Study on Sunlight Temperature Field of Steel Box Arch Ribs in Irregular Arch Bridges
Abstract
1. Introduction
2. Engineering Background
2.1. Engineering Overview
2.2. Climate Condition
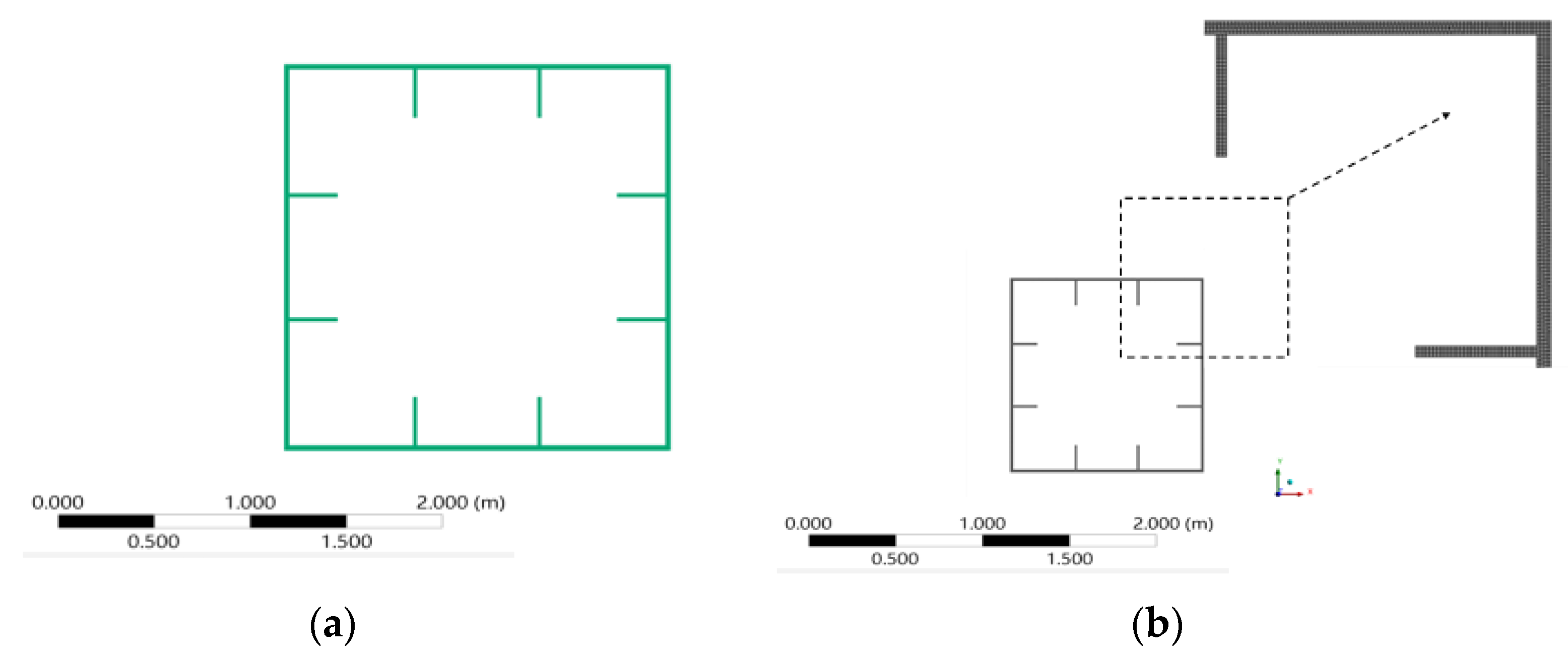
2.3. Arrangement of Temperature Measurement Points for Arch Ribs
Measuring Point Layout
3. Determination of Temperature-Field Calculation Parameters
3.1. Solar Radiation Calculation
3.1.1. The Absolute Position of the Sun
3.1.2. The Relative Position of the Sun
3.1.3. Solar Incidence Angle
- (1)
- Material density: steel density is 7850 kg/m3;
- (2)
- Thermal conductivity: the thermal conductivity of steel is 55.1 W·m−1·K−1;
- (3)
- Specific heat capacity: steel specific heat capacity is 435.7 J/(kg·K) [7];
- (4)
- Solar radiation absorption coefficient: because no coating work was carried out during the temperature monitoring period of the arch rib, it is considered uncoated steel; the average value of the solar radiation absorption coefficient is 0.82 [8].
