Abstract
The benefits of utilizing Switched Reluctance Motor (SRM) drives in traction applications can be realized fully by improving the electromagnetic performance of the machine in the generating mode of operation. This is because the generating capability of an SRM drive could be utilized for regenerative braking and also for the machine to generate power for the vehicle while the engine is in operation. In this paper, a current profiling-based control strategy is proposed to reduce the torque ripple in an SRM drive in the generating mode. The reference current profile is determined using a multi-step computation method to minimize torque ripple and maximize the average torque. The reference current profile is derived based on the reference torque command by utilizing the torque–current–angle look up table. The flux linkage characteristics of the SRM are considered when deriving the phase reference current profile. Then, the performance of the proposed profiling method, analytical linear and cubic torque sharing functions (TSFs), and the average torque optimization scheme are compared using simulation results. Finally, an experimental correlation is performed to validate the efficacy of the proposed control scheme.
1. Introduction
In an SRM, the salient pole construction and switching behavior to generate the rotating magnetic field can lead to higher torque ripple and acoustic noise. Several control techniques such as average torque optimization, Direct Torque Control (DTC), Direct Instantaneous Torque Control (DITC), Model Predictive Control (MPC), and Torque Sharing Function (TSF)-based control have been explored for torque ripple reduction in SRMs [1,2,3,4,5].
TSF-based control is an effective method to reduce the torque ripple. The target of TSF is to split the reference torque among different phases by assigning a reference current profile to each phase. If this reference current profile can be tracked completely, the summation of the torques generated by the phases will make up a constant reference torque, thereby minimizing the torque ripple. In [6], the authors used genetic algorithm-based optimization to tune the turn-on and overlap angles of the analytical linear, cubic, sinusoidal, and exponential TSFs. The objective function was a weighted combination of the time derivative of flux linkage and phase RMS current. Depending on whether the target objective was to minimize the copper loss or minimize the rate of change in flux linkage, simulations were performed to select the appropriate analytical TSF. However, conduction beyond the aligned position was not considered.
Cubic, sinusoidal, and exponential TSFs can achieve a lower torque ripple as compared to linear TSFs [7]. A novel analytical function for a TSF was proposed in [8], which maximizes the torque–speed capability of the drive. In [9], the authors optimized the turn-on and overlap angles of a sinusoidal TSF to minimize the torque ripple of an SRM drive at high speeds while minimizing copper loss. In [10], the authors modified the slope of the conventional linear TSF distribution at four regions to take into consideration the magnetic circuit characteristics of the SRM. The results with the modified TSF showed a reduction in torque ripple compared to the conventional linear TSF. In [11], the authors proposed a selection of TSFs to reduce the torque ripple and copper loss compared to the analytical TSFs.
The phase torque and current profiles in an optimization-based TSF are not defined with analytical expressions. The reference current profile is derived based on an optimization with specific objectives. In [12], the authors proposed a weighted optimization-based TSF to minimize the squared RMS current of the outgoing phase and incoming phase, and the rate of change in flux linkage based on the assigned value of the weights. The authors of [13] used a weighted combination of the torque ripple, radial forces, and RMS current as the optimization objective to generate the current profile. The trade off with different performance criteria was evaluated by assigning different values to the weights. In [14], the authors generated the current profile based on an objective to minimize the copper losses. A single weight factor was used for the outgoing phase current that contributed to negative torque production. The weight factors used in the above mentioned optimization could alter the objective function’s physical interpretation. Moreover, the conduction angles were not optimized directly, which could lead to a higher current tracking error at higher operating speeds. In [15], the authors proposed a novel optimization strategy to generate the reference current in four steps to reduce copper loss and improve torque. Motor characteristics in the magnetizing as well as the demagnetizing regions were taken into consideration. The reference current generation strategy utilized the torque–current–angle look up table as well as the dynamic model of the SRM drive to consider the inductance of the magnetic circuit at the aligned position of the rotor.
All of the above-mentioned research focused on improving the torque ripple performance in SRM drives in the motoring mode of operation. In [16], the authors discussed the optimization objectives in Switched Reluctance Generators (SRGs) to maximize the torque, minimize the torque ripple, and minimize the RMS phase current. In [17], the authors proposed a novel asymmetric analytical TSF to reduce the torque ripple in SRGs. In addition to the turn-on and overlap angles, two additional control parameters were included in the analytic reference torque profile to reduce the rate of change in the reference current during the magnetization period of an SRG. In [18], the authors introduced TSFs, in which the phase torques did not sum up to the constant reference torque value. A torque dip and torque swell were deliberately introduced in the reference torque profile to reduce and compensate for the actual torque ripple. However, the dynamic characteristics of the SRG drive, due to the inductance of the magnetic circuit, were not accounted for effectively.
