Next Article in Journal
Sedenion Algebra Model as an Extension of the Standard Model and Its Link to SU(5)
Previous Article in Journal
An Effective Method for the Evaluation of the Enantiomeric Purity of 1,2-Diacyl-sn-glycero-3-phosphocholine-Based Lipids by NMR Analysis
 
 
Font Type:
Arial Georgia Verdana
Font Size:
Aa Aa Aa
Line Spacing:
Column Width:
Background:
Article

Inference for Compound Exponential XLindley Model with Applications to Lifetime Data

by
Fatimah M. Alghamdi
1,
Mohammed Amine Meraou
2,*,
Hassan M. Aljohani
3,
Amani Alrumayh
4,
Fathy H. Riad
5,
Sara Mohamed Ahmed Alsheikh
6 and
Meshayil M. Alsolmi
7
1
Department of Mathematical Sciences, College of Science, Princess Nourah bint Abdulrahman University, P.O. Box 84428, Riyadh 11671, Saudi Arabia
2
Laboratory of Statistics and Stochastic Processes, University of Djillali Liabes, BP 89, Sidi Bel, Abbes 22000, Algeria
3
Department of Mathematics and Statistics, College of Science, Taif University, P.O. Box 11099, Taif 21944, Saudi Arabia
4
Department of Mathematics, College of Science, Northern Border University, P.O. Box 73312, Arar 73213, Saudi Arabia
5
Mathematics Department, College of Science, Jouf University, P.O. Box 2014, Sakaka 72388, Saudi Arabia
6
Department of Statistics, Faculty of Science, University of Tabuk, P.O. Box 71491, Tabuk 47512, Saudi Arabia
7
Department of Mathematics, College of Science and Arts at Khulis, University of Jeddah, Jeddah 22233, Saudi Arabia
*
Author to whom correspondence should be addressed.
Symmetry 2024, 16(5), 625; https://doi.org/10.3390/sym16050625
Submission received: 9 April 2024 / Revised: 4 May 2024 / Accepted: 13 May 2024 / Published: 17 May 2024
(This article belongs to the Section Mathematics)

Abstract

The creating of novel models essentially stems from the requirement to appropriate describe survival cases. In this study, a novel lifetime model with two parameters is proposed and studied for modeling more types of data used in different study cases, including symmetric, asymmetric, skewed, and complex datasets. The proposed model is obtained by compounding the exponential and XLindley distributions, and it is regarded as a strong competitor for the widely applied symmetrical and non-symmetrical models. Several characteristics and statistical properties are investigated. The unknown parameters of the recommended model for the complete sample are estimated using two estimation methods; notably, maximum likelihood estimation and Bayes techniques based on several loss functions as well as an approximate tool are used to construct the confidence intervals for the unknown parameters of the suggested model. The estimation procedures are compared using a Monte Carlo simulation experiment to demonstrate their effectiveness. In the end, the applicability and flexibility of the recommended model are conducted using two real lifetime datasets. In our illustration, we compare the practicality of the recommended model with several well-known competing distributions.

1. Introduction

Lifetime models are common statistical procedures which used in fitting and modeling survival events for numerous descriptions of lifetime datasets, particularly engineering and survival sciences. For fitting several kinds of data, many multi-parameter distributions are considered in the statistical literature in the statistical literature. In the last decades, various generated families of lifetime distributions have been introduced to model many datasets. However, a classical distribution is not appropriate to fit such sophisticated data. For this reason, the authors are motivated to obtain a novel extension of the existing distributions using numerous techniques, including adding new parameters by generalizing the distribution or mixing two or more classical distributions. These new statistical models provide greater flexibility in modeling for various applications such as engineering, biomedicine, actuarial science, medicine, insurance, and environmental fields. In this context, Chouia and Zeghdoudi [1] introduced a new extension of Lindley distribution named the XLindley (XL) model. It is one way to describe the lifetime of a process or device, and it can be applied in several areas of study, such as medical science, lifetime, insurance, and hydrology. It can be considered a more efficient model than symmetrical models, notably normal distribution. A random variable (RV) Y 1 is said to have XL distribution if its probability density function (pdf) and survival function (sf) can be expressed, respectively, as follows:
g ( y 1 ) = θ 2 e θ y 1 ( θ + y 1 + 2 ) ( θ + 1 ) 2 , y 1 > 0 , θ > 0 ,
and
S 1 ( y 1 ) = θ y 1 ( θ + 1 ) 2 + 1 e θ y 1 .
In the last few decades, several researchers have given special attention to the XL distribution due to its importance in fitting skewed, asymmetric, complex, and lifetime datasets. For example, Fatima et al. [2] provided certain properties of the Poisson Quasi XLindley distribution, and they demonstrated that it is more efficient and works better in analyzing lifetime datasets than other well-known models. Beghriche et al. [3] proposed the inverse XLindley model by applying the inverse method, which is more appropriate in modeling mortality studies. The exponentiated XLindley model was defined by Alomair et al. [4], who established numerous mathematical properties concerning the new distribution. A new flexible generalized XLindley model was considered by Musekwa et al. [5]. Gemeay et al. [6] established the modified XLindley distribution and investigated various tools for estimating the parameters.
In the context of distribution theory, the compound method is one of the most popular choices for fitting several types of datasets, such as skewed and lifetime data. It has been used in numerous domains of studies including economic, biology, actuarial, and environmental (see Abdelghani et al. [7], Meraou et al. [8,9,10,11], and Jafari and Tahmasebi [10]). The compound distributions are defined as the minimum or maximum of M independent and identically distributed (i.i.d) RVs. Several authors applied this technique in their works, for example, one may refer to Mahmoudi and Jafari [12] who introduced generalized exponential–power series models by compounding generalized exponential and power series distributions. The inverted Nadarajah–Haghighi power series distributions are considered by Ahsan-ul-Haq et al. [13]. In the same way, the exponential Poisson model was introduced by Cancho et al. [14], and Yousef et al. [15] defined the unit Gompertz power series distribution and estimated the model parameter using the ranked set sampling method. It is worth motioning that the exponential (Exp) model has received considerable attention in the literature. It is efficiency in analyzing engineering, finance, and climatology phenomena. Further, The Exp model can be extensively implemented to fit the failure times of components and systems. Numerous authors applied the Exp model in numerous applications. A RV Y 2 follows the Exp distribution if its pdf and sf can be formulated by
h ( y 2 ) = β e β y 2 , y 2 > 0 , β > 0 ,
and
S 2 ( y 2 ) = e β y 2 .
Despite these advancements, when there are different kinds of datasets in survival and lifetime, many existing methods lack flexibility and may not provide the best fit. To overcome this challenge, we defined a novel distribution named the Compound Exponential XLindley (CEXL) model, and it can be used in different areas including lifetime and engineering fields. This proposed model has two parameters and is obtained by compounding the Exp and XL distributions. Let us consider the RVs Y 1 and Y 2 that are i.i.d, and assume that X = min ( Y 1 , Y 2 ) . The sf of the random variable of X is
S ( x ) = S 1 ( x ) S 2 ( x )
Additionally, another objective of this study is to explore estimating the CEXL model parameters using two traditional estimation methods, such as maximum likelihood estimation, and Bayesian methods under the square error loss function. For more information about lifetime analysis and Bayesian inference, one may cite the works of Xu et al. [16], Xu et al. [17], Wang et al. [18], Muqrin [19], and Wu and Gui [20]. Also, we construct the confidence intervals for model parameters using the approximate of the MLE method.
The remaining part of the current study is structured as given: The suggested compound model is developed and studied in Section 2. The underlying characteristics of the CEXL distribution such as k-th moment, moment generating function, distribution of order statistics, and certain entropy measures are investigated in Section 3. In Section 4, we provide two estimation procedures for estimating the model parameters. We conduct some numerical simulation experiments in Section 5 to observe the effectiveness of the proposed MLE and Bayes methods. Finally, in Section 6, two lifetime datasets are analyzed for validation purposes. Finally concluding remarking has been obtained for this study In Section 7.