3.1.4. Direct Solar Radiation Intensity
3.1.5. Sky-Scattered Radiation Intensity
3.1.6. Ground-Reflected Radiation Intensity
- (1)
- Longitude of the bridge location: 113° 24′ 0″ E;
- (2)
- Latitude of the bridge location: 22° 6′ 0″ N;
- (3)
- Arch rib azimuth angle: The angle between the second arch rib and due south is 60°;
- (4)
- Ground reflectance: calculated based on grassland, taken as 0.2;
- (5)
- Days of the year: The day of the year for the second arch rib summer test day on 15 August 2022 is 227, and the day of the year for the winter test day on 26 December 2022 is 360.
- (6)
- Atmospheric transparency: Based on the geographical location of the bridge, taken to be 0.6.
3.2. Final Radiant Intensity
3.3. Calculation of Heat Transfer Boundary Conditions
4. Establishment of Finite Element Model
4.1. Modeling
4.2. Result Comparison
4.2.1. Segment G2J1 (15 August)
4.2.2. Segment G2J7 (15 August)
4.2.3. Segment G2J12 (15 August)
4.3. Comparison of Winter Measurement Results with Finite Element Simulation
4.3.1. Comparison of Test Cross Section Results for Section G2J1 of Arch Rib No. 2
4.3.2. Comparison of Test Cross Section Results for Section G2J4 of Arch Rib No. 2