In this paper, an optimization-based multi-step current reference generation strategy is proposed to minimize the torque ripple in the generating mode of operation of SRM drives while considering the dynamic characteristics of the drive. The remainder of this paper is organized as follows. The conventional analytical TSFs are explained in Section 2. Section 3 introduces the proposed optimization-based multi-step reference current profile generation strategy. In Section 4, the simulation results in the generating mode with the different TSF methods are presented. Section 5 presents the results of an experimental correlation conducted to validate the efficacy of the proposed TSF-based control in improving the electromagnetic performance of the SRM drive in the generating mode. The conclusions are presented in Section 6.
2. Analytical TSFs
The analytical TSFs use a mathematical relation to distribute the reference torque () equally among all phases. The TSFs developed for the motoring mode of operation of SRM drives are also applicable to the generating mode of operation. The general form of a TSF based on analytic functions is given in Equation (1) as:
where denotes the reference torque for phase k, denotes the total reference torque, is the phase turn-on angle, is the phase turn-off angle, is the overlap angle, denotes the rising function for the incoming phase that increases from zero to one, and denotes the falling function for the outgoing phase that decreases from one to zero. The overlap angle in analytical TSFs needs to satisfy the following condition as in Equation (2):
where denotes the pole pitch. Hence, negative torque generation is not allowed with analytical TSFs. In analytical TSFs, the individual phase torques defined using rising and falling functions add up to the reference torque [9]. The control parameters of the TSF are , , and . The current profile can be determined from the torque profile by inverting the static torque–current–angle look up table. Near the aligned and unaligned position, the torque-producing capability of the motor is lower due to a lower rate of change in inductance. Hence, a larger current is required to generate the required electromagnetic torque at these positions.
2.1. Linear TSF
Figure 1a shows the linear TSF waveform. The linear TSF uses linear mathematical expressions to approximate the phase torque in the commutation region. The rising and falling functions can be expressed in terms of the phase turn-on, turn-off, and overlap angles, as given in Equation (3):
Figure 1.
Representation of phase torque references with (a) a linear TSF, (b) a cubic TSF.
2.2. Cubic TSF
2.3. Sinusoidal TSF
Figure 2a shows the sinusoidal TSF waveform. The sinusoidal TSF utilizes a sinusoidal relation to represent the phase torque in the commutation region. The increasing and decreasing functions for the sinusoidal TSF are given in Equation (5):
Figure 2.
Representation of phase torque references with (a) a sinusoidal TSF, (b) an exponential TSF.
2.4. Exponential TSF
Figure 2b shows the exponential TSF waveform. The exponential TSF uses an exponential function to model the phase torque in the commutation region. The increasing and decreasing functions for the exponential TSF are given in Equation (6):
Notably, the torque production in the motoring mode of operation is positive, while the torque is negative in generating mode. However, the same general form can be used to express the analytical TSFs in motoring as well as generating mode of operation.
3. Proposed Optimization-Based TSF
Analytical TSFs do not consider the flux linkage characteristics of the electric machine design. Figure 3 shows the adopted workflow for generating the proposed reference current profile. The reference current for the generating mode of operation is generated in four distinct steps. An optimization is conducted to evaluate the conduction angles. The objective of the optimization problem is to maximize the average torque and minimize the torque ripple. After each iteration, the reference current profile is fed into the dynamic model of the SRM drive as a look up table. The reference current is then tracked under the dynamic operation of the drive. The optimization loop is terminated when a current profile is achieved that minimizes the torque ripple and maximizes the average torque.
Figure 3.
Flowchart for the proposed current profiling control scheme.
The four-step current profile generation strategy is shown in Figure 4. The solid lines indicate the reference current profile in the given step. The dotted lines indicate the current profile one step before the current step. The torque–current–angle (T-i-) characteristics used in the dynamic model can be obtained by performing FEA simulation studies if the internal geometry details of the motor are available. These characteristics can be measured experimentally as well [19].
Figure 4.
Current reference profiling steps: (a) Step I, (b) Step II, (c) Step III, (d) Step IV.
