Linear Relations between Numbers of Terms and First Terms of Sums of Consecutive Squared Integers Equal to Squared Integers
Abstract
1. Introduction
2. Materials and Methods
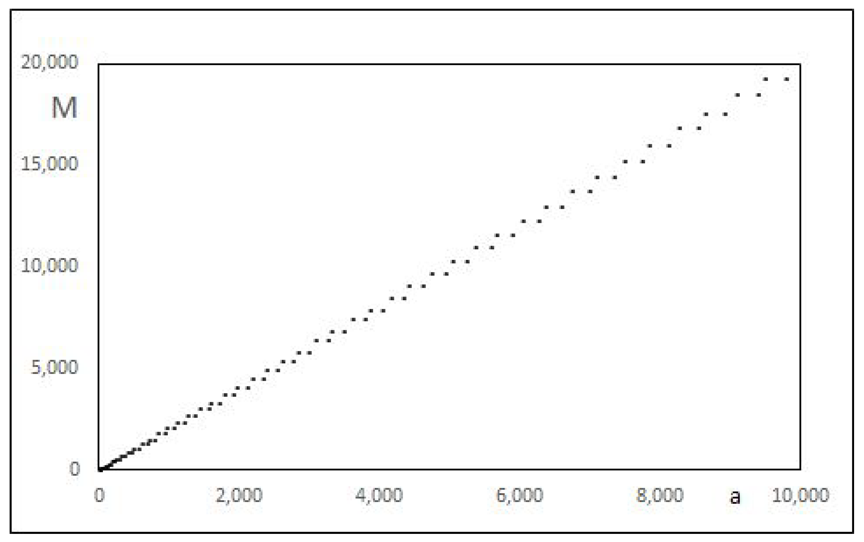
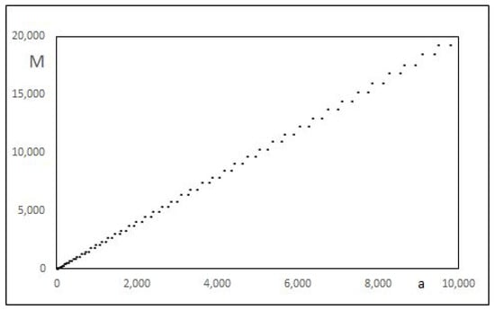
2.1. Observed Linear Features in the (a,M) Plot
2.2. Definition of Pairs and Theorem on Conditions on μ, M and a
2.3. Parametric Expressions of , , ,
- -
 - and or , or and ;
 - -
 - or and or and either and or and , and .
 
2.4. Finding Allowed Values of and
3. Results and Discussion
- For , , i.e., , , , , (20) to (22) yield
 - ,
 - , ,
 - , ,
 - and values of , and for are given in Table 2.
 
- For , , i.e., , , , , (20) to (22) yield (see Table 2)
 - ,
 - , ,
 - ,
 - .
 
- ,
 - , ,
 - ,
 - .
 
