xu, M.; Shi, K.; Zhu, S.; Huang, T. PID control for output synchronization of multiple output coupled complex networks. IEEE Trans. Netw. Sci. Eng. 2022, 9, 1553–1566. [Google Scholar] [CrossRef]
- Lu, J.; Ho, D.W. Local and global synchronization in general complex dynamical networks with delay coupling. Chaos Soliton Fract. 2008, 37, 1497–1510. [Google Scholar] [CrossRef]
- Wang, J.L.; Wu, H.N. Local and global exponential output synchronization of complex delayed dynamical networks. Nonlinear Dyn. 2012, 67, 497–504. [Google Scholar] [CrossRef]
- Stout, J.; Whiteway, M.; Ott, E.; Girvan, M.; Antonsen, T.M. Local synchronization in complex networks of coupled oscillators. Chaos 2011, 21, 025109. [Google Scholar] [CrossRef]
- Wang, J.; Zhang, H.; Wang, Z.; Wang, B. Local exponential synchronization in complex dynamical networks with time-varying delay and hybrid coupling. Appl. Math. Comput. 2013, 225, 16–32. [Google Scholar] [CrossRef]
- Wang, J.; Zhang, H.; Wang, Z.; Liang, H. Local stochastic synchronization for Markovian neutral-type complex networks with partial information on transition probabilities. Neurocomputing 2015, 167, 474–487. [Google Scholar] [CrossRef]
- Luo, Y.; Deng, F.; Ling, Z.; Cheng, Z. Local H∞ synchronization of uncertain complex networks via non-fragile state feedback control. Math. Comput. Simul. 2019, 155, 335–346. [Google Scholar] [CrossRef]
- Zhao, Z.; Jian, J.; Wang, B. Global attracting sets for neutral-type BAM neural networks with time-varying and infinite distributed delays. Nonlinear Anal. Hybrid Syst. 2015, 15, 63–73. [Google Scholar] [CrossRef]
- Duan, L.; Jian, J.; Wang, B. Global exponential dissipativity of neutral-type BAM inertial neural networks with mixed time-varying delays. Neurocomputing 2020, 378, 399–412. [Google Scholar] [CrossRef]
- Xu, L.; Dai, Z.; Ge, S.S. Almost surely attractive sets of discrete-time Markov jump systems with stochastic disturbances via impulsive control. IET Control Theory Appl. 2019, 13, 78–86. [Google Scholar]
- Dai, Z.; Xu, L.; Ge, S.S. Attracting sets of discrete-time Markovian jump delay systems with stochastic disturbances via impulsive control. J. Franklin Inst. 2020, 357, 9781–9810. [Google Scholar]
- Chesi, G. Estimating the domain of attraction for uncertain polynomial systems. Automatica 2004, 40, 1981–1986. [Google Scholar] [CrossRef]
- Topcu, U.; Packard, A.K.; Seiler, P.; Balas, G.J. Robust region-of-attraction estimation. IEEE Trans. Autom. Control 2010, 55, 137–142. [Google Scholar] [CrossRef]
- Henrion, D.; Korda, M. Convex computation of the region of attraction of polynomial control systems. IEEE Trans. Autom. Control 2014, 59, 297–312. [Google Scholar]
- Melchor-Aguilar, D.; Niculescu, S.I. Estimates of the attraction region for a class of nonlinear time-delay systems. IMA J. Math. Control Inf. 2007, 24, 523–550. [Google Scholar]
- Gomez, M.A.; Egorov, A.V.; Mondié, S. Computation of the region of attraction for a class of nonlinear neutral type delay systems. IFAC-PapersOnLine 2017, 50, 11990–11995. [Google Scholar] [CrossRef]
- Alexandrova, I.V. On the robustness and estimation of the attraction region for a class of nonlinear time delay systems. Appl. Math. Lett. 2020, 106, 106374. [Google Scholar] [CrossRef]
- Villafuerte, R.; Mondié, S.; Niculescu, S.I. Stability analysis and estimate of the region of attraction of a human respiratory model. IMA J. Math. Control Inf. 2010, 27, 309–327. [Google Scholar] [CrossRef]
- Singh, M.; Mahia, R.N.; Fulwani, D.M. Towards characterization of driver nodes in complex network with actuator saturation. Neurocomputing 2016, 201, 104–111. [Google Scholar] [CrossRef]