In Step I, the conduction angles defined by the optimization loop are utilized. No positive torque generation and no overlapping conduction are considered. Hence, in the interval of [ , ], the reference torque, , is contributed by a single phase as depicted in Figure 4, where denotes the phase shift angle given by Equation (7):
where m is the number of phases. Hence, in the interval, [, ], the reference current profile, is calculated based on the inverse torque–current–angle look up table. The desired reference torque is the input, and the corresponding current is the output. The reference current is unchanged in the interval [, ], and it is assumed to decay to zero immediately after turn-off. Hence, the reference current after Step I is represented by Equation (8) as follows:
The conduction angles from Step I are appropriately modified in the further steps of current profile generation to allow negative torque production and overlapping conduction, if necessary.
The reference waveform from the first step is applied to the dynamic model. This reference profile is tracked in the dynamic model using a current controller. Figure 4b shows the difference between the reference profile in Step I and the dynamic current. The angle is when the phase current reaches the current reference, and it indicates the current dynamics when the phase inductance is taken into account. The phase current within the interval [, ] is the magnetizing current, defined as . Hence, by adding into the reference current expression in Equation (8), the updated reference current profile after Step II can be obtained from Equation (9) as follows:
The angle at which the phase current decays to zero, , is also computed in Step II of the proposed strategy.
In the interval [, ], the current for the incoming phase is given by . Hence, the incoming phase torque can be calculated from the torque–current–angle look up table as . The torque for the outgoing phase within [, ] can be calculated as in Equation (10), considering that the phase torques add up to achieve the given torque reference.
Thus, the current required by the outgoing phase, , can be calculated as given by Equation (11):
Here, is computed by adding a phase angle of , as is generated when the outgoing phase is turned off. Figure 4c depicts the outgoing phase current within [, ]. Considering symmetry, the same current profile should be present in the outgoing phase current in the interval within [, ]. This results in an ideal angle where the phase turn-off, , given by + . Additionally, another ideal angle is calculated where the phase current reaches zero: , given by . This ideal zero current angle may be larger or smaller than the zero current angle obtained in Step II. These cases are considered further in Step IV. The current reference obtained from Step III is represented as given in Equation (12):
This current profile is applied between [, ] instead of the profile calculated in the previous step.
If the reference current generated in Step III can be tracked without an error, ideally, torque ripple would be eliminated. However, in the interval [, ], when the phase demagnetizes, the current reference was computed based on the torque–current–angle look up table, and the magnetic characteristics of the motor were not considered. Hence, this current reference may not be accurately tracked depending on the flux linkage characteristics of the motor at the considered operating point. Hence, it cannot be ensured that the torque ripple would reduce to zero in this step. Moreover, in Step III, the turn-off angle is given by + . The turn-off angle is obtained by adding the phase shift angle to the turn-on angle. However, it is possible to delay the turn-off further to achieve the required electromagnetic performance in the generating mode.
To resolve this issue, the machine’s magnetic characteristics need to be considered to create the current reference profile in the interval [, ]. The outer optimization loop calculates the appropriate conduction angles achieving the optimization objectives. Hence, in Step IV, the current profile in Step III is further modified as shown in Figure 4d.
In Step IV, the peak value of the reference current is computed in the interval from [, ]. This point can be represented as . If the angle at which the phase current reaches zero in Step II () is smaller than , the current is set directly to zero after . In Figure 4d, the angle at which the phase current goes to zero is denoted by in Step IV and the current reference expression is given in Equation (13):
The turn-off angle selected arbitrarily in Step I of the reference current generation strategy does not have a direct relation with as the torque–current–angle look up table was used to compute the reference current in Step III. Hence, it could be possible that the obtained is larger than . Under this scenario, the current reference is assigned to in the interval from [, ]. The current is zero after . The optimizer converges to the conduction angles which achieve at . Thus, for the case when is larger than , the reference current is given as in Equation (14);
In Step II, the angle after the phase turn-on needs to be calculated when the current reaches the reference value. Moreover, the angle at which the phase current decays to zero also needs to be computed to obtain the optimal reference current profile. Notably, these angles do not need to be computed when the proposed current profiling-based control is applied in the motoring mode of operation of an SRM drive [15].
In the generating mode of operation, the current is drawn from the supply only for the initial excitation. This is required since an SRM does not have a magneto motive force (MMF) source on the rotor to create the initial magnetic field. For the rest of the electrical cycle, either zero or negative DC link voltage is applied across the phase winding. When zero voltage is applied, the phase current increases in the generating mode. On application of negative DC link voltage, the current is returned to the source. The logic for the current hysterysis control in the generating mode of operation with soft switching is given as in Equation (15) [20]:
The initial excitation stage is depicted with the symbol *. represents the phase voltage for the phase, is the lower hysteresis band, and is the upper hysteresis band.
