An Improved Two-Stage Spherical Harmonic ESPRIT-Type Algorithm
Abstract
:1. Introduction
- We introduce relative sound pressure and frequency-smoothing techniques into the TS-ESPRIT algorithm [14] to improve the localization accuracy of the algorithm under a low signal-to-noise ratio and high reverberation;
- By solving a generalized eigenvalue problem, we solve the pairing problem and eliminate the two eigenvalue decomposition operations for estimating DOA parameters in the original paper;
- We use the inverse tangent function to find the elevation estimation and achieve superior estimation accuracy.
2. System Models
2.1. Definition of the Relative Sound Pressure
2.2. Spherical Harmonic Decomposition and Signal Model in the Spherical Harmonic Domain
3. Method
4. Experiment and Analysis
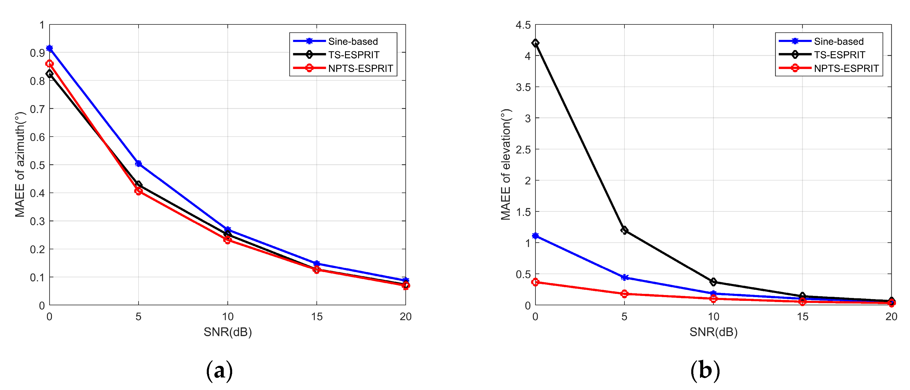
4.1. Comparison with TS-ESPRIT and Sine-Based ESPRIT
4.1.1. Free-Field Simulation: Setup
4.1.2. Free-Field Simulation: Results
- A.
- Errors for Various Elevation Angles
- B.
- Errors for Various SNRs
- C.
- Errors for Various Snapshots
- D.
- Number of Detectable Sources
| Method | Number of Sources |
|---|---|
| Sine-based [33] | |
| TS-ESPRIT [13] | |
| Proposed |
- E.
- Comparison of the Computational Efficiency
4.1.3. Room Simulation: Setup
4.1.4. Room Simulation: Results
4.2. Comparison before and after the Introduction of Relative Sound Pressure
4.2.1. Room Simulation: Setup
4.2.2. Room Simulation: Results
- A.
- Estimation of the Number of Active Sources
- B.
- Errors for Various SNRs
- C.
- Errors for Various SNRs in Multiple Sources
4.3. Verification Using Real Recordings
5. Discussion
Author Contributions
Funding
Data Availability Statement
Conflicts of Interest
References
- Evers, C.; Lollmann, H.W.; Mellmann, H.; Schmidt, A.; Barfuss, H.; Naylor, P.A.; Kellermann, W. The LOCATA Challenge: Acoustic Source Localization and Tracking. IEEE/ACM Trans. Audio Speech Lang. Process. 2020, 28, 1620–1643. [Google Scholar] [CrossRef]
- Wang, Z.-Q.; Wang, D. Localization based Sequential Grouping for Continuous Speech Separation. In Proceedings of the 2022 IEEE International Conference on Acoustics, Speech and Signal Processing (ICASSP), Singapore, 22–27 May 2022; pp. 281–285. [Google Scholar] [CrossRef]
- Gannot, S.; Vincent, E.; Markovich-Golan, S.; Ozerov, A. A Consolidated Perspective on Multimicrophone Speech Enhancement and Source Separation. IEEE/ACM Trans. Audio Speech Lang. Process. 2017, 25, 692–730. [Google Scholar] [CrossRef]
- Choi, J.-W.; Zotter, F.; Jo, B.; Yoo, J.-H. Multiarray Eigenbeam-ESPRIT for 3D Sound Source Localization with Multiple Spherical Microphone Arrays. IEEE/ACM Trans. Audio Speech Lang. Process. 2022, 30, 2310–2325. [Google Scholar] [CrossRef]
- Rafaely, B. Analysis and Design of Spherical Microphone Arrays. IEEE Trans. Speech Audio Process. 2005, 13, 135–143. [Google Scholar] [CrossRef]
