A General Framework for Material Properties Calculation and the Free Vibration Analysis of New Three-Phase Composite Cylindrical Shell Structures
Abstract
:1. Introduction
2. Determination of Material Properties
2.1. Material Properties of Hybrid Matrix
2.2. Material Properties of Three-Phase Composites
3. Governing Equations and Solution Procedure
4. Method Verification
5. Vibration Characteristics Analysis
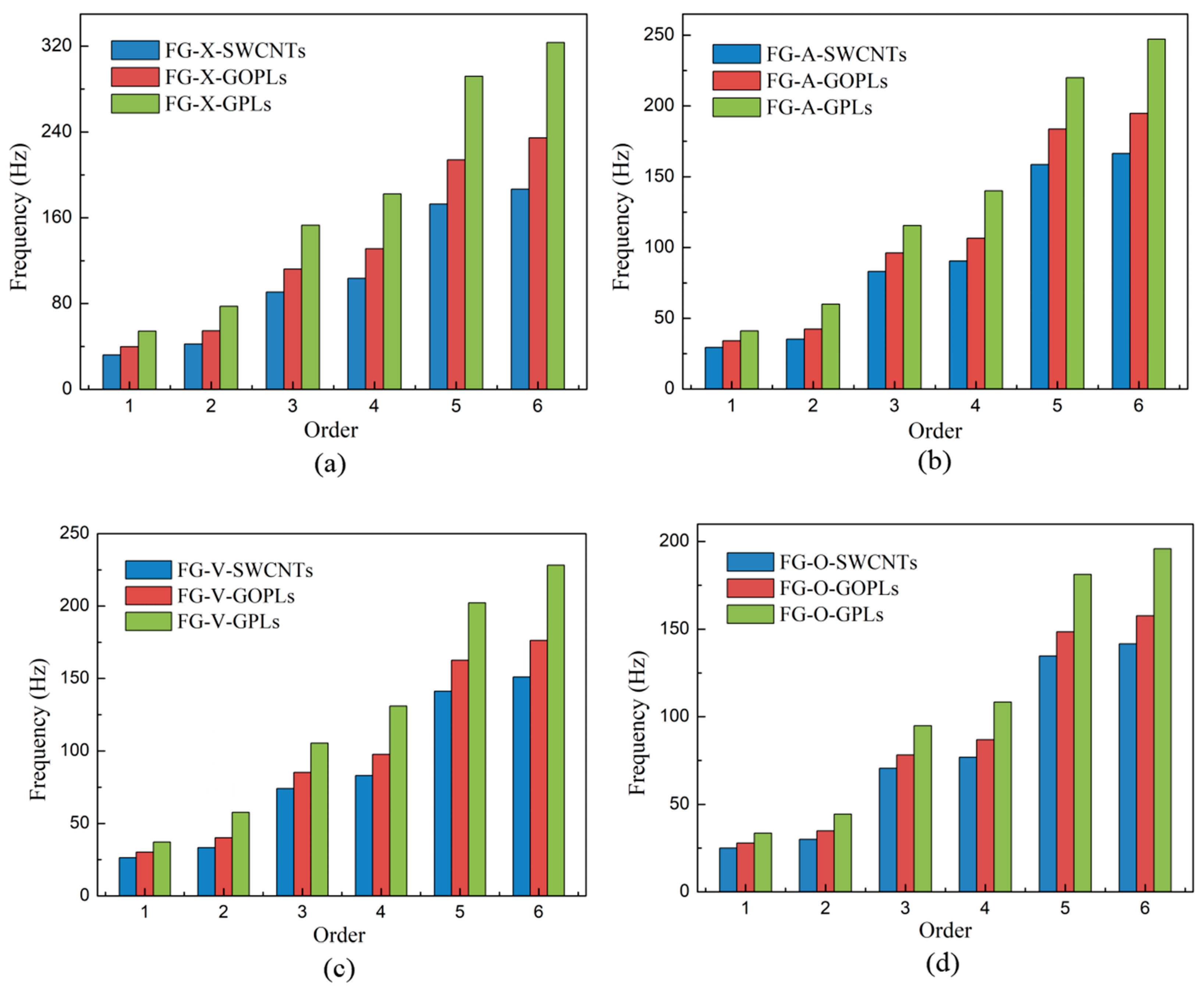
5.1. Effects of Nano-Reinforced Fillers
5.2. Effects of Macroscopic Fiber Reinforcements
6. Conclusions
- (1)
- The synergistic enhancement effects of nano-reinforced fillers and macroscopic fibers were found, and the results of this paper show that the addition of nano-reinforced fillers is significant in improving the vibration characteristics of traditional two-phase composite structures.