2. Compound Exponential XLindley Model

A continuous RV X is said to follow the proposed CEXL model with parameters θ and β if its cumulative distribution function (cdf) and pdf are expressed, respectively, as follows:
F ( x ) = 1 θ x ( θ + 1 ) 2 + 1 e ( θ + β ) x , x > 0 , θ , β > 0 ,
and
f ( x ) = 1 ( θ + 1 ) 2 θ ( θ + β ) x + ( θ + 1 ) 2 ( θ + β ) θ e ( θ + β ) x .
From now on, we assume that X CEXL ( θ , β ) .
It is evident that the proposed CEXL model contains a sub model as a special case. If θ tends to be 0, the recommended CEXL reduces to an Exp distribution; when β approaches 0, we have an XL distribution. Figure 1 demonstrates the graphs for the pdf of the proposed model given in Equation (3) using several parameters recors. It is highly positively skewed and uni-modal as well, as it is good for modeling skewed datasets.
Henceforth, the sf and hazard rate function (hrf) of the RV X are
S ( x ) = θ x ( θ + 1 ) 2 + 1 e ( θ + β ) x ,
and
h ( x ) = 1 ( θ + 1 ) 2 θ x ( θ + 1 ) 2 + 1 1 θ ( θ + β ) x + ( θ + 1 ) 2 ( θ + β ) θ .
From the hrf of the CEXL model, h ( 0 ) = θ + β θ ( θ + 1 ) 2 and h ( ) = 0 . The graphs for the hrf of the proposed model given in Equation (4) are demonstrated in Figure 2 for different parameter values of θ and β . Clearly, for all parameter values of θ and β , our CEXL distribution has a decreasing hrf, which confirms the flexibility of the recommended model.
Similarly, the cumulative hazard rate function H ( x ) and inverse hazard rate function R ( x ) of the RV X are
H ( x ) = ( θ + β ) x log θ x ( θ + 1 ) 2 + 1 ,
and
R ( x ) = 1 ( θ + 1 ) 2 θ ( θ + β ) x + ( θ + 1 ) 2 ( θ + β ) θ e ( θ + β ) x 1 θ x ( θ + 1 ) 2 + 1 e ( θ + β ) x .
The Odds function of the proposed CEXL model can be defined as the ratio of the cdf and sf. It verifies the non-monotone hrf and can be written as
O ( x ) = ( 1 + θ ) 2 ( θ x + ( 1 + θ ) 2 ) e ( θ + β ) x ( θ x + ( 1 + θ ) 2 ) e ( θ + β ) x .

3. The Characteristics of the CEXL Model

This section introduces several statistical properties of the proposed CEXL model—notably, the k-th moment, mean, variance, moment generating function, characteristic function, distribution of order statistics, and some entropy measures—because of its importance in distribution theory.

3.1. Moments with Related Measures

Let the RV X have the CEXL model. The proposed expression k-th moment of X is given below:
μ k = θ Γ ( k + 2 ) ( θ + 1 ) 2 ( θ + β ) k + 1 + Γ ( k + 1 ) ( θ + β ) k θ Γ ( k + 1 ) ( θ + 1 ) 2 ( θ + β ) k + 1 ,
where Γ ( n ) = ( n 1 ) ! for n = 1 , 2 ; .
Proof. 
The expression of k moment of X can be defined as
μ k = 0 x k f ( x ) d x = 1 ( θ + 1 ) 2 0 x k θ ( θ + β ) x + ( θ + 1 ) 2 ( θ + β ) θ e ( θ + β ) x d x = 1 ( θ + 1 ) 2 θ ( θ + β ) 0 x k + 1 e ( θ + β ) x d x + ( θ + 1 ) 2 ( θ + β ) 0 x k e ( θ + β ) x d x θ 0 x k e ( θ + β ) x d x = 1 ( θ + 1 ) 2 θ ( θ + β ) Γ ( k + 2 ) ( θ + β ) k + 2 + ( θ + 1 ) 2 ( θ + β ) Γ ( k + 1 ) ( θ + β ) k + 1 θ Γ ( k + 1 ) ( θ + β ) k + 1 = θ Γ ( k + 2 ) ( θ + 1 ) 2 ( θ + β ) k + 1 + Γ ( k + 1 ) ( θ + β ) k θ Γ ( k + 1 ) ( θ + 1 ) 2 ( θ + β ) k + 1 .
Henceforth, the first and second moment of X come out to be
μ 1 = 1 θ + β 1 + θ ( θ + 1 ) 2 ( θ + β ) ,
and
μ 2 = 2 ( θ + β ) 2 1 + 2 θ ( θ + 1 ) 2 ( θ + β ) .
The variance and coefficient of variation (CV) of X are
V ( X ) = 1 ( θ + β ) 2 2 + 4 θ ( θ + 1 ) 2 ( θ + β ) 1 + θ ( θ + 1 ) 2 ( θ + β ) 2 ,
and
C V = 2 + 4 θ ( θ + 1 ) 2 ( θ + β ) 1 + θ ( θ + 1 ) 2 ( θ + β ) 2 1 / 2 1 + θ ( θ + 1 ) 2 ( θ + β ) .
At the end, the coefficients for skewness ( S ) and the kurtosis ( K ) of the RV X are
S = μ 3 3 μ 2 + 2 μ 1 3 ( μ 2 μ 1 2 ) 3 / 2 ,
and
K = μ 4 4 μ 3 + 6 μ 1 2 μ 2 3 μ 1 4 ( μ 2 μ 1 2 ) 2 .
Now, the moment generating function (mgf) and characteristic function (cf) of X are given, respectively, below:
M ( t ) = 0 e t x f ( x ) d x = m = 0 t m m ! θ Γ ( k + 2 ) ( θ + 1 ) 2 ( θ + β ) k + 1 + Γ ( k + 1 ) ( θ + β ) k θ Γ ( k + 1 ) ( θ + 1 ) 2 ( θ + β ) k + 1 ,
and
ϕ i ( t ) = 0 e i t x f ( x ) d x = i = 0 ( i t ) m m ! θ Γ ( k + 2 ) ( θ + 1 ) 2 ( θ + β ) k + 1 + Γ ( k + 1 ) ( θ + β ) k θ Γ ( k + 1 ) ( θ + 1 ) 2 ( θ + β ) k + 1 .
The numerical results of numerous statistical measures, as discussed previously, of the proposed CEXL model using specific parameter values are summarized in Table 1. From these values, it can be deduced that our CEXL distribution is more efficient for explaining more datasets.