4.3.3. Comparison of Test Cross Section Results for Section G2J12 of Arch Rib No. 2
5. Three-Dimensional Transient Temperature Field Analysis of Steel Box Arch Ribs
5.1. Establishment of a Three-Dimensional Finite Element Numerical Model
5.2. The Influence of Seasons and Arch Rib Orientation on the Temperature Field of Arch Ribs
5.2.1. Seasonal Impact
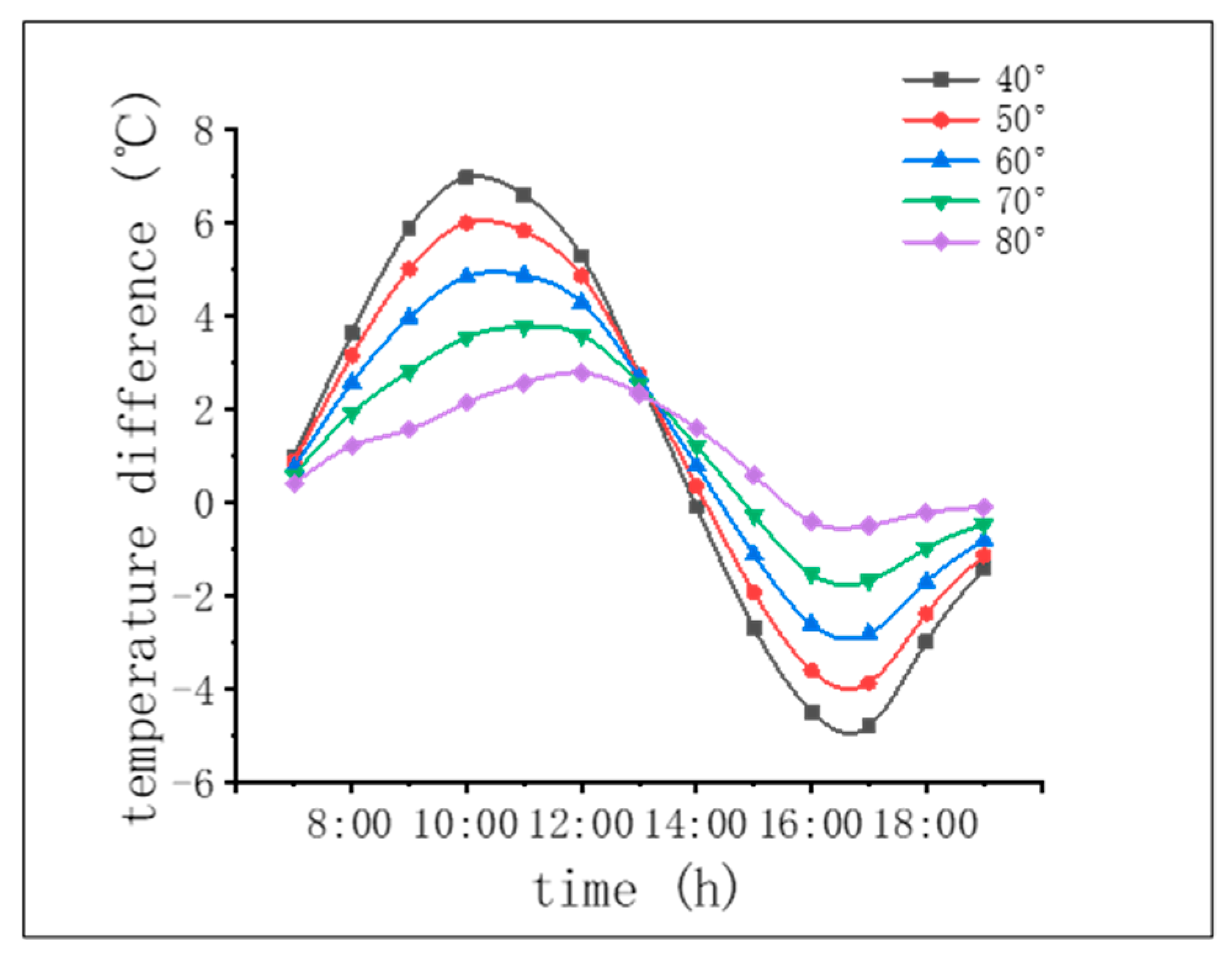
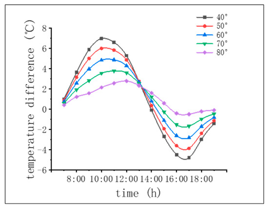
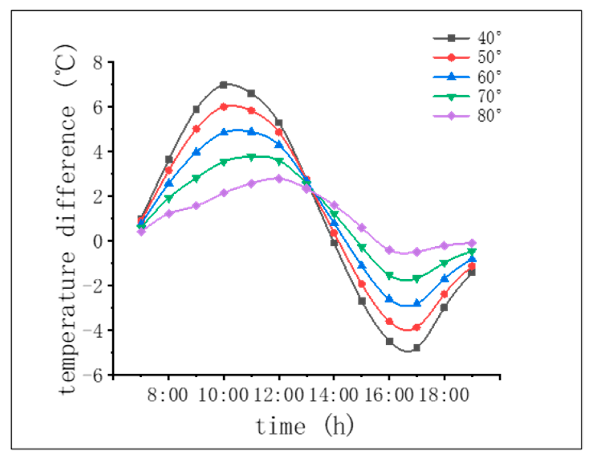
- The peak temperature of arch ribs appears simultaneously in different seasons, all around 15:00 h, but the areas where the temperature peak appears are inconsistent. In spring and summer, the peak appears at the junctions of the section roofs of G2J5 and G2J6, respectively, whereas it appears at the intersection of the section roofs of G2J3 and G2J4 roof in autumn, and at the junction of the section roofs of G2J1 and G2J2 in winter.
- The maximum temperature of the arch ribs under the influence of sunlight radiation varies in different seasons. The maximum temperature of the arch rib is 49.9 °C, 54.5 °C, 45.2 °C and 38.5 °C in spring, summer, autumn, and winter, respectively.