- (2)
- It was found that the effects of the type, content, and FG form of nano-reinforced fillers on the free vibrations of the FG three-phase composite cylindrical shells are significant. A small number of nano-reinforced fillers in the carbon fiber-reinforced composite shell can significantly enhance its natural frequencies. Among them, a small amount (only 1%) of GPL acts as the nano-reinforced filler and, when added to the carbon fiber-reinforced composites in the form of FG-X, can increase the natural frequency of the composite cylindrical shell by 150.32%.
- (3)
- We also found that the content and layup angle of carbon fiber also had important influences on the natural frequencies of the FG three-phase composite cylindrical shells. With the increase in the carbon fiber volume fraction, the first six orders of natural frequencies of the FG three-phase composite cylindrical shells significantly increased.
Author Contributions
Funding
Data Availability Statement
Conflicts of Interest
References
- Shan, L.; Tan, C.Y.; Shen, X.; Ramesh, S.; Zarei, M.S.; Kolahchi, R.; Hajmohammad, M.H. The effects of nano-additives on the mechanical, impact, vibration, and buckling/post-buckling properties of composites: A review. J. Mater. Res. Technol. 2023, 24, 7570–7598. [Google Scholar] [CrossRef]
- Gagné, M.; Therriault, D. Lightning strike protection of composites. Prog. Aerosp. Sci. 2014, 64, 1–16. [Google Scholar] [CrossRef]
- Alemour, B.; Bradan, O.; Hassan, M.R. A Review of using conductive composite materials in solving lightening strike and ice accumulation problems in aviation. J. Aerosp. Technol. Manag. 2019, 11, e1919. [Google Scholar] [CrossRef]
- Li, Y.; Zhang, H.; Huang, Z.; Bilotti, E.; Peijs, T. Graphite nanoplatelet modified epoxy resin for carbon fibre reinforced plastics with enhanced properties. J. Nanomater. 2017, 2017, 5194872. [Google Scholar] [CrossRef]
- Rafiee, M.; Nitzsche, F.; Labrosse, M.R. Modeling and mechanical analysis of multiscale fiber-reinforced graphene composites: Nonlinear bending, thermal post-buckling and large amplitude vibration. Int. J. Non-Linear Mech. 2018, 103, 104–112. [Google Scholar] [CrossRef]
- Cai, M.H.; Yang, T.; Li, H.W.; Yang, H.X.; Han, J.W. Experimental and simulation study on shielding performance of developed hydrogenous composites. Space Sci. Technol. 2022, 2022, 9754387. [Google Scholar] [CrossRef]
- Tornabene, F. Free vibration analysis of functionally graded conical, cylindrical shell and annular plate structures with a four-parameter power-law distribution. Comput. Methods Appl. Mech. Eng. 2009, 198, 2911–2935. [Google Scholar] [CrossRef]
- Liu, T.; Zhang, W.; Mao, J.J.; Zheng, Y. Nonlinear breathing vibrations of eccentric rotating composite laminated circular cylindrical shell subjected to temperature, rotating speed and external excitations. Mech. Syst. Signal Process. 2019, 127, 463–498. [Google Scholar] [CrossRef]
- Zhang, L.W.; Song, Z.G.; Liew, K.M. Modeling aerothermoelastic properties and active flutter control of nanocomposite cylindrical shells in supersonic airflow under thermal environments. Comput. Methods Appl. Mech. Eng. 2017, 325, 416–433. [Google Scholar] [CrossRef]
- Rezaiee-Pajand, M.; Sobhani, E.; Masoodi, A.R. Free vibration analysis of functionally graded hybrid matrix/fiber nanocomposite conical shells using multiscale method. Aerosp. Sci. Technol. 2020, 105, 105998. [Google Scholar] [CrossRef]
- Karimiasl, M. Chaotic dynamics of a non-autonomous nonlinear system for a smart composite shell subjected to the hygro-thermal environment. Microsyst. Technol. 2019, 25, 2587–2607. [Google Scholar] [CrossRef]
- Ebrahimi, F.; Habibi, S. Nonlinear eccentric low-velocity impact response of a polymer-carbon nanotube-fiber multiscale nanocomposite plate resting on elastic foundations in hygrothermal environments. Mech. Adv. Mater. Struct. 2018, 25, 425–438. [Google Scholar] [CrossRef]