3.2. Order Statistics

We draw a random sample of size n  X 1 , X 2 , , X n from the CEXL model and X ( 1 ) , X ( 2 ) , , X ( n ) represent its order statistics. The pdf of the j-th order statistic X ( j ) is expressed as follows:
(6) d ( j ) ( x ) = n ! ( j 1 ) ! ( n j ) ! f ( x ) [ F ( x ) ] j 1 [ 1 F ( x ) ] n j (7) = n ! ( j 1 ) ! ( n j ) ! ( 1 + θ ) 2 ) θ ( θ + β ) x + ( θ + 1 ) 2 ( θ + β ) θ e ( θ + β ) x (8) × 1 θ x ( θ + 1 ) 2 + 1 e ( θ + β ) x j 1 θ x ( θ + 1 ) 2 + 1 e ( θ + β ) x n j .
The associated cdf of X ( j ) is
D ( j ) ( x ) = i = j n F i ( x ) [ 1 F ( z ) ] n i = i = j n k = 0 n i n i n i k ( 1 ) i F k + i ( x ) = i = j n k = 0 n i n i n i k ( 1 ) i 1 θ x ( θ + 1 ) 2 + 1 e ( θ + β ) x k + i .
From Equation (6), the probability distribution of maximum X ( n ) = max { x 1 , x 2 , , x n } and minimum X ( 1 ) = min { x 1 , x 2 , , x n } are obtained by setting j = n and j = 1 , respectively, and they are given as
d ( n ) ( x ) = n ( 1 + θ ) 2 ) θ ( θ + β ) x + ( θ + 1 ) 2 ( θ + β ) θ e ( θ + β ) x × 1 θ x ( θ + 1 ) 2 + 1 e ( θ + β ) x n 1 ,
and
d ( 1 ) ( x ) = n ( 1 + θ ) 2 ) θ ( θ + β ) x + ( θ + 1 ) 2 ( θ + β ) θ e ( θ + β ) x × θ x ( θ + 1 ) 2 + 1 e ( θ + β ) x n 1 .

3.3. Information Measure of the CEXL Model

Here, we discuss several entropy’s such as Rényi, Shannon, Havrda and Charvat, Tsallis, Arimoto, and Mathai–Haubold. The proposed entropy measures have a key role in information amounts.
In information theory, Renyi entropy [21] φ 1 ( γ ) is an important measure, and it is defined as
φ 1 ( γ ) = 1 1 γ log 0 f γ ( x ) d x γ 1 , γ > 0 . = 1 1 γ log 0 1 ( θ + 1 ) 2 θ ( θ + β ) x + ( θ + 1 ) 2 ( θ + β ) θ e ( θ + β ) x γ d x = 1 1 γ log 1 ( θ + 1 ) 2 γ Ψ γ , θ , β ( x ) ,
with Ψ γ , θ , β ( x ) = 0 θ ( θ + β ) x + ( θ + 1 ) 2 ( θ + β ) θ γ e γ ( θ + β ) x d x .
Shannon’s entropy [22] φ 2 is defined as
φ 2 = E log f ( x ) = E log 1 ( θ + 1 ) 2 θ ( θ + β ) x + ( θ + 1 ) 2 ( θ + β ) θ e ( θ + β ) x = 2 log θ + 1 E log [ θ ( θ + β ) x + ( θ + 1 ) 2 ( θ + β ) θ ] + E ( θ + β ) x
Further, another uncertainty information measure is Havrda and Charvat entropy [23], φ 3 ( γ ) , and it is expressed as
φ 3 ( γ ) = 1 2 1 γ 1 0 ( f γ ( x ) d x ) 1 / γ 1 γ 1 , γ > 0 . = 1 2 1 γ 1 1 ( θ + 1 ) 2 Δ γ , θ , β ( x ) 1 ,
with Δ γ , θ , β ( x ) = 0 θ ( θ + β ) x + ( θ + 1 ) 2 ( θ + β ) θ γ e γ ( θ + β ) x d x 1 γ .
Using the proposed distribution, the Tsallis entropy [24] φ 4 ( γ ) is defined as
φ 4 ( γ ) = 1 1 γ 1 0 f γ ( x ) d x γ 1 , γ > 0 . = 1 1 γ 1 1 ( θ + 1 ) 2 γ Ψ γ , θ , β ( x ) .
Next, we consider the Arimoto entropy [25] φ 5 ( γ ) of the recommended model, which is
φ 5 ( γ ) = γ γ 1 0 ( f γ ( x ) d x ) 1 / γ 1 γ 1 , γ > 0 . = γ γ 1 1 ( θ + 1 ) 2 Δ γ , θ , β ( x ) 1 .
Finally, a new extension entropy measure named the Mathai–Haubold entropy [26] φ 6 ( γ ) is provided in this subsection. It is written as
φ 6 ( γ ) = 1 γ 1 0 f 2 γ ( x ) d x 1 γ 1 , γ > 0 . = 1 γ 1 0 1 ( θ + 1 ) 2 θ ( θ + β ) x + ( θ + 1 ) 2 ( θ + β ) θ e ( θ + β ) x d x 2 γ 1 = 1 γ 1 1 ( θ + 1 ) 2 ( 2 γ ) Φ γ , θ , β ( x ) 1 ,
with Φ γ , θ , β ( x ) = 0 θ ( θ + β ) x + ( θ + 1 ) 2 ( θ + β ) θ e ( θ + β ) x d x 2 γ .
Table 2 and Table 3 report certain numerical values of the proposed entropy measures of the CEXL distribution by applying numerous parameter values of θ and β . Also, the 3D curves of these measures are sketched in Figure 3 and Figure 4.

4. Statistical Inference of CEXL Model

In this part of the work, we provide statistical inference for complete samples of our CEXL model. In the complete sample, we discuss two estimation processes and also construct the confidence intervals for the model parameters.