- Williams, E.G.; Mann, J.A. Fourier Acoustics: Sound Radiation and Nearfield Acoustical Holography. J. Acoust. Soc. Am. 2000, 108, 1373. [Google Scholar] [CrossRef]
- Jaafer, Z.; Goli, S.; Elameer, A.S. Performance Analysis of Beam Scan, MIN-NORM, Music and Mvdr DOA Estimation Algorithms. In Proceedings of the 2018 International Conference on Engineering Technology and Their Applications (IICETA), Al-Najaf, Iraq, 8–9 May 2018; pp. 72–76. [Google Scholar] [CrossRef]
- Khaykin, D.; Rafaely, B. Acoustic Analysis by Spherical Microphone Array Processing of Room Impulse Responses. J. Acoust. Soc. Am. 2012, 132, 261–270. [Google Scholar] [CrossRef]
- He, H.; Wu, L.; Lu, J.; Qiu, X.; Chen, J. Time Difference of Arrival Estimation Exploiting Multichannel Spatio-Temporal Prediction. IEEE Trans. Audio Speech Lang. Process. 2013, 21, 463–475. [Google Scholar] [CrossRef]
- Jarrett, D.P.; Habets, E.A.P.; Thomas, M.R.P.; Naylor, P.A. Rigid Sphere Room Impulse Response Simulation: Algorithm and Applications. J. Acoust. Soc. Am. 2012, 132, 1462–1472. [Google Scholar] [CrossRef]
- Tervo, S.; Politis, A. Direction of Arrival Estimation of Reflections from Room Impulse Responses Using a Spherical Microphone Array. IEEE/ACM Trans. Audio Speech Lang. Process. 2015, 23, 1539–1551. [Google Scholar] [CrossRef]
- Sun, H.; Teutsch, H.; Mabande, E.; Kellermann, W. Robust Localization of Multiple Sources in Reverberant Environments Using EB-ESPRIT with Spherical Microphone Arrays. In Proceedings of the 2011 IEEE International Conference on Acoustics, Speech and Signal Processing (ICASSP), Prague, Czech Republic, 22–27 May 2011; pp. 117–120. [Google Scholar] [CrossRef]
- Huang, Q.; Zhang, L.; Fang, Y. Two-Stage Decoupled DOA Estimation Based on Real Spherical Harmonics for Spherical Arrays. IEEE/ACM Trans. Audio Speech Lang. Process. 2017, 25, 2045–2058. [Google Scholar] [CrossRef]
- Huang, Q.; Zhang, L.; Fang, Y. Two-Step Spherical Harmonics ESPRIT-Type Algorithms and Performance Analysis. IEEE/ACM Trans. Audio Speech Lang. Process. 2018, 26, 1684–1697. [Google Scholar] [CrossRef]
- Teutsch, H.; Kellermann, W. Eigen-beam processing for direction-of-arrival estimation using spherical apertures. In Proceedings of the 1st Joint Workshop Hands-Free Speech Communication Microphone Arrays (HSCMA), Piscataway, NJ, USA, 17–18 March 2005; pp. 1–2. [Google Scholar]
- Khaykin, D.; Rafaely, B. Coherent Signals Direction-of-Arrival Estimation Using a Spherical Microphone Array: Frequency Smoothing Approach. In Proceedings of the 2009 IEEE Workshop on Applications of Signal Processing to Audio and Acoustics, New Paltz, NY, USA, 18–21 October 2009; pp. 221–224. [Google Scholar] [CrossRef]
- Hu, Y.; Abhayapala, T.D.; Samarasinghe, P.N. Multiple Source Direction of Arrival Estimations Using Relative Sound Pressure Based MUSIC. IEEE/ACM Trans. Audio Speech Lang. Process. 2021, 29, 253–264. [Google Scholar] [CrossRef]