Figure 5 shows the effect of turn-on and turn-off angles on the reference current profile using the proposed profiling method. As shown in Figure 5a, when the turn-on angle varies for a fixed turn-off angle, both the magnetizing current as well as the (, ) change. As a result, current dynamics can change in the interval [, ], resulting in different values of average torque, RMS torque ripple, and RMS phase current. Figure 5b shows that when the turn-off angle is varied, keeping the turn-on angle fixed, only the reference current after changes while the current in the magnetizing region remains the same. Hence, current dynamics can change in the interval [, ]. At the end of every iteration, the obtained turn-on and turn-off angles are utilized to generate the optimal reference current profile following the strategy in Figure 3. Notably, the current dynamics obtained in the generating mode are different from the current dynamics obtained in the motoring mode of operation [15].
Figure 5.
Effect of change in conduction angles: (a) changing for = 308°, (b) changing for = 130°.
4. Simulation Results
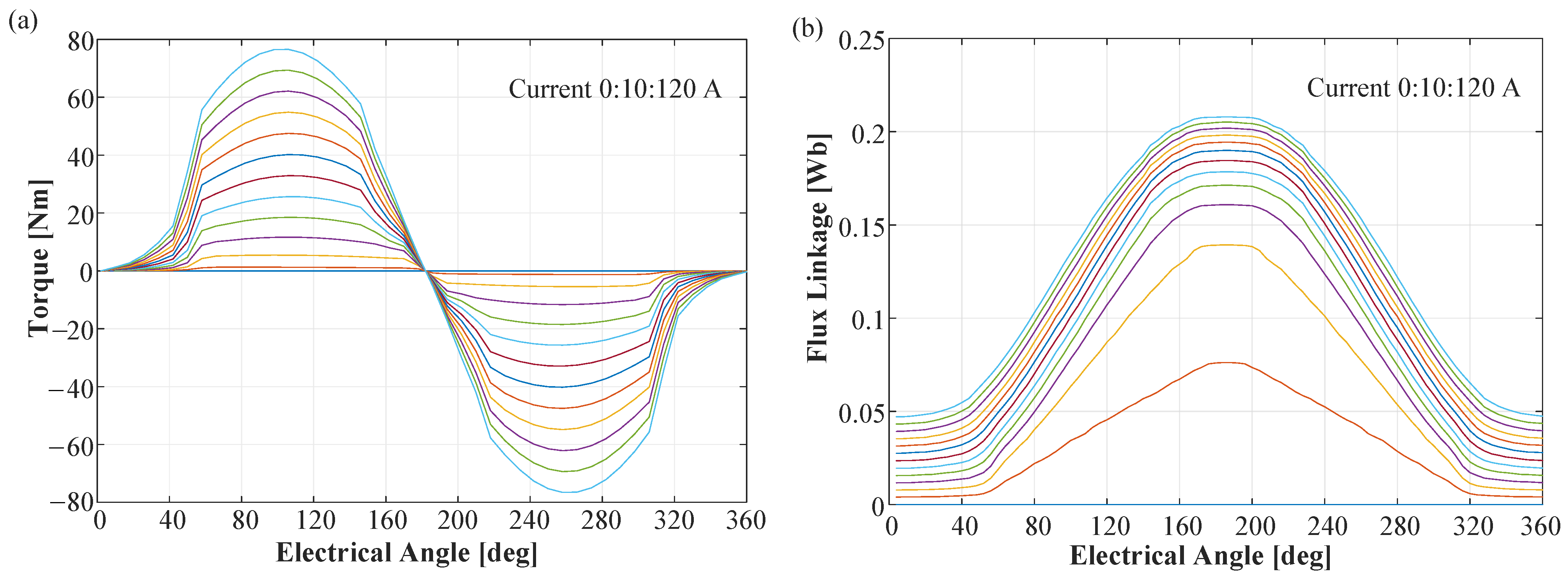
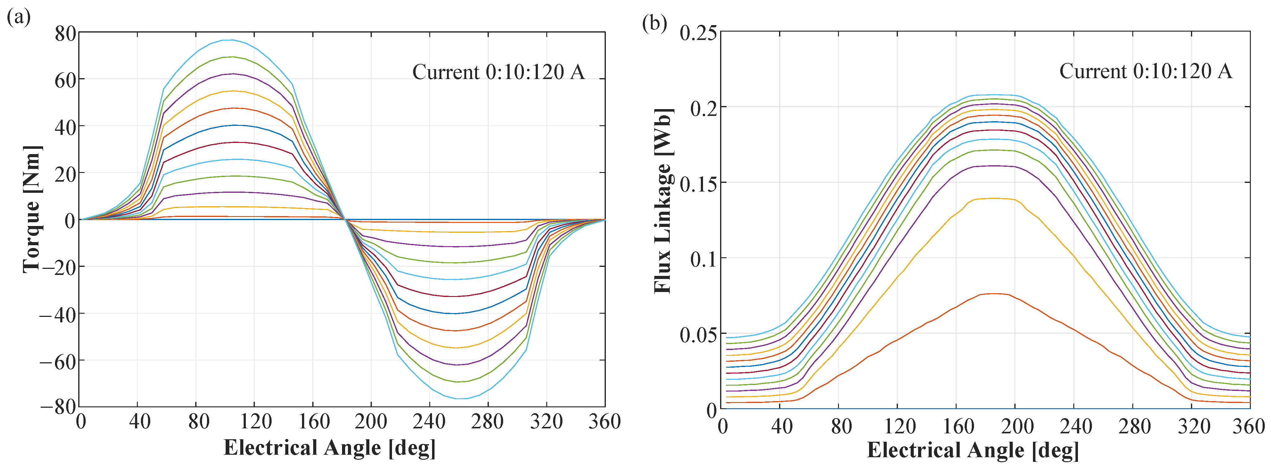
The effectiveness of the proposed TSF in the generating mode of operation is first validated through simulations. An experimental three-phase 12/8 SRM drive is utilized for the simulations. Table 1 shows the specifications of the experimental SRM. The static torque and flux linkage characteristics obtained from experiments are shown in Figure 6. The static waveforms were measured up to 120 A with 10 A increments. The phase resistance for the SRM was measured as 17.46 mΩ using Hioki RM3548 microOhm meter. The simulations are conducted at two operating speeds. The hysteresis current control technique is used to track the reference current. A current sampling frequency of has been used. The rated DC voltage of the motor, 72 V, was applied.
Table 1.
Ratings of the experimental SRM.
Figure 6.
Experimental characteristics of the test SRM: (a) static torque, (b) static flux linkage.
In validating the efficacy of the proposed TSF, the average torque maximization and RMS torque ripple minimization are considered optimization objectives in all simulations compared to the analytical TSFs and average torque optimization. For the analytical TSFs, the turn-on and overlap angles are the optimization parameters. The phase shift angle is added to the turn-on angle to obtain the turn-off angle. For average torque optimization, the turn-on and turn-off angles are optimized. The key optimization targets for