4.1. Estimation Based on Maximum Likelihood Method

Let us assume that { x 1 , , x n } is a random sample from the proposed model with parameters θ and β . The corresponding log-likelihood function LL ( η ) is
LL ( η ) = n 2 n log ( θ + 1 ) ( θ + β ) i = 1 n x i + i = 1 n log θ ( θ + 1 ) 2 x i + ( θ + 1 ) 2 ( θ + β ) θ ,
where η = ( θ , β ) . With respect to θ and β , the non linear equations are describes as follows
LL ( η ) θ = 2 n θ + 1 i = 1 n x i + i = 1 n x i [ 2 θ ( θ + 1 ) + ( θ + 1 ) 2 ] + 2 ( θ + 1 ) ( θ + β ) + ( θ + 1 ) 2 1 θ ( θ + 1 ) 2 x i + ( θ + 1 ) 2 ( θ + β ) θ ,
and
LL ( η ) β = i = 1 n x i + i = 1 n ( θ + 1 ) 2 θ ( θ + 1 ) 2 x i + ( θ + 1 ) 2 ( θ + β ) θ .
By solving Equation (10), we can obtain a closed form of the MLE of β , β ^ , which ensures that it exists and it is unique. It can be written as
β ^ = 1 n ( θ + 1 ) 2 1 ( θ + 1 ) 2 i = 1 n x i θ ( θ + 1 ) i = 1 n x i n θ θ .
Now, for θ , it is simple to prove that the MLE of θ , θ ^ , can be found as a fixed point solution of the equation
f ( θ ) = θ ,
with
f ( θ ) = i = 1 n x i 2 n θ ( θ + 1 ) 2 x i + ( θ + 1 ) 2 ( θ + β ) θ x i [ 2 θ ( θ + 1 ) + ( θ + 1 ) 2 ] + 2 ( θ + 1 ) ( θ + β ) + ( θ + 1 ) 2 1 1 i = 1 n x i 1 .
We used the R software to apply the fixed point procedure at j stage to solve Equation (12). From the above equation, it is clear that lim θ 0 f ( θ ) = 0 and lim θ f ( θ ) = c , where c = 1 i = 1 n x i 1 < 0 , and since f ( θ ) < 0 we can conclude that the function f ( θ ) is monotonically decreasing for 0 < θ < . Consequently, final estimate of θ exists and it is unique.
Now, for constructing the confidence intervals (CIs) of the parameters, we use the asymptotic distribution of MLE of η . Precisely,
η ^ η D N 2 ( 0 , F 1 ( η ) ) ,
where η ^ is the MLE of η and F 1 ( η ) is the inverse of the observed information matrix of η , which has a size of 2 by 2, and it is presented as
F 1 ( η ) = 2 LL ( η ) θ 2 2 LL ( η ) θ β 2 LL ( η ) β θ 2 LL ( η ) β 2
Finally, with η 1 = θ and η 2 = β , the lower confidence limit (LCL) and upper confidence limit (UCL) of ( 1 α ) % CI of Σ k are
LCB = η ^ i t α / 2 F 1 ( η ^ i ) , i = 1 , 2 ,
and
UCB = η ^ i + t α / 2 F 1 ( η ^ i ) , i = 1 , 2 ,
where t α / 2 is the upper α / 2 quantile of the standard normal distribution, N ( 0 , 1 ) .

4.2. Bayes Procedure

In statistical inference, the Bayesian approach denotes a non-classical method of estimation. It consists of considering it as a random variable that is estimated on the basis of information coming from the sample and taking into account the opinion of the experts, summarized by a law called the a priori law. The choice of the prior distribution is crucial for Bayesian analysis because it directly affects the posterior distributions. Schematically, we can highlight two modes of thinking. The first is subjective and considers that the prior distribution reflects knowledge resulting from professional experiences and reasonable intuitions before observing the data. This information is expressed by a so-called informative law. The second way of thinking is more objective. It is used when there is little information. It is then a question of being able to remain Bayesian in the absence of a priori information. Therefore, we are looking for non-informative prior distributions expressing a priori ignorance but treating the parameters as random.
Let us consider θ and β as random variables following the gamma distribution with parameters α 1 , β 1 , α 2 , and β 2 .
π 1 ( θ ) = β 1 α 1 Γ ( α 1 ) θ α 1 1 e β 1 θ , θ , α 1 , β 1 > 0 ,
and
π 2 ( β ) = β 2 α 2 Γ ( α 2 ) β α 2 1 e β 2 β , β , α 2 , β 2 > 0 .
The joint density of η = ( θ , β ) will be
π ( η ) = π 1 ( θ ) π 2 ( β ) θ α 1 1 β α 2 1 e β 1 θ β 2 β .
Then, the posterior distribution will be
π ( η x ) = i = 1 n f ( x i ) π ( η ) = θ α 1 1 β α 2 1 e β 1 θ β 2 β ( θ + 1 ) 2 n i = 1 n θ ( θ + β ) x i + ( θ + 1 ) 2 ( θ + β ) θ e ( θ + β ) x i .
The Bayes estimator under square error (SE) loss function D = ( η η ^ ) 2 would result as follows:
D ^ S E = η D π ( η x ) d η .
The Bayes estimator under linear exponential (LI) loss function D = exp ( d ( η η ^ ) ) ( η η ^ ) would result as follows:
D ^ L I = 1 d log η e d D π ( η x ) d η .
Based on the general entropy (GE) loss function D = η ^ η d d log η ^ η 1 , the Bayes estimator would result as follows:
D ^ G E = η D d π ( η x ) d η 1 / d .
The integral in Equations (13)–(15) does not have an explicit form. For this, we applied MCMC technique to achieve an approach for this integral.

5. Simulation Study

Here, several simulation studies are conducted to demonstrate the effectiveness of the recommended estimators (MLE and Bayes estimations) for the recommended CEXL distribution. Recall that all computations are computed using R software.
We use the parameter values (Case 1 = (0.6, 1.2), Case 2 = (0.5, 1.1), and Case 3 = (0.75, 1.3)), and associated the sample sizes n = 25 , 50 , 75 , 100 with 1000. For each case and under 1000 replications of the process, we draw a random sample from our CEXL model by applying the following steps of generation:
  • We independently generate random samples v 1 and v 2 from the U(0,1) distribution;
  • Compute y 1 = F 1 1 ( v 1 ) , where F 1 denotes the cdf of exponential distribution;
  • Compute y 2 = F 2 1 ( v 2 ) , where F 2 denotes the cdf of XLindley distribution;
  • Obtain a random sample from the proposed CEXL model as X = min ( y 1 , y 2 ) .
Henceforth, we compute the average estimate (AVEs) with its associated mean square errors (MSEs) of the unknown parameters θ and β using the two procedures listed as MLE and Bayesian under several loss function methods. The results are displayed in Table 4, Table 5 and Table 6.
Finally, we calculate the 95% simulated CIs for the model parameters with its average lengths (ALs) and coverage probabilities (CPs). Table 7, Table 8 and Table 9 reported the obtained results.

Concluding Remarks on Simulation

  • For the two proposed estimation techniques, as we grow n, the MSEs diminish in all cases.
  • The MLE and Bayes estimators are consistent and asymptotically unbiased.
  • With considering the MSEs as an optimally criteria, we find that the Bayes estimator based on the SE loss function is the best method of estimation over the MLE.
  • The ALs tend to decrease as n increases in the two suggested estimation methods.
  • For comparing the CIs with considering the AL as an optimally criteria, we find that the CIs constructed based on the Bayes methods are more appropriate than the MLEs.
  • The Bayes estimator usually lies below the nominal level of 95% and is more efficient than the one based on MLE.

