Experimental Investigations on the Cavitation Bubble Dynamics near the Boundary of a Narrow Gap
Abstract
1. Introduction
2. Experimental Setup
3. Typical Dynamic Behaviors of the Cavitation Bubble
4. Quantitative Analysis of the Bubble Behaviors
4.1. Bubble Outlines and Time Stacks
4.2. Bubble Feature Points
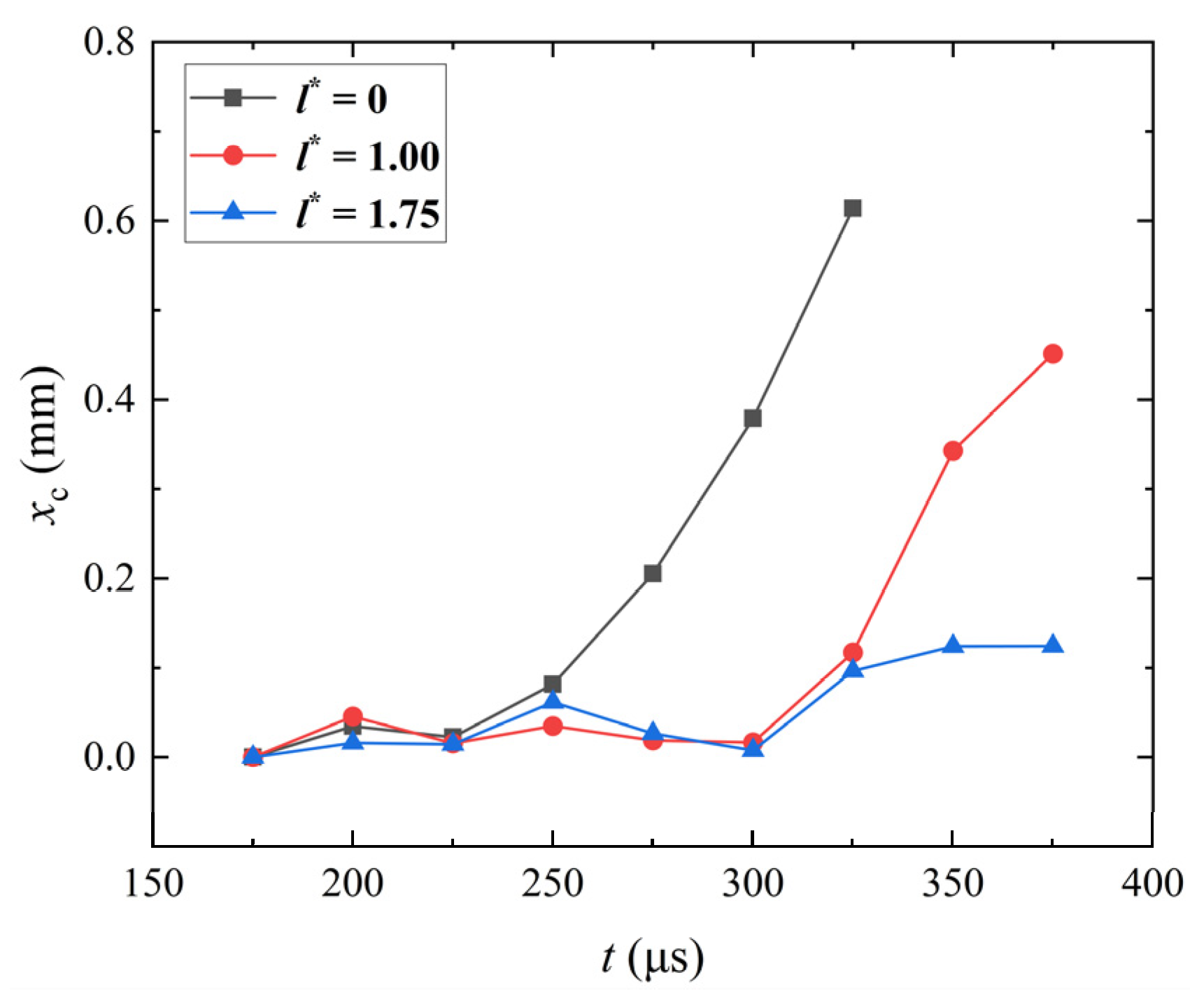
4.3. Bubble Centroids
5. Conclusions
- (1)
- When l* is small, the part of the bubble outside the gap shrinks quite quickly, and a violent jet is generated towards the gap during the collapse stage. Subsequently, a strong vapor jet toward the gap and a weak counter-vapor jet toward the boundary both appear during the rebound stage.