improving the performance of a switched reluctance machine in generating mode are described in [20]. Exhaustive simulations were carried out to find the turn-ON angle, turn-OFF angle, and conduction interval range for the highest absolute average torque and lowest RMS torque ripple. A similar objective presented in [20] is used in the present work to find the conduction angle search range. For the proposed TSF, the turn-on and turn-off angles are optimized to obtain the optimal current profile to minimize the torque ripple. The limits for the turn-on and turn-off angles are given by:
Continuous current conduction mode is prevented by applying a constraint
Furthermore, the RMS current is constrained to meet thermal requirements. The optimization objectives considered in the generating mode of operation for the SRM drive are:
Notably, in the generating mode of operation, the torque is negative. Hence, the optimization objective in Equation (18) is specified with a positive sign to minimize the negative torque.
Figure 7 shows the dynamic analysis results with the different control schemes at 400 rpm, Nm reference torque. The results for the average torque control are shown in Figure 7a. The turn-on angle is 153.42° and turn-off angle is 288.56°. It can be seen that an average torque of −22.22 Nm is achieved with an RMS torque ripple of 10.03 Nm. An RMS phase current of 28.81 A is obtained. The results for the linear TSF are shown in Figure 7b. The turn-on angle is 193.67° and overlap angle is 14.35°. A large tracking error can be seen between the reference current and actual phase current. An average torque of −16.11 Nm is achieved with an RMS torque ripple of 7.96 Nm. The phase RMS current is 27.06 A. The results for the cubic TSF are shown in Figure 7c. A large tracking error can be seen between the reference and actual current. The turn-on angle is 193.47° and the overlap angle is 41.05°. An average torque of −15.98 Nm is achieved with an RMS torque ripple of 8 Nm, and 26.48 A RMS phase current. The results for the proposed current profiling method are shown in Figure 7d. The turn-on angle is 138.51° and turn-off angle is 314.27°. The proposed TSF yields an average torque of −19.55 Nm with a reduced torque ripple of 3.11 Nm and a phase RMS current of 28.81 A. There is lower reference current tracking error in the magnetization region, and the phase current reaches the peak reference current in the demagnetization region. Hence, a better torque ripple performance is achieved with the proposed TSF at a similar RMS phase current compared to the average torque control.