- Ebrahimi, F.; Dabbagh, A. Vibration analysis of multi-scale hybrid nanocomposite shells by considering nanofillers’ aggregation. Waves Random Complex Media 2022, 32, 1060–1078. [Google Scholar] [CrossRef]
- Yousefi, A.H.; Memarzadeh, P.; Afshari, H.; Hosseini, S.J. Agglomeration effects on free vibration characteristics of three-phase CNT/polymer/fiber laminated truncated conical shells. Thin Walled Struct. 2020, 157, 107077. [Google Scholar] [CrossRef]
- Sobhani, E.; Masoodi, A.R. Natural frequency responses of hybrid polymer/carbon fiber/FG-GNP nanocomposites paraboloidal and hyperboloidal shells based on multiscale approaches. Aerosp. Sci. Technol. 2021, 119, 107111. [Google Scholar] [CrossRef]
- Maleki, A.T.; Pourseifi, M.; Zakeri, M. Effect of agglomeration of the nanotubes on the vibration frequency of the multi-scale hybrid nanocomposite conical shells: A GDQ-based study. Waves Random Complex Media 2022, 32, 359–380. [Google Scholar] [CrossRef]
- Nopour, R.; Ebrahimi, F.; Dabbagh, A.; Aghdam, M.M. Nonlinear forced vibrations of three-phase nanocomposite shells considering matrix rheological behavior and nano-fiber waviness. Eng. Comput. 2023, 39, 557–574. [Google Scholar] [CrossRef]
- Amabili, M. Nonlinear vibrations of laminated circular cylindrical shells: Comparison of different shell theories. Compos. Struct. 2011, 94, 207–220. [Google Scholar] [CrossRef]
- Liu, T.; Zheng, Y.; Qian, Y. Frequency change and mode shape transformation in free vibration analysis of three-phase composite thin plate under different boundary conditions. J. Vib. Eng. Technol. 2023. [Google Scholar] [CrossRef]
- Liu, T.; Duan, J.; Zheng, Y.; Qian, Y. Free vibrations of a new three-phase composite cylindrical shell. Aerospace 2023, 10, 1007. [Google Scholar] [CrossRef]
- Kim, M.; Park, Y.-B.; Okoli, O.I.; Zhang, C. Processing, characterization, and modeling of carbon nanotube-reinforced multiscale composites. Compos. Sci. Technol. 2009, 69, 335–342. [Google Scholar] [CrossRef]
- Arani, A.G.; Haghparast, E.; Zarei, H.B. Vibration of axially moving 3-phase CNTFPC plate resting on orthotropic foundation. Struct. Eng. Mech. 2016, 57, 105–126. [Google Scholar] [CrossRef]
- Kasiri, R.; Massah, S.R. Mathematical modeling of concrete beams containing GO nanoparticles for vibration analysis and measuring their compressive strength using an experimental method. Adv. Nano Res. 2022, 12, 73–79. [Google Scholar]
- Zhang, Z.; Li, Y.; Wu, H.; Zhang, H.; Wu, H.; Jiang, S.; Chai, G. Mechanical analysis of functionally graded graphene oxide-reinforced composite beams based on the first-order shear deformation theory. Mech. Adv. Mater. Struct. 2018, 27, 3–11. [Google Scholar] [CrossRef]
- Sobhani, E.; Moradi-Dastjerdi, R.; Behdinan, K.; Masoodi, A.R.; Ahmadi-Pari, A.R. Multifunctional trace of various reinforcements on vibrations of three-phase nanocomposite combined hemispherical-cylindrical shells. Compos. Struct. 2022, 279, 101016. [Google Scholar] [CrossRef]
- Arani, A.G.; Zarei, H.B.; Eskandari, M.; Pourmousa, P. Vibration behavior of visco-elastically coupled sandwich beams with magnetorheological core and three-phase carbon nanotubes/fiber/polymer composite facesheets subjected to external magnetic field. J. Sandw. Struct. Mater. 2019, 21, 2194–2218. [Google Scholar] [CrossRef]
- Abaimov, S.G.; Khudyakova, A.A.; Lomov, S.V. On the closed form expression of the Mori-Tanaka theory prediction for the engineering constants of a unidirectional fiber-reinforced ply. Compos. Sci. Technol. 2016, 142, 1–6. [Google Scholar] [CrossRef]
- Reddy, J.N. Mechanics of Laminated Composite Plates and Shells: Theory and Analysis; CRC Press: Boca Raton, FL, USA, 2004. [Google Scholar]
- Zhang, W.; Fang, Z.; Yang, X.-D.; Liang, F. A series solution for free vibration of moderately thick cylindrical shell with general boundary conditions. Eng. Struct. 2018, 165, 422–440. [Google Scholar] [CrossRef]