- (2)
- As l* increases, both the translational distance of the bubble centroid and the difference in the moving distance of the left and right endpoints of the bubble initially decrease, then increase, and finally decrease to zero.
- (3)
- Within the range of 0.73 < h* <0.84, h* mainly affects the expansion degree of the bubble cloud and the moving direction of the left and right endpoints of the bubble during its rebound and subsequent processes. As h* decreases, the influence range of the boundary (i.e., the range of l*) on the bubble behaviors increases. In addition, the value of the Re number during the bubble collapse is much higher than 1; hence, the influence of the liquid viscosity is very weak.
Author Contributions
Funding
Data Availability Statement
Conflicts of Interest
References
- Lohse, D. Fundamental fluid dynamics challenges in inkjet printing. Annu. Rev. Fluid Mech. 2022, 54, 349–382. [Google Scholar] [CrossRef]
- Li, Z.G.; Liu, A.Q.; Klaseboer, E.; Zhang, J.B.; Ohl, C.D. Single cell membrane poration by bubble-induced microjets in a microfluidic chip. Lab Chip 2013, 13, 1144–1150. [Google Scholar] [CrossRef] [PubMed]
- Yuan, F.; Yang, C.; Zhong, P. Cell membrane deformation and bioeffects produced by tandem bubble-induced jetting flow. Proc. Natl. Acad. Sci. USA 2015, 112, E7039–E7047. [Google Scholar] [CrossRef] [PubMed]
- Wu, T.H.; Chen, Y.; Park, S.Y.; Hong, J.; Teslaa, T.; Zhong, J.F.; Chiou, P.Y. Pulsed laser triggered high speed microfluidic fluorescence activated cell sorter. Lab Chip 2012, 12, 1378–1383. [Google Scholar] [CrossRef] [PubMed]
- Hellman, A.N.; Rau, K.R.; Yoon, H.H.; Bae, S.; Palmer, J.F.; Phillips, K.S.; Venugopalan, V. Laser-induced mixing in microfluidic channels. Anal. Chem. 2007, 79, 4484–4492. [Google Scholar] [CrossRef] [PubMed]
- Yang, T.; Chen, Y.; Minzioni, P. A review on optical actuators for microfluidic systems. J. Micromech. Microeng. 2017, 27, 123001. [Google Scholar] [CrossRef]
- Wang, C.; Jalikop, S.V.; Hilgenfeldt, S. Size-sensitive sorting of microparticles through control of flow geometry. Appl. Phys. Lett. 2011, 99, 034101. [Google Scholar] [CrossRef]
- Hashmi, A.; Yu, G.; Reilly-Collette, M.; Heiman, G.; Xu, J. Oscillating bubbles: A versatile tool for lab on a chip applications. Lab Chip 2012, 12, 4216–4227. [Google Scholar] [CrossRef] [PubMed]
- Ahmed, D.; Mao, X.; Shi, J.; Juluri, B.K.; Huang, T.J. A millisecond micromixer via single-bubble-based acoustic streaming. Lab Chip 2009, 9, 2738–2741. [Google Scholar] [CrossRef]
- Zhang, K.; Jian, A.; Zhang, X.; Wang, Y.; Li, Z.; Tam, H.Y. Laser-induced thermal bubbles for microfluidic applications. Lab Chip 2011, 11, 1389–1395. [Google Scholar] [CrossRef]
- Dijkink, R.; Ohl, C.D. Laser-induced cavitation based micropump. Lab Chip 2008, 8, 1676–1681. [Google Scholar] [CrossRef]
- Gonzalez-Avila, S.R.; Klaseboer, E.; Khoo, B.C.; Ohl, C.D. Cavitation bubble dynamics in a liquid gap of variable height. J. Fluid Mech. 2011, 682, 241–260. [Google Scholar] [CrossRef]
- Gonzalez-Avila, S.R.; Van Blokland, A.C.; Zeng, Q.; Ohl, C.D. Jetting and shear stress enhancement from cavitation bubbles collapsing in a narrow gap. J. Fluid Mech. 2020, 884, A23. [Google Scholar] [CrossRef]