Figure 7.
Dynamic analysis simulation results at 400 rpm, −20 Nm with (a) average torque control, (b) linear TSF, (c) cubic TSF, (d) proposed TSF.
Figure 8 shows the dynamic analysis results with the different control schemes at 800 rpm, −10 Nm reference torque. Figure 8a shows the results with average torque control. The turn-on angle is and turn-off angle is . An average torque of Nm is achieved with an RMS torque ripple of Nm. An RMS phase current of A is obtained. The electromagnetic performance of the SRM drive with the linear TSF is shown in Figure 8b. The turn-on angle is and overlap angle is °. A large tracking error can be seen between the reference current and actual phase current. An average torque of Nm is achieved with an RMS torque ripple of Nm. The phase RMS current is A. Figure 8c shows that there is a large tracking error between the reference and actual current using the cubic TSF. The turn-on angle is ° and the overlap angle is °. An average torque of Nm is achieved with an RMS torque ripple of Nm, and A RMS phase current. Figure 8d shows the simulation results with the proposed current profiling-based TSF. The turn-on angle is ° and turn-off angle is °. The proposed TSF yields an average torque of Nm with a reduced torque ripple of Nm and phase RMS current of A. Hence, the proposed TSF shows improved torque ripple performance at a similar RMS phase current compared to the average torque control. Notably, the proposed current profiling control considers the complete magnetic inductance characteristics of the SRM drive. It facilitates having an advanced turn-on angle beyond the aligned position. Overlapping phase conduction is also permitted with the proposed TSF. This is because the reference current profile is generated considering the non-linear magnetic characteristics of the SRM.
Figure 8.
Dynamic analysis simulation results at 800 rpm, Nm with (a) average torque control, (b) linear TSF, (c) cubic TSF, (d) proposed TSF.
5. Experimental Correlation
The 12/8 SRM with the ratings given in Table 1 is utilized to perform the experimental correlation of the proposed TSF. Figure 9 shows the experimental setup consisting of the 12/8 SRM, an IM dynamometer operated in speed control mode, and the dSpace MicroLabBox controller. The SRM asymmetric bridge converter drive consists of the F4-250R17MP4 IGBT module made by Infineon. In order to perform the experimental correlation, the reference current profiles generated from the simulation are stored as look up tables in the dSpace MicroLabBox controller. Similar to the simulations, the hysteresis current control technique is used to track the reference current. A current sampling frequency of 20 kHz has been used. The DC link voltage has been set at the rated value of 72 V. The average torque and torque ripple are calculated from the estimated torque waveforms using the measured phase currents and rotor position owing to the low bandwidth of the torque transducer. The torque measured by the torque transducer (NCTE Series 3000) is also shown in the results superimposed on the estimated torque waveform.
Figure 9.
Experimental setup for validating the proposed current profiling-based control scheme.
The experimental results for the phase current, phase torque, and total torque are recorded and stored in the dSpace MicroLabBox controller. MATLAB R2022a software is then utilized to plot these experimental results. Figure 10 shows the experimental results with the average torque control and the proposed current profiling-based control scheme at 400 rpm, Nm reference torque. As shown in Figure 10a, an average torque of Nm is achieved in the average torque control method with an RMS torque ripple of Nm. An RMS phase current of A is obtained. These results match with the results obtained from the simulation as shown in Figure 7a. Figure 10b shows the electromagnetic performance of the SRM drive with the proposed current profiling-based TSF. It can be observed that the actual phase current tracks the reference current profile closely. An average torque of Nm with a torque ripple of Nm and phase RMS current of A is obtained. These results match closely with the simulation results in Figure 7d. Notably, the experimental results show a small error in the current tracking, possibly due to a slight error in the experimental flux linkage characteristics.
Figure 10.
Experimental dynamic analysis results at 400 rpm, Nm with (a) average torque control, (b) proposed TSF.