- Duraiswami, R.; Li, Z.; Zotkin, D.N.; Grassi, E.; Gumerov, N.A. Plane-Wave Decomposition Analysis for Spherical Microphone Arrays. In Proceedings of the IEEE Workshop on Applications of Signal Processing to Audio and Acoustics, 2005, New Paltz, NY, USA, 16–19 October 2005; pp. 150–153. [Google Scholar]
- Tervo, S. Direction Estimation Based on Sound Intensity Vectors. In Proceedings of the 2009 European Signal Processing Conference (EUSIPCO-2009), Glasgow, UK, 24–28 August 2009. [Google Scholar]
- Wabnitz, A.; Epain, N.; McEwan, A.; Jin, C. Upscaling Ambisonic Sound Scenes Using Compressed Sensing Techniques. In Proceedings of the 2011 IEEE Workshop on Applications of Signal Processing to Audio and Acoustics (WASPAA), New Paltz, NY, USA, 16–19 October 2011; pp. 1–4. [Google Scholar] [CrossRef]
- Famoriji, O.J.; Shongwe, T. Subspace Pseudointensity Vectors Approach for DoA Estimation Using Spherical Antenna Array in the Presence of Unknown Mutual Coupling. Appl. Sci. 2022, 12, 10099. [Google Scholar] [CrossRef]
- Famoriji, O.J.; Shongwe, T. Critical Review of Basic Methods on DoA Estimation of EM Waves Impinging a Spherical Antenna Array. Electronics 2022, 11, 208. [Google Scholar] [CrossRef]
- Jo, B.; Choi, J.-W. Parametric Direction-of-Arrival Estimation with Three Recurrence Relations of Spherical Harmonics. J. Acoust. Soc. Am. 2019, 145, 480–488. [Google Scholar] [CrossRef] [PubMed]
- Jo, B.; Choi, J.-W. Direction of Arrival Estimation Using Nonsingular Spherical ESPRIT. J. Acoust. Soc. Am. 2018, 143, EL181–EL187. [Google Scholar] [CrossRef]
- Rafaely, B. Plane-Wave Decomposition of the Sound Field on a Sphere by Spherical Convolution. J. Acoust. Soc. Am. 2004, 116, 2149–2157. [Google Scholar] [CrossRef]
- Samarasinghe, P.; Abhayapala, T.; Poletti, M. Wavefield Analysis Over Large Areas Using Distributed Higher Order Microphones. IEEE/ACM Trans. Audio Speech Lang. Process. 2014, 22, 647–658. [Google Scholar] [CrossRef]
- Madmoni, L.; Rafaely, B. Direction of Arrival Estimation for Reverberant Speech Based on Enhanced Decomposition of the Direct Sound. IEEE J. Sel. Top. Signal Process. 2019, 13, 131–142. [Google Scholar] [CrossRef]
- Rafaely, B.; Alhaiany, K. Speaker Localization Using Direct Path Dominance Test Based on Sound Field Directivity. Signal Process. 2018, 143, 42–47. [Google Scholar] [CrossRef]
- Rafaely, B. Spatial Sampling and Beamforming for Spherical Microphone Arrays. In Proceedings of the 2008 Hands-Free Speech Communication and Microphone Arrays, Trento, Italy, 6–8 May 2008; pp. 5–8. [Google Scholar] [CrossRef]
- Choi, C.H.; Ivanic, J.; Gordon, M.S.; Ruedenberg, K. Rapid and Stable Determination of Rotation Matrices between Spherical Harmonics by Direct Recursion. J. Chem. Phys. 1999, 111, 8825–8831. [Google Scholar] [CrossRef]
- Li, R.C. Matrix Perturbation Theory: Generalized Eigenvalue Problems. In Handbook of Linear Algebra; Hogben, L., Ed.; Chapman and Hall/CRC: Boca Raton, FL, USA, 2007; Chapter 15. [Google Scholar]