6. Real Data Analysis

This section demonstrate the adaptability of our CEXL model using two real datasets for checking the effectiveness and performance among several well-known distributions.
The first dataset consists of the remission times of bladder cancer patients, and it was previously studied by Abouelmagd et al. [27] and Cordeiro et al. [28]. The observation of datasets is written in Table 10.
The second dataset represents the waiting time (in minutes) of 100 bank customers. The considered data were studied originally by Ghitany et al. [29] and also provided by Bhati et al. [30]. The values of the dataset are reported in Table 11.
The summary statistics for the proposed datasets with the kernel density, TTT, and box plots are displayed, respectively, in Table 12 and Figure 5.
The Inverse Weibull (IW), Nadarajah Haghighi (NH), Alpha power transformed exponential (APTE), Zero truncated Poisson exponential (ZTPE), Zero truncated Poisson Lindley (ZTPL), EXP, and XL distributions are used to compare with our recommended CEXL model. The cdfs of the recommended model can be, respectively, expressed as follows:
  • IW:
    F ( x ) = e θ x β , x ; β , θ > 0 ,
  • NH:
    F ( x ) = 1 e 1 ( 1 + β x ) θ , x > 0 , θ , β > 0 .
  • APTE:
    F ( x ) = β 1 e θ x 1 β 1 ; x > 0 , β 1 β , θ > 0 .
  • ZTPE:
    F ( x ) = e β ( 1 e θ x ) 1 e β 1 ; x > 0 , β , θ > 0 .
  • ZTPL:
    F ( x ) = e β e θ x 1 + θ + θ x 1 + θ 1 e β 1 ; x > 0 , β , θ > 0 .
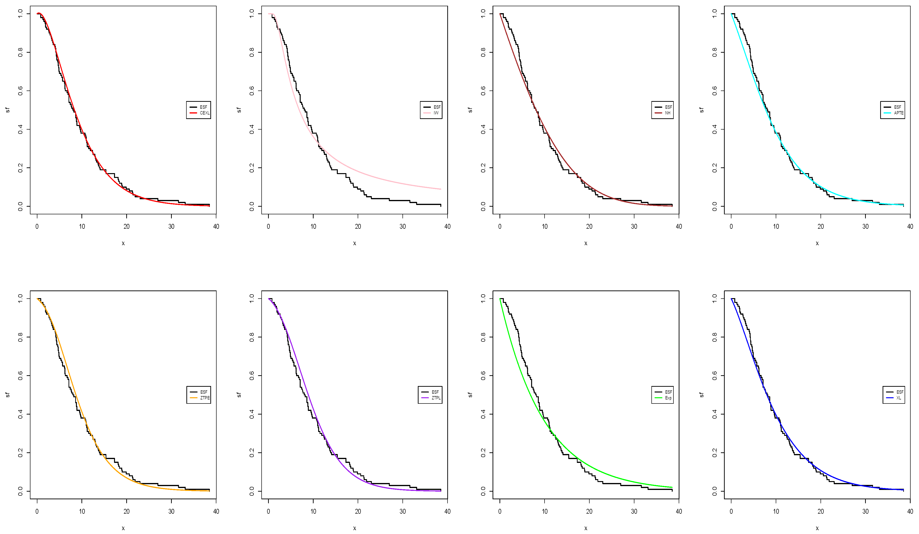
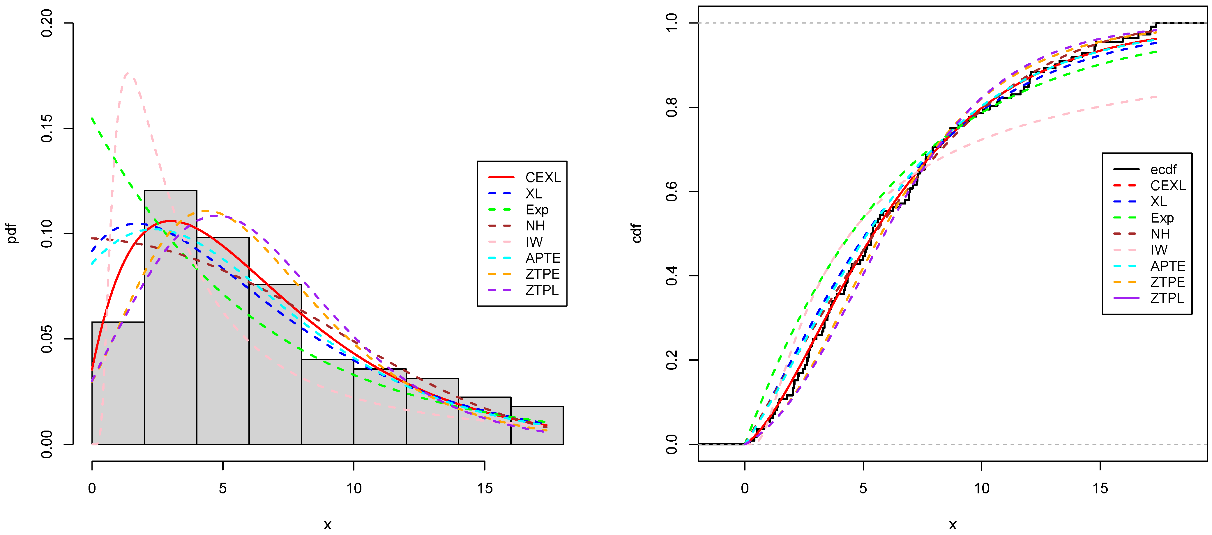
Table 13 summarizes the result of the estimation of the unknown parameters for our CEXL model and other selected distributions using the MLE tool. In order to select more adequate model for modelling the two datasets, we compute some statistic measures, notably, Akaike information criterion ( A ), Bayesian information criterion ( B ), and Kolmogorov–Smirnov (KS) with its associated p-values. Also, Table 13 displays these results. The values of A , B , and KS for our proposed CEXL model are smaller in comparison to the existing well-known distributions, which implies that our CEXL model is best fitting model for analyzing the two datasets than the other fitted distributions. Figure 6, Figure 7, Figure 8 and Figure 9, respectively, represent the estimated pdf, cdf, and sf for the two datasets using our and the fitting models. These figures also highlight that the CEXL model performed better than the competing models.
Next, we consider the two proposed datasets employing the Bayesian estimation under all suggested loss functions. The obtained results are presented in Table 14.

7. Conclusions

This study introduces a new lifetime model with two parameters obtained by compounding the exponential and XLindley distributions. Numerous distributional and statistical properties are established. Moreover, the estimation of model parameters is considered by applying two estimation techniques, and for simulation analysis, we perform several experiments for examining the potential of the proposed estimation techniques. It is demonstrated that Bayes under the square error loss function has great efficiency in estimating the unknown parameters among the MLE, LI, and GE methods. Finally, for validation purposes, two real lifetime datasets are applied, and it is shown that our CEXL distribution is the best fitting model compared among other famous competing distributions. For future researches, we may apply several censored samples for estimating the unknown parameters of the CEXL distribution. Also, it is better that to applied this new model environmental and engineering fields.

Author Contributions

Methodology, A.A. and M.M.A.; software, M.A.M.; validation, M.A.M. and F.H.R.; formal analysis, H.M.A., A.A. and F.H.R.; investigation, H.M.A.; writing—original draft preparation, F.M.A. and S.M.A.A. All authors have read and agreed to the published version of the manuscript.

Funding

Princess Nourah bint Abdulrahman University Researchers Supporting Project number (PNURSP2024R735), Princess Nourah bint Abdulrahman University, Riyadh, Saudi Arabia.

Data Availability Statement

All data exists in the paper with related references.

Acknowledgments

Princess Nourah bint Abdulrahman University Researchers Supporting Project number (PNURSP2024R735), Princess Nourah bint Abdulrahman University, Riyadh, Saudi Arabia.

Conflicts of Interest

There is no conflict of interest regarding this paper.