4. Conclusions
Funding
Data Availability Statement
Acknowledgments
Conflicts of Interest
References
- Lucas, E. Recherches sur l’analyse Indéterminée et l’arithmétique de Diophante; C. Desrosiers: Moulins, France, 1873; p. 90. Available online: http://edouardlucas.free.fr/pdf/oeuvres/diophante.pdf (accessed on 25 January 2024).
 - Lucas, E. Question 1180. Nouv. Ann. Math. 1875, 14, 336. [Google Scholar]
 - Moret-Blanc, M. Question 1180. Nouv. Ann. Math. 1876, 15, 46–48. [Google Scholar]
 - Lucas, E. Solution de la Question 1180. Nouv. Ann. Math. 1877, 15, 429–432. [Google Scholar]
 - Watson, G.N. The Problem of the Square Pyramid. Messenger Math. 1918, 48, 1–22. [Google Scholar]
 - Ljunggren, W. New solution of a problem proposed by E. Lucas. Norsk Mat. Tid. 1952, 34, 65–72. [Google Scholar]
 - Ma, D.G. An Elementary Proof of the Solutions to the Diophantine Equation 6y2 = x(x + 1)(2x + 1). Sichuan Daxue Xuebao 1985, 4, 107–116. [Google Scholar]
 - Anglin, W.S. The Square Pyramid Puzzle. Am. Math. Mon. 1990, 97, 120–124. [Google Scholar] [CrossRef]
 - Alfred, U. Consecutive integers whose sum of squares is a perfect square. Math. Mag. 1964, 37, 19–32. [Google Scholar] [CrossRef]
 - Philipp, S. Note on consecutive integers whose sum of squares is a perfect square. Math. Mag. 1964, 37, 218–220. [Google Scholar] [CrossRef]
 - Laub, M. Squares Expressible as a Sum of n Consecutive Squares, Advanced Problem 6552. Am. Math. Mon. 1990, 97, 622–625. [Google Scholar] [CrossRef]
 - Beeckmans, L. Squares Expressible as Sum of Consecutive Squares. Am. Math. Mon. 1994, 101, 437–442. [Google Scholar] [CrossRef]
 - Pletser, V. Congruence conditions on the number of terms in sums of consecutive squared integers equal to squared integers. arXiv 2014, arXiv:1409.7969. [Google Scholar] [CrossRef]
 - Pletser, V. Finding all squared integers expressible as the sum of consecutive squared integers using generalized Pell equation solutions with Chebyshev polynomials. arXiv 2014, arXiv:1409.7972. [Google Scholar] [CrossRef]
 - Pletser, V. Congruent conditions on the number of terms, on the ratio number of terms to first terms and on the difference of first terms for sums of consecutive squared integers equal to squared integers. arXiv 2014, arXiv:1410.0727. [Google Scholar] [CrossRef]
 - Matthews, K.R. The Diophantine Equation x2 − Dy2 = N, D > 0, in integers. Expo. Math. 2000, 18, 323–331. [Google Scholar]
 - Mollin, R.A. Fundamental Number Theory with Applications; CRC Press: New York, NY, USA, 1998; pp. 294–307. [Google Scholar]
 - Robertson, J.P. Solving the Generalized Pell Equation X2 − DY2 = N. 2004. Available online: https://studylib.net/doc/18752934/solving-281 (accessed on 28 December 2023).
 - Matthews, K. Quadratic Diophantine Equations BCMATH Programs. Available online: http://www.numbertheory.org/php/main_pell.html (accessed on 28 December 2023).
 - Frattini, G. Dell’analisi indeterminata di secondo grado. Period. Mat. 1891, 6, 169–180. [Google Scholar]
 - Frattini, G. A complemento di alcuni teore mi del sig. Tchebicheff Rom. Acc. L. Rend. 1892, 5, 85–91. [Google Scholar]
 - Frattini, G. Dell’analisi indeterminata di secondo grado. Periodico di Mat. 1892, 7, 172–177. [Google Scholar]
 - Matthews, K.; Robertson, J. On the Converse of a Theorem of Nagell and Tchebicheff. Available online: http://www.numbertheory.org/PDFS/nagell2.pdf (accessed on 28 December 2023).
 - Nagell, T. Introduction to Number Theory; Wiley: New York, NY, USA, 1951; pp. 195–212. [Google Scholar]
 - Matthews, K. The Diophantine Equation x2 − Dy2 = N. Available online: http://www.numbertheory.org/PDFS/patz5.pdf (accessed on 28 December 2023).
 - Nambi, P. Numbers n such that 3*n⌃2 + 1 is prime, Sequence A111051 in The On-line Encyclopedia of Integer Sequences. Available online: https://oeis.org/A111051 (accessed on 28 December 2023).
 - Pletser, V. Fundamental Solutions of the Generalized Pell Equation (δf)2 − M(η + δ)2 = δ2(M + 1)/3 for 0 < η, δ < 100. Res. Gate. 2014. Available online: https://www.researchgate.net/publication/264496057_Fundamental_solutions_of_the_generalized_Pell_equation_%28f%292-M%28%292_2%28M1%293_for_0__100?ev=prf_pub (accessed on 7 August 2014).
 - Lagrange, J.L. Solution d’un Probleme d’Arithmetique, in Oeuvres de Lagrange; Serret, J.-A., Ed.; Gauthier-Villars: Paris, France, 1867; Volume 1, pp. 671–731. [Google Scholar]
 - Lenstra, H.W., Jr. Solving the Pell Equation. Not. Ams. 2002, 49, 182–192. [Google Scholar]
 - O’Connor, J.J.; Robertson, E.F. Pell’s Equation, JOC/EFR February 2002. Available online: https://mathshistory.st-andrews.ac.uk/HistTopics/Pell/ (accessed on 28 December 2023).
 - Pletser, V. On continued fraction development of quadratic irrationals having all periodic terms but last equal and associated general solutions of the Pell equation. J. Number Theory 2013, 136, 339–353. [Google Scholar] [CrossRef]
 - Sloane, N.J.A. Pell Numbers, Sequence A000129 in The On-line Encyclopedia of Integer Sequences. Available online: https://oeis.org/A000129 (accessed on 28 December 2023).
 