- Zeng, Q.; Gonzalez-Avila, S.R.; Ohl, C.D. Splitting and jetting of cavitation bubbles in thin gaps. J. Fluid Mech. 2020, 896, A28. [Google Scholar] [CrossRef]
- Rodriguez, M.; Beig, S.A.; Barbier, C.N.; Johnsen, E. Dynamics of an inertially collapsing gas bubble between two parallel, rigid walls. J. Fluid Mech. 2022, 946, A43. [Google Scholar] [CrossRef]
- Sagar, H.J.; El Moctar, O. Dynamics of a cavitation bubble between oblique plates. Phys. Fluids 2023, 35, 013324. [Google Scholar] [CrossRef]
- Kedrinskii, V.K. Propagation of perturbations in a liquid containing gas bubbles. J. Appl. Mech. Tech. Phys. 1968, 9, 370–376. [Google Scholar] [CrossRef]
- Kedrinskii, V.K. Hydrodynamics of Explosion: Experiments and Models; Springer Science & Business Media: Berlin/Heidelberg, Germany, 2005. [Google Scholar]
- Ilinskii, Y.A.; Zabolotskaya, E.A.; Hay, T.A.; Hamilton, M.F. Models of cylindrical bubble pulsation. J. Acoust. Soc. Am. 2012, 132, 1346–1357. [Google Scholar] [CrossRef]
- Zhang, X.Q.; Yang, C.X.; Wang, C.T.; Zhang, Y.N.; Zhang, Y.N. Dynamics of an oscillating cavitation bubble within a narrow gap. Phys. Fluids 2023, 35, 103302. [Google Scholar] [CrossRef]
- Quinto-Su, P.A.; Lim, K.Y.; Ohl, C.D. Cavitation bubble dynamics in microfluidic gaps of variable height. Phys. Rev. E 2009, 80, 047301. [Google Scholar] [CrossRef]
- Zhang, A.; Li, S.M.; Cui, P.; Li, S.; Liu, Y.L. A unified theory for bubble dynamics. Phys. Fluids 2023, 35, 033323. [Google Scholar] [CrossRef]
- Bokman, G.T.; Supponen, O.; Mäkiharju, S.A. Cavitation bubble dynamics in a shear-thickening fluid. Phys. Rev. Fluids 2022, 7, 023302. [Google Scholar] [CrossRef]
- Quinto-Su, P.A.; Ohl, C.D. Interaction between two laser-induced cavitation bubbles in a quasi-two-dimensional geometry. J. Fluid Mech. 2009, 633, 425–435. [Google Scholar] [CrossRef]
- Zwaan, E.; Le Gac, S.; Tsuji, K.; Ohl, C.D. Controlled cavitation in microfluidic systems. Phys. Rev. Lett. 2007, 98, 254501. [Google Scholar] [CrossRef] [PubMed]
- Wang, X.Y.; Wu, G.H.; Shen, J.W.; Sun, Z.; Zhang, Y.N.; Zhang, L.; Zhang, Y.N. Research on the collapse dynamics of a restricted cavitation bubble near a right-angle wall based on Kelvin impulse theory. Phys. Fluids 2023, 35, 073335. [Google Scholar] [CrossRef]
- Wang, X.Y.; Li, S.W.; Shen, J.W.; Bian, H.J.; Wu, G.H.; Zhang, Y.N.; Jiang, Q.Q.; Li, J.T.; Zhang, Y.N. Dynamic behaviors of a bubble near a rectangular wall with a bulge. Phys. Fluids 2024, 36, 023343. [Google Scholar] [CrossRef]
- Quah, E.W.; Karri, B.; Ohl, S.W.; Klaseboer, E.; Khoo, B.C. Expansion and collapse of an initially off-centered bubble within a narrow gap and the effect of a free surface. Int. J. Multiph. Flow 2018, 99, 62–72. [Google Scholar] [CrossRef]
- Xiong, S.; Chin, L.K.; Ando, K.; Tandiono, T.; Liu, A.Q.; Ohl, C.D. Droplet generation via a single bubble transformation in a nanofluidic channel. Lab Chip 2015, 15, 1451–1457. [Google Scholar] [CrossRef] [PubMed]
- Shen, J.W.; Liu, Y.H.; Wang, X.Y.; Wang, C.T.; Zhang, Y.N.; Xian, H.Z.; Zhang, Y.N. Research on the dynamics of a restricted cavitation bubble near a symmetric Joukowsky hydrofoil. Phys. Fluids 2023, 35, 072111. [Google Scholar] [CrossRef]
- Shen, J.W.; Li, S.W.; Wang, X.Y.; Zhang, Y.N.; Xian, H.Z.; Zheng, S.; Zhang, Y.N. Theoretical and experimental investigation of a bubble collapsing near an asymmetric hydrofoil. Phys. Fluids 2024, 36, 023362. [Google Scholar] [CrossRef]