References

  1. Chouia, S.; Zeghdoudi, H. The xlindley distribution: Properties and application. J. Stat. Appl. 2021, 20, 318–327. [Google Scholar] [CrossRef]
  2. Fatimah, M.A.; Muhammad, A.H.; Muhammad, N.S.; Hussain, E.H.; Ehab, M.A.; Hassan, M.A.; Manahil, S.M.; Etaf, A.; Yusuf, M. Discrete Poisson Quasi-XLindley distribution with mathematical properties, regression model, and data analysis. J. Radiat. Res. Appl. Sci. 2024, 17, 100874. [Google Scholar] [CrossRef]
  3. Beghriche, A.; Yusra, A.T.; Bakr, E.M.; Zeghdoudi, H.; Gemeay, A.M.; Moyazzem, H.; Hassan, A.M. The Inverse XLindley Distribution: Properties and Application. IEEE Access 2023, 11, 47272–47281. [Google Scholar] [CrossRef]
  4. Alomair, A.M.; Mukhtar, A.; Saadia, T.; Muhammad, A.; Junaid, T. An exponentiated XLindley distribution with properties, inference and applications. Heliyon 2024, 10, e25472. [Google Scholar] [CrossRef]
  5. Musekwa, R.; Makubate, B. A flexible generalized XLindley distribution with application to engineering. Sci. Afr. 2024, 24, e02192. [Google Scholar] [CrossRef]
  6. Gemeay, A.M.; Beghriche, A.; Sapkota, L.P.; Zeghdoudi, H.; Makumi, N.; Bakr, M.E.; Balogun, O.S. Modified XLindley distribution: Properties, estimation, and applications. AIP Adv. 2023, 13, 095021. [Google Scholar] [CrossRef]
  7. Abdelghani, R.J.; Meraou, M.A.; Raqab, M.Z. Bivariate compound distribution based on Poisson maxima of gamma variates and related applications. Int. J. Appl. Math. 2021, 34, 957. [Google Scholar] [CrossRef]
  8. Meraou, M.A.; Raqab, M.Z.; Kundu, D.; Alqallaf, F. Inference for compound truncated Poisson log-normal model with application to maximum precipitation data. Commun. Stat. Simul. Comput. 2024, 1, 1–22. [Google Scholar] [CrossRef]
  9. Meraou, M.A.; Raqab, M.Z. Statistical properties and different estimation procedures of poisson Lindley distribution. J. Stat. Theory Appl. 2021, 20, 33–45. [Google Scholar] [CrossRef]
  10. Meraou, M.A.; Al-Kandari, N.; Raqab, M.Z.; Kundu, D. Analysis of skewed data by using compound Poisson exponential distribution with applications to insurance claims. J. Stat. Comput. Simul. 2021, 92, 928–956. [Google Scholar] [CrossRef]
  11. Meraou, M.A.; Al-Kandari, N.; Raqab, M.Z. Univariate and bivariate compound models based on random sum of variates with application to the insurance losses data. J. Stat. Theory Pract. 2022, 16, 56. [Google Scholar] [CrossRef]
  12. Mahmoudi, E.; Jafari, A.A. Generalized exponential-power series distributions. Comput. Stat. Data Anal. 2012, 56, 4047–4066. [Google Scholar] [CrossRef]
  13. Ahsan-ul-Haq, M.; Shahzad, M.K.; Tariq, S. The Inverted Nadarajah–Haghighi Power Series Distributions. Int. J. Appl. Comput 2024, 10, 11. [Google Scholar] [CrossRef]
  14. Cancho, V.G.; Louzada-Neto, F.; Barriga, G.D. The Poisson-exponential lifetime distribution. Comput. Stat. Data Anal. 2011, 55, 677–686. [Google Scholar] [CrossRef]
  15. Yousef, M.; Hassan, A.; Almetwally, E. Statistical Inference for the Unit Gompertz Power Series Distribution Using Ranked Set Sampling with Applications. Assiut Univ. J. Multidiscip. Sci. Res. 2024, 53, 154–189. [Google Scholar] [CrossRef]
  16. Xu, A.; Wang, B.; Zhu, D.; Pang, J.; Lian, X. Bayesian reliability assessment of permanent magnet brake under small sample size. IEEE Trans. Reliab. 2024, 1–11. [Google Scholar] [CrossRef]
  17. Xu, A.; Zhou, S.; Tang, Y. A unified model for system reliability evaluation under dynamic operating conditions. IEEE Trans. Reliab. 2021, 70, 65–72. [Google Scholar] [CrossRef]
  18. Wang, W.; Cui, Z.; Chen, R.; Wang, Y.; Zhao, X. Regression analysis of clustered panel count data with additive mean models. Stat. Pap. 2023, 2023, 11–28. [Google Scholar] [CrossRef]
  19. Muqrin, A.A. Bayesian and non-Bayesian inference for the compound Poisson log-normal model with application in finance. Alex. Eng. J. 2024, 90, 24–43. [Google Scholar] [CrossRef]
  20. Wu, M.; Gui, W. Estimation and Prediction for Nadarajah- Haghighi Distribution under Progressive Type-II Censoring. Symmetry 2021, 13, 999. [Google Scholar] [CrossRef]
  21. Rényi, A. On measures of entropy and information. In Proceedings of the 4th Berkeley Symposium on Mathematical Statistics and Probability; University of California Press: Berkeley, CA, USA, 1960; pp. 547–561. [Google Scholar]
  22. Shannon, C.E. A mathematical theory of communication. Bell Syst. Tech. J. 1948, 27, 379–423. [Google Scholar] [CrossRef]
  23. Havrda, J.; Charvat, F.S. Quantification method of classification processes: Concept of structural-entropy. Kybernetika 1967, 3, 30–35. [Google Scholar]
  24. Tsallis, C. Possible generalization of Boltzmann-Gibbs statistics. J. Stat. Phys. 1988, 52, 479–487. [Google Scholar] [CrossRef]
  25. Arimoto, S. Information-theoretical considerations on estimation problems. Inf. Control 1971, 19, 181–194. [Google Scholar] [CrossRef]
  26. Mathai, A.M.; Haubold, H.G. On generalized distributions and pathways. Phys. Lett. 2008, 372, 2109–2113. [Google Scholar] [CrossRef]
  27. Abouelmagd, T.H.M.; Al-mualim, S.; Afify, A.Z.; Munir, A.; Al-Mofleh, H. The odd Lindley Burr XII distribution with applications. Pak. J. Stat. 2018, 34, 15–32. [Google Scholar]
  28. Cordeiro, G.M.; Afify, A.Z.; Yousof, H.M.; Pescim, R.R.; Aryal, G.R. The exponentiated Weibull-H family of distributions: Theory and applications. Med. J. Math. 2017, 14, 155. [Google Scholar] [CrossRef]
  29. Ghitany, M.; Al-Mutairi, D.; Balakrishnan, N.; Al-Enezi, I. Power Lindley Distribution and Associated Inference. Comput. Stat. Data Anal. 2013, 64, 20–33. [Google Scholar] [CrossRef]
  30. Bhati, D.; Malik, M.A.; Vaman, H.J. Lindley-Exponential Distribution: Properties and Applications. Metron 2015, 73, 335–357. [Google Scholar] [CrossRef]
Figure 1. Possible pdf shapes of the CEXL model.
Figure 1. Possible pdf shapes of the CEXL model.
Symmetry 16 00625 g001aSymmetry 16 00625 g001b
Figure 2. Possible hrf shapes of the CEXL model.
Figure 2. Possible hrf shapes of the CEXL model.
Symmetry 16 00625 g002aSymmetry 16 00625 g002b
Figure 3. 3D curves of proposed entropy measures at γ = 1.5 .
Figure 3. 3D curves of proposed entropy measures at γ = 1.5 .
Symmetry 16 00625 g003
Figure 4. 3D curves of proposed entropy measures at γ = 3 .
Figure 4. 3D curves of proposed entropy measures at γ = 3 .
Symmetry 16 00625 g004
Figure 5. Kernel density, TTT, and box plots of the two proposed datasets.
Figure 5. Kernel density, TTT, and box plots of the two proposed datasets.
Symmetry 16 00625 g005
Figure 6. Estimation plots of pdf and cdf of the fitting distributions using the first dataset.
Figure 6. Estimation plots of pdf and cdf of the fitting distributions using the first dataset.
Symmetry 16 00625 g006
Figure 7. Estimation plots of pdf and cdf of the fitting distributions using the second dataset.
Figure 7. Estimation plots of pdf and cdf of the fitting distributions using the second dataset.
Symmetry 16 00625 g007
Figure 8. Plots of the esf and fitted sfs for various fitting models using the first dataset.
Figure 8. Plots of the esf and fitted sfs for various fitting models using the first dataset.
Symmetry 16 00625 g008
Figure 9. Plots of the esf and fitted sfs for various fitting models using the second dataset.
Figure 9. Plots of the esf and fitted sfs for various fitting models using the second dataset.
Symmetry 16 00625 g009
Table 1. Possible statistical properties of the CEXL model for several parameter values.
Table 1. Possible statistical properties of the CEXL model for several parameter values.
β MeanVCV S K
θ  = 0.20.32.55345.91640.95261.80884.7294
0.61.46642.06300.97951.90765.3646
0.91.02351.02400.98871.94195.5624
1.20.78490.60730.99291.95975.6942
θ  = 0.40.31.84373.05610.94821.79344.6561
0.61.20261.36450.97131.87595.1578
0.90.88890.76130.98161.91495.4018
1.20.70390.48250.98691.93425.5075
θ  = 0.60.31.40011.79020.95561.81654.8211
0.60.99560.93720.97231.87855.1826
0.90.77050.57150.98121.91465.4292
1.20.62760.38330.98641.93445.5485
θ  = 0.80.31.11351.15990.96721.86495.1215
0.60.84060.67690.97871.91215.4423
0.90.67410.44060.98471.93365.5846
1.20.56220.30900.98891.94935.6663
θ  = 10.30.91780.79670.97251.87795.1348