| 1 | 2 | 3 | 29 | 26 | 153 | 63 | 3263 | 3656 | 
| 5 | 11 | 20 | 33 | 299 | 588 | 67 | 9563 | 6650 | 
| 7 | 74 | 69 | 35 | 479 | 788 | 69 | 2 | 99 | 
| 11 | 2 | 17 | 39 | 1391 | 1492 | 77 | 74 | 671 | 
| 15 | 194 | 223 | 43 | 59 | 338 | 81 | 1202 | 2843 | 
| 19 | 122 | 221 | 49 | 491 | 1108 | 83 | 146 | 1015 | 
| 21 | 983 | 690 | 53 | 1739 | 2252 | 85 | 1874 | 3723 | 
| 25 | 506 | 585 | 55 | 383 | 1096 | 97 | 23 | 470 | 
| 27 | 47 | 192 | 57 | 2327 | 2798 | 
| k | |||||||||
| 0 | 2 | 0 | 3 | 11 | 18 | 38 | 312 | 15 | 38 | 
| −1 | 23 | 17 | 7 | 218 | 590 | 501 | 5784 | 532 | 433 | 
| 1 | 59 | 22 | 38 | 458 | 1081 | 1210 | 12408 | 962 | 1107 | 
| −2 | 122 | 73 | 50 | 1079 | 2797 | 2599 | 28824 | 2513 | 2292 | 
| 2 | 194 | 83 | 112 | 1559 | 3779 | 4017 | 42072 | 3373 | 3640 | 
| −3 | 299 | 168 | 132 | 2594 | 6639 | 6332 | 69432 | 5958 | 5615 | 
| 3 | 407 | 183 | 225 | 3314 | 8112 | 8459 | 89304 | 7248 | 7637 | 
| −4 | 554 | 302 | 253 | 4763 | 12116 | 11700 | 127608 | 10867 | 10402 | 
| 4 | 698 | 322 | 377 | 5723 | 14080 | 14536 | 154104 | 12587 | 13098 | 
| −5 | 887 | 475 | 413 | 7586 | 19228 | 18703 | 203352 | 17240 | 16653 | 
| 5 | 1067 | 500 | 568 | 8786 | 21683 | 22248 | 236472 | 19390 | 20023 | 
| −6 | 1298 | 687 | 612 | 11063 | 27975 | 27341 | 296664 | 25077 | 24368 | 
| 6 | 1514 | 717 | 798 | 12503 | 30921 | 31595 | 336408 | 27657 | 28412 | 
| −7 | 1787 | 938 | 850 | 15194 | 38357 | 37614 | 407544 | 34378 | 33547 | 
| 7 | 2039 | 973 | 1067 | 16874 | 41794 | 42577 | 453912 | 37388 | 38265 | 
| −8 | 2354 | 1228 | 1127 | 19979 | 50374 | 49522 | 535992 | 45143 | 44190 | 
| 8 | 2642 | 1268 | 1375 | 21899 | 54302 | 55194 | 588984 | 48583 | 49582 | 
| −9 | 2999 | 1557 | 1443 | 25418 | 64026 | 63065 | 682008 | 57372 | 56297 | 
| 9 | 3323 | 1602 | 1722 | 27578 | 68445 | 69446 | 741624 | 61242 | 62363 | 
| −10 | 3722 | 1925 | 1798 | 31511 | 79313 | 78243 | 845592 | 71065 | 69868 | 
| 10 | 4082 | 1975 | 2108 | 33911 | 84223 | 85333 | 911832 | 75365 | 76608 | 
Disclaimer/Publisher’s Note: The statements, opinions and data contained in all publications are solely those of the individual author(s) and contributor(s) and not of MDPI and/or the editor(s). MDPI and/or the editor(s) disclaim responsibility for any injury to people or property resulting from any ideas, methods, instructions or products referred to in the content.  | 
© 2024 by the author. Licensee MDPI, Basel, Switzerland. This article is an open access article distributed under the terms and conditions of the Creative Commons Attribution (CC BY) license (https://creativecommons.org/licenses/by/4.0/).
Share and Cite
Pletser, V. Linear Relations between Numbers of Terms and First Terms of Sums of Consecutive Squared Integers Equal to Squared Integers. Symmetry 2024, 16, 146. https://doi.org/10.3390/sym16020146
Pletser V. Linear Relations between Numbers of Terms and First Terms of Sums of Consecutive Squared Integers Equal to Squared Integers. Symmetry. 2024; 16(2):146. https://doi.org/10.3390/sym16020146
Chicago/Turabian StylePletser, Vladimir. 2024. "Linear Relations between Numbers of Terms and First Terms of Sums of Consecutive Squared Integers Equal to Squared Integers" Symmetry 16, no. 2: 146. https://doi.org/10.3390/sym16020146
APA StylePletser, V. (2024). Linear Relations between Numbers of Terms and First Terms of Sums of Consecutive Squared Integers Equal to Squared Integers. Symmetry, 16(2), 146. https://doi.org/10.3390/sym16020146
        