- Moler, C.B.; Stewart, G.W. An Algorithm for Generalized Matrix Eigenvalue Problems. SIAM J. Numer. Anal. 1973, 10, 241–256. [Google Scholar] [CrossRef]
- Diaz-Guerra, D.; Miguel, A.; Beltran, J.R. Robust Sound Source Tracking Using SRP-PHAT and 3D Convolutional Neural Networks. IEEE/ACM Trans. Audio Speech Lang. Process. 2021, 29, 300–311. [Google Scholar] [CrossRef]
- Hardin, R.H.; Sloane, N.J.A. McLaren’s Improved Snub Cube and Other New Spherical Designs in Three Dimensions. Discret. Comput. Geom. 1996, 15, 429–441. [Google Scholar] [CrossRef]
- Herzog, A.; Habets, E. Online DOA Estimation Using Real Eigenbeam ESPRIT with Propagation Vector Matching. In Proceedings of the EAA Spatial Audio Signal Processing Symposium, Paris, France, 6–7 September 2019; pp. 19–24. [Google Scholar] [CrossRef]
- Johnson, B.A.; Abramovich, Y.I.; Mestre, X. MUSIC, G-MUSIC, and Maximum-Likelihood Performance Breakdown. IEEE Trans. Signal Process. 2008, 56, 3944–3958. [Google Scholar] [CrossRef]
- Markovich, S.; Gannot, S.; Cohen, I. Multichannel Eigenspace Beamforming in a Reverberant Noisy Environment with Multiple Interfering Speech Signals. IEEE Trans. Audio Speech Lang. Process. 2009, 17, 1071–1086. [Google Scholar] [CrossRef]









| Ground Truth DOA | NPTS-ESPRIT/Angular Error | TS-ESPRIT/Angular Error |
|---|---|---|
| (175°, 75°) | (174.9062°, 74.9743°)/0.0942° | (174.9062°, 77.5281°)/2.5297° |
| Ground Truth DOA | NPTS-ESPRIT/Angular Error | TS-ESPRIT/Angular Error |
|---|---|---|
| (175°, 75°) | (174.9062°, 74.9743°)/0.0942° | (174.9062°, 77.5281°)/2.5297° |
| (125°, 75°) | (126.8516°, 74.8148°)/1.7973° | (126.5452°, 77.1942°)/2.6578° |
Disclaimer/Publisher’s Note: The statements, opinions and data contained in all publications are solely those of the individual author(s) and contributor(s) and not of MDPI and/or the editor(s). MDPI and/or the editor(s) disclaim responsibility for any injury to people or property resulting from any ideas, methods, instructions or products referred to in the content. |
© 2023 by the authors. Licensee MDPI, Basel, Switzerland. This article is an open access article distributed under the terms and conditions of the Creative Commons Attribution (CC BY) license (https://creativecommons.org/licenses/by/4.0/).
Share and Cite
Zhou, H.; Liu, Z.; Luo, L.; Wang, M.; Song, X. An Improved Two-Stage Spherical Harmonic ESPRIT-Type Algorithm. Symmetry 2023, 15, 1607. https://doi.org/10.3390/sym15081607
Zhou H, Liu Z, Luo L, Wang M, Song X. An Improved Two-Stage Spherical Harmonic ESPRIT-Type Algorithm. Symmetry. 2023; 15(8):1607. https://doi.org/10.3390/sym15081607
Chicago/Turabian StyleZhou, Haocheng, Zhenghong Liu, Liyan Luo, Mei Wang, and Xiyu Song. 2023. "An Improved Two-Stage Spherical Harmonic ESPRIT-Type Algorithm" Symmetry 15, no. 8: 1607. https://doi.org/10.3390/sym15081607
APA StyleZhou, H., Liu, Z., Luo, L., Wang, M., & Song, X. (2023). An Improved Two-Stage Spherical Harmonic ESPRIT-Type Algorithm. Symmetry, 15(8), 1607. https://doi.org/10.3390/sym15081607