As shown in Figure 11a, an average torque of Nm is achieved with the average torque control at 800 rpm and Nm torque reference, with an RMS torque ripple of Nm. An RMS phase current of A is obtained. These results match closely with the results obtained from the simulation in Figure 8a. Figure 11b shows the electromagnetic performance of the SRM drive with the proposed current profiling-based TSF. An average torque of Nm with a torque ripple of Nm and phase RMS current of A is obtained. These results closely match the simulation results in Figure 8d. Hence, the experimental results validate the effectiveness of the proposed TSF-based control in reducing the torque ripple in SRM drives.
Figure 11.
Experimental dynamic analysis results at 800 rpm, Nm with (a) average torque control, (b) proposed TSF.
6. Conclusions
In this paper, an offline optimization-based current profiling control was proposed to minimize the torque ripple in the generating mode of operation in an SRM drive. The proposed TSF-based control considers the machine’s magnetic circuit characteristics while generating the reference current profile. Dynamic analysis is conducted to determine the angle at which the phase current reaches the reference current and the angle at which it decays to zero. Moreover, the angle at which the reference current reaches its peak value is also computed to generate the optimal current profile. Hysteresis current control is utilized to generate the current profile, and the control logic is appropriately modified for the generating mode of operation. The performance of the experimental SRM drive is simulated at two operating points with the proposed profiling control, conventional conduction angle optimization, and analytical TSFs with the same optimization objectives of maximizing average torque and minimizing RMS torque ripple. At 400 rpm, Nm, the RMS torque ripple was Nm, Nm, and 8 Nm with average torque control, linear TSF, and cubic TSF, respectively. The proposed current profiling-based control provides the lowest RMS torque ripple of Nm. At 800 rpm, Nm, the RMS torque ripple was Nm, Nm, and Nm with average torque control, linear TSF, and cubic TSF, respectively. Again, the proposed current profiling-based control provides the lowest RMS torque ripple of Nm. The results demonstrate the effectiveness of the proposed current profiling control in minimizing the torque ripple and maximizing the average torque in the generating mode of operation of SRM drives. Furthermore, the experimental results confirm that the proposed current profiling control reduces the torque ripple in an SRM drive in the generating mode of operation compared to the conventional average torque control.
In the future, the authors intend to evaluate the current tracking performance of the proposed control scheme above base speed. The authors also aim to expand the proposed control algorithm to an online optimization-based current profiling control and achieve a more effective current tracking performance in generating mode.
Author Contributions
Validation, A.A.; Writing—review & editing, A.K.H.; Supervision, B.B. All authors have read and agreed to the published version of the manuscript.
Funding
This research was undertaken, in part, thanks to funding from the Natural Sciences and Engineering Research Council of Canada (NSERC).
Data Availability Statement
Data are contained within the article.
Acknowledgments
The authors gratefully acknowledge MathWorks for their support with MATLAB and Simulink software in this research.
Conflicts of Interest
The authors declare no conflict of interest.
References
- Husain, I. Minimization of torque ripple in SRM drives. IEEE Trans. Ind. Electron. 2002, 49, 28–39. [Google Scholar] [CrossRef]
- Pillai, A.; Anuradha, S.; Gangadharan, K.V.; Umesht, P.; Bhaktha, S. Modeling and analysis of average torque control strategy on switched reluctance motor for e-mobility. In Proceedings of the IEEE International Conference on Electronics, Computing and Communication Technologies (CONECCT), Bangalore, India, 9–11 July 2021; pp. 1–6. [Google Scholar]
- Dekka, A.; Ronanki, D.; Pittam, K.R.; Perumal, P.; Beig, A.R. Modified direct torque and flux control of switched reluctance motor drive with reduced source current ripple for vehicular applications. In Proceedings of the IEEE Applied Power Electronics Conference and Exposition (APEC), New Orleans, LA, USA, 15–19 March 2020; pp. 2920–2925. [Google Scholar]
- Sun, Q.; Wu, J.; Gan, C. Optimized direct instantaneous torque control for SRMs with efficiency improvement. IEEE Trans. Ind. Electron. 2021, 68, 2072–2082. [Google Scholar] [CrossRef]