- Yu, J.X.; Wang, X.Y.; Hu, J.S.; Shen, J.W.; Zhang, X.Q.; Zheng, X.X.; Yao, Z.F. Laser-induced cavitation bubble near boundaries. J. Hydrodyn. 2023, 35, 858–875. [Google Scholar] [CrossRef]
- Chen, Y.H.; Chu, H.Y.; Lin, I. Interaction and fragmentation of pulsed laser induced microbubbles in a narrow gap. Phys. Rev. Lett. 2006, 96, 034505. [Google Scholar] [CrossRef] [PubMed]
- Chen, Y.H.; Lin, I. Dynamics of impacting a bubble by another pulsed-laser-induced bubble: Jetting, fragmentation, and entanglement. Phys. Rev. E 2008, 77, 026304. [Google Scholar] [CrossRef] [PubMed]
- Xia, G.J.; You, W.B.; Manickam, S.; Yoon, J.Y.; Xuan, X.X.; Sun, X. Numerical simulation of cavitation-vortex interaction mechanism in an advanced rotational hydrodynamic cavitation reactor. Ultrason. Sonochem. 2024, 105, 106849. [Google Scholar] [CrossRef]
- Sun, X.; Xia, G.J.; You, W.B.; Jia, X.Q.; Manickam, S.; Tao, S.; Zhao, S.; Yoon, J.Y.; Xuan, X.X. Effect of the arrangement of cavitation generation unit on the performance of an advanced rotational hydrodynamic cavitation reactor. Ultrason. Sonochem. 2023, 99, 106544. [Google Scholar] [CrossRef]
















| Equipment | Model | Information | Accuracy/Sensitivity |
|---|---|---|---|
| Laser generator | Penny-100A-SC | Maximum pulse energy: 50 mJ Wavelength: 532 nm | Power instability: 0.81% |
| High-speed camera | Qianyanlang X113 | Shooting speed: 41,666 fps Picture scale: 0.078 mm/pix | Scale error: ±0.001 mm/pix |
| Delay signal generator | Stanford DG535 | Distinguishability: 5 ps | Resolution: 5 ps |
| Water tank | Customization | Volume: 150 × 150 × 150 mm3 |
Disclaimer/Publisher’s Note: The statements, opinions and data contained in all publications are solely those of the individual author(s) and contributor(s) and not of MDPI and/or the editor(s). MDPI and/or the editor(s) disclaim responsibility for any injury to people or property resulting from any ideas, methods, instructions or products referred to in the content. |
© 2024 by the authors. Licensee MDPI, Basel, Switzerland. This article is an open access article distributed under the terms and conditions of the Creative Commons Attribution (CC BY) license (https://creativecommons.org/licenses/by/4.0/).
Share and Cite
Wang, Z.; Yang, Y.; Guo, Z.; Hu, Q.; Wang, X.; Zhang, Y.; Li, J.; Zhang, Y. Experimental Investigations on the Cavitation Bubble Dynamics near the Boundary of a Narrow Gap. Symmetry 2024, 16, 541. https://doi.org/10.3390/sym16050541
Wang Z, Yang Y, Guo Z, Hu Q, Wang X, Zhang Y, Li J, Zhang Y. Experimental Investigations on the Cavitation Bubble Dynamics near the Boundary of a Narrow Gap. Symmetry. 2024; 16(5):541. https://doi.org/10.3390/sym16050541
Chicago/Turabian StyleWang, Zhifeng, Yihao Yang, Zitong Guo, Qingyi Hu, Xiaoyu Wang, Yuning Zhang, Jingtao Li, and Yuning Zhang. 2024. "Experimental Investigations on the Cavitation Bubble Dynamics near the Boundary of a Narrow Gap" Symmetry 16, no. 5: 541. https://doi.org/10.3390/sym16050541
APA StyleWang, Z., Yang, Y., Guo, Z., Hu, Q., Wang, X., Zhang, Y., Li, J., & Zhang, Y. (2024). Experimental Investigations on the Cavitation Bubble Dynamics near the Boundary of a Narrow Gap. Symmetry, 16(5), 541. https://doi.org/10.3390/sym16050541