0.60.72350.50380.98111.91135.3603
0.90.59630.34570.98611.93095.4854
1.20.50690.25140.98931.94455.5754
θ  = 1.20.30.77640.57800.97931.91805.4884
0.60.63160.38670.98471.94635.7368
0.90.53210.27640.98801.95425.775
1.20.45960.20700.98991.95545.7525
Table 2. Different numerical records of proposed entropy measures at γ = 1.5 .
Table 2. Different numerical records of proposed entropy measures at γ = 1.5 .
θ φ 1 ( γ ) φ 2 φ 3 ( γ ) φ 4 ( γ ) φ 5 ( γ ) φ 6 ( γ )
β = 0.50.251.30491.48021.63620.95841.0581−0.5567
0.51.02581.19981.36990.80250.8688−0.4524
0.750.77930.95541.10180.64540.6863−0.3541
10.57060.74870.84750.49650.5197−0.2659
β = 10.250.716100.89731.02750.60190.6370−0.3278
0.50.55340.73280.82520.48340.5053−0.2584
0.750.39210.57190.60790.35610.3676−0.1868
10.24520.42550.39390.23070.2354−0.1189
β = 1.50.250.34600.52860.54240.31770.3268−0.1657
0.50.23200.41320.37390.21900.2232−0.1127
0.750.11270.29370.18710.10960.1106−0.0556
10.02150.20270.03660.02140.0215−0.0107
Table 3. Different numerical records of proposed entropy measures at γ = 3 .
Table 3. Different numerical records of proposed entropy measures at γ = 3 .
θ φ 1 ( γ ) φ 2 φ 3 ( γ ) φ 4 ( γ ) φ 5 ( γ ) φ 6 ( γ )
β = 0.50.251.05721.48021.17240.43960.75873.6422
0.50.77911.19981.05260.39470.60771.875
0.750.52880.95540.87020.32630.44560.9396
10.31630.74870.62500.23440.28520.4412
β = 10.250.45820.89730.80010.30000.39480.7502
0.50.29710.73280.59730.2240.26950.4057
0.750.13470.57190.31490.11810.12890.1546
1−0.01390.4255−0.0376−0.0141−0.0140−0.0137
β = 1.50.250.08480.52860.20800.07800.08240.0924
0.5−0.02820.4132−0.0774−0.0290−0.0285−0.0274
0.75−0.14800.2937−0.4593−0.1722−0.1555−0.1281
1−0.26210.1808−0.9188−0.3446−0.2864−0.2040
Table 4. The possible AVE and MSE values of the CEXL model using Case 1.
Table 4. The possible AVE and MSE values of the CEXL model using Case 1.
n MLEBays (SE)Bays (LI)Bays (GE)
AVEMSEAVEMSEAVEMSEAVEMSE
25 θ 0.63130.24770.62910.00270.63190.00310.63210.0033
β 1.24940.29851.24470.00241.24530.00271.24500.0029
50 θ 0.62650.22310.59060.00130.59240.00160.59260.0019
β 1.22900.18991.18480.00231.18790.00261.18650.0029
75 θ 0.61650.21320.62360.00100.62430.00130.62430.0016
β 1.20970.15571.23210.00161.23290.00191.23250.0021
100 θ 0.59280.20190.60540.00090.60950.00110.60970.0014
β 1.19960.15311.19520.00051.19590.00081.19550.0011
Table 5. The possible AVE and MSE values of the CEXL model using Case 2.
Table 5. The possible AVE and MSE values of the CEXL model using Case 2.
n MLEBays (SE)Bays (LI)Bays (GE)
AVEMSEAVEMSEAVEMSEAVEMSE
25 θ 0.64580.23960.60950.02160.62460.02190.62530.0301
β 0.93370.21811.05260.02191.08010.03011.07060.0304
50 θ 0.60560.23460.57730.01140.58530.01170.58640.0201
β 0.94830.20291.09150.00501.09860.00531.09590.0056
75 θ 0.56270.20130.51600.00420.52180.00450.52350.0048
β 1.01930.17531.13380.00471.14390.00501.13960.5053
100 θ 0.53800.18520.52940.00390.53450.00420.53570.0045
β 1.06730.16611.10090.00401.10840.00431.10550.0046
Table 6. The possible AVE and MSE values of the CEXL model using Case 3.
Table 6. The possible AVE and MSE values of the CEXL model using Case 3.
n MLEBays (SE)Bays (LI)Bays (GE)
AVEMSEAVEMSEAVEMSEAVEMSE
25 θ 0.66930.21620.71580.01160.73080.01190.72970.0121
β 1.36860.30211.23150.001911.25150.01941.24280.0197
50 θ 0.70900.20060.71950.01120.74230.01150.73960.0118
β 1.35270.20901.25770.00591.26400.00621.26100.0065
75 θ 0.70610.19910.73360.00340.73830.00370.73780.0040
β 1.33110.15671.26000.00531.26850.00561.26450.0059
100 θ 0.73790.17620.75960.00240.77030.00270.76860.0030
β 1.33040.13511.31250.00421.31860.00451.31560.0048
Table 7. The possible AL and CP values of the CEXL model using Case 1.
Table 7. The possible AL and CP values of the CEXL model using Case 1.
n MLEBays (SE)Bays (LI)Bays (GE)
ALCPALCPALCPALCP
25 θ 0.53450.9470.50740.9720.51460.9680.51780.961
β 0.61760.9450.52430.9710.56430.9510.56750.945
50 θ 0.48730.9240.41370.9840.43570.9620.44870.954
β 0.54740.9130.47820.9570.49640.9370.50790.932
75 θ 0.42350.9240.36720.9720.39680.9430.41530.938
β 0.48120.9120.40670.9840.43880.9630.44490.954
100 θ 0.35790.9350.28680.9910.32110.9750.24090.970
β 0.39280.9480.34910.9850.37490.9620.38340.960
Table 8. The possible AL and CP values of the CEXL model using Case 2.
Table 8. The possible AL and CP values of the CEXL model using Case 2.
n MLEBays (SE)Bays (LI)Bays (GE)
ALCPALCPALCPALCP
25 θ 0.66580.9260.58370.9520.60170.9380.61550.931
β 0.78530.9330.71290.9550.73690.9330.74510.931
50 θ 0.59430.9380.51270.9640.54490.9480.56480.943
β 0.72330.9470.67790.9740.69830.9620.71080.959
75 θ 0.42180.9440.43080.9770.45970.9560.47760.952
β 0.66480.9520.58840.9720.61190.9640.63520.962
100 θ 0.37640.9520.29770.9840.32340.9770.35810.972
β 0.59810.9580.512370.9890.54360.9800.56480.978
Table 9. The possible AL and CP values of the CEXL model using Case 3.
Table 9. The possible AL and CP values of the CEXL model using Case 3.
n MLEBays (SE)Bays (LI)Bays (GE)
ALCPALCPALCPALCP
25 θ 0.54730.9360.49320.9620.52670.9510.55760.948
β 0.67320.9360.60140.9630.63280.9550.64530.950
50 θ 0.46930.9510.40190.9760.43640.9630.44330.958
β 0.62520.9520.53810.9720.55640.9660.57160.964
75 θ 0.41570.9510.34470.9760.36590.9680.39020.960
β 0.57910.9560.46230.9770.49170.9680.51130.962
100 θ 0.37860.9640.28110.9880.32200.9760.35260.971
β 0.51190.9590.41340.9860.44620.9770.46020.975
Table 10. The remission times of bladder cancer patients.
Table 10. The remission times of bladder cancer patients.
17.3617.1417.1216.6215.9614.8314.7714.7614.2413.8013.2913.1112.63
12.0712.0312.0211.9811.7911.6411.2510.7510.6610.3410.069.749.47
9.229.028.668.658.538.378.267.937.877.667.637.627.59
7.397.327.287.267.096.976.946.936.766.546.255.855.71
5.625.495.415.415.345.325.325.175.095.064.984.874.51
4.503.024.404.344.334.264.234.183.883.823.703.643.57
3.523.483.363.363.313.252.872.832.752.692.692.642.62
2.542.462.262.232.092.072.022.021.761.461.401.351.26
1.191.050.900.810.510.500.400.20
Table 11. Waiting time of 100 bank customers (in minutes).
Table 11. Waiting time of 100 bank customers (in minutes).
0.80.81.31.51.81.91.92.12.62.72.93.13.23.33.5
3.644.4.24.24.34.34.44.44.64.74.74.84.94.9
5.05.35.55.75.76.16.26.26.26.36.76.97.17.17.1
7.17.47.67.788.28.68.68.68.88.88.98.99.59.6
9.79.810.710.911.011.011.111.211.211.511.912.412.512.913.0
13.113.313.613.713.914.115.415.417.317.318.118.218.418.919.0
19.920.621.321.421.9232731.633.138.5
Table 12. Summary statistics for the two considered datasets.
Table 12. Summary statistics for the two considered datasets.
Dataset Q 1 MedianMean Q 3 CV S K
I2.8705.3406.4088.6603.0120.738−0.312
II0.8911.7171.8012.2370.8511.1961.3517
Table 13. Estimated, comparison criterion, and goodness-of-fit statistics for the two datasets.
Table 13. Estimated, comparison criterion, and goodness-of-fit statistics for the two datasets.
DataDistribution θ ^ β ^ KSp-Value A B
CEXL0.99640.71100.04160.9901624.656630.093
IW2.83330.94190.17520.0020693.262698.699
NH15.2220.00640.07880.4900627.229631.666
IAPTE0.22735.53350.07740.5121626.765629.012
ZTPE0.29293.59440.06270.7701626.090628.296
ZTPL0.38752.17940.07790.5048626.928629.134
Exp 0.15460.15220.0110644.061646.780
XL 0.25270.08850.3438628.414632.133
CEXL0.55380.34260.05680.9026637.851643.061
IW6.53451.16310.11660.1316672.762677.972
NH3.40530.02060.10660.2056650.897656.107
IIAPTE0.14534.61530.10620.2092647.508652.718
ZTPE0.19943.79030.08040.5376643.232648.442
ZTPL0.25331.87660.08650.4427644.887650.097
Exp 0.10120.17300.0050660.0416662.646
XL 0.17440.09050.3851643.523646.128
Table 14. Bayesian estimation under several loss functions for parameters of CEXL model using the two suggested datasets.
Table 14. Bayesian estimation under several loss functions for parameters of CEXL model using the two suggested datasets.
DatasetParSELIGE
I θ 0.99180.99430.9934
β 0.74140.74360.7433
II θ 0.56750.57360.5746
β 0.33510.33720.3391
Disclaimer/Publisher’s Note: The statements, opinions and data contained in all publications are solely those of the individual author(s) and contributor(s) and not of MDPI and/or the editor(s). MDPI and/or the editor(s) disclaim responsibility for any injury to people or property resulting from any ideas, methods, instructions or products referred to in the content.