5.2.2. The Influence of Arch Rib Orientation
5.3. Calculation Method for Temperature Stress and Deformation of Steel Box Arch Ribs
5.4. Temperature Response of Steel Box Arch Ribs in Summer
5.5. Temperature Response of Steel Box Arch Ribs in Winter
6. Conclusions
- Under the influence of summer sunlight radiation, due to the inconsistent final radiation intensity absorbed by the top, bottom, and web plates of different segments of the steel box arch rib, the temperature peak at different times will not stably appear at a certain boundary.
- The temperature changes in different seasons have a significant impact on the temperature changes in the arch rib. The change in the azimuth angle of the arch rib has little effect on the peak temperature of the arch rib but has a more significant impact on the temperature difference between the web plates on both sides of the arch rib. The maximum temperature difference between the web plates on both sides is 6.9 °C.
- At the most unfavorable temperature field, the maximum equivalent stress of the steel box arch rib is 38.5 MPa, the maximum vertical displacement is 13.9 mm, and the maximum lateral displacement is 16.1 mm.
- In the operation stage of steel box arch ribs, special attention should be paid to the influence of the sunlight temperature field on the lateral displacement of the arch crown and the stress at the arch foot, and numerical models can be used to calculate its temperature effect.
Author Contributions
Funding
Data Availability Statement
Conflicts of Interest
Abbreviations
| t | true solar time |
| N | ordinal day of the year |
| td | time differences |
| sun angle | |
| I0 | absolute position of the sun |
| declination | |
| slow time angle | |
| geographical latitude | |
| inclination between the normal line of inclined plane and the horizontal plane | |
| angle between the normal direction of the structure surface and the due south direction |
References
- Shenkai, P. Construction control points of butterfly steel structure bridge. J. Constr. Eng. 2008, 5, 676–678. [Google Scholar]
- Xuecheng, L. Construction Monitoring and Cable Force Optimization Analysis of Double Basket Arch Bridge. Ph.D. Thesis, Wuhan University of Technology, Wuhan, China, 2016. [Google Scholar]
- Du, G. Structural Stability and Dynamic Performance Analysis of Special-Shaped Arch Bridge. Ph.D. Thesis, Southwest Jiaotong University, Chengdu, China, 2011. [Google Scholar]
- Zou, Q. Temperature Effect of Long-Span Fly-Winged Concrete-Filled Steel Tube Arch Bridge. Ph.D. Thesis, Southwest Jiaotong University, Chengdu, China, 2021. [Google Scholar]
- Yousong, P. Research on Sunshine Temperature Effect Theory and Application of Concrete Bridge Structure. Ph.D. Thesis, Southwest Jiaotong University, Chengdu, China, 2007. [Google Scholar]
- Li, S. Research on Sunshine Temperature Field and Temperature Effect of Long Span Continuous Rigid Frame Bridge. Ph.D. Thesis, Southwest Jiaotong University, Chengdu, China, 2013. [Google Scholar]
- Zhu, C.; Jingyu, L.; Xihua, D.; Ya, N. Temperature and humidity field analysis of large size steel box girder. Bridge Constr. 2021, 51, 81–87. [Google Scholar]
- Liu, C. Research on Temperature Field and Temperature Effect of Steel-Concrete Composite Bridge. Ph.D. Thesis, Tsinghua University, Beijing, China, 2018. [Google Scholar]