- Dai, L.; Yang, T.; Du, J.; Li, W.L.; Brennan, M.J. An exact series solution for the vibration analysis of cylindrical shells with arbitrary boundary conditions. Appl. Acoust. 2013, 74, 440–449. [Google Scholar] [CrossRef]











| Material | |||
|---|---|---|---|
| 8551-7 epoxy polymer (matrix) | 4.08 | 0.38 | 1272 |
| Single-walled carbon nanotube (SWCNT) | 640 | 0.33 | 1350 |
| Graphene platelets (GPL) | 1010 | 0.186 | 1062.5 |
| Graphene oxide platelet (GOPL) | 444.8 | 0.165 | 1090 |
| Material | ||||
| Single-walled carbon nanotube (SWCNT) | 1.40 | 25.00 | 0.34 | |
| Material | ||||
| Graphene platelets (GPLs) | 2.5 | 1.5 | 1.5 | |
| Material | ||||
| Graphene oxide platelet (GOPL) | 500 | 0.95 | ||
| Material | |||||||
|---|---|---|---|---|---|---|---|
| Carbon fiber | 276.0 | 19.0 | 0.2 | 0.2 | 27.0 | 7.0 | 1780.0 |
| n | Present | Abaqus | Error | ||||
|---|---|---|---|---|---|---|---|
| M = 6 N = 6 | M = 8 N = 8 | M = 10 N = 10 | M = 12 N = 12 | M = 14 N = 14 | |||
| 1 | 241.69 | 257.63 | 264.51 | 268.28 | 268.40 | 269.71 | 0.49% |
| 2 | 267.45 | 267.85 | 268.11 | 268.37 | 270.90 | 277.03 | 2.21% |
| 3 | 732.87 | 746.17 | 752.73 | 756.70 | 757.68 | 765.24 | 0.99% |
| 4 | 735.20 | 749.97 | 754.79 | 756.97 | 760.75 | 774.68 | 1.80% |
| 5 | 805.23 | 846.54 | 879.88 | 900.95 | 913.82 | 942.32 | 3.02% |
| 6 | 959.65 | 984.99 | 1000.04 | 1008.62 | 1013.57 | 1020.10 | 0.64% |
| C-C | Mode No. | |||||
|---|---|---|---|---|---|---|
| (m = 1, n = 1) | (m = 1, n = 2) | (m = 1, n = 3) | (m = 2, n = 1) | (m = 2, n = 2) | (m = 2, n = 3) | |
| Present | ![]() | ![]() | ![]() | ![]() | ![]() | ![]() |
| Abaqus | ![]() | ![]() | ![]() | ![]() | ![]() | ![]() |
| Present | 2479.31 | 268.49 | 758.30 | 4830.79 | 272.67 | 770.67 |
| Abaqus | 2481.30 | 269.71 | 765.24 | 4852.30 | 277.03 | 774.68 |
| Dai [30] | 2479.30 | 269.30 | 761.01 | 4840.40 | 276.51 | 770.66 |
| C-C | Mode No. | |||||
|---|---|---|---|---|---|---|
| 1 | 2 | 3 | 4 | 5 | 6 | |
| Present | ![]() | ![]() | ![]() | ![]() | ![]() | ![]() |
| Abaqus | ![]() | ![]() | ![]() | ![]() | ![]() | ![]() |
| Present | 24.39 | 29.02 | 68.56 | 74.54 | 130.47 | 136.99 |
| Abaqus | 24.39 | 27.35 | 68.56 | 73.73 | 130.50 | 136.58 |
| Error | 0.00% | 6.11% | 0.00% | 1.10% | 0.02% | 0.30% |
Disclaimer/Publisher’s Note: The statements, opinions and data contained in all publications are solely those of the individual author(s) and contributor(s) and not of MDPI and/or the editor(s). MDPI and/or the editor(s) disclaim responsibility for any injury to people or property resulting from any ideas, methods, instructions or products referred to in the content. |
© 2023 by the authors. Licensee MDPI, Basel, Switzerland. This article is an open access article distributed under the terms and conditions of the Creative Commons Attribution (CC BY) license (https://creativecommons.org/licenses/by/4.0/).
Share and Cite
Zhang, W.; Duan, J.; Liu, T.; Zheng, Y.; Qian, Y. A General Framework for Material Properties Calculation and the Free Vibration Analysis of New Three-Phase Composite Cylindrical Shell Structures. Symmetry 2024, 16, 20. https://doi.org/10.3390/sym16010020
Zhang W, Duan J, Liu T, Zheng Y, Qian Y. A General Framework for Material Properties Calculation and the Free Vibration Analysis of New Three-Phase Composite Cylindrical Shell Structures. Symmetry. 2024; 16(1):20. https://doi.org/10.3390/sym16010020
Chicago/Turabian StyleZhang, Wei, Jinqiu Duan, Tao Liu, Yan Zheng, and Yingjing Qian. 2024. "A General Framework for Material Properties Calculation and the Free Vibration Analysis of New Three-Phase Composite Cylindrical Shell Structures" Symmetry 16, no. 1: 20. https://doi.org/10.3390/sym16010020
APA StyleZhang, W., Duan, J., Liu, T., Zheng, Y., & Qian, Y. (2024). A General Framework for Material Properties Calculation and the Free Vibration Analysis of New Three-Phase Composite Cylindrical Shell Structures. Symmetry, 16(1), 20. https://doi.org/10.3390/sym16010020

