Share and Cite

MDPI and ACS Style

Alghamdi, F.M.; Meraou, M.A.; Aljohani, H.M.; Alrumayh, A.; Riad, F.H.; Alsheikh, S.M.A.; Alsolmi, M.M. Inference for Compound Exponential XLindley Model with Applications to Lifetime Data. Symmetry 2024, 16, 625. https://doi.org/10.3390/sym16050625

AMA Style

Alghamdi FM, Meraou MA, Aljohani HM, Alrumayh A, Riad FH, Alsheikh SMA, Alsolmi MM. Inference for Compound Exponential XLindley Model with Applications to Lifetime Data. Symmetry. 2024; 16(5):625. https://doi.org/10.3390/sym16050625

Chicago/Turabian Style

Alghamdi, Fatimah M., Mohammed Amine Meraou, Hassan M. Aljohani, Amani Alrumayh, Fathy H. Riad, Sara Mohamed Ahmed Alsheikh, and Meshayil M. Alsolmi. 2024. "Inference for Compound Exponential XLindley Model with Applications to Lifetime Data" Symmetry 16, no. 5: 625. https://doi.org/10.3390/sym16050625

APA Style

Alghamdi, F. M., Meraou, M. A., Aljohani, H. M., Alrumayh, A., Riad, F. H., Alsheikh, S. M. A., & Alsolmi, M. M. (2024). Inference for Compound Exponential XLindley Model with Applications to Lifetime Data. Symmetry, 16(5), 625. https://doi.org/10.3390/sym16050625

Note that from the first issue of 2016, this journal uses article numbers instead of page numbers. See further details here.

Article Metrics

Back to TopTop