- Lie, T.T. Fire resistance of circular steel columns filled with bar-reinforced concrete. J. Struct. Eng. 1994, 120, 1489–1509. [Google Scholar] [CrossRef]
- Fan, Z.; Wang, Z.; Tang, J. Temperature field analysis and closing temperature study of long-span steel structure of National Stadium. J. Build Struct. 2007, 28, 32–40. [Google Scholar]
- Kehlbeck, F. Effect of Solar Radiation on Bridge Structure; Liu, X.F., Ed.; Translator; Chinese Railway Publishing Company: Beijing, China, 1981. [Google Scholar]
- Biliszczuk, J.; Hildebrand, M.; Teichgraeber, M. Temperature distribution in different bridges types based on data from SHM systems. In Proceedings of the IABSE Congress Ghent-Structural Engineering for Future Societal Needs, Ghent, Belgium, 22–24 September 2021; pp. 540–548. [Google Scholar]
- Zhu, Q.X.; Wang, H.; Mao, J.X.; Wan, H.P.; Zheng, W.Z.; Zhang, Y.M. Investigation of temperature effects on steel-truss bridge based on long-term monitoring data: Case study. J. Bridge Eng. 2020, 25, 05020007. [Google Scholar] [CrossRef]
- Zhang, H.; Liu, Y.; Deng, Y. Temperature gradient modeling of a steel box-girder suspension bridge using Copulas probabilistic method and field monitoring. Adv. Struct. Eng. 2021, 24, 947–961. [Google Scholar] [CrossRef]
- Zhang, C.Y.; Liu, Y.J.; Liu, J.; Yuan, Z.Y.; Zhang, G.J.; Ma, Z.Y. Validation of long-term temperature simulations in a steel-concrete composite girder. Structures 2020, 27, 1962–1976. [Google Scholar] [CrossRef]
- Fu, Y.; DeWolf, J.T. Effect of differential temperature on a curved post-tensioned concrete bridge. Adv. Struct. Eng. 2004, 7, 385–397. [Google Scholar] [CrossRef]
- Huang, M.; Lei, Y.; Li, X.; Gu, J. Damage identification of bridge structures considering temperature variations-based SVM and MFO. J. Aerosp. Eng. 2021, 34, 04020113. [Google Scholar] [CrossRef]
- Li, L.; Shan, Y.; Jing, Q.; Yan, Y.; Xia, Z.; Xia, Y. Global temperature behavior monitoring and analysis of a three-tower cable-stayed bridge. Eng. Struct. 2023, 295, 116855. [Google Scholar] [CrossRef]
- Dongchao, W.; Zhao, Y.; Yuan, R. Temperature effect of concrete arch rib under bidirectional gradient temperature. Sino-Foreign Highw. 2015, 35, 159–163. [Google Scholar]
- Yilong, Z. Analysis of Temperature Effect of Long-Span Concrete-Filled Steel Tube LIFT basket Arch Bridge. Ph.D. Thesis, Lanzhou Jiaotong University, Lanzhou, China, 2018. [Google Scholar]
- Dawei, Z. Research on Temperature Field and Temperature Effect of Long-Span Concrete-Filled Steel Tube Arch Bridge. Ph.D. Thesis, Guangxi University, Nanning, China, 2021. [Google Scholar]
- Yali, Z. Analysis of Gradient Temperature Effect of Concrete-Filled Steel Tube Arch Rib. Ph.D. Thesis, Chongqing Jiaotong University, Chongqing, China, 2022. [Google Scholar]
- Yongguo, G. Research on Temperature Field and Temperature Effect of Steel Box Arch Ribbed Tie Bar Arch. Ph.D. Thesis, Chang’an University, Xi’an, China, 2011. [Google Scholar]
- Luo, Y. Study on Temperature Effect of Steel Box Arch Rib of Fenghuang Third Bridge. Ph.D. Thesis, South China University of Technology, Guangzhou, China, 2014. [Google Scholar]
- Yu, Y.; Gao, L.; Huarui, G.; Zhang, F. Temperature field of box steel arch rib of mid-tie arch bridge. J. Archit. Struct. 2022, 52, 1271–1277. [Google Scholar]