- Valencia, D.F.; Tarvirdilu-Asl, R.; Garcia, C.; Rodriguez, J.; Emadi, A. Vision, challenges, and future trends of model predictive control in switched reluctance motor drives. IEEE Access 2021, 9, 69926–69937. [Google Scholar] [CrossRef]
- Xue, X.D.; Cheng, K.W.E.; Ho, S.L. Optimization and evaluation of torque-sharing functions for torque ripple minimization in switched reluctance motor drives. IEEE Trans. Power Electron. 2009, 24, 2076–2090. [Google Scholar] [CrossRef]
- Xue, X.D.; Cheng, K.W.E.; Cheung, N.C. Evaluation of torque sharing functions for torque ripple minimization of switched reluctance motor drives in electric vehicles. In Proceedings of the Australasian Universities Power Engineering Conference, Sydney, NSW, Australia, 14–17 December 2008; pp. 1–6. [Google Scholar]
- Vujičić, V.P. Minimization of torque ripple and copper losses in switched reluctance drive. IEEE Trans. Power Electron. 2012, 27, 388–399. [Google Scholar] [CrossRef]
- Al-Amyal, F.; Al Quraan, L.; Szamel, L. Torque sharing function optimization for extended speed range control in switched reluctance motor drive. In Proceedings of the IEEE 3rd International Conference and Workshop in Óbuda on Electrical and Power Engineering (CANDO-EPE), Budapest, Hungary, 18–19 November 2020; pp. 119–124. [Google Scholar]
- Mousavi-Aghdam, S.R.; Moradi, A.; Dolatkhah, A.M. Torque ripple reduction of switched reluctance motor using improved torque sharing functions. In Proceedings of the Iranian Conference on Electrical Engineering (ICEE), Tehran, Iran, 2–4 May 2017; pp. 1043–1047. [Google Scholar]
- Wei, Y.; Qishuang, M.; Poming, Z.; Yangyang, G. Torque ripple reduction in switched reluctance motor using a novel torque sharing function. In Proceedings of the IEEE International Conference on Aircraft Utility Systems (AUS), Beijing, China, 10–12 October 2016; pp. 177–182. [Google Scholar]
- Ye, J.; Bilgin, B.; Emadi, A. An offline torque sharing function for torque ripple reduction in switched reluctance motor drives. IEEE Trans. Energy Convers. 2015, 30, 726–735. [Google Scholar] [CrossRef]
- Li, B.; Ling, X.; Huang, Y.; Gong, L.; Liu, C. Multiphysics modeling and optimal current profiling for switched reluctance machine drive. In Proceedings of the 44th Annual Conference of the IEEE Industrial Electronics Society (IECON), Washington, DC, USA, 21–23 October 2018; pp. 595–600. [Google Scholar]
- Li, H.; Bilgin, B.; Emadi, A. An improved torque sharing function for torque ripple reduction in switched reluctance machines. IEEE Trans. Power Electron. 2019, 34, 1635–1644. [Google Scholar] [CrossRef]
- Xia, Z.; Bilgin, B.; Nalakath, S.; Emadi, A. A new torque sharing function method for switched reluctance machines with lower current tracking error. IEEE Trans. Ind. Electron. 2021, 68, 10612–10622. [Google Scholar] [CrossRef]
- Torrey, D.A. Switched reluctance generators and their control. IEEE Trans. Ind. Electron. 2002, 49, 3–14. [Google Scholar] [CrossRef]
- Moreau, L.; Machmoum, M.; Zaim, M.E. Control and minimization of torque ripple in switched reluctance generator. In Proceedings of the European Conference on Power Electronics and Applications, Dresden, Germany, 11–14 September 2005; pp. 1–8. [Google Scholar]
- Shin, H.-U.; Park, K.; Lee, K.-B. A non-unity torque sharing function for torque ripple minimization of switched reluctance generators in wind power systems. Energies 2015, 8, 11685–11701. [Google Scholar] [CrossRef]
- Hu, Y.; Ding, W. Study on energy ratio of switched reluctance motor drive based on open loop, CCC and DITC. In Proceedings of the 2016 Eleventh International Conference on Ecological Vehicles and Renewable Energies (EVER), Monte Carlo, Monaco, 6–8 April 2016; pp. 1–6. [Google Scholar]
- Zahid, A.; Bilgin, B. Determining the control objectives of a switched reluctance machine for performance improvement in generating mode. IEEE Open J. Ind. Appl. 2023, 4, 99–110. [Google Scholar] [CrossRef]
Disclaimer/Publisher’s Note: The statements, opinions and data contained in all publications are solely those of the individual author(s) and contributor(s) and not of MDPI and/or the editor(s). MDPI and/or the editor(s) disclaim responsibility for any injury to people or property resulting from any ideas, methods, instructions or products referred to in the content. |
© 2024 by the authors. Licensee MDPI, Basel, Switzerland. This article is an open access article distributed under the terms and conditions of the Creative Commons Attribution (CC BY) license (https://creativecommons.org/licenses/by/4.0/).