- Mahia, R.N.; Singh, M.; Fulwani, D.M. Identification of optimal set of driver nodes in complex networked systems using region of attraction. Int. J. Control Autom. 2018, 16, 97–107. [Google Scholar] [CrossRef]
- Zou, M.; Guo, W. Analysing region of attraction of load balancing on complex network. J. Complex Netw. 2022, 10, 2551–2556. [Google Scholar] [CrossRef]
- Zhu, S.; Zhou, J.; Chen, G.; Lu, J.A. Estimating the region of attraction on a complex dynamical network. SIAM J. Control Optim. 2019, 57, 1189–1208. [Google Scholar] [CrossRef]
- Zhu, S.; Zhou, J.; Lu, J.A. Estimating the region of attraction on controlled complex networks with time-varying delay. IEEE Trans. Autom. Control 2023, 68, 516–523. [Google Scholar] [CrossRef]
- Liu, Y.; Wang, Z.; Liang, J.; Liu, X. Synchronization of coupled neutral-type neural networks with jumping-mode-dependent discrete and unbounded distributed delays. IEEE Trans. Cybern. 2012, 43, 102–114. [Google Scholar] [PubMed]
- Zhang, X.; Li, W.; Wang, K. The existence and global exponential stability of periodic solution for a neutral coupled system on networks with delays. Appl. Math. Comput. 2015, 264, 208–217. [Google Scholar] [CrossRef]
- Dai, A.; Zhou, W.; Xu, Y.; Xiao, C. Adaptive exponential synchronization in mean square for Markovian jumping neutral-type coupled neural networks with time-varying delays by pinning control. Neurocomputing 2016, 173, 809–818. [Google Scholar] [CrossRef]
- Wang, W.; Li, L.; Peng, H.; Wang, W.; Kurths, J.; Xiao, J.; Yang, Y. Anti-synchronization of coupled memristive neutral-type neural networks with mixed time-varying delays via randomly occurring control. Nonlinear Dyn. 2016, 83, 2143–2155. [Google Scholar] [CrossRef]
- Janković, S.; Randjelović, J.; Jovanović, M. Razumikhin-type exponential stability criteria of neutral stochastic functional differential equations. J. Math. Anal. Appl. 2009, 355, 811–820. [Google Scholar] [CrossRef]
- Zou, Z.; Song, Y.; Zhao, C. Razumikhin theorems on polynomial stability of neutral stochastic pantograph differential equations with Markovian switching. Mathematics 2022, 10, 3048. [Google Scholar] [CrossRef]
- Boyd, S.; El Ghaoui, L.; Feron, E.; Balakrishnan, V. Linear Matrix Inequalities in System and Control Theory; SIAM: Philadelphia, PA, USA, 1994. [Google Scholar]




Disclaimer/Publisher’s Note: The statements, opinions and data contained in all publications are solely those of the individual author(s) and contributor(s) and not of MDPI and/or the editor(s). MDPI and/or the editor(s) disclaim responsibility for any injury to people or property resulting from any ideas, methods, instructions or products referred to in the content. |
© 2024 by the authors. Licensee MDPI, Basel, Switzerland. This article is an open access article distributed under the terms and conditions of the Creative Commons Attribution (CC BY) license (https://creativecommons.org/licenses/by/4.0/).
Share and Cite
Yu, H.; Song, Y. Estimation of the Domain of Attraction on Controlled Nonlinear Neutral Complex Networks via Razumikhin Approach. Symmetry 2024, 16, 643. https://doi.org/10.3390/sym16060643
Yu H, Song Y. Estimation of the Domain of Attraction on Controlled Nonlinear Neutral Complex Networks via Razumikhin Approach. Symmetry. 2024; 16(6):643. https://doi.org/10.3390/sym16060643
Chicago/Turabian StyleYu, Hong, and Yinfang Song. 2024. "Estimation of the Domain of Attraction on Controlled Nonlinear Neutral Complex Networks via Razumikhin Approach" Symmetry 16, no. 6: 643. https://doi.org/10.3390/sym16060643
APA StyleYu, H., & Song, Y. (2024). Estimation of the Domain of Attraction on Controlled Nonlinear Neutral Complex Networks via Razumikhin Approach. Symmetry, 16(6), 643. https://doi.org/10.3390/sym16060643