- Qiu, H.; Wang, H.; Ayasrah, M.M.; Zhou, Z.; Li, B. Study on Horizontal Bearing Capacity of Pile Group Foundation Composed of Inclined and Straight Piles. Buildings 2023, 13, 690. [Google Scholar] [CrossRef]



























| Climate Condition | Numerical Value |
|---|---|
| Annual average temperature | 22.5 °C |
| Daily extreme maximum temperature | 38.5 °C |
| Daily extreme minimum temperature | 2.8 °C |
| Annual average relative humidity | 80% |
| Annual average number of rainy days | 130–150 days |
| Annual average wind speed | 3.3 m/s |
| Time | Top Plate | Bottom Plate | Web Plate | Inner Surface |
|---|---|---|---|---|
| 6:00 | 17.29 | 17.29 | 14.09 | 11.11 |
| 7:00 | 17.29 | 17.29 | 14.09 | 11.11 |
| 8:00 | 19.34 | 19.34 | 16.14 | 11.11 |
| 9:00 | 15.22 | 15.22 | 12.02 | 11.11 |
| 10:00 | 17.29 | 17.29 | 14.09 | 11.11 |
| 11:00 | 19.34 | 19.34 | 16.14 | 11.11 |
| 12:00 | 23.44 | 23.44 | 20.24 | 11.11 |
| 13:00 | 23.44 | 23.44 | 20.24 | 11.11 |
| 14:00 | 23.44 | 23.44 | 20.24 | 11.11 |
| 15:00 | 25.55 | 25.55 | 22.35 | 11.11 |
| 16:00 | 27.55 | 27.55 | 24.35 | 11.11 |
| 17:00 | 23.44 | 23.44 | 20.24 | 11.11 |
| 18:00 | 27.55 | 27.55 | 24.35 | 11.11 |
| 19:00 | 29.67 | 29.67 | 26.47 | 11.11 |
| Material Properties | Numerical Value | Unit |
|---|---|---|
| Density | 7850 | kg m−3 |
| Isotropic Thermal Conductivity | 60.5 | W/(m·K) |
| Specific Heat Constant Pressure | 465 | J/(kg·K) |
| Segments | End Section | Middle Section | Segments | End Section | Middle Section |
|---|---|---|---|---|---|
| G2J1 | 131.6 | 130.8 | G2J7 | 90.0 | 89.1 |
| G2J2 | 129.6 | 129.1 | G2J8 | 73.6 | 72.5 |
| G2J3 | 126.3 | 125.6 | G2J9 | 51.6 | 50.8 |
| G2J4 | 121.6 | 120.5 | G2J10 | 32.1 | 31.4 |
| G2J5 | 114.8 | 113.5 | G2J11 | 21.8 | 20.9 |
| G2J6 | 103.5 | 102.2 | G2J12 | 16.1 | 15.4 |
Disclaimer/Publisher’s Note: The statements, opinions and data contained in all publications are solely those of the individual author(s) and contributor(s) and not of MDPI and/or the editor(s). MDPI and/or the editor(s) disclaim responsibility for any injury to people or property resulting from any ideas, methods, instructions or products referred to in the content. |
© 2024 by the authors. Licensee MDPI, Basel, Switzerland. This article is an open access article distributed under the terms and conditions of the Creative Commons Attribution (CC BY) license (https://creativecommons.org/licenses/by/4.0/).
Share and Cite
Qiu, H.; Wu, K.; Ayasrah, M.; Huang, W. Study on Sunlight Temperature Field of Steel Box Arch Ribs in Irregular Arch Bridges. Symmetry 2024, 16, 413. https://doi.org/10.3390/sym16040413
Qiu H, Wu K, Ayasrah M, Huang W. Study on Sunlight Temperature Field of Steel Box Arch Ribs in Irregular Arch Bridges. Symmetry. 2024; 16(4):413. https://doi.org/10.3390/sym16040413
Chicago/Turabian StyleQiu, Hongsheng, Kaikun Wu, Mo’men Ayasrah, and Weihong Huang. 2024. "Study on Sunlight Temperature Field of Steel Box Arch Ribs in Irregular Arch Bridges" Symmetry 16, no. 4: 413. https://doi.org/10.3390/sym16040413
APA StyleQiu, H., Wu, K., Ayasrah, M., & Huang, W. (2024). Study on Sunlight Temperature Field of Steel Box Arch Ribs in Irregular Arch Bridges. Symmetry, 16(4), 413. https://doi.org/10.3390/sym16040413

